Sign in to use this feature.

Years

Between: -

Subjects

remove_circle_outline
remove_circle_outline
remove_circle_outline
remove_circle_outline
remove_circle_outline
remove_circle_outline
remove_circle_outline
remove_circle_outline
remove_circle_outline

Journals

remove_circle_outline
remove_circle_outline
remove_circle_outline
remove_circle_outline
remove_circle_outline
remove_circle_outline
remove_circle_outline
remove_circle_outline
remove_circle_outline
remove_circle_outline
remove_circle_outline
remove_circle_outline
remove_circle_outline
remove_circle_outline
remove_circle_outline
remove_circle_outline
remove_circle_outline
remove_circle_outline
remove_circle_outline
remove_circle_outline
remove_circle_outline
remove_circle_outline
remove_circle_outline
remove_circle_outline
remove_circle_outline
remove_circle_outline
remove_circle_outline
remove_circle_outline
remove_circle_outline
remove_circle_outline
remove_circle_outline
remove_circle_outline
remove_circle_outline
remove_circle_outline
remove_circle_outline

Article Types

Countries / Regions

remove_circle_outline
remove_circle_outline
remove_circle_outline
remove_circle_outline
remove_circle_outline
remove_circle_outline
remove_circle_outline
remove_circle_outline
remove_circle_outline
remove_circle_outline
remove_circle_outline

Search Results (6,717)

Search Parameters:
Keywords = rescue

Order results
Result details
Results per page
Select all
Export citation of selected articles as:
48 pages, 4538 KB  
Review
Beyond Sensory Properties: Molecular Interactions of Antioxidant Flavour-Active Polyphenols Across the Food-Oral-Gut Axis
by Inês M. Ferreira, Sara A. Martins, Leonor Gonçalves, Mónica Jesus, Elsa Brandão and Susana Soares
Antioxidants 2026, 15(3), 397; https://doi.org/10.3390/antiox15030397 (registering DOI) - 21 Mar 2026
Abstract
Dietary antioxidants are widely valued for their potential health benefits, but incorporating them into functional foods is not straightforward. Polyphenols are among the most abundant and important antioxidants in foods, and this review focuses on them because the same structural features linked to [...] Read more.
Dietary antioxidants are widely valued for their potential health benefits, but incorporating them into functional foods is not straightforward. Polyphenols are among the most abundant and important antioxidants in foods, and this review focuses on them because the same structural features linked to their health-promoting effects can also cause pronounced bitterness and astringency, ultimately limiting consumer acceptance. This review examines how these challenges are interconnected across three levels: food matrix interactions, bioavailability, and consumer psychobiology. We describe how non-covalent interactions between polyphenols, proteins, and polysaccharides can have both positive and negative effects. While these interactions may alter oral lubrication and flavour release, they also protect highly reactive bioactive compounds from gastric degradation. Furthermore, we broaden the concept of bioavailability by exploring the microbiota-mediated “colonic rescue” of polyphenols that are not released during earlier digestion. We also highlight the role of extraoral bitter taste receptors (TAS2Rs) along the gastrointestinal (GI) tract. Activation of these receptors during digestion can trigger relevant metabolic and endocrine responses, indicating that systemic absorption is not the only pathway to bioactivity. Finally, we connect these mechanisms to individual differences in food acceptance, showing that genetic factors (e.g., TAS2R38 and the salivary proteome) and psychological traits (such as neophobia and reward sensitivity) can shape rejection or flavour-nutrient learning. Overall, the successful development of functional foods will require a “sensory-by-design” approach. This strategy utilises matrix interactions strategically to improve both consumer acceptance and physiological efficacy. Full article
(This article belongs to the Section Natural and Synthetic Antioxidants)
Show Figures

Figure 1

21 pages, 1823 KB  
Article
Two-Stage Distributed Robust Air-Ground Cooperative Mission Planning: An Emergency Communication Solution for Addressing Probabilistic Uncertainty in Road Interruption
by Miao Miao, Wei Wang and Xiaokai Lian
Future Internet 2026, 18(3), 170; https://doi.org/10.3390/fi18030170 - 20 Mar 2026
Abstract
Earthquake disasters often cause communication base stations to fail, severely hindering rescue operations and information transmission. While traditional air-ground collaborative emergency communication systems can rapidly restore communications, they still face challenges such as the “time gap” caused by the endurance limitations of unmanned [...] Read more.
Earthquake disasters often cause communication base stations to fail, severely hindering rescue operations and information transmission. While traditional air-ground collaborative emergency communication systems can rapidly restore communications, they still face challenges such as the “time gap” caused by the endurance limitations of unmanned aerial vehicle (UAV) and the “spatial blind spots” resulting from the uncertainty of road disruptions. These issues reduce the continuity and reliability of system services. To address the robustness of air-ground platform coordinated deployment and path planning under uncertain road disruptions, this paper proposes a two-stage distributionally robust deployment and path planning (DRDPRP) method for fixed-wing UAV and ground unmanned vehicles (UGVs) in post-disaster emergency communications. This method constructs a distributionally robust uncertainty set based on a probabilistic distance metric to characterize road disruption risks. It establishes a two-stage distributionally robust optimization model to jointly optimize the deployment and paths of fixed-wing UAV and UGVs. Concurrently, it employs the Column and Constraint Generation (C&CG) algorithm as the solution framework, combined with branch-and-bound and local optimization strategies to enhance computational efficiency. Simulation results demonstrate that this method generates more robust collaborative deployment plans under road disruption uncertainties, thereby enhancing the continuity and reliability of post-disaster emergency communication systems. Full article
(This article belongs to the Section Internet of Things)
Show Figures

Figure 1

26 pages, 5758 KB  
Article
Analyzing Emergency Service Performance and Fastest Rescue Routes to Vulnerable Population Places Under Compound Pluvial Flooding and Traffic Congestion
by Fan Yi, Hao Jia, Chengyu Liang, Qifei Zhang, Yanmei Wang, Yafei Wang and Hui Zhang
Water 2026, 18(6), 736; https://doi.org/10.3390/w18060736 - 20 Mar 2026
Abstract
The combined impacts of urban pluvial flooding and traffic congestion can severely delay emergency response. However, existing studies often focus on isolated scenarios, failing to systematically quantify the reduction in overall service capability and specific route disruptions to critical functional nodes under compound [...] Read more.
The combined impacts of urban pluvial flooding and traffic congestion can severely delay emergency response. However, existing studies often focus on isolated scenarios, failing to systematically quantify the reduction in overall service capability and specific route disruptions to critical functional nodes under compound hazards. To address this problem, this study proposes a three-tier analytical framework to systematically evaluate the resilience of emergency services under compound hazards. The framework first utilizes spatial network analysis to simulate the overall spatial evolution of service capabilities for Emergency Medical Service (EMS) and Fire and Rescue Service (FRS) across various return periods and traffic conditions. It then delves into the emergency response coverage for vulnerable population places. Finally, the fastest-route analysis is employed to identify variations in rescue routing. The study reveals several critical insights. (1) As rainfall intensity and traffic congestion intensify, the coverage areas of EMS and FRS exhibit significant contraction and boundary erosion. Notably, the service areas of FRS show a distinct fragmentation pattern. (2) The protection levels for vulnerable population places (e.g., kindergartens, primary and secondary schools, and nursing homes) show a pronounced stepwise decline. Under extreme rainfall and the heaviest congestion, the 5 min coverage for these sites drops from 89.9% to 23.6% for EMS, and from 72.4% to only 15.1% for FRS, revealing a severe risk exposure for vulnerable groups. (3) Road inundation leads to a substantial extension of rescue routes and even results in the complete isolation of 141 primary and secondary schools. Overall, the framework provides actionable decision support to enhance urban emergency response under compound hazards. Full article
(This article belongs to the Special Issue Water-Related Disaster Assessments and Prevention)
Show Figures

Figure 1

23 pages, 1871 KB  
Article
Roles of Cultivar, Light and Carbohydrates in Rooting of Cuttings of Hydrangea macrophylla
by Uwe Druege and Sindy Chamas
Plants 2026, 15(6), 968; https://doi.org/10.3390/plants15060968 - 20 Mar 2026
Abstract
The roles of light and carbohydrates in adventitious root formation of Hydrangea macrophylla cuttings of the cultivars ‘Caipirinha’ and ‘Clarissa’ were investigated. Cuttings were planted immediately or dark-stored for seven days prior to cultivation under light. The leaf and rooting phenotype, relative chlorophyll [...] Read more.
The roles of light and carbohydrates in adventitious root formation of Hydrangea macrophylla cuttings of the cultivars ‘Caipirinha’ and ‘Clarissa’ were investigated. Cuttings were planted immediately or dark-stored for seven days prior to cultivation under light. The leaf and rooting phenotype, relative chlorophyll content, carbohydrate levels in different cutting sections and rooting response to hexose were analyzed. Surprisingly, pronounced leaf yellowing and reddening and a strong hexose accumulation in the cutting leaves indicated that the hydrangea cuttings experienced light stress under a photosynthetic photon flux density (PPFD) of 100 µmol m−2 s−1. Reduction in PPFD to 50 µmol m−2 s−1 decreased these symptoms and increased chlorophyll content, but impaired rooting. The effects of dark storage depended on cultivar, PPFD, and hydration of cuttings. ‘Clarissa’ exhibited lower rooting success, particularly after dark storage and low light, and showed lower hexose-to-sucrose ratios and hexose concentrations in the stem base than ‘Caipirinha’. Rooting of ‘Clarissa’ could not be rescued by sugar supplementation, whereas application of 27 mM glucose plus 30 mM fructose for 24 h before planting enhanced rooting of ‘Caipirinha’. The lower hexose level in the stem base of ‘Clarissa’ does not appear to be the critical factor underlying its low rooting capacity. Full article
(This article belongs to the Section Horticultural Science and Ornamental Plants)
37 pages, 3933 KB  
Review
Molecular Targeting of EGFR, BRAF, and HER2 Signaling in Colorectal Cancer: Contemporary Advances with Panitumumab, Encorafenib, and Tucatinib
by Piotr Kawczak and Tomasz Bączek
J. Clin. Med. 2026, 15(6), 2387; https://doi.org/10.3390/jcm15062387 (registering DOI) - 20 Mar 2026
Abstract
Metastatic colorectal cancer (mCRC) remains a major cause of cancer-related mortality worldwide. Advances in molecular profiling have transformed the therapeutic landscape, enabling biomarker-driven treatment strategies based on alterations in RAS, BRAF V600E, HER2 amplification, and mismatch repair status. Among these, dysregulation of the [...] Read more.
Metastatic colorectal cancer (mCRC) remains a major cause of cancer-related mortality worldwide. Advances in molecular profiling have transformed the therapeutic landscape, enabling biomarker-driven treatment strategies based on alterations in RAS, BRAF V600E, HER2 amplification, and mismatch repair status. Among these, dysregulation of the epidermal growth factor receptor (EGFR), BRAF, and HER2 signaling pathways represents a central driver of tumor progression and therapeutic resistance. Targeted agents directed against these pathways—including the anti-EGFR monoclonal antibody panitumumab, the selective BRAF inhibitor encorafenib, and the HER2-selective tyrosine kinase inhibitor tucatinib—have substantially expanded treatment options for molecularly defined subgroups of patients with mCRC. Anti-EGFR therapy remains a cornerstone of treatment for patients with RAS/BRAF wild-type, left-sided tumors. Panitumumab combined with chemotherapy has demonstrated significant improvements in response rates and overall survival compared with anti-angiogenic-based regimens in randomized clinical trials. For tumors harboring BRAF V600E mutations, which are associated with poor prognosis, combination strategies incorporating encorafenib with EGFR blockade have shown clinically meaningful survival benefits and represent an important therapeutic advance. In HER2-amplified colorectal cancer, HER2-targeted therapies have emerged as an effective treatment strategy. Trastuzumab-based combinations and HER2-selective tyrosine kinase inhibitors such as tucatinib have demonstrated durable responses and favorable safety profiles in heavily pretreated patients. This review summarizes current evidence from pivotal phase II and III clinical trials, translational studies, and real-world data evaluating EGFR-, BRAF-, and HER2-directed therapies in colorectal cancer. Particular emphasis is placed on biomarker-guided patient selection, mechanisms of resistance, and emerging combination strategies that continue to refine precision oncology approaches in mCRC. Full article
20 pages, 8911 KB  
Article
SGK1 Is Upregulated in Retained Placenta and Mediates Estradiol Effects in Bovine Endometrial Cells
by Ruiqing Wang, Meng Wei, Wei Niu, Jingxiao Chen, Jinghong Nan, Yong Zhang, Xingxu Zhao and Qi Wang
Cells 2026, 15(6), 558; https://doi.org/10.3390/cells15060558 - 20 Mar 2026
Abstract
Retained placenta (RP) is a significant postpartum complication in dairy cows. Although abnormal estradiol (E2) levels are implicated, the underlying cellular mechanisms remain poorly defined. Through RNA-seq analysis of postpartum blood from cows with or without RP, we identified Serum and [...] Read more.
Retained placenta (RP) is a significant postpartum complication in dairy cows. Although abnormal estradiol (E2) levels are implicated, the underlying cellular mechanisms remain poorly defined. Through RNA-seq analysis of postpartum blood from cows with or without RP, we identified Serum and Glucocorticoid-regulated Kinase 1 (SGK1) as a differentially expressed gene candidate. Analysis of fetal cotyledonary tissues revealed that SGK1 expression was significantly elevated in these tissues, concomitant with markers of suppressed apoptosis, increased levels of tight junction proteins, and an inhibited epithelial–mesenchymal transition (EMT) phenotype. To explore a potential mechanistic link between E2 and these cellular alterations, we investigated the E2-SGK1 axis in bovine endometrial epithelial cells in vitro. E2 treatment upregulated SGK1 expression, reduced apoptosis, increased tight junction protein levels, and suppressed EMT. Conversely, SGK1 knockdown induced apoptosis, disrupted tight junctions, and impaired EMT. Notably, E2 could not rescue the apoptosis and EMT alterations in SGK1-knockdown cells, indicating that SGK1 is a critical mediator of these E2 effects in this cellular model. Based on these initial correlative findings in tissues, combined with the subsequent mechanistic experiments in cells, we propose a novel model whereby dysregulation of the E2- SGK1 axis could contribute to RP pathogenesis by stabilizing the placental interface. Our findings provide the first experimental evidence linking SGK1 to RP and establish a foundation for future in vivo validation. Full article
(This article belongs to the Special Issue Advances in Reproductive Biology: Cellular and Molecular Mechanisms)
Show Figures

Figure 1

14 pages, 731 KB  
Article
Unplanned Mechanical Circulatory Support as Hemodynamic Rescue Worsens Outcomes in Transcatheter Aortic Valve Replacement
by Michael Keller, Ye In Christopher Kwon, Zachary Gertz, Barbara Lawson, Mohammed Quader and Zubair A. Hashmi
J. Clin. Med. 2026, 15(6), 2371; https://doi.org/10.3390/jcm15062371 - 20 Mar 2026
Abstract
Background/Objectives: Acute hemodynamic collapse is a rare but deadly complication of transcatheter aortic valve replacement (TAVR) that can require temporary mechanical circulatory support (tMCS). Using a statewide collaborative, we conducted a focused analysis on the incidence and outcomes associated with the use [...] Read more.
Background/Objectives: Acute hemodynamic collapse is a rare but deadly complication of transcatheter aortic valve replacement (TAVR) that can require temporary mechanical circulatory support (tMCS). Using a statewide collaborative, we conducted a focused analysis on the incidence and outcomes associated with the use of tMCS during TAVR as hemodynamic rescue. Methods: We identified adult patients who underwent TAVR between September 2012 and September 2024 within the statewide collaborative and stratified them based on if tMCS was needed. Baseline patient characteristics and risk factors associated with tMCS use were analyzed as well as the impact of tMCS on outcomes. Results: We identified 7735 patients who underwent TAVR. A total of 44 (0.57%) patients required tMCS. Patients requiring tMCS were more likely to have histories that included diabetes, concurrent mitral regurgitation, prior MI, or NYHA class III or IV. These patients also experienced more emergent procedures and were more likely to require inotropic support. Patients experienced significantly worse outcomes following tMCS rescue during TAVR, with 18% requiring conversion to surgical approach (vs. 1%, p < 0.001) and 37% of tMCS patients experiencing cardiac arrest, compared to 1% of those who did not need tMCS (p < 0.001). Thirty-day mortality was worse for patients requiring tMCS (p < 0.001). MCS usage was independently associated with the need for further procedures. Conclusions: Unplanned, emergent tMCS during TAVR as hemodynamic rescue represents significant risk of complications and should be utilized judiciously in cases of acute hemodynamic collapse. Full article
(This article belongs to the Special Issue Heart Valve Surgery: Recent Trends and Future Perspective)
Show Figures

Figure 1

12 pages, 1749 KB  
Article
Primarily Gasless Robot-Assisted Cholecystectomy in Dogs: A Cadaveric Feasibility Study
by Francisco M. Sánchez-Margallo, Mauricio Veloso Brun and Juan A. Sánchez-Margallo
Vet. Sci. 2026, 13(3), 292; https://doi.org/10.3390/vetsci13030292 - 20 Mar 2026
Abstract
Gallbladder disease is a common cause of morbidity in dogs, and cholecystectomy remains the definitive treatment in many cases. Although minimally invasive approaches offer recognized advantages, their adoption is limited by technical complexity and by the physiological effects of carbon dioxide (CO₂) pneumoperitoneum. [...] Read more.
Gallbladder disease is a common cause of morbidity in dogs, and cholecystectomy remains the definitive treatment in many cases. Although minimally invasive approaches offer recognized advantages, their adoption is limited by technical complexity and by the physiological effects of carbon dioxide (CO₂) pneumoperitoneum. This cadaveric study evaluated the feasibility of performing primarily gasless robot-assisted cholecystectomy under abdominal wall suspension in five canine cadavers. A normobaric operative field was established using a suspension device combined with the VersiusTM robotic platform. “Primarily gasless” was operationally defined as abdominal wall suspension without continuous pneumoperitoneum, allowing short-duration low-pressure CO₂ insufflation (≤8 mmHg) exclusively as a rescue maneuver when exposure was insufficient. Surgical feasibility was assessed through structured case-level reporting, including docking time, operative time, exposure quality of the hepatocystic triangle (predefined ordinal scale), clipping feasibility, intraoperative events, instrument exchanges, and need for rescue CO₂ insufflation. All procedures were completed in the cadaveric specimens. In three cadavers, the procedure was performed entirely without CO₂. In two cadavers, a single short-duration low-pressure CO₂ insufflation (6–8 mmHg for 3–5 minutes) was applied as a rescue maneuver. Adequate or optimal visualization of the hepatocystic triangle was achieved in all cases, and no intraoperative injuries occurred. These findings support the technical feasibility of a primarily gasless robotic approach in a canine cadaveric model. Controlled in vivo studies are required to evaluate the physiological impact, perioperative outcomes, and translational applicability before clinical implementation. Full article
(This article belongs to the Section Veterinary Surgery)
Show Figures

Figure 1

11 pages, 614 KB  
Review
Beyond the Genomic Storm: Evaluating Tabernanthalog as a Potential Scaffold for Silent Neuroplasticity and Broad-Spectrum Therapy
by Ivan Anchesi, Ivana Raffaele, Maria Francesca Astorino, Maria Lui, Marco Calabrò and Giovanni Luca Cipriano
Int. J. Mol. Sci. 2026, 27(6), 2811; https://doi.org/10.3390/ijms27062811 - 20 Mar 2026
Abstract
The clinical renaissance of psychedelic medicine has highlighted the therapeutic potential of rapid-acting neuroplastogens, or “psychoplastogens,” for psychiatric disorders. However, the widespread application of classical psychedelics—such as psilocybin and LSD—and the atypical dissociative ibogaine is severely limited by their hallucinogenic properties and, particularly [...] Read more.
The clinical renaissance of psychedelic medicine has highlighted the therapeutic potential of rapid-acting neuroplastogens, or “psychoplastogens,” for psychiatric disorders. However, the widespread application of classical psychedelics—such as psilocybin and LSD—and the atypical dissociative ibogaine is severely limited by their hallucinogenic properties and, particularly in the case of ibogaine, life-threatening cardiotoxicity. Addressing these limitations, Tabernanthalog (TBG) has emerged as a frontrunner in the field. This non-hallucinogenic analog of ibogaine was rationally designed to eliminate interactions with the human ether-à-go-go-related gene (hERG, KCNH2) potassium channel, thereby mitigating cardiotoxic risks. While initially characterized for its anti-addictive and antidepressant-like properties, recent data from 2024–2025 have significantly expanded its therapeutic horizon. TBG demonstrates robust efficacy in preclinical models of neuropathic and visceral pain, as well as in the rescue of cognitive deficits associated with cancer-related cognitive impairment (CRCI). TBG has shown efficacy in reversing cognitive impairments induced directly by the presence of a tumor in preclinical models, rather than by chemotherapy-specific neurotoxicity. Crucially, emerging evidence suggests that TBG’s mechanism extends beyond simple 5-HT2A receptor agonism. New findings point to a multi-target profile involving the inhibition of nicotinic acetylcholine receptors (nAChRs), positive modulation of NMDA receptors, and functional crosstalk with mGlu2 receptors. Furthermore, TBG appears to induce structural neuroplasticity without the widespread induction of immediate early genes (IEGs) seen with classical hallucinogens, suggesting a decoupling of therapeutic rewiring from the subjective psychedelic experience. This review synthesizes current preclinical evidence to discuss TBG as a promising chemical scaffold for next-generation neurotherapeutics targeting the intersection of psychiatry and neurology. Full article
Show Figures

Figure 1

27 pages, 28242 KB  
Article
Physics-Informed Side-Scan Sonar Perception: Tackling Weak Targets and Sparse Debris via Geometric and Frequency Decoupling
by Bojian Yu, Rongsheng Lin, Hanxiang Zhou, Jianxiong Zhang and Xinwei Zhang
Sensors 2026, 26(6), 1938; https://doi.org/10.3390/s26061938 - 19 Mar 2026
Abstract
Side-scan sonar (SSS) serves as the primary perceptual instrument for Autonomous Underwater Vehicles (AUVs) in large-scale marine search and rescue (SAR) operations. However, the detection of critical targets is frequently hindered by severe hydro-acoustic noise, the spatial discontinuity of wreckage, and the weak [...] Read more.
Side-scan sonar (SSS) serves as the primary perceptual instrument for Autonomous Underwater Vehicles (AUVs) in large-scale marine search and rescue (SAR) operations. However, the detection of critical targets is frequently hindered by severe hydro-acoustic noise, the spatial discontinuity of wreckage, and the weak visual signatures of small targets. To surmount these challenges, this paper presents WPG-DetNet. First, we introduce a Wavelet-Embedded Residual Backbone (WERB) to reconstruct the conventional downsampling paradigm. By substituting standard pooling with the Discrete Wavelet Transform (DWT), this architecture explicitly disentangles high-frequency noise from structural information in the frequency domain, thereby achieving the adaptive preservation of edge fidelity for large human-made targets while filtering out speckle interference. Then, addressing the distinct challenge of discontinuous aircraft wreckage, the framework further incorporates a Debris Graph Reasoning Module (D-GRM). This module models scattered fragments as nodes in a topological graph to capture long-range semantic dependencies, transforming isolated instance recognition into context-aware scene understanding. Finally, to bridge the gap between AI and underwater physics, we design a Shadow-Aided Decoupling Head (SADH) equipped with a physics-informed geometric loss. By enforcing mathematical consistency between target height and acoustic shadow length, this mechanism establishes a rigorous discriminative criterion capable of distinguishing weak-echo human bodies from seabed rocks based on shadow geometry. Experiments on the SCTD dataset demonstrate that WPG-DetNet achieves a mean Average Precision (mAP50) of 97.5% and a Recall of 96.9%. Quantitative analysis reveals that our framework outperforms the classic Faster R-CNN by a margin of 12.8% in mAP50 and surpasses the Transformer-based RT-DETR-R18 by 5.6% in high-precision localization metrics (mAP50:95). Simultaneously, WPG-DetNet maintains superior efficiency with an inference speed of 62.5 FPS and a lightweight parameter count of 16.8 M, striking an optimal balance between robust perception and the real-time constraints of AUV operations. Full article
(This article belongs to the Section Physical Sensors)
Show Figures

Figure 1

14 pages, 4402 KB  
Article
Methylene Blue Alleviates Thiamethoxam-Induced Toxicity in Honeybee Larvae by Activating Dihydrolipoyl Dehydrogenase
by Xiao-Shi He, Jia-Wei Huang, Chang-Hao Chu, Qi-Bao He, Min Liao, Lin-Sheng Yu, Ping-Li Dai, Yong Huang and Hai-Qun Cao
Insects 2026, 17(3), 334; https://doi.org/10.3390/insects17030334 - 19 Mar 2026
Abstract
The extensive utilization of TMX, a substance characterized by its high toxicity towards honeybees, has exerted a deleterious influence on the employment of neonicotinoid insecticides and the proliferation of bee colonies. However, there is a lack of effective solutions to mitigate the toxicological [...] Read more.
The extensive utilization of TMX, a substance characterized by its high toxicity towards honeybees, has exerted a deleterious influence on the employment of neonicotinoid insecticides and the proliferation of bee colonies. However, there is a lack of effective solutions to mitigate the toxicological impact of neonicotinoid insecticides on bees. The present study proposes a method of using MB to alleviate TMX poisoning in honeybee (Apis mellifera ligustica) larvae. The results demonstrated that when bee larvae ingested MB at a concentration of 0.32 mg·L−1, the mortality rate of larvae could be reduced from 47.2% to 25.0%. Transcriptome analysis identified the honeybee dihydrolipoyl dehydrogenase (AmDld) gene as one of the main genes involved in the function of MB. AmDld was highly expressed in larval hemolymph. Its expression levels and enzymatic content were suppressed by either TMX or MB alone but restored by the TMX+MB combination. RNAi-mediated knockdown of AmDld decreased AmDld content and increased larval mortality under the TMX+MB co-treatment from 25.0% to 40.6%. This indicated that the TMX+MB combination rescued AmDld levels, thereby alleviating TMX toxicity to bee larvae. The present study has demonstrated that the ingestion of MB by honeybee larvae has the capacity to reduce the toxicity of TMX, a toxic substance, through the action of the AmDld gene. This provides a novel approach to mitigating pesticide poisoning in bees. Full article
Show Figures

Graphical abstract

25 pages, 36715 KB  
Article
Development of an Autonomous UAV for Multi-Modal Mapping of Underground Mines
by Luis Escobar, David Akhihiero, Jason N. Gross and Guilherme A. S. Pereira
Robotics 2026, 15(3), 63; https://doi.org/10.3390/robotics15030063 - 19 Mar 2026
Abstract
Underground mine inspection is a critical operation for safety and resource management. It presents unique challenges, including confined spaces, harsh environments, and the lack of reliable positioning systems. This paper presents the design, development, and evaluation of an Unmanned Aerial Vehicle (UAV) specifically [...] Read more.
Underground mine inspection is a critical operation for safety and resource management. It presents unique challenges, including confined spaces, harsh environments, and the lack of reliable positioning systems. This paper presents the design, development, and evaluation of an Unmanned Aerial Vehicle (UAV) specifically engineered for supervised autonomous inspection in subterranean scenarios. Key technical contributions include mechanical adaptations for collision tolerance, an optimized sensor-actuator selection for navigation, and the deployment of a mission-governing state machine for seamless autonomous acquisition. Furthermore, we detail the data treatment workflow, employing a multi-modal point cloud registration technique that successfully integrates high-resolution visual-depth scans of critical mine pillars into a comprehensive, globally referenced map derived from Light Detection and Ranging (LiDAR) data of the entire workspace. We show experiments that illustrate and validate our approach in two real-world scenarios, a simulated coal mine used to train mine rescue teams and an operating Limestone mine. Full article
(This article belongs to the Special Issue Localization and 3D Mapping of Intelligent Robotics)
Show Figures

Figure 1

20 pages, 4249 KB  
Article
Range-Wide Genomic Analysis of Pygmy Rabbits (Brachylagus idahoensis) Reveals Genetic Distinctiveness of the Endangered Columbia Basin Population
by Stacey A. Nerkowski, Lisette P. Waits, Kenneth I. Warheit, Ilaria Bacchiocchi and Paul A. Hohenlohe
Genes 2026, 17(3), 335; https://doi.org/10.3390/genes17030335 - 18 Mar 2026
Viewed by 47
Abstract
Background/Objectives: Pygmy rabbits (Brachylagus idahoensis) are closely associated with sagebrush steppe habitat across the western United States, and loss and fragmentation of this habitat has contributed to the near extirpation of the Columbia Basin population in Washington state (CB). The CB [...] Read more.
Background/Objectives: Pygmy rabbits (Brachylagus idahoensis) are closely associated with sagebrush steppe habitat across the western United States, and loss and fragmentation of this habitat has contributed to the near extirpation of the Columbia Basin population in Washington state (CB). The CB pygmy rabbit was listed under the Endangered Species Act in 2003, and recovery efforts have included captive breeding, reintroduction, and genetic rescue with the translocation of rabbits from populations across the species range. Methods: We used restriction site-associated DNA sequencing (RADseq) on samples from across the species range, including CB pygmy rabbits captured prior to genetic rescue and admixture. We determined population genetic structure across the pygmy rabbit range, tested for genomic signatures of adaptive divergence among populations, assessed the genetic distinctiveness of the ancestral CB population, and identified loci useful for monitoring ancestry in the current admixed CB population. Results: Our dataset included 9794 single-nucleotide polymorphisms (SNPs) across 123 individuals. We identified four distinct genetic groups, including the central portion of the species range and three peripheral populations: CB, northern Utah/Wyoming, and southern Utah. The ancestral CB population showed the highest degree of genetic distinctiveness using multiple clustering, ordination, and genetic differentiation analyses. We identified evidence for putatively adaptive variation among populations, but no significant gene ontology associated with local adaptation. Conclusions: Our results highlight the long-term isolation of the ancestral CB population as well as historical isolation of other peripheral populations. Our results also provide SNP loci for monitoring the consequences of genetic rescue efforts in the current admixed CB population. Full article
(This article belongs to the Section Population and Evolutionary Genetics and Genomics)
Show Figures

Figure 1

24 pages, 1112 KB  
Article
Reliable Emergency Facility Location Planning Under Complex Polygonal Barriers and Facility Failure Risks
by Mingyuan Liu, Lintao Liu, Zhujia Yu, Futai Liang and Guocheng Wang
Math. Comput. Appl. 2026, 31(2), 50; https://doi.org/10.3390/mca31020050 - 18 Mar 2026
Viewed by 106
Abstract
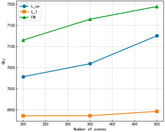
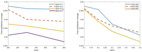
Emergency facility location and layout are critical to the efficiency of emergency rescue and resource allocation. However, practical emergency scenarios are plagued by two key challenges: the risk of facility failure due to various uncertain factors and the presence of complex polygonal barriers [...] Read more.
Emergency facility location and layout are critical to the efficiency of emergency rescue and resource allocation. However, practical emergency scenarios are plagued by two key challenges: the risk of facility failure due to various uncertain factors and the presence of complex polygonal barriers (including convex and concave polygons) that hinder transportation. Existing studies often overlook concave polygonal barriers or fail to prioritize time satisfaction, a core demand in emergency response. To address these gaps, this paper proposes a reliable emergency facility location optimization model with the objective of maximizing time satisfaction, considering constraints such as capacity, cost, and demand. The model integrates three key methods: a convex hull algorithm to convert concave barriers into convex ones for simplified calculation, a path optimization algorithm to find the shortest bypass routes around barriers, and an Artificial Ecosystem Optimization (AEO) algorithm to solve the nonlinear programming model. Through numerical experiments (single-facility, multi-facility, and medium-scale scenarios) and a practical case study in the Meknès region of Morocco for ambulance deployment, the feasibility and effectiveness of the model and algorithms are verified. The results show that the model achieves high time satisfaction (all above 0.8, with most exceeding 0.9) and efficiently optimizes facility locations and resource allocation. Sensitivity analysis indicates that increased failure risk parameters (α and θ) lead to a gradual decrease in average time satisfaction. This research provides a systematic mathematical model and practical method for emergency facility location decision-making, effectively addressing the challenges of complex barriers and facility failure. Full article
(This article belongs to the Special Issue Applied Optimization in Automatic Control and Systems Engineering)
Show Figures

Figure 1

14 pages, 1704 KB  
Article
The Tofu Mutation Restores Female Fertility to Drosophila with a Null BEAF Mutation
by J. Keller McKowen, Maheshi Dassanayake and Craig M. Hart
Genes 2026, 17(3), 328; https://doi.org/10.3390/genes17030328 - 17 Mar 2026
Viewed by 121
Abstract
Background: Compensatory mutations offer clues in deciphering the role of a particular protein in cellular processes. Here, we investigate an unknown compensatory mutation, present in the BEAFNP6377 fly line, that provides sufficient rescue of the defective ovary phenotype caused by null [...] Read more.
Background: Compensatory mutations offer clues in deciphering the role of a particular protein in cellular processes. Here, we investigate an unknown compensatory mutation, present in the BEAFNP6377 fly line, that provides sufficient rescue of the defective ovary phenotype caused by null BEAF alleles to allow the maintenance of fly stocks lacking the chromatin domain insulator proteins Boundary Element-Associated Factors BEAF-32A and BEAF-32B. We call this dominant mutation Tofu. Methods: We employ both classical genetics and genomic sequencing to attempt to identify the mutation. Results: We find evidence that points to a mutation in a predicted Polycomb response element (PRE) upstream of the ribbon transcription factor gene. This may lead to aberrant rib expression, which is otherwise not expressed in adult ovaries. BEAF and Rib colocalize to a set of promoters, suggesting overlap in gene regulation. Conclusions: Tofu could be a PRE mutation leading to the aberrant activation of rib in the ovaries. This could allow Rib to compensate for a lack of BEAF to activate one or more coregulated genes necessary for egg production in flies. Full article
(This article belongs to the Special Issue Identifying Fertility Biomarkers Using Omics Approach)
Show Figures

Figure 1

Back to TopTop