Sign in to use this feature.

Years

Between: -

Subjects

remove_circle_outline
remove_circle_outline
remove_circle_outline
remove_circle_outline
remove_circle_outline
remove_circle_outline

Journals

Article Types

Countries / Regions

Search Results (18)

Search Parameters:
Keywords = robot balance equilibrium

Order results
Result details
Results per page
Select all
Export citation of selected articles as:
16 pages, 2221 KB  
Article
A Comparative Study of Natural and Exact Elastic Balancing Methods for the RR-4R-R Manipulator
by Luca Bruzzone, Matteo Verotti and Pietro Fanghella
Machines 2025, 13(11), 1023; https://doi.org/10.3390/machines13111023 - 6 Nov 2025
Viewed by 205
Abstract
If elastic elements are introduced into the mechanical architecture of a robotic manipulator, a free vibration response (Natural Motion) arises that can be exploited to reduce energy consumption in cyclic motions, such as pick-and-place tasks. In this work, this approach is applied to [...] Read more.
If elastic elements are introduced into the mechanical architecture of a robotic manipulator, a free vibration response (Natural Motion) arises that can be exploited to reduce energy consumption in cyclic motions, such as pick-and-place tasks. In this work, this approach is applied to the RR-4R-R manipulator, which is derived from the SCARA robot by replacing the prismatic joint that drives the vertical motion of the end-effector with a four-bar mechanism. This mechanical modification lowers friction and facilitates the introduction of a balancing elastic element. If the elastic element is designed to provide indifferent equilibrium at any position (exact elastic balancing), the actuators need only to overcome the inertial forces; this approach is convenient for slow motions. Conversely, if the elastic element balances gravity exactly only in the median vertical position of the end-effector, Natural Motion around this position arises, and it can be exploited to reduce energy consumption in fast cyclic motions, where inertial forces become prevalent. The threshold of convenience between exact balancing and natural balancing has been evaluated for the RR-4R-R robot by means of a multibody model, assessing different performance indices: the maximum torque of the four-bar actuator, the integral control effort, and the mechanical energy. The simulation campaign was carried out considering different trajectory shapes and the influence of finite stop phases, highlighting the potential benefits of exploiting Natural Motion in robotized manufacturing lines. Full article
Show Figures

Figure 1

31 pages, 5190 KB  
Article
MDF-YOLO: A Hölder-Based Regularity-Guided Multi-Domain Fusion Detection Model for Indoor Objects
by Fengkai Luan, Jiaxing Yang and Hu Zhang
Fractal Fract. 2025, 9(10), 673; https://doi.org/10.3390/fractalfract9100673 - 18 Oct 2025
Viewed by 364
Abstract
With the rise of embodied agents and indoor service robots, object detection has become a critical component supporting semantic mapping, path planning, and human–robot interaction. However, indoor scenes often face challenges such as severe occlusion, large-scale variations, small and densely packed objects, and [...] Read more.
With the rise of embodied agents and indoor service robots, object detection has become a critical component supporting semantic mapping, path planning, and human–robot interaction. However, indoor scenes often face challenges such as severe occlusion, large-scale variations, small and densely packed objects, and complex textures, making existing methods struggle in terms of both robustness and accuracy. This paper proposes MDF-YOLO, a multi-domain fusion detection framework based on Hölder regularity guidance. In the backbone, neck, and feature recovery stages, the framework introduces the CrossGrid Memory Block, Hölder-Based Regularity Guidance–Hierarchical Context Aggregation module, and Frequency-Guided Residual Block, achieving complementary feature modeling across the state space, spatial domain, and frequency domain. In particular, the HG-HCA module uses the Hölder regularity map as a guiding signal to balance the dynamic equilibrium between the macro and micro paths, thus achieving adaptive coordination between global consistency and local discriminability. Experimental results show that MDF-YOLO significantly outperforms mainstream detectors in metrics such as mAP@0.5, mAP@0.75, and mAP@0.5:0.95, achieving values of 0.7158, 0.6117, and 0.5814, respectively, while maintaining near real-time inference efficiency in terms of FPS and latency. Ablation studies further validate the independent and synergistic contributions of CGMB, HG-HCA, and FGRB in improving small-object detection, occlusion handling, and cross-scale robustness. This study demonstrates the potential of Hölder regularity and multi-domain fusion modeling in object detection, offering new insights for efficient visual modeling in complex indoor environments. Full article
Show Figures

Figure 1

26 pages, 7856 KB  
Article
Soft-Constrained MPC Optimized by DBO: Anti-Disturbance Performance Study of Wheeled Bipedal Robots
by Weihua Chen, Yehao Feng, Tie Zhang and Canlin Peng
Machines 2025, 13(10), 916; https://doi.org/10.3390/machines13100916 - 4 Oct 2025
Viewed by 459
Abstract
In disturbance scenarios, wheeled bipedal robots (WBRs) require effective control algorithms to restore balance. To address the trade-off between computational burden and control precision, and to enhance anti-disturbance capability, this paper proposes a soft-constrained Model Predictive Control (MPC) algorithm with optimized horizon parameters [...] Read more.
In disturbance scenarios, wheeled bipedal robots (WBRs) require effective control algorithms to restore balance. To address the trade-off between computational burden and control precision, and to enhance anti-disturbance capability, this paper proposes a soft-constrained Model Predictive Control (MPC) algorithm with optimized horizon parameters tailored to the hardware of the WBR. A cost function is designed, and the Dung Beetle Optimizer (DBO) is employed to optimize the MPC’s prediction and control horizons. An experimental platform is built, and impact and load disturbance experiments are conducted. The experimental results show that, under impact disturbances, the pitch angle and displacement overshoot with optimized MPC are reduced by 58.57% and 42.20%, respectively, compared to unoptimized LQR. Under load disturbances, the pitch angle and displacement overshoot are reduced by 17.09% and 15.53%, respectively, with both disturbances converging to the equilibrium position. Full article
(This article belongs to the Section Robotics, Mechatronics and Intelligent Machines)
Show Figures

Figure 1

26 pages, 2499 KB  
Article
Self-Balancing Mobile Robot with Bluetooth Control: Design, Implementation, and Performance Analysis
by Sandeep Gupta, Kanad Ray and Shamim Kaiser
Automation 2025, 6(3), 42; https://doi.org/10.3390/automation6030042 - 3 Sep 2025
Viewed by 1485
Abstract
This paper presents a comprehensive study of an ESP32 microcontroller-based self-balancing mobile robot system designed in conjunction with an Android app for Bluetooth control. The robot employs an MPU6050 accelerometer/gyroscope to execute dynamic equilibrium control for robotic balance. This study explores the design [...] Read more.
This paper presents a comprehensive study of an ESP32 microcontroller-based self-balancing mobile robot system designed in conjunction with an Android app for Bluetooth control. The robot employs an MPU6050 accelerometer/gyroscope to execute dynamic equilibrium control for robotic balance. This study explores the design of a system composed of an ESP32-based dual-platform architecture. The firmware for the ESP32 executes real-time motor control and sensor processing, while the Android application provides the user interface, data visualization, and command transmission. The system achieves stable operation with tilt angle variations of ±2.5° (σ=0.8°, n = 50 trials) during normal operation with a PID controller tuned to KP = 6.0, KI = 0.1, and KD = 1.5. In experimental tests, control latency was measured at 38–72 ms (mean = 55 ms, σ=12 ms) over distances of 1–10 m with a robust Bluetooth connection. Extended operational tests indicated the reliability of both autonomous obstacle avoidance mode and manual control exceeding 95%. Key contributions include gyro drift compensation using a progressive calibration scheme, intelligent battery management for operational efficiency, and a dual-mode control interface to facilitate seamless transition between manual and autonomous operation. Processing of real-time telemetry on the Android application allows visualization of important parameters like tilt angle, motor speeds, and sensor readings. This work contributes to a cost-effective mobile robotics platform (total cost: USD 127) through the provision of detailed design specifications, implementation strategies, and performance characteristics. Full article
(This article belongs to the Section Robotics and Autonomous Systems)
Show Figures

Figure 1

18 pages, 6211 KB  
Article
Managing Redundancy in a Multiple-Robot Orienteering Problem for Equilibrium and Robustness
by Zengzhen Mi, Tong Jiang, Wenwen Leng and Yuchengzhi Lei
Appl. Sci. 2025, 15(15), 8217; https://doi.org/10.3390/app15158217 - 24 Jul 2025
Viewed by 587
Abstract
In our work, the Robust Multiple-robot Orienteering Problem with Workload Balancing is constructed for the first time. Our primary contribution lies in the rigorous formulation of this problem as a three-stage optimization task. It leverages the Robust Multiple-robot Orienteering Problem (RMOP) as the [...] Read more.
In our work, the Robust Multiple-robot Orienteering Problem with Workload Balancing is constructed for the first time. Our primary contribution lies in the rigorous formulation of this problem as a three-stage optimization task. It leverages the Robust Multiple-robot Orienteering Problem (RMOP) as the initial stage. The Path Replanning stage and the workload balancing stage are introduced to minimize walk redundancy and achieve workload equilibrium. The resultant solution upholds the optimality inherent to the original RMOP. Additionally, we craft a suite of heuristic strategies to mitigate redundancy and employ Monte Carlo sampling to tackle the problem. Our algorithm analysis indicates that the method has asymptotic convergence properties and a feasible time complexity under certain conditions. Local parallelization of the algorithm can further improve its performance. Our simulation studies demonstrate that our approach can efficaciously attain a balance between robustness and workload without compromising performance in the presence of adversarial challenges. Full article
(This article belongs to the Special Issue Embodied Intelligence and Its Application in Robotics)
Show Figures

Figure 1

33 pages, 24137 KB  
Article
Development of a Reduced-Degree-of-Freedom (DOF) Bipedal Robot with Elastic Ankles
by Sharafatdin Yessirkepov, Michele Folgheraiter, Arman Abakov and Timur Umurzakov
Robotics 2024, 13(12), 172; https://doi.org/10.3390/robotics13120172 - 4 Dec 2024
Cited by 1 | Viewed by 2991
Abstract
One of the most challenging aspects of designing a humanoid robot is ensuring stable walking. To achieve this, the kinematic architecture must support 3D motion and maintain equilibrium, particularly during single-foot support. Without proper configuration, the robot may experience unbalanced weight distribution, significantly [...] Read more.
One of the most challenging aspects of designing a humanoid robot is ensuring stable walking. To achieve this, the kinematic architecture must support 3D motion and maintain equilibrium, particularly during single-foot support. Without proper configuration, the robot may experience unbalanced weight distribution, significantly increasing the risk of falling while walking. While adding redundant degrees of freedom (DOFs) can enhance adaptability, it also raises the system’s complexity and cost and the need for more sophisticated control strategies and higher energy consumption. This paper explores a reduced-DOF bipedal robot, which, despite its limited number of DOFs, is capable of performing 3D motion. It features an inverted pendulum and elastic ankles made of thermoplastic polyurethane (TPU), enabling effective balance control and attenuation of disturbances. The robot’s electromechanical design is introduced alongside the kinematic model. Momentum equilibrium in a pseudo-static mode is considered in both the frontal and sagittal planes, taking into account the pendulum and the swinging leg during the single support phase. The TPU ankle’s performance is assessed based on its ability to resist external bending forces, highlighting challenges related to the robot’s weight equilibrium stability and ankle inversion. Experimental results from both Finite Element Analysis (FEA) and real-world tests are compared. Lastly, the joint movements of the inverted pendulum-based biped robot are evaluated in both a virtual environment and a physical prototype while performing lateral tilting and various gait sequences. Full article
(This article belongs to the Section Intelligent Robots and Mechatronics)
Show Figures

Figure 1

22 pages, 517 KB  
Article
LIRL: Latent Imagination-Based Reinforcement Learning for Efficient Coverage Path Planning
by Zhenglin Wei, Tiejiang Sun and Mengjie Zhou
Symmetry 2024, 16(11), 1537; https://doi.org/10.3390/sym16111537 - 17 Nov 2024
Cited by 3 | Viewed by 2428
Abstract
Coverage Path Planning (CPP) in unknown environments presents unique challenges that often require the system to maintain a symmetry between exploration and exploitation in order to efficiently cover unknown areas. This paper introduces latent imagination-based reinforcement learning (LIRL), a novel framework that addresses [...] Read more.
Coverage Path Planning (CPP) in unknown environments presents unique challenges that often require the system to maintain a symmetry between exploration and exploitation in order to efficiently cover unknown areas. This paper introduces latent imagination-based reinforcement learning (LIRL), a novel framework that addresses these challenges by integrating three key components: memory-augmented experience replay (MAER), a latent imagination module (LIM), and multi-step prediction learning (MSPL) within a soft actor–critic architecture. MAER enhances sample efficiency by prioritizing experience retrieval, LIM facilitates long-term planning via simulated trajectories, and MSPL optimizes the trade-off between immediate rewards and future outcomes through adaptive n-step learning. MAER, LIM, and MSPL work within a soft actor–critic architecture, and LIRL creates a dynamic equilibrium that enables efficient, adaptive decision-making. We evaluate LIRL across diverse simulated environments, demonstrating substantial improvements over state-of-the-art methods. Through this method, the agent optimally balances short-term actions with long-term planning, maintaining symmetrical responses to varying environmental changes. The results highlight LIRL’s potential for advancing autonomous CPP in real-world applications such as search and rescue, agricultural robotics, and warehouse automation. Our work contributes to the broader fields of robotics and reinforcement learning, offering insights into integrating memory, imagination, and adaptive learning for complex sequential decision-making tasks. Full article
(This article belongs to the Section Computer)
Show Figures

Figure 1

17 pages, 3316 KB  
Article
Indoor Robot Path Planning Using an Improved Whale Optimization Algorithm
by Qing Si and Changyong Li
Sensors 2023, 23(8), 3988; https://doi.org/10.3390/s23083988 - 14 Apr 2023
Cited by 19 | Viewed by 3164
Abstract
An improved whale optimization algorithm is proposed to solve the problems of the original algorithm in indoor robot path planning, which has slow convergence speed, poor path finding ability, low efficiency, and is easily prone to falling into the local shortest path problem. [...] Read more.
An improved whale optimization algorithm is proposed to solve the problems of the original algorithm in indoor robot path planning, which has slow convergence speed, poor path finding ability, low efficiency, and is easily prone to falling into the local shortest path problem. First, an improved logistic chaotic mapping is applied to enrich the initial population of whales and improve the global search capability of the algorithm. Second, a nonlinear convergence factor is introduced, and the equilibrium parameter A is changed to balance the global and local search capabilities of the algorithm and improve the search efficiency. Finally, the fused Corsi variance and weighting strategy perturbs the location of the whales to improve the path quality. The improved logical whale optimization algorithm (ILWOA) is compared with the WOA and four other improved whale optimization algorithms through eight test functions and three raster map environments for experiments. The results show that ILWOA has better convergence and merit-seeking ability in the test function. In the path planning experiments, the results are better than other algorithms when comparing three evaluation criteria, which verifies that the path quality, merit-seeking ability, and robustness of ILWOA in path planning are improved. Full article
(This article belongs to the Special Issue Advances in Mobile Robot Perceptions, Planning, Control and Learning)
Show Figures

Figure 1

20 pages, 5017 KB  
Article
Multirobot Task Planning Method Based on the Energy Penalty Strategy
by Lidong Liang, Liangheng Zhu, Wenyou Jia and Xiaoliang Cheng
Appl. Sci. 2023, 13(8), 4887; https://doi.org/10.3390/app13084887 - 13 Apr 2023
Cited by 1 | Viewed by 2445
Abstract
In multirobot task planning, the goal is to meet the multi-objective requirements of the optimal and balanced energy consumption of robots. Thus, this paper introduces the energy penalty strategy into the GA (genetic algorithm) to achieve the optimization of the task planning of [...] Read more.
In multirobot task planning, the goal is to meet the multi-objective requirements of the optimal and balanced energy consumption of robots. Thus, this paper introduces the energy penalty strategy into the GA (genetic algorithm) to achieve the optimization of the task planning of multiple robots in different operation scenarios. First, the algorithm model is established, after which the objective function is constructed by taking the energy excess of the relative average energy consumption of each robot as the penalty energy, along with the total energy consumption of multiple robots. In the genetic operation, two-segment chromosome coding is used to realize the iterative optimization of the number and task sequences of robots through diversified cross and mutation operators. Then, in the task scenario with obstacles, the A* (A-Star) algorithm and GA are used to plan the optimal obstacle avoidance path and to realize the secondary optimization of the robot task sequence without changing the number of tasks. During optimization, the energy penalty strategy imposes punishment on the objective function through the size of the penalty energy, enabling the robot energy consumption to reach an equilibrium state by maintaining the total energy consumption at the minimum. Finally, the MATLAB platform is used to conduct the simulation experiments to compare with basic genetic algorithms and penalty function algorithms, after which the optimal allocation scheme and energy consumption iteration of the algorithm are analyzed under different robot numbers, task numbers, and task scenarios, and the simulation results include robot task sequences, total energy consumption, average energy consumption, and standard deviation of energy consumption. Full article
Show Figures

Figure 1

28 pages, 2344 KB  
Article
Balance Control of a Configurable Inverted Pendulum on an Omni-Directional Wheeled Mobile Robot
by Sho-Tsung Kao and Ming-Tzu Ho
Appl. Sci. 2022, 12(20), 10307; https://doi.org/10.3390/app122010307 - 13 Oct 2022
Cited by 7 | Viewed by 3957
Abstract
This paper considers the balance control problems of a configurable inverted pendulum with an omni-directional wheeled mobile robot. The system consists of two parts. One is an inverted pendulum, and another one is an omni-directional wheeled mobile robot. The system can be configured [...] Read more.
This paper considers the balance control problems of a configurable inverted pendulum with an omni-directional wheeled mobile robot. The system consists of two parts. One is an inverted pendulum, and another one is an omni-directional wheeled mobile robot. The system can be configured as a rotary inverted pendulum or a spherical inverted pendulum. The objective is to control the omni-directional wheeled mobile robot to provide translational force on the plane to balance the spherical inverted pendulum and to provide the moment to balance the rotary inverted pendulum. Detailed dynamic models of these two systems are derived for the control strategy design and simulation studies. Stabilizing controllers based on the second-order sliding mode control are designed for both systems. The closed-loop stability is proved based on the passivity properties. The proposed control schemes can guarantee semi-globally asymptotical stability over the upper-half plane. In addition, the conventional sliding mode controllers proposed in our previous work and Linear-Quadratic Regulator (LQR) controllers based on the linearized system models about its upright equilibrium point are also used for performance comparison. The effectiveness of the control strategies is investigated and verified using simulation and experimental studies. In the simulation studies, different sources of uncertainty and disturbance are investigated. It is shown that the second-order sliding mode control outperforms the conventional sliding mode control and LQR control without any uncertainty and disturbance. For robustness to the matched disturbance, the simulation results show that the second-order sliding mode controller has a less significant steady-state oscillation in the pendulum’s angular displacement than other controllers. The simulation results also show that only the second-order sliding mode controller can stabilize the system with a significant initial deviation from the pendulum’s upright position. Finally, the experimental results demonstrate that second-order sliding mode control outperforms conventional sliding mode control and LQR control. Full article
(This article belongs to the Special Issue New Trends in Robotics, Automation and Mechatronics (RAM))
Show Figures

Figure 1

16 pages, 19103 KB  
Article
Alleviation of Residual Vibrations in Hard-Magnetic Soft Actuators Using a Command-Shaping Scheme
by Naresh Nagal, Shikhar Srivastava, Chandan Pandey, Ankur Gupta and Atul Kumar Sharma
Polymers 2022, 14(15), 3037; https://doi.org/10.3390/polym14153037 - 27 Jul 2022
Cited by 22 | Viewed by 2701
Abstract
Hard-magnetic soft materials belong to a class of the highly deformable magneto-active elastomer family of smart materials and provide a promising technology for flexible electronics, soft robots, and functional metamaterials. When hard-magnetic soft actuators are driven by a multiple-step input signal (Heaviside magnetic [...] Read more.
Hard-magnetic soft materials belong to a class of the highly deformable magneto-active elastomer family of smart materials and provide a promising technology for flexible electronics, soft robots, and functional metamaterials. When hard-magnetic soft actuators are driven by a multiple-step input signal (Heaviside magnetic field signal), the residual oscillations exhibited by the actuator about equilibrium positions may limit their performance and accuracy in practical applications. This work aims at developing a command-shaping scheme for alleviating residual vibrations in a magnetically driven planar hard-magnetic soft actuator. The control scheme is based on the balance of magnetic and elastic forces at a critical point in an oscillation cycle. The equation governing the dynamics of the actuator is devised using the Euler–Lagrange equation. The constitutive behaviour of the hard-magnetic soft material is modeled using the Gent model of hyperelasticity, which accounts for the strain-stiffening effects. The dynamic response of the actuator under a step input signal is obtained by numerically solving the devised dynamic governing equation using MATLAB ODE solver. To demonstrate the applicability of the developed command-shaping scheme, a thorough investigation showing the effect of various parameters such as material damping, the sequence of desired equilibrium positions, and polymer chain extensibility on the performance of the proposed scheme is performed. The designed control scheme is found to be effective in controlling the motion of the hard-magnetic soft actuator at any desired equilibrium position. The present study can find its potential application in the design and development of an open-loop controller for hard-magnetic soft actuators. Full article
(This article belongs to the Special Issue Frontier in Magneto-/ Electro-Active Elastomers)
Show Figures

Figure 1

32 pages, 428 KB  
Article
Rate of Entropy Production in Stochastic Mechanical Systems
by Gregory S. Chirikjian
Entropy 2022, 24(1), 19; https://doi.org/10.3390/e24010019 - 23 Dec 2021
Cited by 2 | Viewed by 3798
Abstract
Entropy production in stochastic mechanical systems is examined here with strict bounds on its rate. Stochastic mechanical systems include pure diffusions in Euclidean space or on Lie groups, as well as systems evolving on phase space for which the fluctuation-dissipation theorem applies, i.e., [...] Read more.
Entropy production in stochastic mechanical systems is examined here with strict bounds on its rate. Stochastic mechanical systems include pure diffusions in Euclidean space or on Lie groups, as well as systems evolving on phase space for which the fluctuation-dissipation theorem applies, i.e., return-to-equilibrium processes. Two separate ways for ensembles of such mechanical systems forced by noise to reach equilibrium are examined here. First, a restorative potential and damping can be applied, leading to a classical return-to-equilibrium process wherein energy taken out by damping can balance the energy going in from the noise. Second, the process evolves on a compact configuration space (such as random walks on spheres, torsion angles in chain molecules, and rotational Brownian motion) lead to long-time solutions that are constant over the configuration space, regardless of whether or not damping and random forcing balance. This is a kind of potential-free equilibrium distribution resulting from topological constraints. Inertial and noninertial (kinematic) systems are considered. These systems can consist of unconstrained particles or more complex systems with constraints, such as rigid-bodies or linkages. These more complicated systems evolve on Lie groups and model phenomena such as rotational Brownian motion and nonholonomic robotic systems. In all cases, it is shown that the rate of entropy production is closely related to the appropriate concept of Fisher information matrix of the probability density defined by the Fokker–Planck equation. Classical results from information theory are then repurposed to provide computable bounds on the rate of entropy production in stochastic mechanical systems. Full article
(This article belongs to the Collection Randomness and Entropy Production)
10 pages, 1720 KB  
Communication
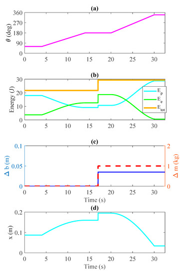
Passive Gravity Balancing with a Self-Regulating Mechanism for Variable Payload
by Diego Franchetti, Giovanni Boschetti and Basilio Lenzo
Machines 2021, 9(8), 145; https://doi.org/10.3390/machines9080145 - 29 Jul 2021
Cited by 7 | Viewed by 4366
Abstract
Gravity balancing techniques allow for the reduction of energy consumptions in robotic systems. With the appropriate arrangements, often including springs, the overall potential energy of a manipulator can be made configuration-independent, achieving an indifferent equilibrium for any position. On the other hand, such [...] Read more.
Gravity balancing techniques allow for the reduction of energy consumptions in robotic systems. With the appropriate arrangements, often including springs, the overall potential energy of a manipulator can be made configuration-independent, achieving an indifferent equilibrium for any position. On the other hand, such arrangements lose their effectiveness when some of the system parameters change, including the mass. This paper proposes a method to accommodate different payloads for a mechanism with a single degree-of-freedom (DOF). By means of an auxiliary mechanism including a slider, pulleys and a counterweight, the attachment point of a spring is automatically regulated so as to maintain the system in indifferent equilibrium regardless of the position, even when the overall mass of the system varies. Practical implications for the design of the mechanism are also discussed. Simulation results confirm the effectiveness of the proposed approach. Full article
(This article belongs to the Section Machine Design and Theory)
Show Figures

Figure 1

20 pages, 2853 KB  
Article
Sliding Balance Control of a Point-Foot Biped Robot Based on a Dual-Objective Convergent Equation
by Yizhou Lu, Junyao Gao, Xuanyang Shi, Dingkui Tian and Yi Liu
Appl. Sci. 2021, 11(9), 4016; https://doi.org/10.3390/app11094016 - 28 Apr 2021
Cited by 3 | Viewed by 2976
Abstract
The point-foot biped robot is highly adaptable to and can move rapidly on complex, non-structural and non-continuous terrain, as demonstrated in many studies. However, few studies have investigated balance control methods for point-foot sliding on low-friction terrain. This article presents a control framework [...] Read more.
The point-foot biped robot is highly adaptable to and can move rapidly on complex, non-structural and non-continuous terrain, as demonstrated in many studies. However, few studies have investigated balance control methods for point-foot sliding on low-friction terrain. This article presents a control framework based on the dual-objective convergence method and whole-body control for the point-foot biped robot to stabilize its posture balance in sliding. In this control framework, a dual-objective convergence equation is used to construct the posture stability criterion and the corresponding equilibrium control task, which are simultaneously converged. Control tasks are then carried out through the whole-body control framework, which adopts an optimization method to calculate the viable joint torque under the physical constraints of dynamics, friction and contact forces. In addition, this article extends the proposed approach to balance control in standing recovery. Finally, the capabilities of the proposed controller are verified in simulations in which a 26.9-kg three-link point-foot biped robot (1) slides over a 10 trapezoidal terrain, (2) slides on terrain with a sinusoidal friction coefficient between 0.05 and 0.25 and (3) stands and recovers from a center-of-mass offset of 0.02 m. Full article
Show Figures

Figure 1

16 pages, 4778 KB  
Article
A Variable Parameter Ambient Vibration Control Method Based on Quasi-Zero Stiffness in Robotic Drilling Systems
by Laixi Zhang, Chenming Zhao, Feng Qian, Jaspreet Singh Dhupia and Mingliang Wu
Machines 2021, 9(3), 67; https://doi.org/10.3390/machines9030067 - 21 Mar 2021
Cited by 16 | Viewed by 3740
Abstract
Vibrations in the aircraft assembly building will affect the precision of the robotic drilling system. A variable stiffness and damping semiactive vibration control mechanism with quasi-zero stiffness characteristics is developed. The quasi-zero stiffness of the mechanism is realized by the parallel connection of [...] Read more.
Vibrations in the aircraft assembly building will affect the precision of the robotic drilling system. A variable stiffness and damping semiactive vibration control mechanism with quasi-zero stiffness characteristics is developed. The quasi-zero stiffness of the mechanism is realized by the parallel connection of four vertically arranged bearing springs and two symmetrical horizontally arranged negative stiffness elements. Firstly, the quasi-zero stiffness parameters of the mechanism at the static equilibrium position are obtained through analysis. Secondly, the harmonic balance method is used to deal with the differential equations of motion. The effects of every parameter on the displacement transmissibility are analyzed, and the variable parameter control strategies are proposed. Finally, the system responses of the passive and semiactive vibration isolation mechanisms to the segmental variable frequency excitations are compared through virtual prototype experiments. The results show that the frequency range of vibration isolation is widened, and the stability of the vibration control system is effectively improved without resonance through the semiactive vibration control method. It is of innovative significance for ambient vibration control in robotic drilling systems. Full article
(This article belongs to the Section Automation and Control Systems)
Show Figures

Figure 1

Back to TopTop