Experimental Study on Mechanical and Structural Properties of Enzyme-Induced Carbonate Precipitation Solidified Soil Under Freeze–Thaw Cycles
Abstract
1. Introduction
2. Materials and Methods
2.1. Test Materials
2.2. Experimental Program
2.2.1. Specimen Preparation
2.2.2. Freeze–Thaw (F-T) Cycling Tests
2.2.3. Unconfined Compressive Strength Test (UCS Test)
2.2.4. Structural Analysis of EICP-Solidified Soil
2.2.5. Scanning Electron Microscopy (SEM)
3. Results and Discussion
3.1. Analysis of Mechanical Properties and Failure Modes of EICP-Solidified Soil Under Freeze–Thaw Cycles
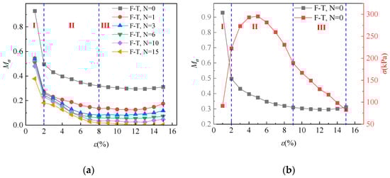
3.2. Analysis of Structural Evolution of EICP-Solidified Soil Under Freeze–Thaw Cycles
3.3. Analysis of Microscopic Pore Structure Evolution of EICP-Solidified Soil Under Freeze–Thaw Cycles
4. Conclusions
- (1)
- The unconfined compressive strength of the EICP-solidified soil (ES) and untreated soil (US) showed strength degradation with the increase in number of freeze–thaw (F-T) cycles, especially significantly after one F-T cycle. The reason was that the microscopic pore damage of soil showed stage characteristics with the increase in the number of F-T cycles. In the early stage, irreversible expansion damage of pores was observed, and the damage slowed down due to the buffering of residual pores in the later stage.
- (2)
- The strength degradation of soil subjected to F-T cycles was improved effectively by EICP-solidified technology. After 15 F-T cycles, the strength loss rate of ES was only 64.69% with no visible damage cracks, exhibiting block type failure. Compared to the ES, the US was as high as 69.33% after one F-T cycle, and after 15 cycles, was increased to 89.33%, presenting fragmentation type failure.
- (3)
- The “freeze–thaw structural parameter Mσ” exhibited the evolution law of the ES structural strength and stabilization with increasing strain under F-T cycles. The evolution laws of the curves, first increased and then decreased, could be divided into three stages, namely the significant drop of Mσ, the transition period of Mσ degradation, and the stable process of Mσ.
- (4)
- The “initial freeze–thaw structural parameter Mp” showed the evolution law of the ES structural strength and stabilization with increasing the number of F-T cycles. The fitting results had a negative logarithmic relationship with the number of F-T cycles. Moreover, the qES (unconfined compressive strength of ES) and Mp exhibited a linear normalization relationship.
- (5)
- The pore area ratio of ES and US increased with the increase in the number of F-T cycles. The pore area ratio of the ES was smaller than the US, indicating that the increase in pore area was alleviated by the effect of calcium carbonate precipitates’ cementation and densification. The evolution laws of the Feret diameter showed a trend of first of increase and then decrease, indicating that the failure process shifted from between soil aggregates to intra aggregate with increasing the number of F-T cycles.
Author Contributions
Funding
Institutional Review Board Statement
Informed Consent Statement
Data Availability Statement
Acknowledgments
Conflicts of Interest
References
- Liu, Y.R.; Gao, C.F.; Zhuang, W.Y.; Wei, C.Y.; Qi, Z.L.; Zhang, K.; Hou, S.K. Prediction and early warning analysis of reservoir bank slopes based on anti-sliding stability evolution. Geosci. Front. 2025, 16, 102113. [Google Scholar] [CrossRef]
- Yang, Z.; Mou, X.Y.; Ji, H.L.; Liang, Z.H.; Zhang, J.H. Effects of freeze–thaw on bank soil mechanical properties and bank stability. Sci. Rep. 2024, 14, 9808. [Google Scholar] [CrossRef]
- Moro, K.; Hoth, N.; Roscher, M.; Kaulfuss, F.; Vianney, J.M.; Drebenstedt, C. Characterization of Historical Tailings Dam Materials for Li-Sn Recovery and Potential Use in Silicate Products—A Case Study of the Bielatal Tailings Dam, Eastern Erzgebirge, Saxony, Germany. Sustainability 2025, 17, 4469. [Google Scholar] [CrossRef]
- Günay, A.; Akbas, S.O. AI-Supported probabilistic steady-state and transient seepage analysis of an embankment dam with clay core: A case study on Büyükcekmece Dam. Eng. Geol. 2025, 351, 108029. [Google Scholar] [CrossRef]
- Zhou, C.Y.; Zhang, Q.X.; Liao, J.; Lai, H.Q.; Liu, Z. Experiment and Mechanism of Ecological Restoration of Water Level Fluctuation Zone Based on Redbed Composite Polymer Materials. Polymers 2025, 17, 306. [Google Scholar] [CrossRef]
- Islam, S.; Chowdhury, A.S.; Hasnat, N.; Alam, M.J.B.; Islam, J. Mitigating Desiccation Cracking in Embankment Soil Using Polyester Fiber and Fly Ash. Geotech. Geol. Eng. 2025, 43, 277. [Google Scholar] [CrossRef]
- Gao, Z.A.; Kong, L.W.; Yan, J.B.; Wang, S.J. Effects of drying–wetting cycles on small-strain stiffness characteristics of fissured clay. J. Rock Mech. Geotech. Eng. 2025, 17, 4618–4631. [Google Scholar] [CrossRef]
- Zhao, S.; Su, X.J.; Xu, C.; Gao, X.; Lu, S.Y. Microbial adaptation and genetic modifications for enhanced remediation in low-permeability soils. Sci. Total Environ. 2025, 958, 177916. [Google Scholar] [CrossRef] [PubMed]
- Guo, H.T.; Sun, Y.L.; Sun, C.; Gu, H.Y. Experimental study on shear strength and deterioration behavior of silty clay under dry-wet-freeze-thaw cycles. Sci. Rep. 2025, 15, 17907. [Google Scholar] [CrossRef]
- Peng, W. Analysis of Quantitative Structural Parameters and Elastoplastic Constitutive Model of Saline Soil Under Freeze-Thaw Cycle. Ph.D. Thesis, Jilin University, Changchun, China, 2022. [Google Scholar]
- Liu, J.; Zhu, Q.C.; Li, G.; Qu, J.; Zhang, J.L. Research on the Anti-Erosion Capacity of Aeolian Sand Solidified with Enzyme Mineralization and Fiber Reinforcement Under Ultraviolet Erosion and Freeze–Thaw Erosion. Sustainability 2025, 17, 5053. [Google Scholar] [CrossRef]
- Xu, K.; Huang, M.; Cui, M.J.; Li, S. Effect of crystal morphology on cementability and micromechanical properties of calcium carbonate precipitate induced by crude soybean enzyme. J. Rock Mech. Geotech. Eng. 2024, 16, 5095–5108. [Google Scholar] [CrossRef]
- Peng, C.; Zhou, H.Y.; Deng, B.; Wang, D.X.; Zhu, J.R. Mechanical Properties Test and Microscopic Mechanism of Lignin Combined with EICP to Improve Silty Clay. Sustainability 2025, 17, 975. [Google Scholar] [CrossRef]
- Wang, Y.K.; Jiang, R.; Jiao, M.J.; Cao, T.C.; Yu, X. Macro and micro experimental study on solidification of Yellow River silt based on different biomineralization technologies. Environ. Earth Sci. 2023, 82, 86. [Google Scholar] [CrossRef]
- Mehmood, M.; Guo, Y.C.; Wang, L.; Liu, Y.L.; Uge, B.U.; Ali, S. Influence of Enzyme Induced Carbonate Precipitation (EICP) on the Engineering Characteristics of Expansive soil. Arab. J. Sci. Eng. 2024, 49, 14101–14116. [Google Scholar] [CrossRef]
- Qin, Z.P.; Lai, Y.M.; Tian, Y.; Zhang, M.Y. Effect of freeze-thaw cycles on soil engineering properties of reservoir bank slopes at the northern foot of Tianshan Mountain. J. Mt. Sci. 2021, 18, 541–557. [Google Scholar] [CrossRef]
- Yuan, H.; Wang, S.Q.; Zhu, Z.Q.; Ru, M.Y.; Wan, A.C.; Zhu, X. Freeze-thaw durability and environmental risk assessment of silty soil improved using EICP combined with magnesite tailings powder. Environ. Res. 2025, 285, 122350. [Google Scholar] [CrossRef]
- Ahenkorah, I.; Rahman, M.M.; Karim, M.R.; Beecham, S. Unconfined compressive strength of MICP and EICP treated sands subjected to cycles of wetting-drying, freezing-thawing and elevated temperature: Experimental and EPR modelling. J. Rock. Mech. Geotech. Eng. 2023, 15, 1226–1247. [Google Scholar] [CrossRef]
- Xie, D.Y. Exploration of some new tendencies in research of loess mechanics. Chin. J. Geotech. Eng. 2001, 23, 3–13. [Google Scholar]
- Shen, Z.J. Mathematical model of soil structure the core problem of soil mechanics in the 21st century. Chin. J. Geotech. Eng. 1996, 18, 95–97. [Google Scholar]
- Shao, S.J.; Wang, L.Q.; Tao, H.; Wang, Q.; Wang, S. Structural index of loess and its relation with granularity, density and humidity. Chin. J. Geotech. Eng. 2014, 36, 1387–1393. [Google Scholar]
- Wu, X.J.; Dang, F.N.; Li, J.Y. Research on structural parameters of loess and its experimental determination method. Front. Built Environ. 2025, 11, 1529204. [Google Scholar] [CrossRef]
- Wu, X.J.; Dang, F.N.; Li, J.Y. The Parameter of Soil Structural Properties and Their Relationship to Grain Size, Density, and Moisture Content. Appl. Sci. 2025, 15, 1872. [Google Scholar] [CrossRef]
- Yao, M.; Chen, H.; Li, H.; Wang, Q.; Han, Y.; Yu, Q.B.; Liu, Y.B. Stress ratio sensitivity—A novel parameter for evaluating the shearing-based structural characteristic of loess. Bull. Eng. Geol. Environ. 2023, 83, 18. [Google Scholar] [CrossRef]
- Tremblay, H.; Leroueil, S.; Locat, J. Mechanical improvement and vertical yield stress prediction of clayey soils from eastern Canada treated with lime or cement. Can. Geotech. J. 2001, 38, 567–579. [Google Scholar] [CrossRef]
- ASTM D2487; Standard Practice for Classification of Soils for Engineering Purposes (Unified Soil Classification System). ASTM: West Conshohocken, PA, USA, 2017.
- Guan, D.W.; Zhou, Y.Z.; Mohamed, A.S.; Hamed, K.T.; Cheng, L. Assessment of urease enzyme extraction for superior and economic bio-cementation of granular materials using enzyme-induced carbonate precipitation. Acta Geotech. 2023, 18, 2263–2279. [Google Scholar] [CrossRef]
- Whiffin, V.S. Microbial CaCO: Precipitation for the Production of Biocement. Ph.D. Thesis, Murdoch University, Perth, Western Australia, 2004. [Google Scholar]
- GB/T 50123; Standard for Geotechnical Testing Method. GB: Beijing, China, 2019.
- Yang, X.; Hu, Z.Q.; Li, H.R.; Wang, Y.; Zhang, Y.; She, H.C.; Wang, X.L. Effect of freeze-thaw cycles on mechanical properties and microstructure of artificially prepared site soil. Constr. Build. Mater. 2025, 485, 141878. [Google Scholar] [CrossRef]
- Yuan, H.; Shi, Q.S.; Li, J.; Zhao, Z.L. Effect of freeze–thaw cycling on mechanical properties of Na-montmorillonite modified EICP-treated silty sand. Case Stud. Constr. Mat. 2023, 19, 02641. [Google Scholar]
- ASTM D560; Standard Test Methods for Freezing and Thawing Compacted Soil-Cement Mixtures. ASTM: West Conshohocken, PA, USA, 2024.
- ASTM D2166; Standard Test Method for Unconfined Compressive Strength of Cohesive Soil. ASTM: West Conshohocken, PA, USA, 2016.
- Shao, S.J.; Zheng, W.; Wang, Z.H.; Wang, S. Structural index of loess and its testing method. Rock Soil Mech. 2010, 31, 15–19+38. [Google Scholar]
- Xu, D.L.; Yuan, C.; Dai, L.; Zeng, L.; Li, L.; Guan, X.W.; Wang, H.L. A method for measuring the critical pore diameter of a homogeneous microchannel separator based on image analysis and a simulation comparison of CFD-DEM. Sep. Purif. Technol. 2025, 360, 130896. [Google Scholar] [CrossRef]
- Watson, O.; Bruce, R.A.; Essex, R.; Valter, K. Experimental and statistical study on sound absorption coefficient of porous asphalt concrete considering mesoscopic pore parameters. Constr. Build. Mater. 2024, 434, 136767. [Google Scholar] [CrossRef]
- Folorunso, O.; Ojo, O.; Busari, M.; Adebayo, M.; Joshua, A.; Folorunso, D.; Ugwunna, C.O.; Olabanjo, O.; Olabanjo, O. Exploring machine learning models for soil nutrient properties prediction: A systematic review. Big Data Cogn. Comput. 2023, 7, 113. [Google Scholar] [CrossRef]
- Attom, M.F.; Vandanapu, R.; Khan, Z.; Yamin, M.; Astillo, P.V.; Eltayeb, A.; Khalil, A. Prediction of internal erosion parameters of clay soils using initial physical properties. Water 2024, 16, 232. [Google Scholar] [CrossRef]
- Sun, L.; Liu, E.L.; Luo, F. Micromechanics-based strength criterion for tailings silty clay considering the influence of freeze-thaw cycles. Cold. Reg. Sci. Technol. 2025, 237, 104536. [Google Scholar] [CrossRef]
- Hu, Y.K.; Long, J.W.; Feng, L.G.; Chen, C.; Luo, Q.L. Biomineralization techniques and its engineering application: A systematic review and meta-analysis. J. Build. Eng. 2025, 100, 111739. [Google Scholar] [CrossRef]
- Zhao, Z.; Hamdan, N.; Shen, L.; Nan, H.Q.; Almajed, A. Biomimetic hydrogel composites for soil stabilization and contaminant mitigation. Environ. Sci. Technol. 2016, 50, 12401–12410. [Google Scholar] [CrossRef]
- Yan, Z.; Gowthaman, S.; Nakashima, K.; Kawasaki, S. Polymer-assisted enzyme induced carbonate precipitation for non-ammonia emission soil stabilization. Sci. Rep. 2022, 12, 8821. [Google Scholar] [CrossRef] [PubMed]
- Gowthaman, S.; Mohsenzadeh, A.; Nakashima, K.; Kawasaki, S. Removal of ammonium by-products from the effluent of bio-cementation system through struvite precipitation. Mater. Today Proc. 2022, 61, 243–249. [Google Scholar] [CrossRef]











| Basic Physical Indicators | Value |
|---|---|
| Natural Moisture Content (%) | 14.98 |
| Liquid Limit (%) | 35.6 |
| Plasticity Index | 20.3 |
| Optimum Moisture Content (%) | 18.6 |
| Maximum Dry Density (g/cm3) | 1.63 |
Disclaimer/Publisher’s Note: The statements, opinions and data contained in all publications are solely those of the individual author(s) and contributor(s) and not of MDPI and/or the editor(s). MDPI and/or the editor(s) disclaim responsibility for any injury to people or property resulting from any ideas, methods, instructions or products referred to in the content. |
© 2025 by the authors. Licensee MDPI, Basel, Switzerland. This article is an open access article distributed under the terms and conditions of the Creative Commons Attribution (CC BY) license (https://creativecommons.org/licenses/by/4.0/).
Share and Cite
Yu, F.; Zhao, W. Experimental Study on Mechanical and Structural Properties of Enzyme-Induced Carbonate Precipitation Solidified Soil Under Freeze–Thaw Cycles. Appl. Sci. 2025, 15, 10226. https://doi.org/10.3390/app151810226
Yu F, Zhao W. Experimental Study on Mechanical and Structural Properties of Enzyme-Induced Carbonate Precipitation Solidified Soil Under Freeze–Thaw Cycles. Applied Sciences. 2025; 15(18):10226. https://doi.org/10.3390/app151810226
Chicago/Turabian StyleYu, Fan, and Weiquan Zhao. 2025. "Experimental Study on Mechanical and Structural Properties of Enzyme-Induced Carbonate Precipitation Solidified Soil Under Freeze–Thaw Cycles" Applied Sciences 15, no. 18: 10226. https://doi.org/10.3390/app151810226
APA StyleYu, F., & Zhao, W. (2025). Experimental Study on Mechanical and Structural Properties of Enzyme-Induced Carbonate Precipitation Solidified Soil Under Freeze–Thaw Cycles. Applied Sciences, 15(18), 10226. https://doi.org/10.3390/app151810226
