Sign in to use this feature.

Years

Between: -

Subjects

remove_circle_outline
remove_circle_outline
remove_circle_outline
remove_circle_outline
remove_circle_outline
remove_circle_outline
remove_circle_outline
remove_circle_outline
remove_circle_outline

Journals

remove_circle_outline
remove_circle_outline
remove_circle_outline
remove_circle_outline
remove_circle_outline
remove_circle_outline
remove_circle_outline
remove_circle_outline
remove_circle_outline
remove_circle_outline
remove_circle_outline
remove_circle_outline
remove_circle_outline
remove_circle_outline
remove_circle_outline
remove_circle_outline
remove_circle_outline
remove_circle_outline
remove_circle_outline
remove_circle_outline
remove_circle_outline
remove_circle_outline
remove_circle_outline
remove_circle_outline
remove_circle_outline
remove_circle_outline
remove_circle_outline
remove_circle_outline
remove_circle_outline
remove_circle_outline
remove_circle_outline

Article Types

Countries / Regions

remove_circle_outline
remove_circle_outline
remove_circle_outline
remove_circle_outline
remove_circle_outline
remove_circle_outline
remove_circle_outline
remove_circle_outline
remove_circle_outline

Search Results (7,985)

Search Parameters:
Keywords = run-out modelling

Order results
Result details
Results per page
Select all
Export citation of selected articles as:
20 pages, 20306 KB  
Article
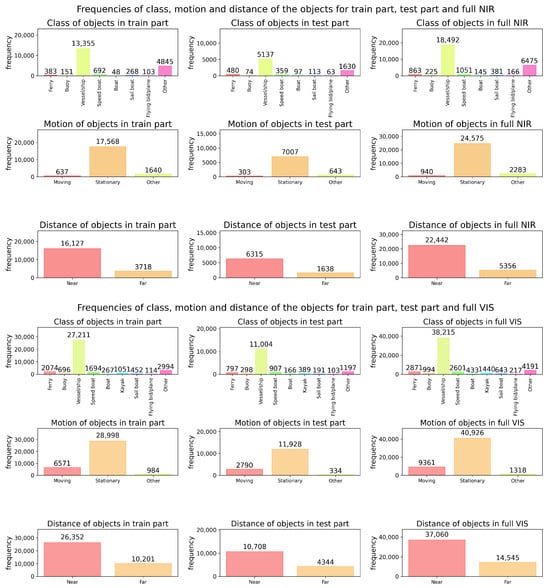
Robust Tracker: Integrating CPM-YOLO and BOTSORT for Cross-Modal Vessel Tracking
by Feng Lv and Ying Zhang
Sensors 2026, 26(3), 983; https://doi.org/10.3390/s26030983 (registering DOI) - 3 Feb 2026
Abstract
This paper presents a high-accuracy and robust multi-object tracking method for maritime vessel detection and tracking in complex marine environments, characterized by dense targets, large-scale variations, and frequent occlusions. The proposed approach adopts an enhanced YOLOv8-based detector with lightweight feature enhancement and attention [...] Read more.
This paper presents a high-accuracy and robust multi-object tracking method for maritime vessel detection and tracking in complex marine environments, characterized by dense targets, large-scale variations, and frequent occlusions. The proposed approach adopts an enhanced YOLOv8-based detector with lightweight feature enhancement and attention mechanisms to improve its capability in detecting small-scale vessels and complex scenes. Furthermore, a tracking framework combining BOTSORT with an OSNet-based re-identification (ReID) model is employed to achieve stable and reliable vessel association. Experimental results on the Near-Infrared On-Shore (NIR) dataset demonstrate that the proposed method improves Precision, Recall, mAP@0.5, and mAP@0.5:0.95 by approximately 4.0%, 5.0%, 5.1%, and 5.4%, respectively, compared with the baseline YOLOv8, while reducing parameter count and model size by 11.6% and 6.5%. On the Visible On-Shore (VIS) dataset, the proposed method outperforms state-of-the-art approaches in detection accuracy and robustness, further validating its effectiveness and cross-modal generalization capability. In multi-object tracking tasks, the proposed CPM-YOLO and BOTSORT framework demonstrates clear advantages in trajectory continuity, occlusion handling, and identity preservation compared with mainstream tracking algorithms. On the NIR dataset, the proposed method achieves a competitive inference speed of 188 FPS, while running at 187 FPS on the VIS dataset, demonstrating that the accuracy improvements are achieved without sacrificing real-time performance. Overall, the proposed method achieves a favorable balance between detection accuracy, tracking robustness, and model efficiency, making it well-suited for practical maritime applications. Full article
(This article belongs to the Section Sensing and Imaging)
Show Figures

Figure 1

20 pages, 1431 KB  
Article
The Relationship Between Breakdowns and Production, and the Detection of Breakdown Units in Mining Vehicles Using Machine Learning
by Erol Gödur, Yalçın Çebi and Ahmet Hakan Onur
Appl. Sci. 2026, 16(3), 1517; https://doi.org/10.3390/app16031517 (registering DOI) - 3 Feb 2026
Abstract
The mining industry relies heavily on large-scale machinery, making operational efficiency highly sensitive to equipment breakdowns and maintenance interruptions. Such breakdowns directly affect production performance, operational costs, and planning accuracy. Therefore, the ability to predict machinery downtime particularly for haul trucks, loaders, drilling [...] Read more.
The mining industry relies heavily on large-scale machinery, making operational efficiency highly sensitive to equipment breakdowns and maintenance interruptions. Such breakdowns directly affect production performance, operational costs, and planning accuracy. Therefore, the ability to predict machinery downtime particularly for haul trucks, loaders, drilling machinery, and dozers used in open-pit operations is essential for improving productivity and ensuring reliable mine planning. This study aims to predict machinery breakdowns and estimate the annual total number of breakdowns using machine-learning techniques applied to a fully digitalized dataset of 16,027 breakdown and maintenance records collected from an open-pit coal mine. A Random Forest classification model was developed to identify the breakdown unit for each event, achieving an accuracy of 94%, while a Random Forest regression model estimated the annual breakdown counts with an R2 value of 0.98. In addition, the relationships between breakdown frequency and key production indicators were examined using linear regression and correlation analyses. The results show a strong association between run-of-mine quantities and coal production, a moderate relationship between stripping activity and breakdown frequency, and negligible linear relationships between breakdowns and production volumes. Overall, the findings demonstrate that integrating machine-learning models with operational mining data can significantly enhance predictive maintenance, reduce unplanned downtime, and improve production planning in open-pit mining operations. Full article
Show Figures

Figure 1

20 pages, 2482 KB  
Article
Compression-Efficient Feature Extraction Method for a CMOS Image Sensor
by Keiichiro Kuroda, Yu Osuka, Ryoya Iegaki, Ryuichi Ujiie, Hideki Shima, Kota Yoshida and Shunsuke Okura
Sensors 2026, 26(3), 962; https://doi.org/10.3390/s26030962 (registering DOI) - 2 Feb 2026
Abstract
To address the power constraints of the emerging Internet of Things (IoT) era, we propose a compression-efficient feature extraction method for a CMOS image sensor that can extract binary feature data. This sensor outputs six-channel binary feature data, comprising three channels of binarized [...] Read more.
To address the power constraints of the emerging Internet of Things (IoT) era, we propose a compression-efficient feature extraction method for a CMOS image sensor that can extract binary feature data. This sensor outputs six-channel binary feature data, comprising three channels of binarized luminance signals and three channels of horizontal edge signals, compressed via a run length encoding (RLE) method. This approach significantly reduces data transmission volume while maintaining image recognition accuracy. The simulation results obtained using a YOLOv7-based model designed for edge GPUs demonstrate that our approach achieves a large object recognition accuracy (APL50) of 60.7% on the COCO dataset while reducing the data size by 99.2% relative to conventional 8-bit RGB color images. Furthermore, the image classification results using MobileNetV3 tailored for mobile devices on the Visual Wake Words (VWW) dataset show that our approach reduces data size by 99.0% relative to conventional 8-bit RGB color images and achieves an image classification accuracy of 89.4%. These results are superior to the conventional trade-off between recognition accuracy and data size, thereby enabling the realization of low-power image recognition systems. Full article
Show Figures

Figure 1

13 pages, 238 KB  
Article
Determinants of CO2 Emissions from Energy Consumption by Sector in the USA
by Shan-Heng Fu
Gases 2026, 6(1), 7; https://doi.org/10.3390/gases6010007 - 2 Feb 2026
Abstract
This study examines the determinants of U.S. CO2 emissions and provides evidence to inform more effective carbon-reduction policies. Using Autoregressive Distributed Lag (ARDL) and Nonlinear ARDL (NARDL) models, the analysis covers January 1997 to February 2022 across four end-use sectors: Residential, Commercial, [...] Read more.
This study examines the determinants of U.S. CO2 emissions and provides evidence to inform more effective carbon-reduction policies. Using Autoregressive Distributed Lag (ARDL) and Nonlinear ARDL (NARDL) models, the analysis covers January 1997 to February 2022 across four end-use sectors: Residential, Commercial, Industrial, and Transportation. The models capture both long-run equilibria and short-run adjustments between emissions and key drivers, including industrial production, interest rates, climate policy uncertainty (CPU), and energy prices. Results indicate a long-run asymmetric relationship in which economic growth and interest rates differentially affect total emissions, while CPU exerts a significant negative influence only in the transportation sector. Methodologically, the combined ARDL–NARDL approach offers robust evidence of nonlinear and asymmetric effects of macroeconomic and policy variables on emissions. These findings underscore the need to integrate economic and financial conditions into climate policy design and suggest that sector-specific measures—particularly targeting transportation—may substantially improve the effectiveness of carbon-mitigation strategies. Full article
(This article belongs to the Section Gas Emissions)
Show Figures

Graphical abstract

15 pages, 2411 KB  
Article
Fractal Prediction of Surface Morphology Evolution During the Running-In Process Using Monte Carlo Simulation
by Shihui Lang, Changzheng Zhao and Hua Zhu
Fractal Fract. 2026, 10(2), 99; https://doi.org/10.3390/fractalfract10020099 (registering DOI) - 2 Feb 2026
Abstract
A Monte Carlo based fractal prediction model is proposed to describe the evolution of surface morphology during the running-in process. The model accounts for the random and fractal characteristics of worn surfaces. The Weierstrass–Mandelbrot function is employed to simulate rough surfaces and establish [...] Read more.
A Monte Carlo based fractal prediction model is proposed to describe the evolution of surface morphology during the running-in process. The model accounts for the random and fractal characteristics of worn surfaces. The Weierstrass–Mandelbrot function is employed to simulate rough surfaces and establish the correlation between fractal dimension and surface roughness. By integrating traditional sliding wear models with surface effect functions, a unified prediction framework is developed. Experiments are conducted to obtain worn surface parameters and calculate fractal dimensions at different running-in stages. Model parameters are optimized by minimizing the variance between experimental and predicted results. Monte Carlo simulations are then introduced to represent the stochastic nature of the friction system, thereby improving prediction accuracy and objectivity. The proposed model reveals locally random yet globally convergent patterns, which are consistent with experimental observations. It effectively captures the stochastic evolution of surface morphology and provides a reliable approach for predicting worn surface behavior during running-in. Full article
(This article belongs to the Section Engineering)
Show Figures

Figure 1

21 pages, 2342 KB  
Article
On-Demand All-Red Interval (ODAR): Evaluation and Implementation in Software-in-the-Loop Simulation
by Ismet Goksad Erdagi, Slavica Gavric, Marko Vukojevic and Aleksandar Stevanovic
Information 2026, 17(2), 142; https://doi.org/10.3390/info17020142 - 1 Feb 2026
Viewed by 61
Abstract
This study evaluates the On-Demand All-Red Interval (ODAR) at signalized intersections to address red-light running (RLR) issues. Traditional fixed all-red intervals fail to adapt to dynamic traffic conditions, leading to potential safety risks and unnecessary delays. This study introduces a novel approach for [...] Read more.
This study evaluates the On-Demand All-Red Interval (ODAR) at signalized intersections to address red-light running (RLR) issues. Traditional fixed all-red intervals fail to adapt to dynamic traffic conditions, leading to potential safety risks and unnecessary delays. This study introduces a novel approach for dynamically extending the all-red interval on demand to enhance intersection efficiency while maintaining safety by eliminating unnecessary clearance intervals when no risk exists. Utilizing software-in-the-loop simulation, the study assesses the effectiveness of the ODAR method compared to conventional fixed-duration and Dynamic All-Red Extension (DARE) methods, allowing realistic controller testing without field deployment. The ODAR method adapts to real-time traffic conditions by incorporating vehicle speed and signal timing, ensuring vehicles with high collision risk clear the intersection safely. The study is conducted using a microsimulation model based on the Washington Street arterial network in Lake County, Illinois, validated against real traffic conditions. The results demonstrate that ODAR increases throughput and, in specific scenarios, reduces delays and stop occurrences compared to FAR and DARE strategies, based on a field-calibrated microsimulation dataset of a real-world arterial corridor. Importantly, these efficiency improvements are achieved while maintaining comparable intersection safety outcomes, as measured by red-light-running events, conflict frequency, and conflict severity. Full article
Show Figures

Figure 1

20 pages, 1585 KB  
Article
Integrating C-Phycocyanin, and Polyhydroxybutyrate Recovery Using a Triphasic System: Experimental Design and Optimization in Thermotolerant Potamosiphon sp.
by Andrés F. Barajas-Solano
Phycology 2026, 6(1), 21; https://doi.org/10.3390/phycology6010021 - 1 Feb 2026
Viewed by 96
Abstract
This research assesses a triphasic extraction technique for the sequential retrieval of C-phycocyanin (C-PC) and polyhydroxybutyrate (PHB) from a thermotolerant Potamosiphon sp. strain. A two-stage design-of-experiments methodology was employed (Minimum Run Resolution V factorial design involving six variables, followed by a central composite [...] Read more.
This research assesses a triphasic extraction technique for the sequential retrieval of C-phycocyanin (C-PC) and polyhydroxybutyrate (PHB) from a thermotolerant Potamosiphon sp. strain. A two-stage design-of-experiments methodology was employed (Minimum Run Resolution V factorial design involving six variables, followed by a central composite design (CCD)) to optimize the chosen region. In the factorial stage, PHB ranged from 109.396 to 168.995 mg/g, and the model was significant (F = 22.63, p < 0.0001). Freeze-milling and vortexing were identified as critical elements, underscoring the importance of the t-butanol × (NH4)2SO4 interaction for phase selectivity. The CCD concentrating on freeze-milling and vortex cycles yielded a robust quadratic model (F = 78.18, p < 0.0001), forecasting a peak PHB yield of 191.82 mg/g at six freeze-milling cycles and three vortex cycles (desirability 0.921), while maintaining t-butanol at 19.9 mL, t-butanol concentration at 94.7% (v/v), (NH4)2SO4 at 49.9% (w/v), and vortex duration at 1.2 min. Ten separate trials validated the model’s accuracy, yielding an observed PHB of 191.5 mg/g, which closely matched the model’s prediction. The platform facilitates an integrated downstream process in which C-PC is recovered under moderate conditions before triphasic partitioning. This enables the simultaneous valorization of pigment, lipophilic fraction, and biopolymer inside a unified cyanobacterial biorefinery process. Full article
(This article belongs to the Special Issue Development of Algal Biotechnology)
Show Figures

Figure 1

22 pages, 300 KB  
Article
The Ten Minutes That Shocked the World—Teaching Generative AI to Analyze the Trump–Zelensky Multimodal Debate
by Isabella Poggi, Tommaso Scaramella, Sissy Violini, Simona Careri, Maria Désirée Epure and Daniele Dragoni
Information 2026, 17(2), 136; https://doi.org/10.3390/info17020136 - 1 Feb 2026
Viewed by 53
Abstract
Today, foundation models simulate humans’ skills in translation, literature review, fact checking, fake-news detection, novel and poetry production. However, generative AI can also be applied to discourse analysis. This study instructed the Gemini 2.5 model to analyze multimodal political discourse. We selected some [...] Read more.
Today, foundation models simulate humans’ skills in translation, literature review, fact checking, fake-news detection, novel and poetry production. However, generative AI can also be applied to discourse analysis. This study instructed the Gemini 2.5 model to analyze multimodal political discourse. We selected some fragments from the Trump–Zelensky debate held at the White House on 28 February 2025 and annotated each sentence, gesture, intonation, gaze, and facial expression in terms of LEP (Logos, Ethos, Pathos) analysis to assess when speakers, in words or body communication, rely on rational argumentation, stress their own merits or the opponents’ demerits, or express and try to induce emotions in the audience. Through detailed prompts, we asked the Gemini 2.5 model to run the LEP analysis on the same fragments. Then, considering the human’s and model’s annotations in parallel, we proposed a metric to compare their respective analyses and measure discrepancies, finally tuning an optimized prompt for the model’s best performance, which in some cases outperformed the human’s analysis: an interesting application, since the LEP analysis highlights deep aspects of multimodal discourse but is highly time-consuming, while its automatic version allows us to interpret large chunks of speech in a fast but reliable way. Full article
Show Figures

Graphical abstract

19 pages, 2059 KB  
Article
WM-Classroom v1.0: A Didactic Multi-Species Agent-Based Model to Explore Predator–Prey–Harvest Dynamics
by Alberto Caccin and Alice Stocco
Wild 2026, 3(1), 8; https://doi.org/10.3390/wild3010008 (registering DOI) - 1 Feb 2026
Viewed by 42
Abstract
We present WM-Classroom v1.0, a pedagogical multi-species agent-based model (ABM) designed for educational purposes in predator–prey–harvest systems. The model embeds a predator, two prey breeds, and human harvesters on a homogeneous 50 × 50 grid with weekly time steps, implementing random movement, abstract [...] Read more.
We present WM-Classroom v1.0, a pedagogical multi-species agent-based model (ABM) designed for educational purposes in predator–prey–harvest systems. The model embeds a predator, two prey breeds, and human harvesters on a homogeneous 50 × 50 grid with weekly time steps, implementing random movement, abstract energetics, prey consumption, reproduction, legal harvest with species-specific cut-offs and seasons, optional predator control, and a poaching switch. After basic technical checks (energetic calibration, prey composition, herbivore viability), we explore the consistency of the model under illustrative scenarios including no hunting, single-prey harvest, hunter-density and season-length gradients, predator removal, and poaching. In the no-hunting baseline (n = 100), mean end-of-run abundances were 22 deer, 159 boar, and 45 wolves, with limited extinction events. Deer-only harvest often drove deer to very low end-of-run counts (mean 1–16) with extinctions in 2–7/10 replicates across cut-offs, whereas boar-only harvest showed higher persistence (mean 11–74) and boar extinctions occurred only at the lowest cut-off (3/10). Increasing hunter numbers or season length depressed prey and could indirectly reduce wolves via prey depletion. Legal predator control reduced predators as designed, while poaching had little effect under the implemented rules. Because interaction and prey-choice rules are simplified for transparency, outcomes should be interpreted as conditional on model assumptions. WM-Classroom v1.0 provides a didactic sandbox for courses, professional training, and outreach, with extensions (habitat heterogeneity, age/sex structure, probabilistic diet/kill success, and calibration/validation) outlined for future versions. Full article
Show Figures

Figure 1

23 pages, 1929 KB  
Article
Inverse Thermal Process Design for Interlayer Temperature Control in Wire-Directed Energy Deposition Using Physics-Informed Neural Networks
by Fuad Hasan, Abderrachid Hamrani, Tyler Dolmetsch, Somnath Somadder, Md Munim Rayhan, Arvind Agarwal and Dwayne McDaniel
J. Manuf. Mater. Process. 2026, 10(2), 52; https://doi.org/10.3390/jmmp10020052 - 1 Feb 2026
Viewed by 44
Abstract
Wire-directed energy deposition (W-DED) produces steep thermal gradients and rapid heating-cooling cycles due to the moving heat source, where modest variations in process parameters significantly alter heat input per unit length and therefore the full thermal history. This sensitivity makes process tuning by [...] Read more.
Wire-directed energy deposition (W-DED) produces steep thermal gradients and rapid heating-cooling cycles due to the moving heat source, where modest variations in process parameters significantly alter heat input per unit length and therefore the full thermal history. This sensitivity makes process tuning by trial-and-error or repeated FE sweeps expensive, motivating inverse analysis. This work proposes an inverse thermal process design framework that couples single-track experiments, a calibrated finite element (FE) thermal model, and a parametric physics-informed neural network (PINN) surrogate. By using experimentally calibrated heat-loss physics to define the training constraints, the PINN learns a parameterized thermal response from physics alone (no temperature data in the PINN loss), enabling inverse design without repeated FE runs. Thermocouple measurements are used to calibrate the convection film coefficient and emissivity in the FE model, and those parameters are used to train a parametric PINN over continuous ranges of arc power (1.5–3.0 kW) and travel speed (0.005–0.015 m/s) without using temperature data in the loss function. The trained PINN model was validated against the calibrated FE model at 3 probe locations with different power and travel speed combinations. Across these benchmark conditions, the mean absolute errors are between 6.5–17.4 °C, with cooling-tail errors ranging from 1.8–12.1 °C. The trained surrogate is then embedded in a sampling-based inverse optimization loop to identify power-speed combinations that achieve prescribed interlayer temperatures at a fixed dwell time. For target interlayer temperatures of 100, 130, and 160 °C with a 10 s dwell time, the optimized solutions remain within 3.3–5.6 °C of the target according to the PINN, while FE verification is within 4.0–6.6 °C. The results demonstrate that a physics-only parametric PINN surrogate enables inverse thermal process design without repeated FE runs while establishing a single-track baseline for extension to multi-track and multi-layer builds. Full article
55 pages, 2886 KB  
Article
Hybrid AI and LLM-Enabled Agent-Based Real-Time Decision Support Architecture for Industrial Batch Processes: A Clean-in-Place Case Study
by Apolinar González-Potes, Diego Martínez-Castro, Carlos M. Paredes, Alberto Ochoa-Brust, Luis J. Mena, Rafael Martínez-Peláez, Vanessa G. Félix and Ramón A. Félix-Cuadras
AI 2026, 7(2), 51; https://doi.org/10.3390/ai7020051 - 1 Feb 2026
Viewed by 100
Abstract
A hybrid AI and LLM-enabled architecture is presented for real-time decision support in industrial batch processes, where supervision still relies heavily on human operators and ad hoc SCADA logic. Unlike algorithmic contributions proposing novel AI methods, this work addresses the practical integration and [...] Read more.
A hybrid AI and LLM-enabled architecture is presented for real-time decision support in industrial batch processes, where supervision still relies heavily on human operators and ad hoc SCADA logic. Unlike algorithmic contributions proposing novel AI methods, this work addresses the practical integration and deployment challenges arising when applying existing AI techniques to safety-critical industrial environments with legacy PLC/SCADA infrastructure and real-time constraints. The framework combines deterministic rule-based agents, fuzzy and statistical enrichment, and large language models (LLMs) to support monitoring, diagnostic interpretation, preventive maintenance planning, and operator interaction with minimal manual intervention. High-frequency sensor streams are collected into rolling buffers per active process instance; deterministic agents compute enriched variables, discrete supervisory states, and rule-based alarms, while an LLM-driven analytics agent answers free-form operator queries over the same enriched datasets through a conversational interface. The architecture is instantiated and deployed in the Clean-in-Place (CIP) system of an industrial beverage plant and evaluated following a case study design aimed at demonstrating architectural feasibility and diagnostic behavior under realistic operating regimes rather than statistical generalization. Three representative multi-stage CIP executions—purposively selected from 24 runs monitored during a six-month deployment—span nominal baseline, preventive-warning, and diagnostic-alert conditions. The study quantifies stage-specification compliance, state-to-specification consistency, and temporal stability of supervisory states, and performs spot-check audits of numerical consistency between language-based summaries and enriched logs. Results in the evaluated CIP deployment show high time within specification in sanitizing stages (100% compliance across the evaluated runs), coherent and mostly stable supervisory states in variable alkaline conditions (state-specification consistency Γs0.98), and data-grounded conversational diagnostics in real time (median numerical error below 3% in audited samples), without altering the existing CIP control logic. These findings suggest that the architecture can be transferred to other industrial cleaning and batch operations by reconfiguring process-specific rules and ontologies, though empirical validation in other process types remains future work. The contribution lies in demonstrating how to bridge the gap between AI theory and industrial practice through careful system architecture, data transformation pipelines, and integration patterns that enable reliable AI-enhanced decision support in production environments, offering a practical path toward AI-assisted process supervision with explainable conversational interfaces that support preventive maintenance decision-making and equipment health monitoring. Full article
Show Figures

Figure 1

15 pages, 1220 KB  
Article
Diagnostic Accuracy and Stability of Multimodal Large Language Models for Hand Fracture Detection: A Multi-Run Evaluation on Plain Radiographs
by Ibrahim Güler, Gerrit Grieb, Armin Kraus, Martin Lautenbach and Henrik Stelling
Diagnostics 2026, 16(3), 424; https://doi.org/10.3390/diagnostics16030424 - 1 Feb 2026
Viewed by 66
Abstract
Background/Objectives: Multimodal large language models (MLLMs) offer potential for automated fracture detection, yet their diagnostic stability under repeated inference remains underexplored. This study evaluates the diagnostic accuracy, stability, and intra-model consistency of four MLLMs in detecting hand fractures on plain radiographs. Methods [...] Read more.
Background/Objectives: Multimodal large language models (MLLMs) offer potential for automated fracture detection, yet their diagnostic stability under repeated inference remains underexplored. This study evaluates the diagnostic accuracy, stability, and intra-model consistency of four MLLMs in detecting hand fractures on plain radiographs. Methods: In total, images of hand radiographs of 65 adult patients with confirmed hand fractures (30 phalangeal, 30 metacarpal, 5 scaphoid) were evaluated by four models: GPT-5 Pro, Gemini 2.5 Pro, Claude Sonnet 4.5, and Mistral Medium 3.1. Each image was independently analyzed five times per model using identical zero-shot prompts (1300 total inferences). Diagnostic accuracy, inter-run reliability (Fleiss’ κ), case-level agreement profiles, subgroup performance, and exploratory demographic inference (age, sex) were assessed. Results: GPT-5 Pro achieved the highest accuracy (64.3%) and consistency (κ = 0.71), followed by Gemini 2.5 Pro (56.9%, κ = 0.57). Mistral Medium 3.1 exhibited high agreement (κ = 0.88) despite low accuracy (38.5%), indicating systematic error (“confident hallucination”). Claude Sonnet 4.5 showed low accuracy (33.8%) and consistency (κ = 0.33), reflecting instability. While phalangeal fractures were reliably detected by top models, scaphoid fractures remained challenging. Demographic analysis revealed poor capabilities, with age estimation errors exceeding 12 years and sex prediction accuracy near random chance. Conclusions: Diagnostic accuracy and consistency are distinct performance dimensions; high intra-model agreement does not imply correctness. While GPT-5 Pro demonstrated the most favorable balance of accuracy and stability, other models exhibited critical failure modes ranging from systematic bias to random instability. At present, MLLMs should be regarded as experimental diagnostic reasoning systems rather than reliable standalone tools for clinical fracture detection. Full article
(This article belongs to the Section Medical Imaging and Theranostics)
Show Figures

Figure 1

23 pages, 546 KB  
Article
Economic Growth and CO2 Emissions in Croatia: An ARDL-Based Assessment of the EKC Hypothesis
by Mirjana Jeleč Raguž
Sustainability 2026, 18(3), 1427; https://doi.org/10.3390/su18031427 - 31 Jan 2026
Viewed by 91
Abstract
This paper examines the long-run relationship between economic growth and CO2 emissions in Croatia over the period 1990–2023 using the ARDL bounds testing approach. The analysis aims to assess the presence of an Environmental Kuznets Curve (EKC) and to shed light on [...] Read more.
This paper examines the long-run relationship between economic growth and CO2 emissions in Croatia over the period 1990–2023 using the ARDL bounds testing approach. The analysis aims to assess the presence of an Environmental Kuznets Curve (EKC) and to shed light on Croatia’s position along the growth–emissions trajectory, an issue that has remained inconclusive in earlier studies. The results provide evidence of an inverted U-shaped relationship between the GDP per capita and CO2 emissions, consistent with the EKC hypothesis. The estimates of marginal effects suggest that the impact of income on emissions weakens and may eventually turn negative at higher income levels, although the precise income level at which this transition occurs is sensitive to model specification and sample composition. Energy consumption emerges as the strongest long-run driver of emissions, while a higher share of renewable energy contributes significantly to their reduction. Institutional quality is found to be positively associated with emissions in the long run, reflecting growth-enhancing effects during the post-transition period rather than immediate environmental improvements. The contribution of this study lies in the use of a longer time span and a dynamic empirical framework that allows for a more nuanced assessment of the growth–emissions relationship in Croatia. Overall, the findings point to a gradual decoupling of economic growth from carbon emissions while highlighting that the sustainability of this trajectory depends critically on continued progress in the energy transition and on the alignment of institutional development with climate and energy objectives. Full article
(This article belongs to the Section Economic and Business Aspects of Sustainability)
Show Figures

Figure 1

32 pages, 16476 KB  
Article
LF-SSM: Lightweight HiPPO-Free State Space Model for Real-Time UAV Tracking
by Tianyu Wang, Xinghua Xu, Shaohua Qiu, Changchong Sheng, Di Wang, Hui Tian and Jiawei Yu
Drones 2026, 10(2), 102; https://doi.org/10.3390/drones10020102 - 31 Jan 2026
Viewed by 94
Abstract
Visual object tracking from unmanned aerial vehicles (UAVs) demands both high accuracy and computational efficiency for real-time deployment on resource-constrained platforms. While state space models (SSMs) offer linear computational complexity, existing methods face critical deployment challenges. They rely on the HiPPO framework with [...] Read more.
Visual object tracking from unmanned aerial vehicles (UAVs) demands both high accuracy and computational efficiency for real-time deployment on resource-constrained platforms. While state space models (SSMs) offer linear computational complexity, existing methods face critical deployment challenges. They rely on the HiPPO framework with complex discretization procedures and employ hardware-aware algorithms optimized for high-performance GPUs, which introduce deployment overhead and are difficult to transfer to edge platforms. Additionally, their fixed polynomial bases may cause information loss for tracking features with complex geometric structures. We propose LF-SSM, a lightweight HiPPO (High-order Polynomial Projection Operators)-free state space model that reformulates state evolution on Riemannian manifolds. The core contribution is the Geodesic State Module (GSM), which performs state updates through tangent space projection and exponential mapping on the unit sphere. This design eliminates complex discretization and specialized hardware kernels while providing adaptive local coordinate systems. Extensive experiments on UAV benchmarks demonstrate that LF-SSM achieves state-of-the-art performance while running at 69 frames per second (FPS) with only 18.5 M parameters, demonstrating superior efficiency for real-time edge deployment. Full article
(This article belongs to the Section Artificial Intelligence in Drones (AID))
25 pages, 336 KB  
Article
Social Security Transfers and Fiscal Sustainability in Turkey: Evidence from 1984–2024
by Huriye Gonca Diler, Nurgül E. Barın, Ercan Özen and Simon Grima
Econometrics 2026, 14(1), 7; https://doi.org/10.3390/econometrics14010007 - 31 Jan 2026
Viewed by 171
Abstract
Social security systems constitute a structurally significant component of public finance in developing economies and often generate persistent fiscal pressures through budgetary transfers. Demographic transformation, widespread informality in labor markets, and weaknesses in contribution-based financing increase the dependence of social security systems on [...] Read more.
Social security systems constitute a structurally significant component of public finance in developing economies and often generate persistent fiscal pressures through budgetary transfers. Demographic transformation, widespread informality in labor markets, and weaknesses in contribution-based financing increase the dependence of social security systems on public resources. The objective of this study is to examine whether budget transfers to the social security system affect fiscal sustainability in Turkey by analyzing their relationship with the budget deficit and the public sector borrowing requirement. The analysis employs annual data for Turkey covering the period of 1984–2024. A comprehensive time-series econometric framework is adopted, incorporating conventional and structural-break unit root tests, the ARDL bounds testing approach with error correction modeling, and the Toda–Yamamoto causality method. The empirical findings provide evidence of a stable long-run relationship among the variables. The results indicate that social security budget transfers exert a statistically significant and persistent effect on the public sector borrowing requirement, while no direct long-run effect on the headline budget deficit is detected. Causality results further confirm that fiscal pressures associated with social security financing materialize primarily through borrowing dynamics rather than short-term budgetary imbalances. By explicitly modelling social security budget transfers as an independent fiscal channel over a long historical horizon, this study contributes to the literature by offering new empirical insights into the fiscal sustainability implications of social security financing in Turkey. The findings also provide policy-relevant evidence for developing economies facing similar institutional, demographic, and fiscal challenges. Full article
Back to TopTop