Sign in to use this feature.

Years

Between: -

Subjects

remove_circle_outline
remove_circle_outline
remove_circle_outline
remove_circle_outline
remove_circle_outline
remove_circle_outline
remove_circle_outline
remove_circle_outline
remove_circle_outline

Journals

remove_circle_outline
remove_circle_outline
remove_circle_outline
remove_circle_outline
remove_circle_outline
remove_circle_outline
remove_circle_outline
remove_circle_outline
remove_circle_outline
remove_circle_outline
remove_circle_outline
remove_circle_outline
remove_circle_outline
remove_circle_outline
remove_circle_outline

Article Types

Countries / Regions

remove_circle_outline
remove_circle_outline
remove_circle_outline
remove_circle_outline
remove_circle_outline

Search Results (1,406)

Search Parameters:
Keywords = reservoir response

Order results
Result details
Results per page
Select all
Export citation of selected articles as:
17 pages, 6614 KB  
Article
Seismic Response Characteristics and Characterization Parameter Prediction of Thin Interbedded Coal Seam Fracture System
by Kui Wu, Yu Qi, Sheng Zhang, Feng He, Silu Chen, Yixin Yu, Fei Gong and Tingting Zhang
Processes 2025, 13(10), 3173; https://doi.org/10.3390/pr13103173 - 6 Oct 2025
Viewed by 72
Abstract
Fracture systems critically govern coal seam permeability, influencing hydrocarbon migration pathways and well placement strategies. We established a predictive framework for fracture characterization in thin-interbedded coal reservoirs by integrating seismic response analysis with multi-domain validation. Utilizing borehole log statistics and staggered-grid wave equation [...] Read more.
Fracture systems critically govern coal seam permeability, influencing hydrocarbon migration pathways and well placement strategies. We established a predictive framework for fracture characterization in thin-interbedded coal reservoirs by integrating seismic response analysis with multi-domain validation. Utilizing borehole log statistics and staggered-grid wave equation modeling, we first decode azimuthal amplitude anisotropy patterns in fractured coal seams under varying lithological contexts. Key findings reveal that (1) isotropic thick surrounding rocks yield distinct fracture symmetry axis alignment (ellipse long-axis orientation shifts with layer velocity), while (2) anisotropic thin-interbedded host strata amplify azimuthal anisotropy ratios at mid–far offsets but induce prediction ambiguity under comparable fracture intensities. By applying azimuthally partitioned OVT data with optimized mid–long offset stacking, our amplitude ellipse fitting method demonstrates unique fracture solutions validated against structural, logging, and production data. This workflow resolves the multi-solution challenges in thin-layered systems, enabling precise fracture parameter prediction to optimize coalbed methane development in geologically complex basins. Full article
(This article belongs to the Special Issue Oil and Gas Drilling Processes: Control and Optimization)
Show Figures

Figure 1

24 pages, 1828 KB  
Review
New Insight into Bone Immunity in Marrow Cavity and Cancellous Bone Microenvironments and Their Regulation
by Hongxu Pu, Lanping Ding, Pinhui Jiang, Guanghao Li, Kai Wang, Jiawei Jiang and Xin Gan
Biomedicines 2025, 13(10), 2426; https://doi.org/10.3390/biomedicines13102426 - 3 Oct 2025
Viewed by 748
Abstract
Bone immunity represents a dynamic interface where skeletal homeostasis intersects with systemic immune regulation. We synthesize emerging paradigms by contrasting two functionally distinct microenvironments: the marrow cavity, a hematopoietic and immune cell reservoir, and cancellous bone, a metabolically active hub orchestrating osteoimmune interactions. [...] Read more.
Bone immunity represents a dynamic interface where skeletal homeostasis intersects with systemic immune regulation. We synthesize emerging paradigms by contrasting two functionally distinct microenvironments: the marrow cavity, a hematopoietic and immune cell reservoir, and cancellous bone, a metabolically active hub orchestrating osteoimmune interactions. The marrow cavity not only generates innate and adaptive immune cells but also preserves long-term immune memory through stromal-derived chemokines and survival factors, while cancellous bone regulates bone remodeling via macrophage-osteoclast crosstalk and cytokine gradients. Breakthroughs in lymphatic vasculature identification challenge traditional views, revealing cortical and lymphatic networks in cancellous bone that mediate immune surveillance and pathological processes such as cancer metastasis. Central to bone immunity is the neuro–immune–endocrine axis, where sympathetic and parasympathetic signaling bidirectionally modulate osteoclastogenesis and macrophage polarization. Gut microbiota-derived metabolites, including short-chain fatty acids and polyamines, reshape bone immunity through epigenetic and receptor-mediated pathways, bridging systemic metabolism with local immune responses. In disease contexts, dysregulated immune dynamics drive osteoporosis via RANKL/IL-17 hyperactivity and promote leukemic evasion through microenvironmental immunosuppression. We further propose the “brain–gut–bone axis” as a systemic regulatory framework, wherein vagus nerve-mediated gut signaling enhances osteogenic pathways, while leptin and adipokine circuits link marrow adiposity to inflammatory bone loss. These insights redefine bone as a multidimensional immunometabolic organ, integrating neural, endocrine, and microbial inputs to maintain homeostasis. By elucidating the mechanisms of immune-driven bone pathologies, this work highlights therapeutic opportunities through biomaterial-mediated immunomodulation and microbiota-targeted interventions, paving the way for next-generation treatments in osteoimmune disorders. Full article
(This article belongs to the Section Immunology and Immunotherapy)
Show Figures

Figure 1

25 pages, 5371 KB  
Article
Chronic Folliculitis Associated with Ovine gammaherpesvirus 2-Induced Infections in Dairy Cows from Southern Brazil
by Selwyn Arlington Headley, Flávia Helena Pereira Silva, Mariana da Silva Marques, Juliana Torres Tomazi Fritzen, Fernanda Pinto-Ferreira, Geovana Depieri Yoshitani, Ana Aparecida Correa Xavier, Pedro Paulo Benyunes Vieira and Amauri Alcindo Alfieri
Animals 2025, 15(19), 2883; https://doi.org/10.3390/ani15192883 - 1 Oct 2025
Viewed by 151
Abstract
Ovine gammaherpesvirus 2 (OvGHV2) is a Macavirus and the cause of sheep-associated malignant catarrhal fever (SA-MCF) in susceptible mammalian hosts worldwide. OvGHV2 may produce typical clinical manifestations of SA-MCF or subclinical infections. Additionally, OvGHV2 is associated with cutaneous lesions in ruminants, with few [...] Read more.
Ovine gammaherpesvirus 2 (OvGHV2) is a Macavirus and the cause of sheep-associated malignant catarrhal fever (SA-MCF) in susceptible mammalian hosts worldwide. OvGHV2 may produce typical clinical manifestations of SA-MCF or subclinical infections. Additionally, OvGHV2 is associated with cutaneous lesions in ruminants, with few documented reports of this unusual manifestation worldwide. This paper presents the pathological, immunohistochemical (IHC), and molecular findings observed in outbreaks of OvGHV2-related skin infections in dairy cattle from Southern Brazil. Cutaneous scrapings (n = 35) and biopsies (n = 6) were obtained from dairy cows derived from three farms. All cows (n = 35) developed widespread, ulcerative to scaly and erythematous skin lesions, and had no contact with sheep or goats. The biopsies were evaluated for histopathological diagnosis and then used in IHC analyses designed to detect malignant catarrhal fever virus (MCFV) antigens and to evaluate the inflammatory response. All scrapings and biopsies were used in PCR assays to amplify OvGHV2. Additionally, all biopsies were used in PCR assays to detect bovine gammaherpesvirus 6 (BoGHV6), bovine alphaherpesvirus 1 (BoAHV1), and poxvirus. Histopathology revealed chronic folliculitis in all biopsies. IHC detected intralesional, intracytoplasmic MCFV antigens in most (83.3%; 5/6) of the cutaneous lesions with folliculitis. These skin lesions showed a strong T-cell response, macrophage clusters, and caspase-positive follicular keratinocytes. OvGHV2 DNA was detected in 66.7% (4/6) of the cutaneous biopsies that contained MCFV antigens and in 8.6% (3/35) of the cutaneous scrapings. The DNA of BoGHV6, BoAHV1, and Poxvirus was not amplified from any of the cutaneous biopsies. These findings demonstrated that OvGHV2 was associated with the cutaneous lesions in dairy cows at these farms and represent the first description of OvGHV2-related skin disease in ruminants from Brazil and the entire Latin America. A review of previous cases of skin lesions associated with infections by OvGHV2 revealed that most cases had a histological diagnosis of folliculitis, suggesting that folliculitis may be associated with OvGHV2-related skin infections. Additionally, this investigation contrasts all previous reports of OvGHV2-related skin disease in ruminants, since the infected cows herein identified were not reared concomitantly or within proximity of the asymptomatic reservoir host. Furthermore, the possible form of OvGHV2 dissemination to the susceptible cows during this study is discussed. Full article
(This article belongs to the Section Cattle)
Show Figures

Figure 1

18 pages, 1390 KB  
Article
Standardized Artemisia annua Exhibits Dual Antileishmanial Activity and Immunomodulatory Potential In Vitro
by Estefania Morua, Laura Cuyas, Carlos J. Bethencourt-Estrella, Atteneri López-Arencibia, Maria Garrido Martínez, Ana Sañudo Otero, Jacob Lorenzo-Morales, José E. Piñero, Anabel Yetano Cunchillos, Raquel Virto Resano and Luis Matías-Hernández
Vet. Sci. 2025, 12(10), 950; https://doi.org/10.3390/vetsci12100950 - 1 Oct 2025
Viewed by 361
Abstract
Leishmaniasis is a parasitic disease caused by Leishmania spp., transmitted by sandflies, and endemic in 98 countries. Leishmania infantum, the main agent of visceral leishmaniasis in Europe, commonly infects both humans and animals, with dogs as the principal domestic reservoir. Clinical manifestations [...] Read more.
Leishmaniasis is a parasitic disease caused by Leishmania spp., transmitted by sandflies, and endemic in 98 countries. Leishmania infantum, the main agent of visceral leishmaniasis in Europe, commonly infects both humans and animals, with dogs as the principal domestic reservoir. Clinical manifestations in dogs depend on the host immune response. A robust Th1 response facilitates macrophage activation and parasite control, while persistently elevated TNF-α and IL-6 can lead to chronic inflammation and tissue damage. Current treatments reduce parasite load but rarely achieve complete cure and are often associated with relapses and resistance. Artemisia annua, source of artemisinin, could be a promising alternative to canine leishmaniasis. Despite its potential, no published studies have investigated its effect specifically against Leishmania infantum as well as its possible dual action: antiparasitic and immunomodulation. We conducted in vitro evaluations of a standardized Artemisia annua extract. Leishmanicidal activity was assessed against both promastigote and amastigote stages, and cytokine modulation was evaluated in RAW 264.7 macrophages. The extract showed strong leishmanicidal activity without cytotoxicity and significantly reduced TNF-α and IL-6 levels under inflammatory conditions, and in both cases, efficiency was correlated with artemisinin content. These results support Artemisia annua as a promising safer therapeutic adjuvant candidate for canine leishmaniasis, targeting both the parasite and the host inflammatory response. Full article
(This article belongs to the Section Veterinary Microbiology, Parasitology and Immunology)
Show Figures

Figure 1

25 pages, 4329 KB  
Article
Investigation of the Temperature Effect on Oil–Water–Rock Interaction Mechanisms During Low-Salinity Water Flooding in Tight Sandstone Reservoirs
by Min Sun and Yuetian Liu
Processes 2025, 13(10), 3135; https://doi.org/10.3390/pr13103135 - 30 Sep 2025
Viewed by 306
Abstract
Temperature is a key factor in regulating interfacial behaviors and enhancing oil recovery during low-salinity water flooding in tight sandstone reservoirs. This study systematically investigates the synergistic mechanisms of temperature and salinity on ion exchange, wettability alteration, interfacial tension, and crude oil desorption. [...] Read more.
Temperature is a key factor in regulating interfacial behaviors and enhancing oil recovery during low-salinity water flooding in tight sandstone reservoirs. This study systematically investigates the synergistic mechanisms of temperature and salinity on ion exchange, wettability alteration, interfacial tension, and crude oil desorption. The experimental results show that elevated temperature significantly strengthens the oil–water–rock interactions induced by low-salinity water, thereby improving oil recovery. At 70 °C, the release of divalent cations such as Ca2+ and Mg2+ from the rock surface is notably enhanced. Simultaneously, the increase in interfacial electrostatic repulsion is evidenced by a shift in the rock–brine zeta potential from −3.14 mV to −6.26 mV. This promotes the desorption of polar components, such as asphaltenes, from the rock surface, leading to a significant change in wettability. The wettability alteration index increases to 0.4647, indicating a strong water-wet condition. Additionally, the reduction in oil–water interfacial zeta potential and the enhancement in interfacial viscoelasticity contribute to a further decrease in interfacial tension. Under conditions of 0.6 PW salinity and 70 °C, non-isothermal core flooding experiments demonstrate that rock–fluid interactions are the dominant mechanism responsible for enhanced oil recovery. By applying a staged injection strategy, where 0.6 PW is followed by 0.4 PW, the oil recovery reaches 34.89%, which is significantly higher than that achieved with high-salinity water flooding. This study provides critical mechanistic insights and optimized injection strategies for the development of high-temperature tight sandstone reservoirs using low-temperature waterflooding. Full article
(This article belongs to the Section Energy Systems)
Show Figures

Figure 1

16 pages, 2992 KB  
Article
The Prediction of Oil and Water Content in Tight Oil Fluid: A Case Study of the Gaotaizi Oil Reservoir in Songliao Basin
by Junhui Li, Jie Li, Xiuli Fu, Junwen Li, Shuangfang Lu, Zhong Chu and Nengwu Zhou
Energies 2025, 18(19), 5186; https://doi.org/10.3390/en18195186 - 30 Sep 2025
Viewed by 292
Abstract
The oil content in a produced fluid plays a crucial role in oil production engineering. In this paper, a predictive model for the oil and water proportions in produced fluid was established through nuclear magnetic resonance coupling displacement. This model successfully predicts the [...] Read more.
The oil content in a produced fluid plays a crucial role in oil production engineering. In this paper, a predictive model for the oil and water proportions in produced fluid was established through nuclear magnetic resonance coupling displacement. This model successfully predicts the oil proportion in the produced fluid from each block within the Gaotaizi oil reservoir of the Songliao Basin and elucidates the reasons for its variation across different blocks. The production of pure oil in a vertical well area was attributed to the reservoir fluid exhibiting high bound water saturation, resulting in oil being the primary movable phase. In the testing and extended areas, variations in oil saturation combined with the pore size distribution governing oil and water occupancy are likely responsible for the differing oil-water ratios observed in the produced fluid. Specifically, a higher oil-to-water ratio (7:3) was produced in the testing area, while the extended area yielded a lower oil-to-water ratio (3:7). Furthermore, the model predicts an oil-to-water ratio of 4:6 for the produced fluid in the Fangxing area. To enhance oil production in the extended area, narrowing the fracture interval is proposed. However, this measure may not prove effective in other blocks. Full article
Show Figures

Figure 1

14 pages, 590 KB  
Article
Predicting Temporal Liking of Food Pairings from Temporal Dominance of Sensations Data via Reservoir Computing on Crackers and Spreads
by Hiroharu Natsume and Shogo Okamoto
Foods 2025, 14(19), 3373; https://doi.org/10.3390/foods14193373 - 29 Sep 2025
Viewed by 252
Abstract
The temporal dominance of sensations (TDS) and temporal liking (TL) methods offer complementary insights into the evolution of sensory and hedonic responses during food consumption. This study investigates the feasibility of predicting TL curves for food pairings from their TDS profiles using reservoir [...] Read more.
The temporal dominance of sensations (TDS) and temporal liking (TL) methods offer complementary insights into the evolution of sensory and hedonic responses during food consumption. This study investigates the feasibility of predicting TL curves for food pairings from their TDS profiles using reservoir computing, a type of recurrent neural network. Participants evaluated eight samples—two crackers (plain, sesame), two spreads (peanut butter, strawberry jam), and their four binary combinations—performing both TDS and TL evaluations. This process yielded paired time-series data of TDS and TL curves. We trained various reservoir models under different conditions, including varying reservoir sizes (64, 128, 192, or 256 neurons) and the inclusion of auxiliary input dimensions, such as flags indicating the types of foods tasted. Our results show that models with minimal auxiliary inputs achieved the lowest root mean squared errors (RMSEs), with the best performance being an RMSE of 0.44 points on a 9-point liking scale between the observed and predicted TL curves. The ability to predict TL curves for food pairings holds some promise for reducing the need for extensive sensory evaluation, especially when a large number of food combinations are targeted. Full article
(This article belongs to the Section Food Systems)
Show Figures

Figure 1

35 pages, 2417 KB  
Review
Insights into Persistent SARS-CoV-2 Reservoirs in Chronic Long COVID
by Swayam Prakash, Sweta Karan, Yassir Lekbach, Delia F. Tifrea, Cesar J. Figueroa, Jeffrey B. Ulmer, James F. Young, Greg Glenn, Daniel Gil, Trevor M. Jones, Robert R. Redfield and Lbachir BenMohamed
Viruses 2025, 17(10), 1310; https://doi.org/10.3390/v17101310 - 27 Sep 2025
Viewed by 3404
Abstract
Long COVID (LC), also known as post-acute sequelae of COVID-19 infection (PASC), is a heterogeneous and debilitating chronic disease that currently affects 10 to 20 million people in the U.S. and over 420 million people globally. With no approved treatments, the long-term global [...] Read more.
Long COVID (LC), also known as post-acute sequelae of COVID-19 infection (PASC), is a heterogeneous and debilitating chronic disease that currently affects 10 to 20 million people in the U.S. and over 420 million people globally. With no approved treatments, the long-term global health and economic impact of chronic LC remains high and growing. LC affects children, adolescents, and healthy adults and is characterized by over 200 diverse symptoms that persist for months to years after the acute COVID-19 infection is resolved. These symptoms target twelve major organ systems, causing dyspnea, vascular damage, cognitive impairments (“brain fog”), physical and mental fatigue, anxiety, and depression. This heterogeneity of LC symptoms, along with the lack of specific biomarkers and diagnostic tests, presents a significant challenge to the development of LC treatments. While several biological abnormalities have emerged as potential drivers of LC, a causative factor in a large subset of patients with LC, involves reservoirs of virus and/or viral RNA (vRNA) that persist months to years in multiple organs driving chronic inflammation, respiratory, muscular, cognitive, and cardiovascular damages, and provide continuous viral antigenic stimuli that overstimulate and exhaust CD4+ and CD8+ T cells. In this review, we (i) shed light on persisting virus and vRNA reservoirs detected, either directly (from biopsy, blood, stool, and autopsy samples) or indirectly through virus-specific B and T cell responses, in patients with LC and their association with the chronic symptomatology of LC; (ii) explore potential mechanisms of inflammation, immune evasion, and immune overstimulation in LC; (iii) review animal models of virus reservoirs in LC; (iv) discuss potential T cell immunotherapeutic strategies to reduce or eliminate persistent virus reservoirs, which would mitigate chronic inflammation and alleviate symptom severity in patients with LC. Full article
(This article belongs to the Special Issue SARS-CoV-2, COVID-19 Pathologies, Long COVID, and Anti-COVID Vaccines)
Show Figures

Figure 1

24 pages, 8814 KB  
Article
Are There Differences in the Response of Lake Areas at Different Altitudes in Xinjiang to Climate Change?
by Kangzheng Zhong, Chunpeng Chen, Liping Xu, Jiang Li, Linlin Cui and Guanghui Wei
Sustainability 2025, 17(19), 8705; https://doi.org/10.3390/su17198705 - 27 Sep 2025
Viewed by 216
Abstract
Lakes account for approximately 87% of the Earth’s surface water resources and serve as sensitive indicators of climate and environmental change. Understanding how lake areas respond to climate change across different elevation gradients is crucial for guiding sustainable water resource management in Xinjiang. [...] Read more.
Lakes account for approximately 87% of the Earth’s surface water resources and serve as sensitive indicators of climate and environmental change. Understanding how lake areas respond to climate change across different elevation gradients is crucial for guiding sustainable water resource management in Xinjiang. We utilized Landsat series remote sensing imagery (1990–2023) on the Google Earth Engine (GEE) platform to extract the temporal dynamics of natural lakes larger than 10 km2 in Xinjiang, China (excluding reservoirs). We analyzed the relationships between lake area dynamics, climatic factors, and human activities to assess the sensitivity of lakes at different altitudinal zones to environmental change. The results showed that (1) the total area of Xinjiang lakes increased by 1188.36 km2 over the past 34 years, with an average annual area of 5998.54 km2; (2) plain lakes experienced fluctuations, reaching their maximum in 2000 and their minimum in 2015, alpine lakes peaked in 2016, and plateau lakes continued to expand, with the maximum recorded in 2020 and the minimum in 1995; and (3) human activities such as urban and agricultural water use were the primary causes of shrinking plain lakes, while an increased PET accelerates evaporation, alpine lakes were influenced by both climate variability and human disturbance, and plateau lakes were highly sensitive to climate change, with rising temperatures increasing snowmelt and glacial runoff into lakes, which were the main drivers of their expansion. These findings highlight the importance of incorporating elevation-specific lake responses into climate adaptation strategies and sustainable water management policies in arid regions. Full article
Show Figures

Figure 1

19 pages, 317 KB  
Review
Overview of Commercial Vaccines Against Canine Visceral Leishmaniasis: Current Landscape and Future Directions
by Josiane Aparecida Martiniano de Pádua, Diego Ribeiro, Victor Freire Ferreira de Aguilar, Tuane Ferreira Melo, Lilian Lacerda Bueno, Ana Laura Grossi de Oliveira, Ricardo Toshio Fujiwara and Kelly Moura Keller
Pathogens 2025, 14(10), 970; https://doi.org/10.3390/pathogens14100970 - 25 Sep 2025
Viewed by 478
Abstract
Visceral leishmaniasis is a zoonosis commonly caused in Brazil by the parasite Leishmania infantum. This protozoan parasite can infect several species of mammals, with dogs being the main reservoir in urban areas. Several methods are used to prevent the disease, including collars [...] Read more.
Visceral leishmaniasis is a zoonosis commonly caused in Brazil by the parasite Leishmania infantum. This protozoan parasite can infect several species of mammals, with dogs being the main reservoir in urban areas. Several methods are used to prevent the disease, including collars impregnated with 4% deltamethrin to prevent contact between the sandfly and the animal, and vaccines. Vaccines aim to stimulate an immune response that can effectively fight the parasite, with the Th1 immune response being the most desired. There are several research groups around the world dedicated to testing new immunogens against Leishmania spp. and there are currently two commercially available vaccines used to prevent the disease, Neoleish® and Leti-Fend®. Leish-Tec®, a vaccine previously licensed for use in dogs in Brazil, was suspended in May 2023 due to non-compliance in some batches. This also happened with CaniLeish®, which was discontinued by the European Commission in October 2023. These vaccines have different characteristics that influence their use as a public health measure, and therefore the objective of this review is to describe these immunogens, their characteristics, and their use as a collective prevention measure for canine visceral leishmaniasis. Full article
(This article belongs to the Special Issue Leishmania & Leishmaniasis)
17 pages, 3162 KB  
Article
Experimental Study on Mechanical and Structural Properties of Enzyme-Induced Carbonate Precipitation Solidified Soil Under Freeze–Thaw Cycles
by Fan Yu and Weiquan Zhao
Appl. Sci. 2025, 15(18), 10226; https://doi.org/10.3390/app151810226 - 19 Sep 2025
Viewed by 280
Abstract
Enzyme-induced carbonate precipitation (EICP), an environmentally friendly geotechnical reinforcement method, is commonly adopted in water conservancy infrastructure, like reservoir bank slopes. Currently, limited studies have been performed on the mechanical and structural properties of EICP-solidified soil (ES) under freeze–thaw (F-T) cycles. In this [...] Read more.
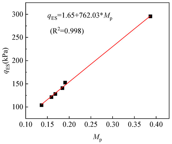
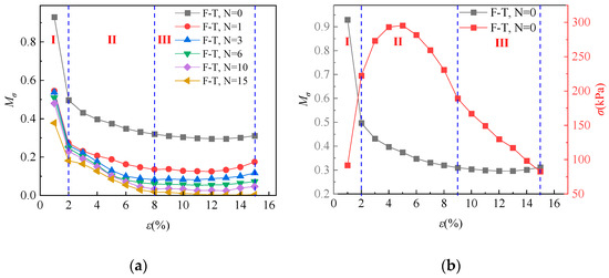
Enzyme-induced carbonate precipitation (EICP), an environmentally friendly geotechnical reinforcement method, is commonly adopted in water conservancy infrastructure, like reservoir bank slopes. Currently, limited studies have been performed on the mechanical and structural properties of EICP-solidified soil (ES) under freeze–thaw (F-T) cycles. In this study, a series of unconfined compressive strength (UCS) tests were performed to investigate the strength degradation characteristics and failure modes of ES and untreated soil (US) under a various number of F-T cycles. The “freeze–thaw structural parameter Mσ” and “initial freeze–thaw structural parameter Mp” were established to study the structural evolution laws of ES with strain and number of F-T cycles. Finally, the effect of F-T cycles on the microscopic pore structure of soil was investigated. The results indicated that the ES exhibited good strength retention capabilities subjected to F-T cycles. After one F-T cycle, the strength loss rate of the US was as high as 69.33%, while that of the ES was only 64.69% after 15 F-T cycles. The “freeze–thaw structural parameter Mσ” and the “initial freeze–thaw structural parameter Mp” presented the enhancement degree of structural strength and stabilization of ES under F-T cycles. The Mσ with strain could be divided into three stages. The nonlinear fitting results regarding the Mp showed a negative logarithmic relationship with the number of F-T cycles. With various F-T cycles, the pore area ratio of ES increased by an average of 0.603%, lower than that of US, 1.19%. After 10 to 15 F-T cycles, the Feret diameter reduction in ES was only 0.015 μm, which was 7% of the US, verifying the macroscopic test results. In the design of the reservoir slope, Mp and Mσ can be used to evaluate the deterioration of mechanical and structural properties after freeze–thaw disturbance, and to predict the stress and deformation response. Full article
Show Figures

Figure 1

18 pages, 665 KB  
Communication
Agreement Document for the Study of Leishmaniasis from a One Health Approach in Spain
by Joaquina Martín-Sánchez, Jose M. Requena, Montserrat Gállego, Maribel Jiménez, Ricardo Molina, Paul Nguewa, Francisco Morillas-Márquez, José M. Pérez-Victoria, Begoña Monge-Maillo, Manuel Morales-Yuste and Clotilde Marín
Trop. Med. Infect. Dis. 2025, 10(9), 269; https://doi.org/10.3390/tropicalmed10090269 - 18 Sep 2025
Viewed by 573
Abstract
Background: Leishmaniasis, a vector-borne disease caused by the parasite Leishmania, is a public health concern in Europe. Although Spain is an endemic country, it lacks a national surveillance network. To address this, the creation of a research and surveillance network is [...] Read more.
Background: Leishmaniasis, a vector-borne disease caused by the parasite Leishmania, is a public health concern in Europe. Although Spain is an endemic country, it lacks a national surveillance network. To address this, the creation of a research and surveillance network is proposed, which would integrate data from various fields and enhance control and public health strategies. Objectives: The first objective is to gather epidemiological data on vectors, reservoirs, and transmission rates in Spain, with a particular focus on the role of dogs and wildlife as primary reservoirs. The plan includes establishing forums, databases, and specialised training programmes. The second objective is to improve case surveillance and reporting by establishing a comprehensive national registry. Implementing molecular diagnostics and bioinformatics tools will aid analysis of retrospective data and tracking of disease evolution. The third objective is to develop a standardised method for the molecular characterisation of Leishmania, using techniques such as PCR and genomic sequencing to detect virulence and resistance patterns. Key actions include collecting isolates, sharing analytical tools and providing genomic training. The fourth objective is to identify new therapeutic targets in response to toxicity and resistance to current treatments by studying specific enzymes (FeSOD, HDAC), metabolic pathways, and natural products. Ultimately, establishing the Leishmaniasis Surveillance Network will support a “One Health” approach and promote interdisciplinary collaboration towards a national control plan. Methods: We created the Working Group on Leishmaniasis funded by the Spanish Society of Tropical Medicine and International Health as a leishmaniasis forum for meetings and discussions on weaknesses and gaps we find in the knowledge and management of the infection based on the background of each academic and healthcare research group. Expected Impact: This study will promote the articulation of a Leishmaniasis Surveillance Network aiming to bring together the main stakeholders in the research and management of leishmaniasis in Spain. Full article
(This article belongs to the Special Issue Leishmaniasis in Europe and the Mediterranean Region)
Show Figures

Figure 1

20 pages, 1621 KB  
Article
An Optimization Method for Day-Ahead Generation Interval of Cascade Hydropower Adapting to Multi-Source Coordinated Scheduling Requirements
by Shushan Li, Chonghao Li, Huijun Wu, Zhipeng Zhao, Huan Wang, Yongxi Kang, Chuntian Cheng and Changhong Li
Energies 2025, 18(18), 4901; https://doi.org/10.3390/en18184901 - 15 Sep 2025
Viewed by 261
Abstract
Multi-source coordinated scheduling has become the predominant operational paradigm in power systems. However, substantial differences among hydropower, thermal power, wind power, and photovoltaic sources in terms of response speed, regulation capability, and operational constraints—particularly the complex generation characteristics and spatiotemporal hydraulic coupling of [...] Read more.
Multi-source coordinated scheduling has become the predominant operational paradigm in power systems. However, substantial differences among hydropower, thermal power, wind power, and photovoltaic sources in terms of response speed, regulation capability, and operational constraints—particularly the complex generation characteristics and spatiotemporal hydraulic coupling of large-scale cascade hydropower stations—significantly increase the complexity of coordinated scheduling. Therefore, this study proposes an optimization method for determining the day-ahead generation intervals of cascade hydropower, applicable to multi-source coordinated scheduling scenarios. The method fully accounts for the operational characteristics of hydropower and the requirements of coordinated scheduling. By incorporating stochastic operational processes, such as reservoir levels and power outputs, feasible boundaries are constructed to represent the inherent uncertainties in hydropower operations. A stochastic optimization model is then formulated to determine the generation intervals. To enhance computational tractability and solution accuracy, a linearization technique for stochastic constraints based on duality theory is introduced, enabling efficient and reliable identification of hydropower generation capability intervals under varying system conditions. In practical applications, other energy sources can develop their generation schedules based on the feasible generation intervals provided by hydropower, thereby effectively reducing the complexity of multi-source coordination and fully leveraging the regulation potential of hydropower. Multi-scenario simulations conducted on six downstream cascade reservoirs in a river basin in Southwest China demonstrate that the proposed method significantly enhances system adaptability and scheduling efficiency. The method exhibits strong engineering applicability and provides robust support for multi-source coordinated operation. Full article
(This article belongs to the Special Issue Optimal Schedule of Hydropower and New Energy Power Systems)
Show Figures

Figure 1

24 pages, 5915 KB  
Article
Evolution Trend and Cause Analysis of Diversion Characteristics of Three Outlets Along Jingjiang River Under New Flow and Sediment Conditions
by Dong Wang, Tao Zhou, Jiaze Fan, Zhengyang Tang and Yongqiang Wang
Sustainability 2025, 17(18), 8285; https://doi.org/10.3390/su17188285 - 15 Sep 2025
Viewed by 329
Abstract
Changes in the diversion characteristics of three outlets along Jingjiang River are of vital importance to the adjustment of river–lake relationships. This study analyzed the mechanism of periodic changes in the diversion ratio of the three outlets along the Jingjiang River after the [...] Read more.
Changes in the diversion characteristics of three outlets along Jingjiang River are of vital importance to the adjustment of river–lake relationships. This study analyzed the mechanism of periodic changes in the diversion ratio of the three outlets along the Jingjiang River after the storage of the Three Gorges Reservoir. It used the latest measured flow and sediment data. The analysis was conducted from the perspective of changes in the main stream regime at the three outlets along the Jingjiang River and the erosion and deposition trend of the floodway at the three outlets. On such a basis, the contribution ratio of three factors was analyzed quantitatively. These factors are Jingjiang River runoff reduction, reservoir regulation action, and diversion capacity drop. This analysis comprehensively considered the diversion capacity of the floodway at three outlets. It also considered the annual runoff volume and runoff process of the Jingjiang River mainstream. The purpose was to reveal the change laws of water resource quantity and response mechanism of Dongting Lake area under the new flow and sediment conditions. This will provide technical support for the sustainable management of water resources in the basin and the adaptive operation of reservoirs. The analysis results indicated that the diversion volume reduction at the three outlets along Jingjiang River is jointly caused by the regulation of the Three Gorges Reservoir and the runoff volume of the incoming flows of Jingjiang River. Seen from the proportion, the reservoir regulation action takes up 35% before the Three Gorges Reservoir is filled to 175 m, and less runoff of Jingjiang River takes up 65%; after the reservoir runs normally when filled to 175 m, the reservoir regulation action takes up 63%, the proportion of the diversion capacity drop of the three outlets causing diversion volume reduction takes up 2.5%, and less runoff of Jingjiang River takes up 34.5%. Full article
(This article belongs to the Special Issue Sediment Movement, Sustainable Water Conservancy and Water Transport)
Show Figures

Figure 1

23 pages, 12727 KB  
Article
Quantitative 3D Depositional Element Modeling of the Mishrif Carbonate Platform: Enhancing Reservoir Performance Prediction
by Shunming Li, Rubing Han, Zhiyang Pi, Gang Hui and Hui He
Processes 2025, 13(9), 2941; https://doi.org/10.3390/pr13092941 - 15 Sep 2025
Viewed by 489
Abstract
Qualitative schematic models of the Mishrif Formation, which have previously dominated the research, are inadequate for predicting reservoir production performance due to their inability to quantify spatial heterogeneity. In contrast to these earlier approaches, this study integrates core analysis, wireline logs, and 3D [...] Read more.
Qualitative schematic models of the Mishrif Formation, which have previously dominated the research, are inadequate for predicting reservoir production performance due to their inability to quantify spatial heterogeneity. In contrast to these earlier approaches, this study integrates core analysis, wireline logs, and 3D seismic data to not only describe but also quantitatively characterize the depositional elements and their spatial distribution. A novel methodology was developed to define nine distinct depositional elements from cored wells and then continuously identify them in uncored wells using unique pseudo-wireline log responses, a step not achieved in prior work. Furthermore, moving beyond previous qualitative models, 3D quantitative versions were constructed using Sequential Indicator Simulation (SIS) explicitly constrained by depositional geometries derived from 3D seismic inversion volumes. For the first time, these models reveal the quantitative spatial extent and evolution of these elements. Updating the 3D petrophysical property model using this new depositional framework resulted in a 15% increase in successful production history matches, demonstrating the direct and superior predictive power of this integrated quantitative approach for forecasting oil reservoir production performance. Full article
Show Figures

Figure 1

Back to TopTop