Sign in to use this feature.

Years

Between: -

Subjects

remove_circle_outline
remove_circle_outline
remove_circle_outline
remove_circle_outline
remove_circle_outline
remove_circle_outline
remove_circle_outline
remove_circle_outline
remove_circle_outline

Journals

remove_circle_outline
remove_circle_outline
remove_circle_outline
remove_circle_outline
remove_circle_outline
remove_circle_outline
remove_circle_outline
remove_circle_outline

Article Types

Countries / Regions

remove_circle_outline
remove_circle_outline
remove_circle_outline
remove_circle_outline
remove_circle_outline

Search Results (856)

Search Parameters:
Keywords = reversed phase liquid chromatography

Order results
Result details
Results per page
Select all
Export citation of selected articles as:
23 pages, 1157 KB  
Review
Unifying Phytochemistry, Analytics, and Target Prediction to Advance Dendropanax morbifera Bioactive Discovery
by SuHyun Kim, Damhee Lee, Kyujeong Won, Jinseop Lee, Wooseop Lee, Woohyeon Roh and Youngjun Kim
Life 2026, 16(1), 100; https://doi.org/10.3390/life16010100 - 11 Jan 2026
Viewed by 233
Abstract
Dendropanax morbifera (DM; “Hwangchil”) is an evergreen tree native to southern Korea and Jeju Island, traditionally used for detoxification, anti-inflammatory, immunomodulatory, and neuroprotective purposes. Recent studies indicate that DM extracts and their constituents exhibit a broad range of biological activities, including antioxidant, anti-inflammatory, [...] Read more.
Dendropanax morbifera (DM; “Hwangchil”) is an evergreen tree native to southern Korea and Jeju Island, traditionally used for detoxification, anti-inflammatory, immunomodulatory, and neuroprotective purposes. Recent studies indicate that DM extracts and their constituents exhibit a broad range of biological activities, including antioxidant, anti-inflammatory, antimicrobial, anticancer, antidiabetic, hepatoprotective, and neuroprotective effects. Phytochemical investigations have revealed a chemically diverse profile comprising phenolic acids, flavonoids, diterpenoids, triterpenoids—most notably dendropanoxide—and polyacetylenes, with marked variation in compound distribution across plant parts. Despite this progress, translational application remains constrained by the lack of standardized extraction protocols, substantial variability in high-performance liquid chromatography (HPLC) methodologies, and limited mechanistic validation of reported bioactivities. This review proposes an integrated framework that links extraction strategies tailored to compound class and plant part with standardized C18 reverse-phase HPLC conditions to enhance analytical reproducibility. In parallel, in silico target prediction using SwissTargetPrediction is applied as a hypothesis-generating approach to prioritize potential molecular targets for subsequent experimental validation. By emphasizing methodological harmonization, critical evaluation of evidence levels, and systems-level consideration of multi-compound interactions, this review aims to clarify structure–activity relationships, support pharmacokinetic and safety assessment, and facilitate the rational development of DM-derived materials for medical, nutritional, and cosmetic applications. Full article
(This article belongs to the Section Pharmaceutical Science)
Show Figures

Figure 1

26 pages, 3472 KB  
Article
Changes in the Metabolome of Different Tissues in Response to Streptozotocin Diabetes and Mildronate Exposure: A Metabolomic Assessment
by David Hauton, Dragana Savic, John Walsby-Tickle, Damian Tyler and James S. O. McCullagh
Metabolites 2026, 16(1), 61; https://doi.org/10.3390/metabo16010061 - 9 Jan 2026
Viewed by 161
Abstract
Background: Uncontrolled diabetes is characterised by a loss of blood glucose control and increased oxidation of fatty acids to produce ATP. Use of metabolic inhibitors to blunt fatty acid oxidation and restore glucose metabolism is a poorly studied intervention for diabetes. Methods: [...] Read more.
Background: Uncontrolled diabetes is characterised by a loss of blood glucose control and increased oxidation of fatty acids to produce ATP. Use of metabolic inhibitors to blunt fatty acid oxidation and restore glucose metabolism is a poorly studied intervention for diabetes. Methods: Steptozotocin-induced diabetes was developed in Wistar male rats. A subset was supplemented with mildronate (100 mg/kg—14 days). Exploiting liquid chromatography-mass spectrometry for workflows including ion exchange-, C18-reverse phase- and HILIC-based chromatography methods, metabolite levels were quantified in plasma liver and brain tissue. Using both untargeted and targeted metabolomic analysis changes to the global tissue metabolome and individual metabolic pathways were estimated. Results: We document that an inhibitor of carnitine synthesis, mildronate, decreased plasma (50% p < 0.01) carnitine abundance and decreased plasma glucose concentration by one-third compared to streptozotocin (STZ)-treated rats (p < 0.001). Targeted metabolomic analysis of the liver showed decreased alpha-ketoglutarate abundance (35% p < 0.05) by STZ diabetes that was further decreased following mildronate treatment (50% p < 0.05). For both beta-hydroxybutyrate and succinate levels, STZ diabetes increased hepatic abundance by 50% (p < 0.05 for both), which was restored to control levels by mildronate (p < 0.05 for both). In contrast, brain TCA intermediate abundances were unaffected by either STZ diabetes or mildronate (NS for all). STZ diabetes also decreased abundance of pentose phosphate pathway (PPP) metabolites in the liver (glucose-6-phosphate, 6-phosphogluconolactone, 6-phosphogluconate 50% for all; p < 0.05), which was not restored by mildronate treatment. However, brain PPP metabolite abundance was unchanged by STZ diabetes or mildronate (NS for all). However, mildronate treatment did not affect the increased abundance of brain sorbitol, sorbitol-6-phosphate and glucose-6-phosphate as a result of STZ diabetes. Conclusions: Together, these observations highlight the potential role that metabolic inhibitors, like mildronate, may play in restoring blood glucose for diabetic patients, without a direct effect of tissues that represent obligate consumers of glucose (e.g., brain) whilst manipulating fat oxidation in tissues such as the liver. Full article
(This article belongs to the Section Cell Metabolism)
Show Figures

Graphical abstract

11 pages, 588 KB  
Article
Dipeptidyl Peptidase-4 Inhibitory Activity of Buckwheat Flour-Derived Peptides and Oral Glucose Tolerance Test of Buckwheat Flour Hydrolysates in Rats
by Noe Mitsui, Kouji Shiono, Yoshiya Seto, Tadasu Furusho, Chika Saito and Kosaku Takahashi
Foods 2026, 15(1), 92; https://doi.org/10.3390/foods15010092 - 29 Dec 2025
Viewed by 283
Abstract
Dipeptidyl peptidase-4 (DPP-4) is a protease that degrades incretin and inhibits the secretion of insulin. Consequently, DPP-4 inhibition promotes insulin secretion and prevents the onset of type 2 diabetes. Given the growing interest in food-derived DPP-4 inhibitory peptides as potential functional ingredients, buckwheat [...] Read more.
Dipeptidyl peptidase-4 (DPP-4) is a protease that degrades incretin and inhibits the secretion of insulin. Consequently, DPP-4 inhibition promotes insulin secretion and prevents the onset of type 2 diabetes. Given the growing interest in food-derived DPP-4 inhibitory peptides as potential functional ingredients, buckwheat (Fagopyrum esculentum) represents a promising source; however, few studies have investigated the bioactivity of peptides derived from buckwheat flour hydrolysates. In this study, two DPP-4 inhibitory peptides, Ile-Pro-Trp and Ile-Pro-Leu, were identified through purification of buckwheat flour hydrolysate and liquid chromatography–tandem mass spectrometry analysis. In a rat oral glucose tolerance test (OGTT), a fraction of buckwheat flour hydrolysate, crudely purified by reverse-phase column chromatography, showed a non-significant trend toward reducing increases in blood glucose. To our knowledge, this study is the first to show that Ile-Pro-Trp isolated from food protein hydrolysates exhibits considerable DPP-4 inhibitory activity. Moreover, this is the first study identifying Ile-Pro-Ile as a DPP-4 inhibitor from a plant source. Full article
(This article belongs to the Section Nutraceuticals, Functional Foods, and Novel Foods)
Show Figures

Figure 1

14 pages, 1692 KB  
Article
A New Approach to the Determination of Biogenic Amines in Wine
by Anna Salimova, Alexandra Vasilieva, Evgeniy Belyaev, Konstantin Sakharov and Sergey Andreev
Molecules 2026, 31(1), 71; https://doi.org/10.3390/molecules31010071 - 24 Dec 2025
Viewed by 285
Abstract
Biogenic amines (BAs) can be found in various foods, such as cheese, wine, and chocolate. The consumption of a sufficient quantity of BA can lead to symptoms including headaches, hypertonia, and diarrhea. For this reason, the amount of BA in food is regulated [...] Read more.
Biogenic amines (BAs) can be found in various foods, such as cheese, wine, and chocolate. The consumption of a sufficient quantity of BA can lead to symptoms including headaches, hypertonia, and diarrhea. For this reason, the amount of BA in food is regulated in many countries. A new method for the determination of biogenic amines in wine has been proposed, which involves derivatizing BA with p-toluene sulfonyl chloride (TsCl) and using K2S2O8 to reduce the matrix effect. The derivatives of putrescine, cadaverine, histamine, and tyramine with TsCl were synthesized and characterized by 1H NMR spectroscopy. Separation of BA derivatives was performed using a reversed-phase high-performance liquid chromatography (RP-HPLC). The chromatographic system was equipped with a reversed-phase C8 column and a diode array detector. This method was validated to analyze the above-mentioned biogenic amines simultaneously in red and white wine samples. The detection limits for putrescine, cadaverine, histamine, and tyramine in wine samples were 0.0248 mg·L−1, 0.0645 mg·L−1, 0.346 mg·L−1 and 0.00866 mg·L−1, respectively. The calibration curves showed good linearity (r > 0.999), and biogenic amines recovery varied from 83.0 to 110%. The proposed method demonstrates high sensitivity, straightforward sample preparation, and rapid analysis time. Full article
Show Figures

Figure 1

17 pages, 2967 KB  
Article
Identification, Molecular Docking Mechanism and Cellular Activity of Selenium-Enriched ACE Inhibitory Peptides from Oysters
by Zhuangzhuang Yue, Zhen Xia, Fei Xu, Bingbing Chen, Shufei Jiao, Xingtang Liang, Yanzhen Yin and Jianyin Miao
Molecules 2025, 30(24), 4818; https://doi.org/10.3390/molecules30244818 - 18 Dec 2025
Viewed by 374
Abstract
Selenium-enriched oyster proteins were hydrolyzed using trypsin to obtain peptides with angiotensin-I-converting enzyme (ACE) inhibitory activity. The hydrolysate was purified by ultrafiltration and two-step reversed-phase high-performance liquid chromatography (RP-HPLC), yielding the most active fraction M4-2 (selenium content: 37.00 ± 0.56 mg/kg; IC50 [...] Read more.
Selenium-enriched oyster proteins were hydrolyzed using trypsin to obtain peptides with angiotensin-I-converting enzyme (ACE) inhibitory activity. The hydrolysate was purified by ultrafiltration and two-step reversed-phase high-performance liquid chromatography (RP-HPLC), yielding the most active fraction M4-2 (selenium content: 37.00 ± 0.56 mg/kg; IC50: 0.774 mg/mL, significantly lower than the IC50 of the crude hydrolysate, 2.801 mg/mL). This fraction was further analyzed by LC-MS/MS and molecular docking, leading to the identification of 91 selenium-containing peptide sequences. Two novel peptides, SeMFRTSSK and QASeMNEATGGK, showing strong binding affinities (−9.8 and −9.0 kcal/mol, respectively), were selected. Molecular docking revealed that SeMFRTSSK bound to key residues in the ACE active pocket via hydrogen bonds, whereas QASeMNEATGGK interacted with the Zn2+ active center. Cellular assays using EA.hy926 cells demonstrated that both peptides were non-cytotoxic at concentrations up to 0.25 mg/mL. At 0.025 mg/mL, SeMFRTSSK and QASeMNEATGGK enhanced cellular NO release by 202.65% and 273.45%, respectively, while suppressing Endothelin-1 (ET-1) secretion by 18.03% and 27.86%, compared to the blank control group. Notably, these peptides induced higher levels of NO release and greater suppression of ET-1 secretion than those in the captopril-treated positive control group. These findings support selenium-enriched oyster-derived peptides as potential natural antihypertensive ingredients. Full article
(This article belongs to the Section Food Chemistry)
Show Figures

Figure 1

15 pages, 1179 KB  
Article
Development and Validation of a Stability-Indicating RP-HPLC Method for Bexagliflozin and Structural Elucidation of a Novel Acidic Degradation Product
by Hadeel Alhourani, Nafisah Al-Rifai and Anas Alshishani
Separations 2025, 12(12), 340; https://doi.org/10.3390/separations12120340 - 15 Dec 2025
Viewed by 404
Abstract
A robust and stability-indicating Reverse Phase-High Performance Liquid Chromatography (RP-HPLC) method was developed and validated for the quantitative determination of bexagliflozin and its related impurities in accordance with the International Council for Harmonisation of Technical Requirements for Pharmaceuticals for Human Use (ICH Q2(R1)) [...] Read more.
A robust and stability-indicating Reverse Phase-High Performance Liquid Chromatography (RP-HPLC) method was developed and validated for the quantitative determination of bexagliflozin and its related impurities in accordance with the International Council for Harmonisation of Technical Requirements for Pharmaceuticals for Human Use (ICH Q2(R1)) guidelines. Chromatographic separation was achieved on a C18 column using a mobile phase of methanol and ammonium acetate buffer (pH 4.2) in a 60:40 (v/v) ratio, with a flow rate of 1.0 mL·min−1 and UV detection at 220 nm. The method was validated for linearity, sensitivity (LOD and LOQ), precision, robustness, and system suitability, all within acceptable limits for low-concentration analysis. Excellent linearity (r2 > 0.999) and precision (%RSD 0.3–4.4%) confirmed its reliability for stability assessment. The assay was performed at 100 µg·mL−1, where all validation parameters showed %RSD values ≤ 2%, demonstrating high precision and robustness. Forced degradation studies under acidic, basic, oxidative, photolytic, and thermal conditions revealed a major degradation product formed under acidic stress. This product was isolated and structurally characterized using LC–MS, 1H NMR, and 13C NMR, and is reported here for the first time. The proposed RP-HPLC method proved to be specific, precise, and reliable for the determination of bexagliflozin and its related impurities, making it suitable for routine stability testing, quality control, and pharmaceutical development applications. Full article
Show Figures

Figure 1

18 pages, 1127 KB  
Article
Analysis of Highly Polar Compounds by Ion-Pair Liquid Chromatography
by Carlos Josué Tereba-Mamani, Nicolás Ariño-Bueno, María Celia García-Alvarez-Coque, Juan José Baeza-Baeza and María José Ruiz-Angel
Separations 2025, 12(12), 338; https://doi.org/10.3390/separations12120338 - 12 Dec 2025
Viewed by 286
Abstract
Many polar compounds of biochemical and pharmaceutical relevance exhibit low retention in reversed-phase liquid chromatography (RPLC), making their separation challenging. While hydrophilic interaction liquid chromatography (HILIC) columns are commonly used for such analyses, they require mobile phases with high organic solvent content. This [...] Read more.
Many polar compounds of biochemical and pharmaceutical relevance exhibit low retention in reversed-phase liquid chromatography (RPLC), making their separation challenging. While hydrophilic interaction liquid chromatography (HILIC) columns are commonly used for such analyses, they require mobile phases with high organic solvent content. This work explores an alternative approach using RPLC with conventional C18 columns and mobile phases containing low percentages of acetonitrile, along with small amounts of the surfactant sodium dodecyl sulfate (SDS). This combination significantly enhances the retention of highly polar compounds. When the SDS concentration is sufficiently low, below the critical micellar concentration in water (8 mM), the retention increase follows a linear pattern. The retention behavior of polar compounds with different properties (nucleosides, methylxanthines, sulfonamides, and the diuretic hydrochlorothiazide) is examined using mobile phases in the submicellar region, with SDS concentrations ranging from 0 to 0.3 mM, acetonitrile contents between 10 and 20% (v/v), and temperatures varying from 25 to 55 °C. Changes in peak half-widths are also analyzed. Since SDS adsorbs onto the stationary phase, modifying its surface, the equilibration time has been investigated as a critical factor affecting retention reproducibility, influenced by the SDS concentration, acetonitrile content, and temperature. The results emphasize the need for complete equilibration to ensure reliable and consistent results. Full article
(This article belongs to the Section Chromatographic Separations)
Show Figures

Graphical abstract

16 pages, 2610 KB  
Article
First In Vitro Human Islet Assessment of Oleanolic Acid (OA) and Its Serine Conjugate: Enhanced Solubility with Comparable Effects
by Runkai Yin, Li Zhao, Lina A. Huang, Rui Zhao, Andy Wu, Maggie Rao, Jason Wu, Claire Wu, Fouad R. Kandeel and Junfeng Li
Molecules 2025, 30(24), 4716; https://doi.org/10.3390/molecules30244716 - 9 Dec 2025
Viewed by 301
Abstract
Oleanolic acid (OA) is a natural pentacyclic triterpenoid with reported hypoglycemic, hepatoprotective, antidiabetic, and anti-inflammatory activities. However, its limited aqueous solubility restricts its formulation and potential biomedical applications. To address this limitation, we designed a hydrophilic OA derivative, 1a, by introducing an [...] Read more.
Oleanolic acid (OA) is a natural pentacyclic triterpenoid with reported hypoglycemic, hepatoprotective, antidiabetic, and anti-inflammatory activities. However, its limited aqueous solubility restricts its formulation and potential biomedical applications. To address this limitation, we designed a hydrophilic OA derivative, 1a, by introducing an amino acid fragment at the C-28 position. We established a reverse-phase high-performance liquid chromatography (HPLC)-based method to measure the octanol–water partition coefficient (Log Pow) of OA and 1a. Under neutral conditions, 1a showed a markedly reduced Log Pow value (2.91 ± 0.02) compared with OA (4.30 ± 0.01), confirming substantially improved hydrophilicity. The biological compatibility of OA and 1a was further evaluated using in vitro human islet cultures. Both compounds maintained high islet viability (approximately 90%). In addition, islets pre-treated with 1a exhibited viability, purity, and insulin expression levels comparable to those observed with OA treatment, indicating that the C-28 modification preserved OA’s biological properties while improving solubility. Overall, this proof-of-concept study demonstrates that C-28 amino-functionalization can improve the physicochemical properties of OA without compromising its compatibility with human islets. The HPLC-based Log Pow method established here provides a practical analytical tool for future structure–activity investigations of OA derivatives, and the improved solubility of 1a may facilitate its use in human islet preparation workflows. Full article
Show Figures

Figure 1

17 pages, 2747 KB  
Article
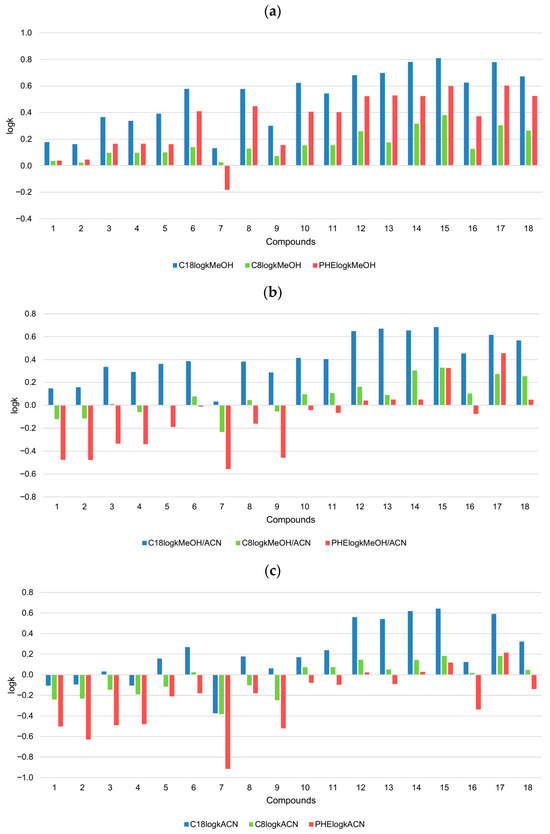
Comprehensive Chemometric and Chromatographic Investigation of Lipophilicity of Biologically Active Androstane-3-Oxime Derivatives Across Diverse UHPLC Systems
by Strahinja Z. Kovačević, Milica Ž. Karadžić Banjac, Sanja O. Podunavac-Kuzmanović, Jasmina S. Anojčić and Jovana J. Ajduković
Pharmaceuticals 2025, 18(12), 1778; https://doi.org/10.3390/ph18121778 - 23 Nov 2025
Viewed by 406
Abstract
Background/Objectives: Previously reported analyses show that some androstane-3-oxime derivatives with picolyl and picolinylidene functional groups possess a significant anticancer activity towards various cancer cell lines. These findings suggest that these compounds have prominent biological potential and represent a good basis for further [...] Read more.
Background/Objectives: Previously reported analyses show that some androstane-3-oxime derivatives with picolyl and picolinylidene functional groups possess a significant anticancer activity towards various cancer cell lines. These findings suggest that these compounds have prominent biological potential and represent a good basis for further research. The present study aims to determine their anisotropic lipophilicity as a physicochemical parameter relevant to both prediction of chromatographic behavior and biological activity. Methods: Anisotropic lipophilicity was determined using reversed-phase ultra-high performance liquid chromatography (RP-UHPLC) systems equipped with three stationary phases (C18, C8 and phenyl) and three mobile phases composed of water with different modifiers (methanol, acetonitrile and a methanol-acetonitrile mixture). Capacity factors (logk) were obtained for all compounds across the chromatographic systems to describe their behavior in anisotropic environments. Chemometric analyses were performed using linear pattern recognition techniques (PRT), such as hierarchical cluster analysis (HCA) and principal component analysis (PCA), and non-linear clustering based on artificial neural networks (CANN). Results: The experimentally determined chromatographic parameters were correlated with in silico lipophilicity values (logP). This comparison allowed for examination of the concordance between experimental and computed data for the series of androstanes. The chemometric analysis resulted in models that provided an overview of the grouping of compounds in the space of the determined chromatographic parameters. Conclusions: The results demonstrate strong agreement between experimental and computational lipophilicity parameters. This very good data fit provides a reliable foundation for further studies exploring the relationships between lipophilicity and biological activity of the studied androstane derivatives. Full article
Show Figures

Figure 1

21 pages, 5045 KB  
Article
Coprogen B from Talaromyces marneffei ΔsreA: Rapid Iron Chelation and Favorable Partitioning to Deferoxamine
by Bishant Pokharel, Wachiraporn Tipsuwan, Monsicha Pongpom, Teera Chewonarin, Pimpisid Koonyosying, Agostino Cilibrizzi and Somdet Srichairatanakool
Int. J. Mol. Sci. 2025, 26(23), 11281; https://doi.org/10.3390/ijms262311281 - 21 Nov 2025
Viewed by 427
Abstract
Iron (Fe) chelators are used to treat iron-overloaded disorders, metal detoxification, radionuclides, and molecular imaging; however, they can cause side effects. In this study, we identified and characterized Coprogen B (CPGB), a hexadentate trihydroxamate siderophore secreted by the opportunistic dimorphic fungus Talaromyces marneffei [...] Read more.
Iron (Fe) chelators are used to treat iron-overloaded disorders, metal detoxification, radionuclides, and molecular imaging; however, they can cause side effects. In this study, we identified and characterized Coprogen B (CPGB), a hexadentate trihydroxamate siderophore secreted by the opportunistic dimorphic fungus Talaromyces marneffei and compared its properties with deferoxamine (DFO). Siderophore production was enriched from a ΔsreA strain and purified via Amberlite XAD2 and Sephadex LH20 chromatography, followed by reverse-phase HPLC. Active fractions were confirmed by Ultraviolet–Visible (UV–Vis) spectral fingerprints (≈230 nm) for hydroxamate, with a band at 430–450 nm upon Fe(III) complexation, as well as by chrome azurol A assay, Nuclear Magnetic Resonane (NMR) spectroscopy, High-Performance Liquid Chromatography–Mass Spectrometry (HPLC-MS), and Matrix-Assisted Laser Desorption/Ionization–Time-of-Flight Mass Spectrometry (MALDI-TOF-MS). CPGB exhibited strong molar absorptivity and rapid, concentration-dependent chelation of Fe(III), yielding a sustained binding profile that matched or exceeded that of DFO over time. In determining n-octanol/water partitioning for CPGB and DFO (230 nm) and their Fe(III) complexes, the partitioning (P) assay revealed that CPGB was moderately hydrophilic (P = 0.505 ± 0.063; cLogP = −0.299 ± 0.053), while DFO was strongly hydrophilic (P = 0.098 ± 0.005; cLogP = −1.010 ± 0.022). Fe(III) complexation reduced lipophilicity: CPGB–Fe partitioned ~30–35% into octanol, while DFO–Fe complex partitioned ~7–8%, remaining largely aqueous. Overall, this outcome potentially suggested improved clearance in vivo. These data nominate CPGB as a promising alternative to existing iron chelators. The siderophore exhibited greater lipophilicity, emphasizing better passive membrane permeability than DFO, while siderophore–Fe(III) binding indicated increased biases toward the aqueous phase. Future in vivo studies are warranted to confirm its pharmacokinetics, safety, and therapeutic efficacy. Full article
Show Figures

Figure 1

17 pages, 1749 KB  
Article
Evaluating Differential Metabolic Profiles by Prostate Cancer Risk Among Prostate Cancer Patients
by Tuo Liu, Jahnvi Roorkeewal, Melissa A. Furlong, Shawn C. Beitel, Jefferey L. Burgess, Benjamin R. Lee, Juan Chipollini, Justin M. Snider and Ken Batai
Metabolites 2025, 15(12), 757; https://doi.org/10.3390/metabo15120757 - 21 Nov 2025
Viewed by 534
Abstract
Background: Currently there are no clinically validated biomarkers recommended for prostate cancer (PCa) risk stratification other than prostate-specific antigen (PSA). Objective: This study aimed to identify urine metabolites that are associated with the presence of high-grade PCa at the time of radical prostatectomy. [...] Read more.
Background: Currently there are no clinically validated biomarkers recommended for prostate cancer (PCa) risk stratification other than prostate-specific antigen (PSA). Objective: This study aimed to identify urine metabolites that are associated with the presence of high-grade PCa at the time of radical prostatectomy. Methods: Urine samples were collected from patients who underwent radical prostatectomy. High-resolution metabolomics were implemented using liquid chromatography mass spectrometry (LC-MS). To enhance metabolic feature identification, sample extracts were analyzed in two modes, C18 chromatography [reverse-phase (RP)] and hydrophilic interaction chromatography (HILIC). Results: This analysis included a total of 22 patients with PCa (10 high-grade and 12 low-grade) and identified 52 differential metabolites, 40 in RP and 12 in HILIC, at the p-value 0.05 level. Among these, methyl alpha-aspartyl phenylalaninate was most significantly differentiated, while 3-methylbutanoicacid had the largest difference (slope −3.488). In the pathway analysis, the histidine metabolism pathway was significantly enriched (p < 0.05) with an enrichment factor of 3.5. Although not statistically significant, alterations were also observed in the vitamin B12, B7 (biotin), B6, and B3 (niacin) pathways. Conclusions: These findings suggest that urinary metabolites may have the potential to differentiate high-grade from low-grade PCa. Our study also highlights the metabolic reprogramming that occurs as PCa becomes more aggressive and potential differences in dietary patterns. Full article
(This article belongs to the Section Endocrinology and Clinical Metabolic Research)
Show Figures

Figure 1

13 pages, 502 KB  
Article
Determination of Nitrosamine Drug Substance-Related Impurities Derived from Nortriptyline and Sertraline Using LC-MS/MS: A Comparative Evaluation of Chromatographic Separation and Pharmaceutical Application
by Minki Shim, Ji Yeon Kim, Seungjin Jung, Minkyeong Hong, Sang Beom Han and Dong-Kyu Lee
Pharmaceuticals 2025, 18(11), 1673; https://doi.org/10.3390/ph18111673 - 5 Nov 2025
Viewed by 1236
Abstract
Background/Objectives: Nitrosamine drug substance-related impurities (NDSRIs) are a class of potent genotoxic impurities that pose a critical risk to patient safety, thereby necessitating the stringent control of pharmaceutical products. Nortriptyline (NORT) and sertraline (SERT) are two widely prescribed antidepressants that form highly [...] Read more.
Background/Objectives: Nitrosamine drug substance-related impurities (NDSRIs) are a class of potent genotoxic impurities that pose a critical risk to patient safety, thereby necessitating the stringent control of pharmaceutical products. Nortriptyline (NORT) and sertraline (SERT) are two widely prescribed antidepressants that form highly potent NDSRIs, N-nitroso-nortriptyline (NNORT) and N-nitroso-sertraline (NSERT), respectively. Despite these risks, a substantial gap exists in terms of the validated analytical methods for surveillance. Accordingly, this study addressed this need by developing a liquid chromatography–tandem mass spectrometry method for the quantification of NNORT and NSERT in drug products. Methods: A comparative evaluation of two reversed-phase columns (general-purpose C18 column and phenyl-hexyl column) was performed to achieve optimal chromatographic resolution of the parent active pharmaceutical ingredients (APIs). Results: The phenyl-hexyl column demonstrated superior separation for both NDSRI/API pairs by leveraging π-π interactions to markedly enhance the resolution. This was particularly critical for SERT. The method was fully validated according to the International Council for Harmonization guideline Q2(R1) and demonstrated excellent linearity (r2 = 0.998 for both NNORT and NSERT) with limits of quantitation of 20 ng/g for NNORT and 125 ng/g for NSERT. Accuracy was confirmed with recoveries of 96.6–99.4% for NNORT and 98.6–99.4% for NSERT, and precision was acceptable, with relative standard deviation below 3.9% and 1.9%, respectively. The application of this method to commercial products subjected to accelerated stress testing revealed NNORT formation in NORT products with an average concentration of 190 ng/g, as well as NSERT formation in SERT products resulted in an average concentration of 172 ng/g. Conclusions: This validated method provides a reliable tool for routine quality control, thereby enabling pharmaceutical manufacturers and regulatory agencies to ensure safety and compliance with widely used antidepressant medications. Full article
(This article belongs to the Special Issue Advances in Drug Analysis and Drug Development, 2nd Edition)
Show Figures

Graphical abstract

25 pages, 4528 KB  
Article
Structural Engineering of Tyrosine-Based Neuroprotective Peptides: A New Strategy for Efficient Blood–Brain Barrier Penetration
by Zehui Li, Qiyue Zhu, Yashu Qiao, Junxi Fu, Li Tao and Weihong Min
Foods 2025, 14(21), 3744; https://doi.org/10.3390/foods14213744 - 31 Oct 2025
Viewed by 960
Abstract
The relationship between the structure of walnut-derived peptides and their activity of transport efficiency across the blood–brain barrier (BBB) remains unclear. In this study, a series of walnut-derived peptides were synthesized by substituting leucine (L) with tyrosine (Y), lysine (K), or arginine (R). [...] Read more.
The relationship between the structure of walnut-derived peptides and their activity of transport efficiency across the blood–brain barrier (BBB) remains unclear. In this study, a series of walnut-derived peptides were synthesized by substituting leucine (L) with tyrosine (Y), lysine (K), or arginine (R). Three outstanding peptides—EVSGPGYSPN, TWLPYPR, and YVPFPYP—were selected based on their antioxidant capacity and BBB transport efficiency, with EVSGPGYSPN exhibiting the highest activity. Reversed-phase high-performance liquid chromatography (RP-HPLC) and Transwell assay results demonstrated that EVSGPGYSPN can remain stable during gastrointestinal digestion and penetrate the BBB. Pharmacokinetic results revealed that the cumulative concentration of EVSGPGYSPN in the brain reached 1.25 ± 0.91 µg/g at 10 h, while its plasma half-life exceeded 12 h. Furthermore, it significantly reduced reactive oxygen species (ROS) levels to 110.46 ± 15.16%. Nuclear magnetic resonance (NMR) and Fourier-transform infrared spectroscopy (FTIR) results indicated that EVSGPGYSPN is rich in aromatic hydrogen signals and exhibits low methyl signals, which may enhance its antioxidant activity. Circular dichroism (CD) spectroscopy showed that EVSGPGYSPN has the highest random coil content, which facilitates its binding to transporters on the BBB and promotes BBB permeability. This study provides valuable insights into the design of brain-targeted peptide delivery systems. Full article
(This article belongs to the Special Issue Bioactive Peptides and Probiotic Bacteria: Modulators of Human Health)
Show Figures

Figure 1

17 pages, 1954 KB  
Article
5′,8-cyclo-dAdo and 8-oxo-dAdo DNA Lesions Are Both Substrates of Adenosine Deaminase: A Preliminary Study
by Bolesław T. Karwowski
Cells 2025, 14(21), 1665; https://doi.org/10.3390/cells14211665 - 23 Oct 2025
Viewed by 1002
Abstract
Genetic information, whether inside or outside the nucleus, is exposed to a variety of harmful physico-chemical factors. Although DNA damage repair systems have been extensively studied, little information about post-repair and non-genomic DNA damage metabolism is available in the literature. Adenosine deaminase (ADA) [...] Read more.
Genetic information, whether inside or outside the nucleus, is exposed to a variety of harmful physico-chemical factors. Although DNA damage repair systems have been extensively studied, little information about post-repair and non-genomic DNA damage metabolism is available in the literature. Adenosine deaminase (ADA) is an abundant enzyme found on both sides of the cell membrane that regulates the concentration of adenine derivatives. In this article, it has been shown that 7,8-dihydro-8-oxo-2′-deoxyadenosine (OXOdAdo) and (5′R/S) 5′,8-cyclo-2′-deoxyadenosine ((5′R/S)cdAdo) are suitable substrates for ADA. For this purpose, theoretical Density Functional Tight Binding and RP-HPLC analyses were applied. The products of ADA activity, i.e., OXOdIno (7,8-dihydro-8-oxo-2′-deoxyinosine) and (5′R/S) cdIno ((5′R/S) 8-cyclo-2′-deoxyinosine), were identified and confirmed by high-resolution mass spectroscopy. Although the (5′R) and (5′S)cdAdo enzymatic deamination processes are much slower (34% and 32% after 168 h, respectively) than the process observed for dAdo, 5′,8-cyclo-2′-deoxyinosine should be considered when monitoring cyclopurine levels in physiological fluids. The same should be considered in the case of OXOdAdo, which is completely converted to OXOdIno within one minute and may therefore be less visible than OXOdGuo during mass spectroscopy analysis. Both these observations are important, given the abundance of 2′-deoxyadenosine on both sides of the cell membrane and its potential conversion into OXOdAdo and (5′R/S)cdAdo. They may also explain why the observed level of OXOdAdo is much lower than that of OXOdGuo in cells and physiological fluids, even though their difference in ionisation potential is only 0.25 eV. Future studies are needed to further investigate the metabolism of DNA damage and to identify the enzymes involved in nucleic acid biochemistry. Full article
Show Figures

Graphical abstract

20 pages, 3659 KB  
Article
Metabolites Fingerprinting Variations and Chemotaxonomy of Related South African Hypoxis Species
by Kokoette Bassey
Diversity 2025, 17(10), 729; https://doi.org/10.3390/d17100729 - 17 Oct 2025
Viewed by 480
Abstract
Hypoxis hemerocallidea (Hypoxidaece) is thoroughly researched and well documented for its plethora of anecdotal and scientifically backed pharmacological potentials. Its anecdotal uses and pharmacological activities are attributed to its extract’s inherent bioactive compounds like hypoxoside, rooperol, and β-sitosterol. This study aimed at conducting [...] Read more.
Hypoxis hemerocallidea (Hypoxidaece) is thoroughly researched and well documented for its plethora of anecdotal and scientifically backed pharmacological potentials. Its anecdotal uses and pharmacological activities are attributed to its extract’s inherent bioactive compounds like hypoxoside, rooperol, and β-sitosterol. This study aimed at conducting a targeted and holistic phytochemical profiling of variations in Hypoxis hemerocallidea (H. hemerocallidea) and related species. The chemotaxonomic classifications of H. hemerocallidea and seven other related species were also carried out to avert the possibility of over harvesting H. hemerocallidea and the encouragement of species inter-change. The plant extracts were analysed with reverse phase ultra-pure liquid chromatography quadrupole time-of-flight mass spectrometry and gas chromatography, as well as high-performance thin-layer chromatography. The generated chromatographic data were made compatible for chemometric computation using Principal Component Analysis (PCA) and Orthogonal Partial Least Squares Discriminant Analysis (OPLS-DA) models. The results obtained unveil orcinol glycoside, curculigoside C, hypoxoside, dehydroxyhypoxoside, bisdehydroxy hypoxoside, hemerocalloside, galpinoside, cholchicoside, geraniol glycoside, β-sitosterol, oleic acid, and 2-hydroxyethyl linoleate as target phytochemicals that define the profiles of the Hypoxis species. In addition, three distinct chemotypes defined by hemerocalloside, galpinoside, and colchicoside, respectively, were observed, as well as holistic variations in all secondary metabolites. Due to similarities in the phytochemical constituents of selected species, species inter-change seems imminent if further research confirms the findings of this study. Full article
(This article belongs to the Section Chemical Diversity and Chemical Ecology)
Show Figures

Figure 1

Back to TopTop