Sign in to use this feature.

Years

Between: -

Subjects

remove_circle_outline
remove_circle_outline
remove_circle_outline
remove_circle_outline
remove_circle_outline
remove_circle_outline
remove_circle_outline
remove_circle_outline
remove_circle_outline

Journals

remove_circle_outline
remove_circle_outline
remove_circle_outline
remove_circle_outline
remove_circle_outline
remove_circle_outline
remove_circle_outline
remove_circle_outline
remove_circle_outline

Article Types

Countries / Regions

remove_circle_outline
remove_circle_outline
remove_circle_outline
remove_circle_outline
remove_circle_outline

Search Results (733)

Search Parameters:
Keywords = room temperature aging

Order results
Result details
Results per page
Select all
Export citation of selected articles as:
24 pages, 6710 KB  
Article
Dynamic Mechanical Analysis, Morphology, Physico-Mechanical, and Performance Properties of EPDM/NBR Rubber Blends Containing Chlorosulfonated Polyethylene as a Compatibilizer
by Evgeniy Egorov, Rakhymzhan Turmanov, Rakhmetulla Zhapparbergenov, Aslan Oryngaliyev, Nurgali Akylbekov, Nurbol Appazov, Anton Loshachenko, Nikita Glukhoedov, Abdirakym Nakyp and Nadezhda Semenova
Polymers 2026, 18(1), 103; https://doi.org/10.3390/polym18010103 - 30 Dec 2025
Viewed by 362
Abstract
The article studies the influence of chlorosulfonated polyethylene CSM 40 as a compatibilizer on the curing characteristics of the rubber compound, dynamic mechanical analysis, morphology, physico-mechanical and performance properties of vulcanized rubber based on a compound of ethylene propylene diene monomer EPDM S [...] Read more.
The article studies the influence of chlorosulfonated polyethylene CSM 40 as a compatibilizer on the curing characteristics of the rubber compound, dynamic mechanical analysis, morphology, physico-mechanical and performance properties of vulcanized rubber based on a compound of ethylene propylene diene monomer EPDM S 501A and nitrile butadiene NBR 2645 rubbers. DMA studies indicate that the temperature dependence of tanδ for vulcanizates with and without a compatibilizer based on EPDM S 501A/NBR 2645 at a ratio of 75/25 parts per hundred parts of rubber (phr) has a bimodal character, which indicates the incompatibility of the rubber phases. The temperature dependence for EPDM S 501A/NBR 2645 vulcanizates (25/75 phr) with and without a compatibilizer has a monomodal form, which characterizes the improved compatibility of the rubber phases. SEM showed that a clearly defined microporous structure is observed on a cleavage of vulcanizate sample EPDM/NBR (25/75 phr) without a compatibilizer; with the addition of CSM 40, this feature is retained, but becomes less pronounced. It is shown that vulcanizates containing the compatibilizer CSM 40 are characterized by increased strength properties and hardness compared to vulcanized rubber without a compatibilizer. It was established that the vulcanized rubber based on EPDM S 501A/NBR 2645/CSM 40 (25/75/5 phr) is characterized by the smallest changes in the elastic-strength properties and hardness of vulcanizates after a day of thermo-oxidative aging in air and their weight after exposure to industrial oil I-20A and standard petroleum fluid SZhR-1 at room temperature among vulcanizates based on EPDM S 501A and NBR 2645. The vulcanizate of the rubber compound, including a compound of EPDM/NBR (25/75 phr) with a compatibilizer CSM 40 in an amount of 5 phr (2.88 wt.%), is characterized by stable physico-mechanical properties and improved performance properties. This rubber compound can be used for the manufacture of rubber products operating under the influence of oils and hydrocarbon environments. Full article
(This article belongs to the Section Polymer Processing and Engineering)
Show Figures

Graphical abstract

17 pages, 7435 KB  
Article
Evaluation of Zirconium Oxide Nanoparticle-Reinforced Pigmented Maxillofacial Silicone Mimicking Human Skin Tone: Effects on Color Stability and Surface Roughness After Accelerated Aging
by Soz Grundig, Kawan Othman and Bruska Azhdar
Prosthesis 2026, 8(1), 3; https://doi.org/10.3390/prosthesis8010003 - 25 Dec 2025
Viewed by 311
Abstract
Background/Objectives: This in vitro study examined the potential enhancement in resistance to accelerated aging in room-temperature vulcanized (RTV) maxillofacial silicone, intrinsically pigmented in two skin tones, through the use of zirconium oxide (ZrO2) nanoparticles. Methods: A total of 128 disc-shaped specimens [...] Read more.
Background/Objectives: This in vitro study examined the potential enhancement in resistance to accelerated aging in room-temperature vulcanized (RTV) maxillofacial silicone, intrinsically pigmented in two skin tones, through the use of zirconium oxide (ZrO2) nanoparticles. Methods: A total of 128 disc-shaped specimens were created in rose silk and soft brown shades, each containing zirconium oxide concentrations of 0%, 1%, 2%, and 3% by weight. Color variation (ΔE*) was assessed initially and following 252, 750, and 1252 h of artificial aging, tested with a colorimeter. Surface roughness characteristics (Ra, Rq, Rt) were evaluated before and after 1252 h using atomic force microscopy (AFM). Structural, vibrational, and morphological characteristics were analyzed through X-ray diffraction (XRD), Fourier transform infrared spectroscopy (FTIR), and field emission scanning electron microscopy (FESEM). Results: Non-parametric tests (Friedman, Kruskal–Wallis, and Bonferroni-adjusted paired testing; p < 0.05) indicated that accelerated aging significantly increased ΔE* in all specimens. The addition of ZrO2 reduced these changes; however, the optimal concentration differed by pigment: 1% for rose silk and 3% for soft brown. The effect on surface roughness depended on pigment type. Higher nanoparticle concentrations generally improved post-aging smoothness in soft brown samples, whereas rose silk showed a more variable response. XRD and FTIR analyses confirmed successful nanoparticle incorporation without altering the fundamental silicone structure, while FESEM demonstrated improved filler–matrix interaction in modified groups. Conclusions: Adjusting ZrO2 concentration according to pigment type can improve the future color retention and surface characteristics of maxillofacial silicone. Full article
Show Figures

Figure 1

19 pages, 9084 KB  
Article
Optimization of T6 Heat Treatment for Enhanced Microstructural Stability and Mechanical Properties of EV31A Magnesium Alloy
by Jingya Cui, Yao Li, Tong Mu, Xiushen Ye, Lingyun An, Daogui Lai, Chushan Yi and Honghui Liu
Metals 2026, 16(1), 4; https://doi.org/10.3390/met16010004 - 19 Dec 2025
Viewed by 281
Abstract
This study systematically optimizes the T6 heat treatment of a commercial EV31A magnesium alloy and evaluates the resulting microstructural evolution and mechanical properties. Optical microscopy, scanning electron microscopy combined with energy-dispersive X-ray spectroscopy (SEM-EDS), X-ray diffraction (XRD), and transmission electron microscopy (TEM) were [...] Read more.
This study systematically optimizes the T6 heat treatment of a commercial EV31A magnesium alloy and evaluates the resulting microstructural evolution and mechanical properties. Optical microscopy, scanning electron microscopy combined with energy-dispersive X-ray spectroscopy (SEM-EDS), X-ray diffraction (XRD), and transmission electron microscopy (TEM) were used to characterize the microstructure and phase constitution, while differential scanning calorimetry (DSC) was employed to determine appropriate solution treatment parameters. Brinell hardness measurements and tensile tests at room temperature and 150 °C were carried out to quantify the mechanical response. The as-cast alloy consists of α-Mg equiaxed grains, bone-shaped Mg12(Nd,Gd) eutectic phases at grain boundaries, and minor intragranular lath-shaped Mg12Nd phases. After T6 treatment (520 °C/10 h solution treatment + 200 °C/16 h aging), the grain boundary eutectic phases partially dissolve and transform into Mg41(Nd,Gd)5, while intragranular nano-scale β′ precipitates and stable Zn2Zr3 particles form, achieving multi-scale synergistic strengthening. Compared to the as-cast condition, the T6-treated alloy exhibits room-temperature ultimate tensile strength and yield strength of 309 ± 40.5 MPa (31% increase) and 180 ± 14.2MPa (45% increase), respectively. At 150 °C, the strength reaches 241 ± 7.5 MPa (39% increase) and 154 ± 16.8 MPa (52% increase), while maintaining an elongation of 10.9± 0.7%, demonstrating an excellent strength–ductility balance. Full article
(This article belongs to the Special Issue Forming and Processing Technologies of Lightweight Metal Materials)
Show Figures

Figure 1

19 pages, 3813 KB  
Article
Numerical Modeling of Asymmetric-Temperature Cycling for Lithium-Ion Batteries Under Fast-Charging Conditions
by Han Ling, Tao Huang, Wen-Zhen Fang and Wen-Quan Tao
Energies 2025, 18(24), 6570; https://doi.org/10.3390/en18246570 - 16 Dec 2025
Viewed by 257
Abstract
High temperatures during charge–discharge cycles pose a significant threat to the safety and capacity of lithium-ion batteries by accelerating solid–electrolyte interphase (SEI) growth. Conversely, elevating the temperature during charging enhances Li-ion transport and suppresses lithium plating, suggesting an asymmetric temperature modulation (ATM) strategy [...] Read more.
High temperatures during charge–discharge cycles pose a significant threat to the safety and capacity of lithium-ion batteries by accelerating solid–electrolyte interphase (SEI) growth. Conversely, elevating the temperature during charging enhances Li-ion transport and suppresses lithium plating, suggesting an asymmetric temperature modulation (ATM) strategy in which cells are charged at elevated temperatures and discharged at room temperature to mitigate degradation under extreme fast-charging conditions. In this study, a one-dimensional electrochemical model incorporating key side reactions—SEI formation, lithium plating, and lithium stripping—is developed to analyse the ageing behaviour of plug-in hybrid electric vehicle (PHEV) cells under ATM operation. Within the present modelling framework and for the investigated temperature and current ranges, lithium plating is found to exert only a modest influence on the SEI growth rate, and the capacity degradation associated with SEI formation at a given temperature follows a unique time dependence that shows only a weak sensitivity to the charging rate. A phenomenological hill-shaped dependence of plating reversibility on the state of charge (SOC) is implemented based on experimental observations. The simulation results show good agreement with experimental data for PHEV cells operated under ATM, reproducing a capacity retention of about 80% after 1000 cycles at a charging temperature of 49 °C. Full article
Show Figures

Figure 1

8 pages, 1476 KB  
Article
Reducing the Degradation of CsFAMA Perovskite Solar Cells
by Aleksandr Degterev, Aleksandr Tarasov, Mariya Degtereva, Marina Pavlova, Nikita Khorshev, Yevgeniy Levin, Ivan Mikhailov, Dmitriy Testov, Ivan Lamkin and Sergey Tarasov
Colloids Interfaces 2025, 9(6), 88; https://doi.org/10.3390/colloids9060088 - 15 Dec 2025
Viewed by 357
Abstract
Triple-cation perovskite solar cells, such as Cs0.05(FA0.83MA0.17)0.95Pb(I0.83Br0.17)3 (hereinafter referred to as CsFAMA) have high efficiency (>26%), but their stability is limited by phase segregation and defects at grain boundaries. In [...] Read more.
Triple-cation perovskite solar cells, such as Cs0.05(FA0.83MA0.17)0.95Pb(I0.83Br0.17)3 (hereinafter referred to as CsFAMA) have high efficiency (>26%), but their stability is limited by phase segregation and defects at grain boundaries. In this work, the effect of formic acid (HCOOH) on suppressing the degradation of perovskite films is investigated. It is shown that the addition of HCOOH to the precursor solution reduces the size of colloidal particles by 90%, which contributes to the formation of highly homogeneous films with a photoluminescence intensity deviation of ≤3%. Structural analysis and dynamic light scattering measurements confirmed that HCOOH suppresses iodide oxidation and cation deprotonation, reducing the defect density. Aging tests (ISOS-D) demonstrated an increase in the T80 lifetime (time to 80% efficiency decline) from 158 to 320 days for the modified cells under ambient conditions at room temperature and 40% relative humidity. The obtained results indicate a key role of HCOOH in stabilizing CsFAMA perovskite by controlling colloidal dynamics and defect passivation, which opens up prospects for the creation of commercially viable PSCs. Full article
(This article belongs to the Topic New Research on Thin Films and Nanostructures)
Show Figures

Figure 1

13 pages, 1652 KB  
Article
Influence of Counterions and Cyclopentadienyl Substituents on the Catalytic Activity of Ferrocenium Cations in Propargylic Substitution Reactions
by Alyssa B. Williams and Eike B. Bauer
Inorganics 2025, 13(12), 407; https://doi.org/10.3390/inorganics13120407 - 14 Dec 2025
Viewed by 548
Abstract
Ferrocenium catalysis is a growing field of research. This study investigates the catalytic activity of different ferrocenium salts in propargylic substitution reactions to afford propargylic ethers. Four different ferrocenium catalysts were employed in the title reaction, which was monitored over time. The rate [...] Read more.
Ferrocenium catalysis is a growing field of research. This study investigates the catalytic activity of different ferrocenium salts in propargylic substitution reactions to afford propargylic ethers. Four different ferrocenium catalysts were employed in the title reaction, which was monitored over time. The rate of the disappearance of the starting material can be fitted to a first order rate law and observed rate constants were determined. The catalyzed propargylic substitution reactions display a moderate but discernible dependence on the ferrocenium counterion. The lack of an induction period for the reaction indicates that the ferrocenium cation itself is catalytically active, and not just a decomposition product thereof, which would result in an induction period. The presence of a carboxylic acid substituent on one of the cyclopentadienyl rings enhances catalytic activity. The Meyer–Schuster rearrangement of the propargylic alcohol to the corresponding conjugated enone played only a minor role in the ferrocenium-catalyzed reactions. Catalyst decomposition moderately retards the reaction but does not suppress product formation, as demonstrated by experiments with aged FcBF4. In contrast, the presence of TEMPO as a radical scavenger completely inhibits product formation, while not causing detectable catalyst decomposition at room temperature. In turn, FeCl3 catalyzes both the propargylic substitution and the Meyer–Schuster rearrangement equally and decomposes the catalysis product over time. These findings reinforce the notion that strong Lewis acids readily promote the rearrangement of propargylic alcohols and that Lewis acidity plays a crucial role in finding a balance between the substitution reactions of propargylic alcohols and their rearrangement to unsaturated aldehydes. Full article
(This article belongs to the Section Organometallic Chemistry)
Show Figures

Graphical abstract

27 pages, 8122 KB  
Article
Research on MICP Restoration Technology for Earthen City Walls Damaged by Primary Vegetation Capping in China
by Ruihua Shang, Chenyang Li, Xiaoju Yang, Pengju Han and Weiwei Liu
Microorganisms 2025, 13(12), 2802; https://doi.org/10.3390/microorganisms13122802 - 9 Dec 2025
Viewed by 354
Abstract
As a typical representative of soft capping, primary vegetation capping has both protective and destructive effects on earthen city walls. Addressing its detrimental aspects constitutes the central challenge of this project. Because the integration of MICP technology with plants offered advantages, including soil [...] Read more.
As a typical representative of soft capping, primary vegetation capping has both protective and destructive effects on earthen city walls. Addressing its detrimental aspects constitutes the central challenge of this project. Because the integration of MICP technology with plants offered advantages, including soil solidification, erosion resistance, and resilience to dry–wet cycles and freeze–thaw cycles, the application of MICP technology to root–soil composites was proposed as a potential solution. Employing a combined approach of RF-RFE-CV modeling and microscopic imaging on laboratory samples from the Western City Wall of the Jinyang Ancient City in Taiyuan, Shanxi Province, China, key factors and characteristics in the mineralization process of Sporosarcina pasteurii were quantified and observed systematically to define the optimal pathway for enhancing urease activity and calcite yield. The conclusions were as follows. The urease activity of Sporosarcina pasteurii was primarily regulated by three key parameters with bacterial concentration, pH value, and the intensity of urease activity, which required stage-specific dynamic control throughout the growth cycle. Bacterial concentration consistently emerged as a high-importance feature across multiple time points, with peak effectiveness observed at 24 h (1.127). pH value remained a highly influential parameter across several time points, exhibiting maximum impact at around 8 h (1.566). With the intensity of urease activity, pH exerted a pronounced influence during the early cultivation stage, whereas inoculation volume gained increasing importance after 12 h. To achieve maximum urease activity, the use of CASO AGAR Medium 220 and the following optimized culture conditions was recommended: an activation culture time of 27 h, an inoculation age of 16 h, an inoculation volume of 1%, a culture temperature of 32 °C, an initial pH of 8, and an oscillation speed of 170 r/min. Furthermore, to maximize the yield of CaCO3 in output and the yield of calcite in CaCO3, the following conditions and procedures were recommended: a ratio of urea concentration to Ca2+ concentration of 1 M:1.3 M, using the premix method of Sporosarcina pasteurii, quiescent reaction, undisturbed filtration, and drying at room-temperature in the shade environment. Full article
(This article belongs to the Section Environmental Microbiology)
Show Figures

Figure 1

10 pages, 599 KB  
Article
Effects of Whey Protein, Aloe Vera, or Carnauba Wax Biofilms on the Internal Quality of Eggs from 86-Week-Old Hens
by Jhenifer Sara Pinheiro Favacho, Paulo Sergio Silva Lima, Isabela Cristina Milla, Lucas Emannuel Ferreira, Vanessa Kelen Nunes, Isabella da luz de Souza and Hirasilva Borba
Coatings 2025, 15(12), 1431; https://doi.org/10.3390/coatings15121431 - 5 Dec 2025
Viewed by 370
Abstract
Egg quality loss during storage is a major concern in the poultry industry, particularly for eggs from older hens, which are more susceptible to shell thinning, albumen liquefaction, and yolk weakening. This study evaluated the effect of whey protein, Aloe vera, and carnauba-wax [...] Read more.
Egg quality loss during storage is a major concern in the poultry industry, particularly for eggs from older hens, which are more susceptible to shell thinning, albumen liquefaction, and yolk weakening. This study evaluated the effect of whey protein, Aloe vera, and carnauba-wax coatings on the internal quality of eggs from 86-week-old laying hens stored at room temperature for 21 days. The experimental design consisted of four treatments (uncoated control and three coatings) and four storage times (0, 7, 14, and 21 days). Internal quality was assessed by Haugh unit (HU), yolk index (YI), albumen pH, and yolk color parameters (L*, a*, b*). The results showed that storage time significantly affected all internal quality traits (p < 0.05). Whey protein coating consistently maintained higher HU and YI values and lower albumen pH compared with the control, indicating better preservation of albumen viscosity and CO2 retention. Aloe vera and carnauba-wax coatings had only transient effects, with values similar to the control after 14 days. Yolk color stability also declined over time, with minor protection observed only for the whey protein treatment. In conclusion, whey protein coating provided the best overall preservation of egg internal quality during storage, demonstrating superior gas barrier properties and structural stability. These findings suggest that protein-based coatings may be an effective strategy to extend the shelf life of eggs from aged laying hens. Full article
(This article belongs to the Special Issue Advances and Applications of Sustainable Food Packaging Coating)
Show Figures

Graphical abstract

18 pages, 4721 KB  
Article
Tetrametallic Au@Ag-Pd-Pt Nanozyme with Surface-Exposed Active Sites for Enhanced Catalytic Activity
by Vasily G. Panferov, Nadezhda A. Byzova, Konstantin B. Shumaev, Anatoly V. Zherdev and Boris B. Dzantiev
Nanomaterials 2025, 15(23), 1833; https://doi.org/10.3390/nano15231833 - 4 Dec 2025
Viewed by 617
Abstract
Metal nanoparticles (NPs) with enzyme-mimicking activities, known as nanozymes, are being actively explored for biomedical and analytical applications. Enhancing their catalytic activity and metal utilization efficiency is crucial for advancing these technologies. Here, we report an aqueous-phase, room-temperature synthesis of tetra-metallic Au@Ag-Pd-Pt NPs [...] Read more.
Metal nanoparticles (NPs) with enzyme-mimicking activities, known as nanozymes, are being actively explored for biomedical and analytical applications. Enhancing their catalytic activity and metal utilization efficiency is crucial for advancing these technologies. Here, we report an aqueous-phase, room-temperature synthesis of tetra-metallic Au@Ag-Pd-Pt NPs that exhibit superior peroxidase-like activity compared to their mono-, bi-, and trimetallic counterparts. The synthesis involves a sequential, seed-mediated approach comprising the formation of Au NP seeds, the overgrowth of a Ag shell, and the galvanic replacement of Ag with Pd and Pt ions. We systematically investigated the effects of the Au core diameter (15, 40, 55 nm), Ag precursor concentration (50–400 µM), and the Pd-to-Pt ratio on the optical and catalytic properties. By changing the particle composition, we were able to tune the absorbance maximum from 520 nm to 650 nm while maintaining high extinction coefficients (109–1010 M−1cm−1) comparable to that of the initial Au nanoparticles. Mapping of chemical element distributions in the nanoscale range confirmed a core–shell–shell architecture with surface-enriched Pd and Pt. This structure ensures the surface-exposed localization of catalytically active atoms, yielding a more than 10-fold improvement in specific peroxidase-like activity while utilizing up to two orders of magnitude less Pt and Pd than bimetallic particles. The synthesized NPs thus combine high catalytic activity with tunable optical properties, making them promising multifunctional labels for biosensing. Full article
(This article belongs to the Special Issue Noble Metal Nanomaterials: Controllable Preparation and Properties)
Show Figures

Graphical abstract

14 pages, 4547 KB  
Article
Effect of Heat Treatment on the Microstructure and Mechanical Properties of Mg-3.2Nd-2.5Gd-0.4Zn-0.5Zr (wt.%) Alloy
by Yao Li, Jingya Cui, Honghui Liu, Tong Mu, Lingyun An, Yongcai Zhang, Qiang Yu, Hailong Zhang and Xiushen Ye
Materials 2025, 18(23), 5454; https://doi.org/10.3390/ma18235454 - 3 Dec 2025
Viewed by 424
Abstract
This study systematically examines the influence of heat treatment on the microstructure and mechanical properties of the Mg-3.2Nd-2.5Gd-0.4Zn-0.5Zr (wt.%) alloy using optical microscopy (OM), scanning electron microscopy (SEM), transmission electron microscopy (TEM), and mechanical testing. The as-cast alloy consists mainly of an α-Mg [...] Read more.
This study systematically examines the influence of heat treatment on the microstructure and mechanical properties of the Mg-3.2Nd-2.5Gd-0.4Zn-0.5Zr (wt.%) alloy using optical microscopy (OM), scanning electron microscopy (SEM), transmission electron microscopy (TEM), and mechanical testing. The as-cast alloy consists mainly of an α-Mg matrix and Mg3RE intermetallic phases. Solution treatment markedly improves microstructural homogeneity by dissolving most Mg-RE phases into the α-Mg matrix. Subsequent aging induces the formation of finely dispersed rare-earth precipitates, which contribute significantly to the improvement in hardness and strength. The optimal heat-treatment parameters are a solution treatment at 520 °C for 10 h followed by aging at 200 °C for 16 h (T6). After T6 treatment, the alloy exhibits an ultimate tensile strength (UTS) of 322 ± 2.0 MPa, a yield strength (YS) of 220 ± 23.0 MPa (increases of 53% and 88% relative to the as-cast alloy), and an elongation (EL) of 8.7 ± 0.2% at room temperature. At 150 °C, the UTS, YS, and EL reach 292 ± 2.6 MPa, 185 ± 1.1 MPa (41% and 62% improvements over the as-cast state), and 16 ± 1.0%, respectively, indicating excellent mechanical performance at elevated temperatures. Full article
(This article belongs to the Section Metals and Alloys)
Show Figures

Figure 1

12 pages, 1380 KB  
Article
Unsupervised Clustering of 41,728 Emergency Department Visits: Insights into Patient Profiles and KTAS Reliability
by Jongsun Kim, EunChul Jang, SoonChan Kwon and MyoungJe Song
Healthcare 2025, 13(23), 3073; https://doi.org/10.3390/healthcare13233073 - 26 Nov 2025
Viewed by 390
Abstract
Introduction: In the emergency room, it is essential to quickly and accurately classify the patients’ various severities. However, existing five-stage classification systems, such as the Korean Emergency Patient Classification Tool (KTAS), do not sufficiently reflect the physiological and clinical heterogeneity of all patients, [...] Read more.
Introduction: In the emergency room, it is essential to quickly and accurately classify the patients’ various severities. However, existing five-stage classification systems, such as the Korean Emergency Patient Classification Tool (KTAS), do not sufficiently reflect the physiological and clinical heterogeneity of all patients, so there is a possibility of under-classification in some age groups or specific symptom groups. Methods: A retrospective cross-sectional study was conducted using KTAS and the physiological and clinical data of 41,728 patients who visited the emergency room of a university hospital in Incheon in 2022. K-prototypes unsupervised cluster analysis incorporating demographic, physiological, and clinical variables was applied, and the number of clusters was determined as the optimal value through the Silhouette, Dunn, and Davies–Bouldin indicators. Dimension reduction was performed by UMAP, and differences between clusters were compared by t-test, Mann–Whitney U, and chi-square test. Results: Two different clusters were identified. Cluster 0 was a stable patient group with a mean age of 58 years and an average arterial pressure of 104 mmHg. On the other hand, Cluster 1 was a young but physiologically unstable patient group with an average age of 46 years and an average arterial pressure of 90 mmHg. There were significant differences in age, MAP, heart rate, respiratory rate, body temperature, and pain scores between clusters (p < 0.001), and a moderate association was observed between KTAS classification and clusters (Cramer’s V = 0.208). Discussion: This study suggested the possibility of early identification of high-risk groups in the emergency room and efficient resource allocation by identifying potential patient heterogeneity that KTAS cannot detect through unsupervised learning. This approach can be used as a basis for precision triage and patient-centered emergency medical policy establishment by supplementing rather than replacing the existing classification system. Full article
(This article belongs to the Special Issue New Tools and Technologies in Emergency Medicine and Critical Care)
Show Figures

Figure 1

12 pages, 15632 KB  
Article
Effects of Sn Microalloying on the Microstructure and Properties of Al-Mg-Mn-Si Alloy
by Yue Chai, Shengping Wen, Xiaolan Wu, Kunyuan Gao, Wu Wei, Li Rong, Hui Huang and Zuoren Nie
Metals 2025, 15(12), 1280; https://doi.org/10.3390/met15121280 - 23 Nov 2025
Viewed by 577
Abstract
Microalloying with Sn is a pivotal strategy for enhancing the strength and thermal stability of Al-Mg-Mn-Si alloys by enabling microstructural optimization. This study systematically investigates the influence of 0.1 wt.% Sn on an Al-4.0Mg-1.0Mn-0.2Si alloy through a comparative analysis with a Sn-free counterpart. [...] Read more.
Microalloying with Sn is a pivotal strategy for enhancing the strength and thermal stability of Al-Mg-Mn-Si alloys by enabling microstructural optimization. This study systematically investigates the influence of 0.1 wt.% Sn on an Al-4.0Mg-1.0Mn-0.2Si alloy through a comparative analysis with a Sn-free counterpart. The experimental methodology included isochronal aging and isothermal aging, room-temperature tensile testing, electrical conductivity measurements, and detailed microstructural characterization via transmission electron microscopy (TEM) and optical microscopy (OM). The results unequivocally demonstrate that Sn addition significantly enhances the alloy’s microhardness, tensile properties, and heat resistance. Specifically, the Sn-containing alloy (1#) achieved a peak hardness of 98.4 HV during a three-stage aging process, which is 14.1% higher than the 84.5 HV of the Sn-free alloy (2#). In the as-rolled state, alloy 1# exhibited ultimate tensile strength (UTS) and yield strength (YS) of 397 MPa and 344 MPa, representing increases of 20.2% and 15.7%, respectively, without compromising ductility. Microstructural analysis revealed that the enhancement is attributed to the Sn-promoted formation of finely dispersed α-AlMnSi precipitates. These precipitates effectively pin dislocations, strengthening the alloy, and simultaneously suppress recrystallization nucleation and growth, thereby elevating the recrystallization temperature and improving overall heat resistance. This work confirms that microalloying with Sn is an effective strategy for developing high-performance Al-Mg-Mn-Si alloys with superior mechanical properties and thermal stability. Full article
Show Figures

Figure 1

28 pages, 9819 KB  
Article
Winter Construction of 60 m Precast Railway Box Girders: An Investigation into Efficient Thermal Insulation Strategies
by Wei Yang, Tao Zhang, Zuqing Zhao, Xuebin Feng, Lei Wang, Fei Wang and Yuliang Cai
Buildings 2025, 15(22), 4201; https://doi.org/10.3390/buildings15224201 - 20 Nov 2025
Viewed by 242
Abstract
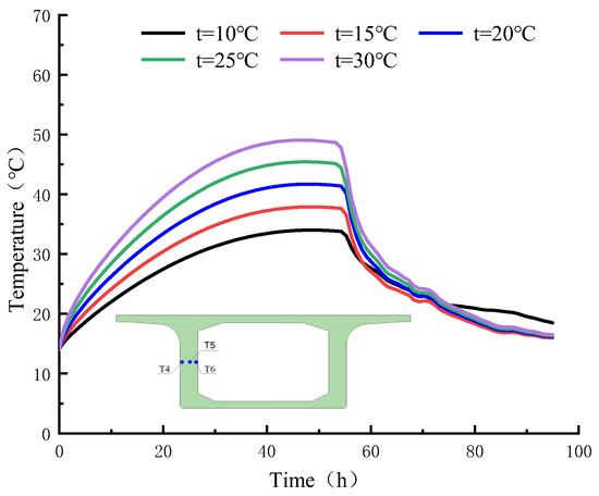
Large-scale concrete box girders are prone to early-age cracking because of the hydration reaction. To expedite the winter construction of large-scale precast box girders while mitigating the risk of thermal cracking induced by hydration heat, this study performs in situ temperature field monitoring [...] Read more.
Large-scale concrete box girders are prone to early-age cracking because of the hydration reaction. To expedite the winter construction of large-scale precast box girders while mitigating the risk of thermal cracking induced by hydration heat, this study performs in situ temperature field monitoring and investigates the strength development of concrete under various curing conditions. The temperature field is numerically simulated using finite element analysis software ABAQUS and the secondary development of the subroutine. A parametric analysis is conducted to evaluate the influence of insulation rooms, insulation temperatures, and concrete placing temperatures. The results indicate that thermal insulation during winter construction effectively accelerates the development of concrete strength and enhances production efficiency. Compared to natural curing conditions, elevated insulation temperatures increase the temperature difference between the web core and inner surface, while reducing the early-stage temperature differences between the web core and outer surface. To minimize excessive temperature differences in large-scale box girders caused by hydration heat and thermal insulation during winter construction, it is recommended to maintain the concrete placing temperature below 19 °C and the insulation temperature within the range of 15–20 °C. Full article
(This article belongs to the Section Building Structures)
Show Figures

Figure 1

10 pages, 636 KB  
Article
Effects of Immunomodulatory Therapy on the Skin Barrier Function in Patients with Psoriasis Vulgaris
by Anete Mālkalne, Vanda Bondare-Ansberga, Ilona Hartmane, Ingmārs Mikažāns and Lelde Reinberga
Medicina 2025, 61(11), 2070; https://doi.org/10.3390/medicina61112070 - 20 Nov 2025
Viewed by 495
Abstract
Background and Objectives: Psoriasis vulgaris features epidermal barrier dysfunction. Materials and Methods: Barrier function changes were prospectively evaluated over 12 weeks during TNF-α inhibition with adalimumab, along with concurrent changes in disease severity and quality of life. Adults with moderate-to-severe plaque [...] Read more.
Background and Objectives: Psoriasis vulgaris features epidermal barrier dysfunction. Materials and Methods: Barrier function changes were prospectively evaluated over 12 weeks during TNF-α inhibition with adalimumab, along with concurrent changes in disease severity and quality of life. Adults with moderate-to-severe plaque psoriasis initiating adalimumab (80 mg loading on day 1; 40 mg every other week thereafter, starting day 8) underwent assessments at baseline and at week 12 (n = 9; mean age 44.1 ± 14.9 years, range 20–61). Transepidermal water loss (TEWL; g/m2/h) and skin pH were measured at the elbow, lower leg, abdomen, back, and scalp; PASI, BSA, and DLQI were recorded. The measurements were standardized, though room temperature/humidity were not identical between visits. Results: The clinical indices improved markedly and TEWL also decreased at all sites—the elbow, lower leg, abdomen, back, and scalp—indicating barrier recovery; in contrast, the pH remained within a mildly acidic range at all sites. Lesion-to-non-lesion conversion occurred, and no site worsened. Conclusions: In summary, 12 weeks of adalimumab were associated with a notable clinical improvement and consistent, site-spanning reductions in TEWL, whereas skin surface pH showed no material change. TEWL appears to be a sensitive objective adjunct to clinical indices for monitoring response. Full article
(This article belongs to the Special Issue Psoriasis and Related Conditions: Recent Advances and Controversies)
Show Figures

Figure 1

19 pages, 1809 KB  
Article
Influence of Dark Aging on the Mechanical Properties of Zirconium Silicate Nanoparticle-Reinforced Maxillofacial Silicone Prostheses
by Saja Kareem Esmael, Faten Khalid Al-Kadi, Jwan Fateh Abdulkareem and Mohammed Abdalla Mahmood
Prosthesis 2025, 7(6), 149; https://doi.org/10.3390/prosthesis7060149 - 18 Nov 2025
Viewed by 1073
Abstract
Background/Objectives: Silicone elastomers are widely used in maxillofacial prostheses, but their service life is typically limited to 6–24 months due to progressive degradation. Reinforcement with zirconium silicate (ZrSiO4) nanoparticles has been proposed to improve durability, yet evidence on their long-term performance [...] Read more.
Background/Objectives: Silicone elastomers are widely used in maxillofacial prostheses, but their service life is typically limited to 6–24 months due to progressive degradation. Reinforcement with zirconium silicate (ZrSiO4) nanoparticles has been proposed to improve durability, yet evidence on their long-term performance under storage remains limited. This study evaluated the effect of two years of dark storage on the mechanical properties of room-temperature-vulcanized (RTV) silicone reinforced with 1.5 wt% ZrSiO4 nanoparticles. Materials and Methods: Zirconium silicate (ZrSiO4) nanoparticles at 1.5 wt% were incorporated into A-2186 RTV silicone specimens, which were randomly divided into two equal groups: baseline specimens stored for 24 h and aged specimens stored for 24 months under dark conditions. Mechanical properties were assessed by measuring tensile strength, elongation at break, tear resistance, and Shore A hardness in accordance with standardized protocols. Fourier transform infrared (FTIR) spectroscopy was performed to verify the structural characteristics of the ZrSiO4 nanopowder. Statistical analysis was conducted using independent-samples t-tests, with significance set at p < 0.05. Results: After 24 months of dark storage, tensile strength and elongation at break decreased significantly (p < 0.05), indicating reduced elasticity. Tear resistance and hardness showed slight but non-significant reductions. FTIR confirmed the preservation of ZrSiO4 structural features. Conclusions: Dark storage selectively reduced reinforced silicone’s tensile and elongation properties, while tear resistance and hardness remained relatively stable. ZrSiO4 nanoparticles provided partial reinforcement, enhancing stability but not entirely preventing RTV silicone aging. Full article
Show Figures

Graphical abstract

Back to TopTop