Sign in to use this feature.

Years

Between: -

Subjects

remove_circle_outline
remove_circle_outline
remove_circle_outline
remove_circle_outline
remove_circle_outline
remove_circle_outline
remove_circle_outline
remove_circle_outline
remove_circle_outline

Journals

Article Types

Countries / Regions

Search Results (107)

Search Parameters:
Keywords = rice trade

Order results
Result details
Results per page
Select all
Export citation of selected articles as:
19 pages, 2136 KB  
Article
Transformer-Based Multi-Class Classification of Bangladeshi Rice Varieties Using Image Data
by Israt Tabassum and Vimala Nunavath
Appl. Sci. 2026, 16(3), 1279; https://doi.org/10.3390/app16031279 - 27 Jan 2026
Viewed by 57
Abstract
Rice (Oryza sativa L.) is a staple food for over half of the global population, with significant economic, agricultural, and cultural importance, particularly in Asia. Thousands of rice varieties exist worldwide, differing in size, shape, color, and texture, making accurate classification essential [...] Read more.
Rice (Oryza sativa L.) is a staple food for over half of the global population, with significant economic, agricultural, and cultural importance, particularly in Asia. Thousands of rice varieties exist worldwide, differing in size, shape, color, and texture, making accurate classification essential for quality control, breeding programs, and authenticity verification in trade and research. Traditional manual identification of rice varieties is time-consuming, error-prone, and heavily reliant on expert knowledge. Deep learning provides an efficient alternative by automatically extracting discriminative features from rice grain images for precise classification. While prior studies have primarily employed deep learning models such as CNN, VGG, InceptionV3, MobileNet, and DenseNet201, transformer-based models remain underexplored for rice variety classification. This study addresses this gap by applying two deep learning models such as Swin Transformer and Vision Transformer for multi-class classification of rice varieties using the publicly available PRBD dataset from Bangladesh. Experimental results demonstrate that the ViT model achieved an accuracy of 99.86% with precision, recall, and F1-score all at 0.9986, while the Swin Transformer model obtained an accuracy of 99.44% with a precision of 0.9944, recall of 0.9944, and F1-score of 0.9943. These results highlight the effectiveness of transformer-based models for high-accuracy rice variety classification. Full article
(This article belongs to the Section Computing and Artificial Intelligence)
Show Figures

Figure 1

22 pages, 1873 KB  
Review
Electron Transfer-Mediated Heavy Metal(loid) Bioavailability, Rice Accumulation, and Mitigation in Paddy Ecosystems: A Critical Review
by Zheng-Xian Cao, Zhuo-Qi Tian, Hui Guan, Yu-Wei Lv, Sheng-Nan Zhang, Tao Song, Guang-Yu Wu, Fu-Yuan Zhu and Hui Huang
Agriculture 2026, 16(2), 202; https://doi.org/10.3390/agriculture16020202 - 13 Jan 2026
Viewed by 235
Abstract
Electron transfer (ET) is a foundational biogeochemical process in paddy soils, distinctively molded by alternating anaerobic-aerobic conditions from flooding-drainage cycles. Despite extensive research on heavy metal(loid) (denoted as “HM”, e.g., As, Cd, Cr, Hg) dynamics in paddies, ET has not been systematically synthesized [...] Read more.
Electron transfer (ET) is a foundational biogeochemical process in paddy soils, distinctively molded by alternating anaerobic-aerobic conditions from flooding-drainage cycles. Despite extensive research on heavy metal(loid) (denoted as “HM”, e.g., As, Cd, Cr, Hg) dynamics in paddies, ET has not been systematically synthesized as a unifying regulatory mechanism, and the trade-offs of ET-based mitigation strategies remain unclear. These critical gaps have drastically controlled HMs’ mobility, which further modulates bioavailability and subsequent accumulation in rice (Oryza sativa L., a staple sustaining half the global population), posing substantial food safety risks. Alongside progress in electroactive microorganism (EAM) research, extracellular electron transfer (EET) mechanism delineation, and soil electrochemical monitoring, ET’s role in orchestrating paddy soil HM dynamics has garnered unparalleled attention. This review explicitly focuses on the linkage between ET processes and HM biogeochemistry in paddy ecosystems: (1) elucidates core ET mechanisms in paddy soils (microbial EET, Fe/Mn/S redox cycling, organic matter-mediated electron shuttling, rice root-associated electron exchange) and their acclimation to flooded conditions; (2) systematically unravels how ET drives HM valence transformation (e.g., As(V) to As(III), Cr(VI) to Cr(III)), speciation shifts (e.g., exchangeable Cd to oxide-bound Cd), and mobility changes; (3) expounds on ET-regulated HM bioavailability by modulating soil retention capacity and iron plaque formation; (4) synopsizes ET-modulated HM accumulation pathways in rice (root uptake, xylem/phloem translocation, grain sequestration); (5) evaluates key factors (water management, fertilization, straw return) impacting ET efficiency and associated HM risks. Ultimately, we put forward future avenues for ET-based mitigation strategies to uphold rice safety and paddy soil sustainability. Full article
Show Figures

Figure 1

17 pages, 11478 KB  
Article
The Effects of Pea and Rice Protein Isolates on Structural–Sensory Attributes and Phenolic-Related Antioxidant Properties of Vegan Cookies
by Lidia Kurp, Monika Jabłońska and Tomasz Sawicki
Appl. Sci. 2026, 16(2), 787; https://doi.org/10.3390/app16020787 - 12 Jan 2026
Viewed by 181
Abstract
In response to growing consumer interest in plant-based and eco-friendly diets, the food industry is seeking to enrich bakery products with functional plant proteins, which are highly nutritious and environmentally beneficial. This study aimed to evaluate the effect of incorporating pea protein isolate [...] Read more.
In response to growing consumer interest in plant-based and eco-friendly diets, the food industry is seeking to enrich bakery products with functional plant proteins, which are highly nutritious and environmentally beneficial. This study aimed to evaluate the effect of incorporating pea protein isolate (PPI) and rice protein isolate (RPI) at levels of 5% and 15% on the structural and sensory quality and nutritional properties of vegan cookies. The addition of plant-derived proteins significantly influenced the colour and texture of the cookies. The addition of PPI increased lightness (L* up to 70.05 at 5%), whereas the addition of RPI caused pronounced browning (BI = 100.00 at 15%) and structural hardening at higher inclusion levels. Protein content increased with enrichment, reaching 9.49 g/100 g in the P15% sample (a 95.7% increase compared to the control sample). Total phenolic content increased markedly, particularly in the P15% sample, rising by 144%. However, this was not accompanied by a proportional increase in antioxidant activity, as determined by ABTS and DPPH assays. Sensory evaluation revealed that cookies enriched with 5% protein maintained high consumer acceptability (overall scores > 7.0), whereas higher levels of protein incorporation led to a significant reduction in sensory quality. The results indicate a trade-off between nutritional enhancement and sensory acceptability in vegan cookies enriched with pea and rice protein isolates, with 5% incorporation providing the most balanced outcome within the studied formulations. Full article
(This article belongs to the Section Food Science and Technology)
Show Figures

Figure 1

16 pages, 2200 KB  
Article
Preliminary Study on Optimizing Rice Production in Cold Regions: Yield and Nutritional Trade-Offs Between Transplanting and Mechanical Hill-Drop Seeding
by Huaguo Ding, Songjin Zhou, Jiabao Han, Yingying Liu, Ziliang Cao, Lei Lei, Mingliang Bai, Yu Luo, Guang Yang, Lei Chen, Kai Liu, Wu-Rina Sun, Pinglian Sun and Chenshi Sun
Agronomy 2026, 16(1), 134; https://doi.org/10.3390/agronomy16010134 - 5 Jan 2026
Viewed by 376
Abstract
Direct seeding of rice reduces labor intensity and cost, helping alleviate labor shortages in cold-region rice production. To investigate the effects of mechanical precision hill-direct seeding versus mechanical transplanting on yield and nutrient accumulation in cold regions, a set of field split-plot experiments [...] Read more.
Direct seeding of rice reduces labor intensity and cost, helping alleviate labor shortages in cold-region rice production. To investigate the effects of mechanical precision hill-direct seeding versus mechanical transplanting on yield and nutrient accumulation in cold regions, a set of field split-plot experiments were conducted with cultivation method as the main plot and rice variety as the sub-plot. Our comprehensive measurement results indicate that transplanting significantly increased yield by enhancing tiller number, filled grains per panicle, and grain weight per hill, with significant varietal differences observed. No significant difference in 1000-grain weight was found between the two cultivation methods. Except for Zn content, different cultivation methods have no significant effect on other measured nutrients such as N, P, K, Fe, starch, and fat. Transplanting significantly increased effective tiller number (an increase of 2.6 tillers per hill) and filled grains per panicle (an increase of 12.4 grains), with a significant variety–cultivation method interaction. Qijing 2 (QJ2) and Tiandao 261 (TD261) were more suitable for transplanting to achieve high yield potential, whereas Longgeng 3038 (LG3038) and Tianxiangdao 9 (TXD9) obtained relatively high yields under direct seeding. Therefore, appropriate cultivation methods should be selected based on varietal characteristics: transplanting is recommended for high-yield-potential varieties, while simplified direct seeding is advised for varieties tolerant to direct seeding. Overall, this is a comprehensive consideration and rational strategy based on balancing rice yield, revenue, and benefit, as well as ensuring both food security and farmer income of the entire country and society. Full article
Show Figures

Figure 1

25 pages, 3743 KB  
Article
Virtual Water and Agricultural Sustainability: Unraveling the Trade–Water Nexus in Ecuador’s Crop Sector Through Empirical Modeling
by Eliana Ivanova Cuero Espinoza, Qudus Adeyi, Golden Odey, Hwa-Seok Hwang and Kyung-Sook Choi
Water 2026, 18(1), 122; https://doi.org/10.3390/w18010122 - 4 Jan 2026
Viewed by 627
Abstract
Freshwater scarcity increasingly constrains agricultural sustainability and global food security, particularly where crop production and trade shape national water balances. This study quantifies Ecuador’s green (soil moisture/rainfall) and blue (surface and groundwater) virtual water flows associated with seven strategic crops (banana, cocoa, pineapple, [...] Read more.
Freshwater scarcity increasingly constrains agricultural sustainability and global food security, particularly where crop production and trade shape national water balances. This study quantifies Ecuador’s green (soil moisture/rainfall) and blue (surface and groundwater) virtual water flows associated with seven strategic crops (banana, cocoa, pineapple, maize, rice, barley and potato) from 2000 to 2023 using the Hoekstra–Mekonnen accounting framework, and FAOSTAT production and bilateral trade data. Furthermore, Logarithmic Mean Divisia Index (LMDI) decomposition analysis was applied to identify the key drivers influencing virtual water trade, including economic growth, population, product structure, and water intensity. Results reveal that Ecuador operates as a persistent net exporter of virtual water, with export flows dominated by green water, reflecting the country’s reliance on rainfall-supported production. Virtual water exports increased from 3000 to >15,000 Mm3·yr−1 over the study period, while imports remained substantially smaller, confirming Ecuador’s structurally export-oriented agricultural economy. The LMDI outcomes show that export growth is driven primarily by economic expansion (8.28 × 108 m3) and shifts in the crop export mix, partially offset by improvements in water intensity. These findings highlight Ecuador’s vulnerability to trade-related water pressures and demonstrate the value of virtual water indicators for guiding water governance and SDG-aligned trade strategies, thereby promoting the decoupling of economic growth from water resource consumption and connecting virtual water trade to domestic water scarcity. Full article
(This article belongs to the Section Water Use and Scarcity)
Show Figures

Figure 1

20 pages, 1172 KB  
Review
Genetic and Molecular Basis for Heat Tolerance in Rice: Strategies for Resilience Under Climate Change
by Wei Zhang, Liang Zhou and Dewen Zhang
Plants 2025, 14(22), 3492; https://doi.org/10.3390/plants14223492 - 16 Nov 2025
Cited by 1 | Viewed by 1116
Abstract
Heat stress has emerged as a significant abiotic constraint affecting rice yield and grain quality. In recent years, substantial advancements have been achieved in elucidating molecular regulatory mechanisms and breeding applications pertinent to rice heat tolerance. This review offers a comprehensive examination of [...] Read more.
Heat stress has emerged as a significant abiotic constraint affecting rice yield and grain quality. In recent years, substantial advancements have been achieved in elucidating molecular regulatory mechanisms and breeding applications pertinent to rice heat tolerance. This review offers a comprehensive examination of the fundamental regulatory pathways involved in rice responses to heat stress, encompassing membrane lipid homeostasis, heat signal transduction, transcriptional regulation, RNA stability and translation, epigenetic modifications, hormone signaling, antioxidant defense, and the protection of reproductive organs. Particular emphasis is placed on the functional mechanisms and breeding potential of pivotal thermotolerance-associated genes and quantitative trait loci (QTLs), such as TT1, TT3, and QT12. Additionally, we summarize recent applications of cutting-edge technologies in the enhancement of heat-tolerant rice varieties, including multi-omics integration, CRISPR/Cas9 genome editing, marker-assisted selection (MAS), and rational design breeding. Finally, we address current challenges, including integrating regulatory mechanisms, developing realistic heat simulation systems, validating the functionality of candidate genes, and managing trait trade-offs. This review provides a theoretical foundation for developing heat-tolerant rice cultivars and offers valuable insights to accelerate the breeding of climate-resilient rice varieties for sustainable production. Full article
(This article belongs to the Special Issue Plant Organ Development and Stress Response)
Show Figures

Figure 1

16 pages, 703 KB  
Article
Toxicity of Hypaconitine from Aconitum coreanum (H. Lév.) Rapaics Against the Oriental Armyworm, Mythimna separata (Walker)
by Xiuwei Li, Jiaqi Xing, Meng Yang, Naiwei Chen and Yaping Liang
Insects 2025, 16(11), 1080; https://doi.org/10.3390/insects16111080 - 22 Oct 2025
Viewed by 839
Abstract
Mythimna separata (Walker) (Lepidoptera: Noctuidae) is a major migratory pest causing severe damage to cereal crops such as maize, wheat, and rice across Asia, and is also found in many parts of Oceania. With increasing insecticide resistance, botanical alternatives are urgently needed. This [...] Read more.
Mythimna separata (Walker) (Lepidoptera: Noctuidae) is a major migratory pest causing severe damage to cereal crops such as maize, wheat, and rice across Asia, and is also found in many parts of Oceania. With increasing insecticide resistance, botanical alternatives are urgently needed. This study evaluated the insecticidal potential of hypaconitine, a C19-diterpenoid alkaloid from Aconitum coreanum, against M. separata larvae. Hypaconitine exhibited significant stomach toxicity and strong antifeedant activity. It also caused pronounced growth inhibition, prolonged larval and pupal development, reduced pupation and adult emergence, induced morphological deformities, and significantly shortened adult longevity. Crucially, biochemical assays revealed sustained, time- and concentration-dependent upregulation of key detoxification enzymes—carboxylesterase (CarE), glutathione S-transferase (GST), and cytochrome P450 (CYP450)—over 72 h, indicating that hypaconitine imposes severe metabolic fitness costs rather than being readily detoxified. These effects collectively demonstrate that hypaconitine’s insecticidal efficacy arises not only from direct toxicity but also from exploiting the physiological trade-offs inherent in xenobiotic defense. Its multi-modal action—combining larvicidal, antifeedant, growth-regulatory, and metabolism-disrupting effects—presents a novel strategy for bioinsecticide development with a lower risk of resistance evolution. These findings highlight hypaconitine as a promising candidate for sustainable, integrated management of M. separata and other resistant lepidopteran pests. Full article
(This article belongs to the Section Insect Pest and Vector Management)
Show Figures

Figure 1

19 pages, 620 KB  
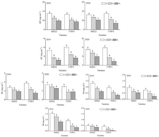
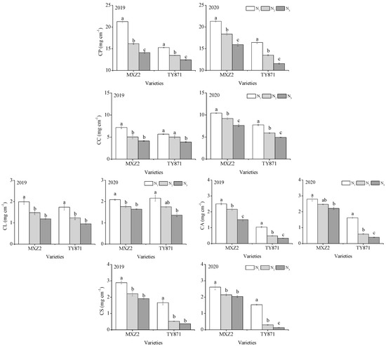
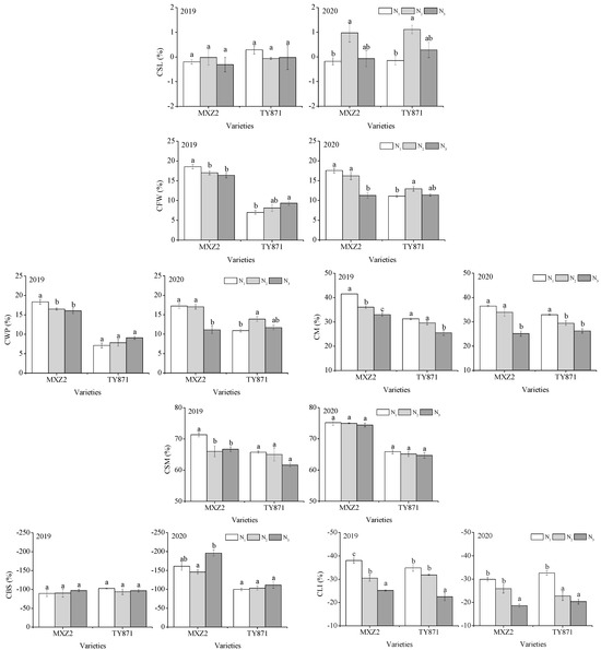
Article
Elevated Nitrogen Fertilization Compromises Lodging Resistance in High-Quality, Late-Season Indica Rice Grown in Southern China
by Lin Guo, Rujie Lv, Yunhan Zhang, Yuan Fang, Simin Yi, Xiaohua Pan, Yongjun Zeng and Qingyin Shang
Agronomy 2025, 15(11), 2451; https://doi.org/10.3390/agronomy15112451 - 22 Oct 2025
Cited by 1 | Viewed by 541
Abstract
While nitrogen is essential for rice production, excessive application promotes lodging, threatening yield stability. In this study, we evaluated the impact of three nitrogen application rates (105, 165, and 225 kg ha−1) on yield formation and lodging resistance in two elite [...] Read more.
While nitrogen is essential for rice production, excessive application promotes lodging, threatening yield stability. In this study, we evaluated the impact of three nitrogen application rates (105, 165, and 225 kg ha−1) on yield formation and lodging resistance in two elite late-season indica rice varieties—Meixiangzhan 2 (MXZ2) and Taiyou 871 (TY871). Our findings demonstrate that (1) elevated nitrogen increased productive panicle number but reduced grains per panicle and percentage of filled grains. (2) High nitrogen inputs substantially elevated the lodging risk, with the lodging index increasing by 20.4% and 45.7% in MXZ2, and by 15.4% and 38.3% in TY871, at 165 and 225 kg ha−1, respectively. (3) Reduced mechanical strength—associated with impaired morphological structure (e.g., increased plant height and height of gravity center), diminished structural carbohydrate content in sheaths and culms, and expanded pith cavity area—collectively contributed to the increased lodging susceptibility with elevated nitrogen. (4) MXZ2, though lower-yielding, exhibited greater lodging resistance than TY871, owing to its superior culm anatomy and sheath strength. (5) Interannual climate variation—particularly low temperature and light intensity in 2020—amplified the negative effects of high nitrogen. Our results provide insights into nitrogen-driven trade-offs between yield and lodging, supporting tailored nitrogen management strategies for indica rice under varying environmental conditions. Full article
(This article belongs to the Section Farming Sustainability)
Show Figures

Figure 1

15 pages, 6940 KB  
Article
Integrative Transcriptomic and Metabolomic Analyses Elucidate the Molecular Mechanisms Underlying Enhanced Yield and Bacterial Blight Resistance in the RXN2 Rice Cultivar
by Ji’an Bi, Jingqi Wang, Xuan Huang, Jiefeng Jiang, Xianbo Shi, Genliang Bao, Qiufeng Meng and Chengqi Yan
Plants 2025, 14(18), 2921; https://doi.org/10.3390/plants14182921 - 19 Sep 2025
Viewed by 687
Abstract
Achieving high yield while maintaining disease resistance is a crucial goal in rice breeding programs. In this research, two cultivated rice varieties, Jia58 and Runxiang3, were selected as parental lines. A new variety, designated as the new variety RXN2, was generated and identified [...] Read more.
Achieving high yield while maintaining disease resistance is a crucial goal in rice breeding programs. In this research, two cultivated rice varieties, Jia58 and Runxiang3, were selected as parental lines. A new variety, designated as the new variety RXN2, was generated and identified through a breeding process that involved hybridization of the parental lines followed by irradiation-induced mutagenesis of the offspring. Compared with its parental lines, RXN2 shows increased plant height, higher yield, and stronger resistance to bacterial blight. Comprehensive transcriptomic and metabolic analyses indicate that pathways associated with growth, such as gibberellin and auxin signaling, are upregulated in RXN2. Meanwhile, defense-related pathways, especially those involving jasmonic acid and peroxidase metabolism, are significantly enhanced. These results provide new insights into the trade-offs between growth and defense and elucidate the genetic and metabolic underpinnings of the simultaneous improvement in grain yield and disease resistance in rice. Full article
Show Figures

Figure 1

16 pages, 9872 KB  
Article
Chlorophyll Deficiency by an OsCHLI Mutation Reprograms Metabolism and Alters Growth Trade-Offs in Rice Seedlings
by Byung Jun Jin, Inkyu Park, Sa-Eun Park, Yujin Jeon, Ah Hyeon Eum, Jun-Ho Song and Kyu-Chan Shim
Agriculture 2025, 15(17), 1807; https://doi.org/10.3390/agriculture15171807 - 24 Aug 2025
Viewed by 1030
Abstract
Chlorophyll biosynthesis is essential for photosynthesis and plant development. Disruptions in this pathway often manifest as pigment-deficient phenotypes. This study characterizes the morphological, anatomical, and physiological consequences of a chlorophyll-deficient rice mutant (yellow seedling, YS) caused by a loss-of-function mutation in the OsCHLI [...] Read more.
Chlorophyll biosynthesis is essential for photosynthesis and plant development. Disruptions in this pathway often manifest as pigment-deficient phenotypes. This study characterizes the morphological, anatomical, and physiological consequences of a chlorophyll-deficient rice mutant (yellow seedling, YS) caused by a loss-of-function mutation in the OsCHLI gene, which encodes the ATPase subunit of magnesium chelatase. Comparative analyses between YSs and wild-type green seedlings (GSs) revealed that YSs exhibited severe growth retardation, altered mesophyll structure, reduced xylem and bulliform cell areas, and higher stomatal and papillae density. These phenotypes were strongly light-dependent, indicating that OsCHLI plays a crucial role in light-mediated chloroplast development and growth. Transcriptome analysis further revealed global down-regulation of photosynthesis-, TCA cycle-, and cell wall-related genes, alongside selective up-regulation of redox-related pathways. These results suggest that chlorophyll deficiency induces systemic metabolic reprogramming, prioritizing stress responses over growth. This study highlights the multifaceted role of OsCHLI in plastid maturation, retrograde signaling, and developmental regulation, providing new insights for improving photosynthetic efficiency and stress resilience in rice. Full article
(This article belongs to the Section Crop Genetics, Genomics and Breeding)
Show Figures

Figure 1

26 pages, 2445 KB  
Article
The Evolution of Global Food Trade Systems and Their Resilience in Response to COVID-19: Performance Across Nations
by Zhimeng Zhao, Lili Xu, Haoyan Ma, Xuesong Zhang and Liping Tang
Agriculture 2025, 15(16), 1761; https://doi.org/10.3390/agriculture15161761 - 16 Aug 2025
Viewed by 1994
Abstract
A resilient food trade system is crucial for global food security. The spatiotemporal changes in the trade of four main cereals (soybean, wheat, rice, and maize) and their responses to COVID-19 may serve as an efficient indicator of system resilience but remain underexplored. [...] Read more.
A resilient food trade system is crucial for global food security. The spatiotemporal changes in the trade of four main cereals (soybean, wheat, rice, and maize) and their responses to COVID-19 may serve as an efficient indicator of system resilience but remain underexplored. Using the United Nations Comtrade dataset and the COVID-19 dataset, this paper analyzed the evolution of the Global Trade Network for Four Cereals (GTN4) over 21 years and assessed their trade responses to COVID-19. The findings are as follows: (1) The GTN4 underwent a significant shift after 2019. Between 2000 and 2019, the network steadily expanded in size and became more interconnected, both overall and within groups of developing and developed countries. However, following 2019, its overall accessibility declined, with the extent of deterioration varying between these two groups. (2) COVID-19 influenced the cereal trade in 44–69% of countries, with developed nations exhibiting greater resilience. (3) Wheat exports from Germany, rice from Italy, and maize from the United States demonstrated the highest resilience, while Spain’s soybean trade played a key role in global imports. This research provides new insights into global food security and pandemic resilience, informing sustainable development at the national, group, and global levels. Full article
(This article belongs to the Section Agricultural Economics, Policies and Rural Management)
Show Figures

Figure 1

28 pages, 2191 KB  
Article
An Evaluation of Food Security and Grain Production Trends in the Arid Region of Northwest China (2000–2035)
by Yifeng Hao and Yaodong Zhou
Agriculture 2025, 15(15), 1672; https://doi.org/10.3390/agriculture15151672 - 2 Aug 2025
Cited by 2 | Viewed by 1141
Abstract
Food security is crucial for social stability and economic development. Ensuring food security in the arid region of Northwest China presents unique challenges due to limited water and soil resources. This study addresses these challenges by integrating a comprehensive water and soil resource [...] Read more.
Food security is crucial for social stability and economic development. Ensuring food security in the arid region of Northwest China presents unique challenges due to limited water and soil resources. This study addresses these challenges by integrating a comprehensive water and soil resource matching assessment with grain production forecasting. Based on data from 2000 to 2020, this research projects the food security status to 2035 using the GM(1,1) model, incorporating a comprehensive index of soil and water resource matching and regression analysis to inform production forecasts. Key assumptions include continued historical trends in population growth, urbanization, and dietary shifts towards an increased animal protein consumption. The findings revealed a consistent upward trend in grain production from 2000 to 2020, with an average annual growth rate of 3.5%. Corn and wheat emerged as the dominant grain crops. Certain provinces demonstrated comparative advantages for specific crops like rice and wheat. The most significant finding is that despite the projected growth in the total grain output by 2035 compared to 2020, the regional grain self-sufficiency rate is projected to range from 79.6% to 84.1%, falling below critical food security benchmarks set by the FAO and China. This projected shortfall carries significant implications, underscoring a serious challenge to regional food security and highlighting the region’s increasing vulnerability to external food supply fluctuations. The findings strongly signal that current trends are insufficient and necessitate urgent and proactive policy interventions. To address this, practical policy recommendations include promoting water-saving technologies, enhancing regional cooperation, and strategically utilizing the international grain trade to ensure regional food security. Full article
(This article belongs to the Topic Food Security and Healthy Nutrition)
Show Figures

Figure 1

13 pages, 2838 KB  
Article
Differential Effects of Two Herbivore-Induced Plant Volatiles on the Oviposition of Chilo suppressalis
by Xiaowei Yang, Chang Liu, Xixi Jia, Chen Zhang, Lanzhi Han, Wanlun Cai and Yunhe Li
Plants 2025, 14(15), 2384; https://doi.org/10.3390/plants14152384 - 2 Aug 2025
Cited by 1 | Viewed by 1169
Abstract
Herbivore-induced plant volatiles (HIPVs) are well known for their roles in herbivore deterrence and attraction of natural enemies, but their direct impact on insect reproduction remains largely unexplored. In this study, we provide novel evidence that two representative HIPVs, 2-heptanol and α-cedrene, exert [...] Read more.
Herbivore-induced plant volatiles (HIPVs) are well known for their roles in herbivore deterrence and attraction of natural enemies, but their direct impact on insect reproduction remains largely unexplored. In this study, we provide novel evidence that two representative HIPVs, 2-heptanol and α-cedrene, exert opposing effects on the reproduction of Chilo suppressalis, a major rice pest. While both volatiles repelled adults, α-cedrene unexpectedly enhanced oviposition, whereas 2-heptanol significantly suppressed egg laying. To examine these effects, we conducted oviposition assays, preoviposition and longevity tests, combined with qPCR and transcriptome analyses to explore underlying molecular responses. Mechanistically, α-cedrene upregulated Kr-h1, a gene linked to juvenile hormone signaling and vitellogenesis, promoting reproductive investment. Transcriptomic profiling revealed divergent molecular responses: α-cedrene activated reproductive pathways, whereas 2-heptanol induced stress- and immune-related genes, suggesting a trade-off between stress defense and reproduction. These findings demonstrate that HIPVs can exert compound-specific reproductive effects beyond repellency. This work fills a key knowledge gap and highlights the potential of HIPVs as precision tools in pest management strategies that exploit behavioral and physiological vulnerabilities beyond repellency. Full article
Show Figures

Figure 1

17 pages, 1308 KB  
Article
Elemental and Isotopic Fingerprints of Potatoes
by Cezara Voica, Ioana Feher, Romulus Puscas, Andreea Maria Iordache and Gabriela Cristea
Foods 2025, 14(14), 2440; https://doi.org/10.3390/foods14142440 - 10 Jul 2025
Viewed by 1214
Abstract
Nowadays, food traceability represents an important issue in the current context of trade agreements, which influence global food prices. Many consumers prefer to pay a higher price for a traditional cultivation regime of a certain food product that comes from a certain region, [...] Read more.
Nowadays, food traceability represents an important issue in the current context of trade agreements, which influence global food prices. Many consumers prefer to pay a higher price for a traditional cultivation regime of a certain food product that comes from a certain region, appreciating the taste of the respective foodstuff. The potato is now the world’s fourth most important food crop in terms of human consumption, after wheat, maize, and rice. In this context, 100 potato samples from the Romanian market were collected. While 68 samples came from Romania, the rest of the 32 were from abroad (Hungary, France, Greece, Italy, Germany, Egypt, and Poland). The countries selected for potato sample analysis are among the main exporters of potatoes to the Romanian market. The samples were investigated by their multi-elemental and isotopic (2H, 18O and 13C) fingerprints, using Inductively Coupled Plasma Mass Spectrometry (ICP-MS) and Isotope Ratio Mass Spectrometry (IRMS). Then, to distinguish the geographical origin, the experimental results were statistically processed using linear discriminant analysis (LDA). The best markers that emphasize Romanian potatoes were identified to be δ13Cbulk, δ2Hwater, and Sr. Full article
Show Figures

Graphical abstract

13 pages, 2724 KB  
Article
Efficient Marker-Assisted Pyramiding of Xa21 and Xa23 Genes into Elite Rice Restorer Lines Confers Broad-Spectrum Resistance to Bacterial Blight
by Yao Li, Yulong Fan, Yihang You, Ping Wang, Yuxuan Ling, Han Yin, Yinhua Chen, Hua Zhou, Mingrui Luo, Bing Cao and Zhihui Xia
Plants 2025, 14(14), 2107; https://doi.org/10.3390/plants14142107 - 9 Jul 2025
Cited by 2 | Viewed by 1485
Abstract
Bacterial blight (BB) caused by Xanthomonas oryzae pv. oryzae (Xoo) is a major threat to global rice productivity. Although hybrid rice breeding has significantly enhanced yields, persistent genetic vulnerabilities within restorer lines continue to compromise BB resistance. This study addresses this [...] Read more.
Bacterial blight (BB) caused by Xanthomonas oryzae pv. oryzae (Xoo) is a major threat to global rice productivity. Although hybrid rice breeding has significantly enhanced yields, persistent genetic vulnerabilities within restorer lines continue to compromise BB resistance. This study addresses this challenge by implementing functional marker-assisted selection (FMAS) to pyramid two broad-spectrum resistance (R) genes, Xa21 and Xa23, into the elite, yet BB-susceptible, restorer line K608R. To enable precise Xa23 genotyping, we developed a novel three-primer functional marker (FM) system (IB23/CB23/IR23). This system complements the established U1/I2 markers used for Xa21. This recombination-independent FMAS platform facilitates simultaneous, high-precision tracking of both homozygous and heterozygous alleles, thereby effectively circumventing the linkage drag limitations typical of conventional markers. Through six generations of marker-assisted backcrossing followed by intercrossing, we generated K608R2123 pyramided lines harboring both R genes in homozygous states, achieving a recurrent parent genome recovery rate of 96.93%, as determined by single nucleotide polymorphism (SNP) chip analysis. The pyramided lines exhibited enhanced resistance against six virulent Xoo pathogenic races while retaining parental yield performance across key agronomic traits. Our FMAS strategy overcomes the historical trade-off between broad-spectrum resistance and the preservation of elite phenotypes, with the developed lines exhibiting resistance coverage complementary to that of both introgressed R genes. This integrated approach provides breeders with a reliable molecular tool to accelerate the development of high-yielding, disease-resistant varieties, demonstrating significant potential for practical deployment in rice improvement programs. The K608R2123 germplasm represents a dual-purpose resource suitable for both commercial hybrid seed production and marker-assisted breeding programs, and it confers synergistic resistance against diverse Xoo races, thereby providing a pivotal breeding resource for sustainable BB control in epidemic regions. Full article
(This article belongs to the Section Plant Genetics, Genomics and Biotechnology)
Show Figures

Figure 1

Back to TopTop