Previous Article in Journal
ML-Based Autoscaling for Elastic Cloud Applications: Taxonomy, Frameworks, and Evaluation
Previous Article in Special Issue
Revised Long-Term Scheduling Model for Multi-Stage Biopharmaceutical Processes
 
 
Font Type:
Arial Georgia Verdana
Font Size:
Aa Aa Aa
Line Spacing:
Column Width:
Background:
Article

Reliable Emergency Facility Location Planning Under Complex Polygonal Barriers and Facility Failure Risks

1
State Key Laboratory of Geodesy and Earth’s Dynamics, Innovation Academy for Precision Measurement Science and Technology, Chinese Academy of Sciences, Wuhan 430077, China
2
Troops 92429 of the People’s Liberation Army, Qingdao 266000, China
3
Troops 31121 of the People’s Liberation Army, Nanjing 210000, China
*
Author to whom correspondence should be addressed.
Math. Comput. Appl. 2026, 31(2), 50; https://doi.org/10.3390/mca31020050
Submission received: 4 January 2026 / Revised: 14 February 2026 / Accepted: 28 February 2026 / Published: 18 March 2026
(This article belongs to the Special Issue Applied Optimization in Automatic Control and Systems Engineering)

Abstract

Emergency facility location and layout are critical to the efficiency of emergency rescue and resource allocation. However, practical emergency scenarios are plagued by two key challenges: the risk of facility failure due to various uncertain factors and the presence of complex polygonal barriers (including convex and concave polygons) that hinder transportation. Existing studies often overlook concave polygonal barriers or fail to prioritize time satisfaction, a core demand in emergency response. To address these gaps, this paper proposes a reliable emergency facility location optimization model with the objective of maximizing time satisfaction, considering constraints such as capacity, cost, and demand. The model integrates three key methods: a convex hull algorithm to convert concave barriers into convex ones for simplified calculation, a path optimization algorithm to find the shortest bypass routes around barriers, and an Artificial Ecosystem Optimization (AEO) algorithm to solve the nonlinear programming model. Through numerical experiments (single-facility, multi-facility, and medium-scale scenarios) and a practical case study in the Meknès region of Morocco for ambulance deployment, the feasibility and effectiveness of the model and algorithms are verified. The results show that the model achieves high time satisfaction (all above 0.8, with most exceeding 0.9) and efficiently optimizes facility locations and resource allocation. Sensitivity analysis indicates that increased failure risk parameters ( α and θ ) lead to a gradual decrease in average time satisfaction. This research provides a systematic mathematical model and practical method for emergency facility location decision-making, effectively addressing the challenges of complex barriers and facility failure.

1. Introduction

The decision-making process for emergency facility location and layout is fundamental to emergency rescue operations, directly impacting the efficiency of emergency response and the allocation of emergency resources. Facility location-allocation decisions are pivotal components in the design of emergency facility location networks. In traditional scenarios, facility location models typically assume complete reliability. However, over time, certain facilities may be exposed to various uncertain risks (e.g., natural disasters, equipment malfunctions, or operational errors) leading to emergency situations such as facility failures. These observations are supported by numerous studies: for instance, Snyder and Daskin [1] noted that facility failures can disrupt service continuity, while Shishebori and Babadi [2] highlighted the financial and human losses associated with such disruptions in healthcare service networks. Furthermore, following an emergency, numerous barriers to actual road transport often emerge, including collapsed buildings, sunken roads, and falling rocks. These barriers alter the shortest path between facilities and demand points, increase transportation time, and thus reduce the efficiency of material transport. For example, in disaster-stricken areas, a direct route between an emergency warehouse and a affected community may be blocked by collapsed structures, forcing detours that delay relief delivery. Given these challenges, constructing a reliable and efficient emergency facility location-allocation plan holds significant research significance.
In much of the existing literature on reliable facility location, failure scenarios predominantly stem from inherent risks associated with the facility itself. The reliable facility location problem (RFLP) emerges from the need to consider reliability as a safety measure safeguarding the network against emergencies. As early as 2005, Snyder and Daskin [1] introduced RFLP and devised an optimal Lagrangian relaxation algorithm to address it. Building on this work, Shishebori and Babadi [2] developed a dependable healthcare service network by accounting for uncertain environmental and system disruption scenarios, formulating a mixed-integer linear programming model. An et al. [3] designed a reliable p-median facility location model and employed the column-and-constraint generation method for its resolution. Subsequently, in light of the risk of facility failure, a reliable emergency facility location optimization model with limited service capacity was formulated and solved using a non-dominated sorting genetic algorithm II to yield a multi-objective Pareto front solution set [4]. Wei et al. [5] established a discrete coverage model aimed at determining the optimal number and location of emergency facilities. For further references on reliable emergency facility locations, additional sources can be found in [5,6].
In addition to facility failure disruptions, barriers are also critical issues that need to be addressed in emergency facility location models. Barriers are commonly used to describe the intricate geographical environment in the actual placement of emergency facilities, and this paper specifically focuses on convex polygons and concave polygon barriers. Given their impact on path distance calculations, barriers directly influence the reliable emergency facility locations. Therefore, it is essential to thoroughly consider various barrier factors when designing the location plan. Existing research on barrier-aware facility location has made some progress: Wang [7] summarized several methods for Voronoi diagrams with limited barriers and proposed a method to generate a barrier Voronoi diagram based on element boundary discretization generation. Niu et al. [8] proposed a novel energy efficient path planning algorithm by integrating the following algorithms, namely, the Voronoi roadmap, Dijkstra’s searching, coastline expanding, and genetic algorithm (GA). For further applications of Voronoi diagrams, additional references can be found in [9,10,11]. Furthermore, Kate and Cooper [12] were the first to consider barrier constraints in the Weber location model. They described a circular barrier and constructed a single-objective facility location optimization model. In [13], an emergency facility location under convex barriers was proposed, considering that the barrier areas do not allow for location. The authors designed the grey wolf optimization algorithm and the visual convexity around the barrier path coupling algorithm to solve the model for reliable resource allocation. Han [14] considered barriers as polygons, constructed an ensemble coverage model, and designed algorithms to solve the model. Moreover, Bischoff and Klamroth [15] provided an overview of the single-facility location problem considering only convex polygonal barriers and used a genetic algorithm to solve it. Subsequently, Bischoff et al. [16] refined the model to address multi-facility location-allocation studies under convex polygonal barrier problems. Canbolat and Wesolowsky [17] investigated the single-facility location problem in a convex polygonal forbidden area scenario and constructed the model with the base of Varignon structure. For further studies on facility location under constrained conditions, additional resources can be found in [18,19,20]. Liu et al. [21] proposed a reliable emergency facility location optimization model that comprehensively accounts for complex polygonal barriers and facility interruption risks. With a focus on environmental protection, the model is constructed as a multi-objective framework from the perspective of sustainable development. However, in real-world emergency scenarios, situations are typically highly urgent, and time often emerges as the most critical consideration. This study adopts “maximizing time satisfaction” as its single-objective function, thereby avoiding potential decision biases arising from multi-objective weight assignment and more accurately aligning with the core pain point of “racing against time” in emergency decision-making. Meanwhile, this research emphasizes the sensitivity analysis of “facility failure probability,” placing greater focus on the key influencing factors of emergency facility reliability. Practical cases and multi-scale numerical experiments are employed to ensure that the overall model construction is more closely aligned with the actual requirements of emergency site selection, including “feasible paths, available facilities, and efficient decision-making.” To clarify the incremental contribution of this study relative to Liu et al. [21] and other representative reliable facility location models, Table 1 summarizes the key methodological and modeling differences.
Despite the advancements in the existing research, several critical gaps remain: (1) Most studies on barrier-aware facility location focus solely on convex barriers, while practical scenarios frequently involve complex concave polygonal barriers, which are more challenging to handle in path optimization. (2) Few models integrate both complex polygonal barriers and facility failure risks, leading to solutions that are insufficiently robust in real emergencies. (3) Multi-objective models often introduce weight assignment biases, and the core demand of “time satisfaction” in emergency response is not adequately prioritized. To fill these gaps, this study constructs a reliable emergency facility location model that considers complex polygonal barriers (convex and concave) and facility failure risks, with the objective of maximizing time satisfaction. Instead of relying on traditional cost-based objectives, the model directly optimizes response-time satisfaction to better reflect the urgency of emergency operations. To obtain high-quality solutions, a coordinated computational scheme is designed, integrating barrier convexification, visibility-based path refinement, and an ecosystem-inspired metaheuristic search mechanism. The resulting framework enhances both spatial feasibility and computational efficiency in emergency facility deployment planning.

2. Mathematical Model Description

2.1. Problem Formulation and Assumptions

This section addresses the scenario where decision-makers need to establish multiple emergency facilities in an area with various types of polygonal barriers following an emergency, with the goal of delivering relief supplies to each demand area in a timely and safe manner. To simplify the problem and ensure the model’s feasibility, the following assumptions are proposed (these are not mathematical notations but foundational premises for model construction):
(1)
Emergency demand locations are assumed to form spatial clusters, and the entire service area is represented by a bounded square region for modeling convenience.
(2)
Barrier regions are characterized by both convex and concave polygonal geometries, and any transportation path intersecting these polygonal boundaries is considered infeasible.
(3)
Candidate facility sites must lie outside all barrier interiors and cannot coincide with any demand location.
(4)
When detours around barriers are required, the effective travel route is approximated by a sequence of straight-line segments connecting intermediate waypoints between the facility and the centroid of the corresponding irregular demand region.
(5)
Apart from the explicitly modeled polygonal barriers, the remaining space between facilities and demand regions is treated as unobstructed and fully traversable.

2.2. Mathematical Notations

The key indexes, sets, parameters, and decision variables used in the model are defined as follows:
Indexes
iIndex representing candidate facility sites.
jIndex representing demand regions.
kIndex corresponding to polygonal barrier zones.
Sets
MCollection of facility indices, with i M .
NCollection of demand indices, with j N .
KCollection of barrier indices, with k K .
DFamily of square demand regions, where D j D .
FAdmissible facility location set, where F i F .
BEnsemble of polygonal barrier regions, where B k B .
CVector of construction cost parameters, where c i C .
PFeasible spatial domain defined as P = R 2 int ( B ) .
Parameters
t i j One-way shortest time between facility location i and demand region j.
v i j Average transportation velocity between facility i and demand region j.
d i j Effective travel distance between facility i and demand region j.
U j Maximum acceptable supply for demand region j.
l j Minimum acceptable supply for demand region j.
β i Sensitivity coefficient in the drop semi-Cauchy time satisfaction function.
S i Maximum service capacity available at facility i.
L i Minimum safety stock of facility location i.
w i j Amount supplied from facility location i to demand region j.
w j Demand quantity in demand region j.
q i Failure probability of facility location i.
QTotal cost.
p j ( p x j , p y j ) Centroid coordinates of square demand region j.
( x c 1 , y c 1 ) Upper boundary of the study area.
( x c 0 , y c 0 ) Lower boundary of the study area.
Decision variables
F i ( x i , y i ) Spatial coordinates selected for facility i.
Given the assumptions and notations, we formulate the optimization model for selecting the expected maximum time satisfaction location for reliable emergency facilities while accounting for constraints posed by complex polygonal barriers and facility failure risk. The problem to be solved is facility location-allocation which expected the total maximum time satisfaction of the demand region in the facility failure risk, taking into account multiple constraints such as various barriers, time, economy, resource capacity, and resource safety stock in the facility failure risk.

2.3. Time Satisfaction Function

In this section, the “time satisfaction” function is defined as the level of satisfaction of the demand point with the facility response time, reflecting the comprehensive and prompt response capability of the emergency facility in supplying the demand area. The time satisfaction curve varies based on the variability of the supplies provided by the facility and should be constructed following three principles: objectivity, simplicity, and feasibility. This involves establishing a mathematical relationship between time satisfaction (dependent variable) and the response time requirement of the demand region (independent variable), as outlined in the satisfaction function established in reference [22]. The drop semi-Cauchy time satisfaction function is as follows:
f ( t i j ) = 1 , i f d i j L j v i j , 1 1 + β i ( d i j / v i j L j ) 2 , i f d i j > L j v i j ,
Here, β i controls the temporal responsiveness of the satisfaction function. A higher value of this parameter implies a steeper decline in satisfaction as travel time increases, as illustrated in Figure 1.

2.4. Model Formulation

In this section, we combine the time satisfaction function in Section 2.3 and develop the optimization model for selecting the expected maximum time satisfaction location for reliable emergency facilities while accounting for constraints posed by complex polygonal barriers and facility failure risk. The optimization formulation is given below.
max α w 1 + ( 1 α ) w 2 ,
w 1 = j = 1 n i = 1 m f ( t i j ) w i j ,
w 2 = j = 1 n i = 1 m ( 1 q i ) f ( t i j ) w i j ,
s . t . F P , P = R 2 i n t ( B ) ,
i = 1 m w i j = w j , j = 1 , 2 , , n ,
j = 1 n w i j ( 1 q i ) S i , i = 1 , 2 , , m ,
( 1 q i ) S i j = 1 n w i j ( 1 q i ) L i , i = 1 , 2 , , m ,
i = 1 m c i Q ,
d i j = d ( F i , p j ) , i = 1 , 2 , , m , j = 1 , 2 , , n ,
x c 0 x i x c 1 , i = 1 , 2 , , m , y c 0 y i y c 1 , i = 1 , 2 , , m , x c 0 p x j x c 1 , j = 1 , 2 , , n , y c 0 p y j y c 1 , j = 1 , 2 , , n .
In this formulation, Equation (1) defines the overall objective, which seeks to maximize time-based satisfaction under potential facility disruption. The parameter α [ 0 , 1 ] balances system performance between normal operation and failure scenarios. Equations (2) and (3) quantify satisfaction levels without and with facility failure risk, respectively, where q i [ 0 , 1 ] denotes the disruption probability of facility i. Spatial feasibility is enforced through Equation (4), which restricts facility locations to the admissible region outside all barrier interiors. Equation (5) allows for collaborative supply allocation, meaning that each demand region may be served jointly by multiple facilities rather than being restricted to a single-source assignment. Resource feasibility is regulated through Equations (6) and (7), which impose upper capacity bounds and minimum reserve requirements to maintain operational reliability under disruption. Budget feasibility is controlled by Equation (8), limiting overall construction expenditure. Transportation distance in Equation (9) corresponds to the optimized bypass length obtained through the path adjustment procedure between facility i and demand region j, measured between their centroid coordinates. Finally, Equation (10) confines both facilities and demand regions to the predefined square study domain, ensuring geographic admissibility.
The formulated problem constitutes a nonlinear optimization framework with multiple interdependent constraints, which renders it computationally intractable in the classical sense. The presence of intricate spatial configurations and polygonal obstruction constraints further amplifies solution difficulty, limiting the effectiveness of conventional deterministic methods. To enhance computational tractability, a barrier convexification procedure is first introduced to simplify geometric complexity in path determination. On this basis, a metaheuristic search strategy inspired by ecosystem dynamics (AEO) is employed to explore the solution space efficiently and obtain high-quality facility deployment schemes.

3. Solution Algorithms

To solve the proposed nonlinear programming model (NP-hard problem) efficiently, a three-step algorithm framework is designed: (1) Convert concave barriers to convex barriers using the convex hull algorithm. (2) Optimize bypass paths around barriers using the path optimization algorithm. (3) Solve the location-allocation model using the AEO algorithm. The overall workflow of the algorithm is shown in Figure 2.

3.1. Implementation of Convex Hull Algorithm

This subsection applies a convex hull-based preprocessing step to handle barrier geometry. For a finite planar point set, the convex hull [23] corresponds to the minimal convex region enclosing all points, serving as a geometric simplification tool in subsequent path calculations. For concave polygonal barriers, direct path calculation is complex. The convex hull algorithm converts concave barriers into convex ones to simplify bypass path planning. The steps are as follows: 1. For each concave polygonal barrier, extract all its vertex coordinates. 2. Use the Graham scan algorithm [24] to compute the convex hull of these vertices, forming a convex polygon that encloses the original concave barrier. 3. Treat the convex hull as an equivalent barrier for subsequent path optimization (ensuring that the bypass path around the convex hull is also valid for the original concave barrier).
In the context of a set of points in the plane, the convex hull algorithm [25] is used to find a minimum convex polygon containing all points. For instance, the polygon barriers P = [ p 1 ; p 3 ; p 8 ; p 10 ; p 14 ] enclosed by the red line segments in Figure 3 represents the set of points Q = { p 1 , , p 15 } .
When the study area contains both convex and concave polygonal obstacles, concave regions are transformed into equivalent convex forms through a convex wrapping procedure to simplify subsequent computations. The transformation outcome is illustrated in Figure 4: the dashed boundaries correspond to the original barrier shapes, whereas the shaded regions indicate their convexified counterparts. In total, twelve barrier entities are considered and labeled as B 1 , B 2 , , B 12 .

3.2. Implementation of Path Optimization Algorithm

In this section, based on Section 3.1, we describe the implementation of the path optimization procedure. Efficient route planning is essential in emergency facility location, as transportation efficiency directly affects response performance. The presence of polygonal barriers significantly increases the complexity of distance calculation. To address this issue, a visibility-based environment is constructed to determine the shortest feasible path between a facility and a demand region while avoiding all barriers. The procedure computes the shortest bypass distance d i j and consists of the following steps:
1. Identify the first intersecting barrier. Connect the facility point and the demand point using a straight line and detect the first barrier intersected by this segment through line–polygon intersection testing.
2. Generate bypass vertices. For the identified barrier, determine the optimal bypass vertices (convex hull vertices) that minimize the detour distance. Construct an initial point sequence: facility point → bypass vertices → demand point.
3. Expand the sequence. Treat the last point in the current sequence as a new starting point and repeat Step 1 to identify subsequent intersecting barriers. Append newly determined bypass vertices to the sequence.
4. Simplify the sequence. Examine whether consecutive points in the sequence can be connected directly without crossing any barrier. If so, remove intermediate points to shorten the path.
5. Verify feasibility. Ensure that no segment in the final sequence intersects any barrier. The resulting path length is defined as the shortest bypass distance d i j .
Figure 5 illustrates the application of the proposed procedure using ( 6 , 6 ) as the facility location and ( 17 , 15 ) as the center of the demand region.
The optimization process proceeds as follows:
(1)
The direct segment between ( 6 , 6 ) and ( 17 , 15 ) intersects barrier 1.
(2)
The optimal bypass vertices ( 8 , 8 ) and ( 8 , 9 ) are identified. The sequence is updated accordingly, and ( 8 , 9 ) becomes the new starting point for subsequent detection. Barrier 2 is then identified.
(3)
Vertex ( 15 , 14 ) is selected to bypass barrier 2, resulting in the sequence ( 6 , 6 ) ( 8 , 8 ) ( 8 , 9 ) , ( 15 , 14 ) ( 17 , 15 ) .
(4)
Further examination reveals that the segment ( 8 , 9 ) ( 15 , 14 ) intersects barrier 3. An additional bypass vertex ( 10 , 4 ) is introduced, yielding the sequence ( 6 , 6 ) ( 8 , 8 ) ( 8 , 9 ) ( 10 , 4 ) , ( 15 , 14 ) ( 17 , 15 ) .
(5)
After removing redundant intermediate points that do not affect feasibility, the final simplified sequence becomes ( 6 , 6 ) ( 8 , 9 ) ( 10 , 4 ) ( 15 , 14 ) ( 17 , 15 ) .
(6)
The resulting path represents the shortest feasible bypass route, illustrated by the green solid line in Figure 5.

3.3. Model Solving Based on AEO Algorithm

The AEO algorithm, proposed by Zhao et al. [26], draws inspiration from ecosystems and is based on the energy flow within them, representing a form of physical inspiration. The algorithm comprises three main components, producer, consumer, and decomposer, reflecting the dynamics inherent in maintaining the internal operations of ecosystems. By studying the strategies and behaviors of organisms within ecosystems, humans have identified various pathways for energy flow and nutrient cycles, leading to enhanced optimization performance. As a result, the AEO algorithm has found widespread application [27,28]. In this paper, the AEO algorithm is combined with path optimization algorithms and applied to facility location models and resource allocation solutions.
In this section, we focus on the AEO algorithm which combines Section 3.1 with Section 3.2 and solve the optimization model for selecting the expected maximum time satisfaction location for reliable emergency facilities while accounting for constraints posed by complex polygonal barriers and facility failure risk. The AEO algorithm interprets all organism location information within an ecosystem as a contingency facility location, essentially representing a point in the search space. The energy flow process within the ecosystem is akin to an optimal search conducted step by step. The fitness value (i.e., time satisfaction) of each organism represents a candidate solution in the search space. Energy transfer from the producer x 1 to the decomposer x n corresponds to the evolution from an initial solution toward an optimal facility location.
(1)
Production phase: The starting point (the initialized facility point) in AEO is the producer, the update of the producer information is closely related to the best individual in the range of all individuals, and the iterated x 1 ( t + 1 ) will gradually approach the optimal individual while guiding the direction of the iterative update for the consumer
x 1 ( t + 1 ) = ( 1 α ) x n ( t ) + α x r a n d ( t ) ,
where n is the population size, α = ( 1 t / T ) r 1 is the linear weight coefficient, t denotes the current number of iterations, T denotes the maximum number of iterations, r 1 [ 0 , 1 ] is the random number, x r a n d = r ( U L ) + L is the random individual in the solution space [ L , U ] , and r [ 0 , 1 ] is a random vector uniformly distributed from 0 to 1.
(2)
Consumption stage: According to the food characteristics of animals in the ecosystem, consumers can be divided into phytophagous, carnivorous, and omnivorous animals, and they are given different updated iteration patterns to increase the diversity of solutions.
Herbivore consumption strategy: If it is herbivore consumers, and herbivore animals will only consume the producers, the mathematical expression of herbivore animals and producers is constructed as follows:
x i ( t + 1 ) = x i ( t ) + C · ( x i ( t ) x 1 ( t ) ) ,
where i [ 2 , n ] , based on the Levy flight-improved consumption factor C = v 1 / 2 | v 2 | , and with v 1 N ( 0 , 1 ) , v 2 N ( 0 , 1 ) .
Carnivore consumption strategy: If the consumer is a carnivore, and the carnivore will randomly consume an individual consumer with high energy (low time satisfaction), the mathematical expression for the carnivore and the corresponding consumer is constructed as follows:
x i ( t + 1 ) = x i ( t ) + C · ( x i ( t ) x j ( t ) ) ,
where i [ 3 , n ] , j = randi ( [ 2 , i 1 ] ) .
Omnivore consumption strategy: If the consumer is an omnivore, and the omnivore will consume both the producer as well as the high-energy consumer, construct the mathematical expressions for the omnivore and the corresponding producer and consumer as follows:
x i ( t + 1 ) = x i ( t ) + C · ( r 2 · ( x i ( t ) x 1 ( t ) ) + ( 1 r 2 ) ( x i ( t ) x j ( t ) ) ,
where j randi ( [ 2 , i 1 ] ) , r 2 [ 0 , 1 ] is a uniformly distributed random number.
(3)
Decomposition stage: Decomposers can consume various organisms according to the characteristics of the ecosystem such as fungi, and their iterative update equation is
x i ( t + 1 ) = x n ( t ) + B · ( e · x n ( t ) h · x i ( t ) ) ,
where i [ 1 , n ] ; the decomposition factor has B = 3 u ; there exists u N ( 0 , 1 ) , e = r 3 · r a n d i ( [ 1 , 2 ] ) 1 and h = 2 r 3 1 as the weight coefficients; and r 3 [ 0 , 1 ] is a uniformly distributed random number.
The initialized populations of the AEO algorithm are all random, and during the iterative process, each organism (facility location) is updated according to its specific behavior pattern, and the optimal fitness (the optimal time satisfaction) is gradually updated until the termination condition is reached.
The application of the AEO framework to the reliable emergency facility location problem under polygonal barrier conditions is summarized in Algorithm 1. A detailed procedural outline of the AEO search mechanism is provided in Algorithm 2.
Algorithm 1 AEO for solving reliable emergency facility location model under polygon barrier scenario
  • Step 1. Initialization
  • Parameter configuration: Specify the fundamental inputs of the model, including polygonal barrier set B k , square demand regions D j , time satisfaction bounds U j and L j , sensitivity coefficient β i , transportation speed v i j , facility capacity limit S i , minimum reserve level L i , demand volume w j , disruption probability q i , budget ceiling Q, population size N U M , and maximum iteration number M A X num .
  • Spatial and demand preparation: Encode barrier geometries into matrix form and register the spatial coordinates of demand regions. Demand quantities are generated within predefined bounds, while total facility capacity is assigned to exceed aggregate demand in accordance with reserve requirements.
  • Population initialization: Generate an initial ecosystem population by randomly sampling feasible facility locations within the admissible domain. Duplicate positions and barrier-intersecting points are excluded. Evaluate the fitness of each candidate solution using the time satisfaction objective, and record the best-performing individual as X best .
  • Step 2. Perform loop iterations, with the initial iteration starting from producer  x 1 .
  • Step 3.  x 1  is considered as the initialized facility point and starts iterating to update its location information.
  • Step 4. The consumer is considered as the new facility point location, which is divided into three evenly according to the random number, and one of the three animals is iteratively updated each time; thus, the herbivore, carnivore, and omnivore animals are each iteratively updated with their location information according to the probability.
  • Step 5. Based on the implementation of path optimization in Section 3.2 and calculate the fitness of all facilities so far, i.e., time satisfaction.
  • Step 6. Sort and update the best facility points  X b e s t  so far, and discard the inferior solutions.
  • Step 7. The decomposer (the current better facility point) starts to generate decomposition operations for all facility locations, i.e., update its location information.
  • Step 8. Based on the implementation of path optimization in Section 3.2 and calculate the fitness of all retained facility points so far, i.e., time satisfaction.
  • Step 9. Sort and update the best facility point  X b e s t  so far, and the inferior solution is discarded.
  • Step 10. If the condition of terminating the number of iterations is met, then terminate. If not, carry  X b e s t  and continue iteration from Step 2.
Algorithm 2 Algorithm of AEO 
Input:   ●
B k : set of polygonal barrier geometries; D j : square demand regions;
  ●
U j and L j : upper and lower bounds of time satisfaction levels;
  ●
β i : time-sensitivity parameter; v i j : transportation velocity;
  ●
S i : capacity limit of facility i; L i : minimum reserve requirement;
  ●
w j : demand volume of region j; q i : disruption probability of facility i;
  ●
Q: overall construction budget; N U M : population size;
  ●
M A X num : maximum iteration count.
  • Output:  F i =  satisfaction of each solution, X b e s t =  the best solution found so far.
1:
  while the stop criterion is not satisfied do
2:
     for  x 1 , update its solution using Equation (11) do
3:
     for  x i , where i [ 2 , n ]  do
4:
       if rand  < 1 / 3  then
5:
          update its solution using Equation (12).
6:
          if  1 / 3 rand 2 / 3  then
7:
            update its solution using Equation (13).
8:
          else
9:
            update its solution using Equation (14).
10:
        end if
11:
     end if
12:
   end for
13:
   Calculate  F i  of each individual and sort them.
14:
   Update the best solution found so far  X b e s t .
15:
   Update the position of each individual using Equation (15).
16:
   Calculate  F i  of each individual and sort them.
17:
   Update the best solution found so far  X b e s t .
18:
end while
19:
return   X b e s t F b e s t .

4. Numerical Study and Analysis

In this section, we illustrate our proposed model and methodology for handling real-life problem instances. To assess the practical effectiveness of the proposed framework, computational experiments are conducted using the AEO-based solution strategy integrated with convex hull preprocessing and path refinement procedures. The resulting solutions are subsequently evaluated through comparative performance analysis. The algorithm is executed on an Intel(R) Core(TM) i7-6600U CPU (2.80 GHz) with 16.00 GB memory (note: this configuration is provided for reproducibility, as different hardware may affect computation time but not the optimal solution quality) and Windows 10 operating system using MATLAB 2020b as the platform. Custom polygon barrier data is employed for the complex barriers. The proposed route optimization algorithm is integrated with the AEO algorithm to solve the location model presented in this paper. Experiments are conducted on single-facility and multi-facility location models to validate the performance of the algorithm.
The vertex coordinates of the polygonal barriers are specified as follows:
B 1 = [ 1 , 5 ; 3 , 6 ; 3 , 2 ] , B 2 = [ 3 , 7 ; 3 , 9 ; 5 , 9 ; 5 , 7 ] , B 3 = [ 4 , 13 ; 6 , 15 ; 10 , 14 ; 10 , 10 ] , B 4 = [ 5 , 3 ; 7 , 5 ; 10 , 4 ; 14 , 6 ; 10 , 1 ] , B 5 = [ 16 , 9 ; 18 , 10 ; 19 , 8 ; 18 , 7 ] , B 6 = [ 16 , 1 ; 17 , 3 ; 18 , 1 ] , B 7 = [ 8 , 8 ; 8 , 9 ; 12 , 9 ; 12 , 8 ] , B 8 = [ 2 , 18 ; 2 , 20 ; 5 , 23 ; 8 , 21 ; 8 , 17 ; 5 , 17 ] , B 9 = [ 12 , 17 ; 12 , 23 ; 20 , 23 ; 15 , 19 ; 15 , 17 ] , B 10 = [ 18 , 17 ; 18 , 19 ; 19 , 19 ; 19 , 17 ] , B 11 = [ 13 , 11 ; 15 , 14 ; 18 , 14 ; 16 , 12 ] , B 12 = [ 21 , 7 ; 21 , 19 ; 24 , 19 ] .
Example 1.
Simulation experiment of a single-facility emergency facility location model
The numerical test involves six demand nodes ( D 1 D 6 ) and twelve polygonal barriers. A single facility ( F 1 ) is to be located under these spatial constraints. The facility capacity is sampled within the interval [ 160 , 320 ] , while demand quantities for each region are drawn from [ 30 , 50 ] . Construction expenditure is fixed at 500, and transportation velocity is generated within the range [ 2 , 8 ] .
A reserve ratio of 0.5 is imposed, and the search domain is confined to a 25 × 25 square region. The disruption probability q i is randomly assigned within the interval r a n d i ( 0 , 0.1 ) . The AEO population size is specified as 30, with the iteration limit set to 200. The centroid coordinates and corresponding coverage radii of the demand regions are listed below:
D 1 = ( 2 , 12 , 0.8 ) , D 2 = ( 14 , 9 , 0.5 ) ,
D 3 = ( 23 , 23 , 1.3 ) , D 4 = ( 10 , 22 , 1 ) ,
D 5 = ( 22 , 3 , 0.9 ) , D 6 = ( 12 , 15 , 0.8 )
The single-facility instance is solved through the AEO-based search framework combined with convex transformation and routing refinement mechanisms. The resulting deployment configuration is illustrated in Figure 6. In the figure, F 1 marks the optimal facility position, blue segments depict the computed bypass routes, red stars denote facility sites, red squares correspond to demand regions, and gray polygons indicate barrier structures. The optimal facility coordinates are identified as ( 11.19 , 14.78 ) . The algorithm demonstrates rapid convergence behavior, yielding a weighted objective value of 217.7 .
To further validate the effectiveness and computational efficiency of the proposed AEO algorithm, we conducted an additional benchmark experiment on the single-facility instance described in Figure 6. In this experiment, AEO was compared with a multi-start local search (random search with 200 iterations), using the same objective function and stopping criterion (200 iterations), described in Figure 7.
The computational time of AEO (200 iterations) was 2.5034 s, whereas the multi-start local search required 3.0757 s under the same iteration limit. The best solution obtained by the random search was located at ( 11.18 , 15.09 ) , with a corresponding objective value of 192.8444. In contrast, AEO achieved a significantly higher objective value ( 217.7 as reported in Figure 6) within a substantially shorter computational time. These results indicate that AEO not only provides superior solution quality but also demonstrates significantly higher computational efficiency compared to a simple multi-start random local search strategy. This confirms the robustness and effectiveness of the proposed algorithm for solving the nonlinear facility location model.
Example 2.
Simulation experiments of multi-facility emergency facility location model
For the multi-facility scenario, the capacities of F 1 F 3 are sampled from the interval [ 80 , 100 ] , whereas F 4 is assigned a capacity within [ 40 , 50 ] . The overall construction budget is increased to 2000, while the remaining experimental settings follow those specified in Example 1. The centroid coordinates and corresponding coverage radii of the demand regions are given below:
D 1 = ( 2 , 12 , 0.8 ) , D 2 = ( 14 , 9 , 0.5 ) ,
D 3 = ( 23 , 23 , 1.3 ) , D 4 = ( 10 , 22 , 1 ) ,
D 5 = ( 22 , 3 , 0.9 ) , D 6 = ( 12 , 15 , 0.8 )
The multi-facility configurations are obtained through the integrated AEO search framework under geometric preprocessing and routing refinement. Figure 8a displays the three-facility solution, where F 1 , F 2 , and F 3 denote the optimized deployment sites. Path connections, facility symbols, demand regions, and barrier polygons are visually distinguished by different colors and shapes in the figure. The corresponding optimal coordinates are ( 19.98 , 4.33 ) , ( 6.93 , 15.49 ) , and ( 24.34 , 21.97 ) , yielding a weighted objective value of 239.3 .
Figure 8b illustrates the four-facility scenario. The selected locations ( 20.17 , 4.18 ) , ( 21.67 , 23.37 ) , ( 10.87 , 23.58 ) , and ( 10.53 , 14.54 ) achieve a weighted objective score of 240.48 . The results indicate that service allocation is not strictly one-to-one; certain demand regions may be jointly supplied by multiple facilities, enhancing distribution flexibility.
Example 3.
Simulation experiments of the multi-facility reliable emergency facility location model
A medium-scale instance is constructed with nineteen demand regions ( D 1 D 19 ) distributed within a square study domain. The system operates under capacity, budget, and nineteen barrier constraints, while facility disruption probabilities are randomly assigned as q i r a n d i ( 0 , 0.1 ) . The objective remains the maximization of time-based satisfaction, based on which the deployment and allocation of five facilities are optimized. Demand magnitudes are sampled from the interval [ 30 , 50 ] . The centroid coordinates and corresponding coverage radii of the demand regions are specified below:
D 1 = ( 2 , 12 , 0.8 ) , D 2 = ( 14 , 9 , 0.5 ) , D 3 = ( 23 , 23 , 1.3 ) , D 4 = ( 10 , 22 , 1 ) ,
D 5 = ( 22 , 3 , 0.9 ) , D 6 = ( 12 , 15 , 0.8 ) , D 7 = ( 12 , 2 , 0.4 ) , D 8 = ( 19 , 15 , 0.4 ) ,
D 9 = ( 2 , 21 , 0.2 ) , D 10 = ( 6 , 6 , 0.3 ) , D 11 = ( 16 , 5 , 0.4 ) , D 12 = ( 19 , 10 , 0.2 ) ,
D 13 = ( 24 , 10 , 0.3 ) , D 14 = ( 9 , 16 , 0.2 ) , D 15 = ( 1 , 2 , 0.3 ) , D 16 = ( 22 , 5 , 0.4 ) ,
D 17 = ( 14 , 3 , 0.2 ) , D 18 = ( 4 , 24 , 0.2 ) , D 19 = ( 1 , 7 , 0.1 )
The medium-scale instance is solved using the integrated AEO search strategy combined with geometric preprocessing and routing refinement. The resulting allocation configuration is presented in Figure 9. In the figure, blue segments correspond to optimized transportation paths, red stars denote selected facility sites, red squares mark demand regions, and gray polygons identify barrier structures. The obtained solution achieves a weighted objective value of 819.09 .
Table 2 reports the capacities and spatial positions of the facilities, while Table 3 summarizes the admissible capacity intervals, with an aggregate storage level of approximately 1000. Demand quantities are sampled from the interval [ 30 , 50 ] and are listed in Table 4. Facility construction costs are drawn from [ 300 , 500 ] , subject to an overall budget constraint of 2500. Transportation velocity varies within [ 2 , 8 ] , the reserve ratio is fixed at 0.5 , and the AEO algorithm operates with a population size of 30 and a maximum of 200 iterations. The feasible search domain is confined to a 25 × 25 square region (see Table 5).
From the allocation results in Table 6, we observe that the optimal configuration involves 5 facility points serving 19 demand regions, each with a safety stock of 0.5 . Considering the quantity of facility and demand, there are 19 effective allocations aligning the optimal facility locations with the demand regions. Notably, the first three allocations are as follows: (1) The first facility point allocates to the second demand point with a quantity of 48.0178 , located at a distance of 1.8589 units from the demand location, resulting in a time satisfaction of 0.99484 . (2) The fifth facility location allocates 46.7903 to the 12th demand point, positioned at a distance of 3.6032 units from the demand location with a time satisfaction of 0.9967 . (3) The second facility location allocates 46.7888 to the 19th demand point, situated at a distance of 0.69232 units from the demand location, achieving a time satisfaction of 1.
Table 6 reveals the distribution of demand regions for each facility location. Specifically, the first facility location serves three demand regions, namely, demand regions 2, 6, and 7. The second facility location caters to four demand regions, i.e., demand regions 19, 1, 10, and 15. Meanwhile, the third facility location covers two demand regions, i.e., demand regions 8 and 3. Additionally, the fourth facility location serves four demand regions, i.e., demand regions 14, 4, 9, and 18. Lastly, the fifth facility location is allocated six demand regions, i.e., demand regions 12, 5, 16, 13, 11, and 17. The final column denotes the time satisfaction levels of the demand regions, indicating a high level of satisfaction across all regions. Specifically, there are two items with a perfect satisfaction score of 1, 15 items with a satisfaction level exceeding 0.9 , and two items with a satisfaction level over 0.8 . Notably, no satisfaction item falls below 0.8 , reflecting the robustness and reliability of the constructed emergency facility location model and its allocation.
To further assess the performance of the proposed AEO algorithm in medium-scale instances, a comparative experiment was conducted using the Particle Swarm Optimization (PSO) algorithm under the same evaluation function and stopping criterion. The PSO parameters were set as follows: inertia weight w = 0.72 , cognitive coefficient c 1 = 1.49 , and social coefficient c 2 = 1.49 .
For the five-facility and nineteen-demand-point instance in Figure 9, the computational time of AEO was 40.5016 s, yielding a weighted objective value of 819.09. In comparison, PSO required 39.161 s and obtained a best objective value of 750.6821 in Figure 10, with the corresponding facility coordinates reported above. Although the computational times of the two algorithms are comparable, AEO achieved a significantly higher objective value. Specifically, the solution obtained by AEO improves the objective value by approximately 9.1 % compared to PSO. This indicates that AEO demonstrates stronger global search capability and better convergence performance in solving the nonlinear facility location model under complex polygonal barriers and reliability constraints.
Example 4.
Sensitivity analysis
This section investigates the influence of two key parameters through sensitivity analysis.

Sensitivity of α and θ

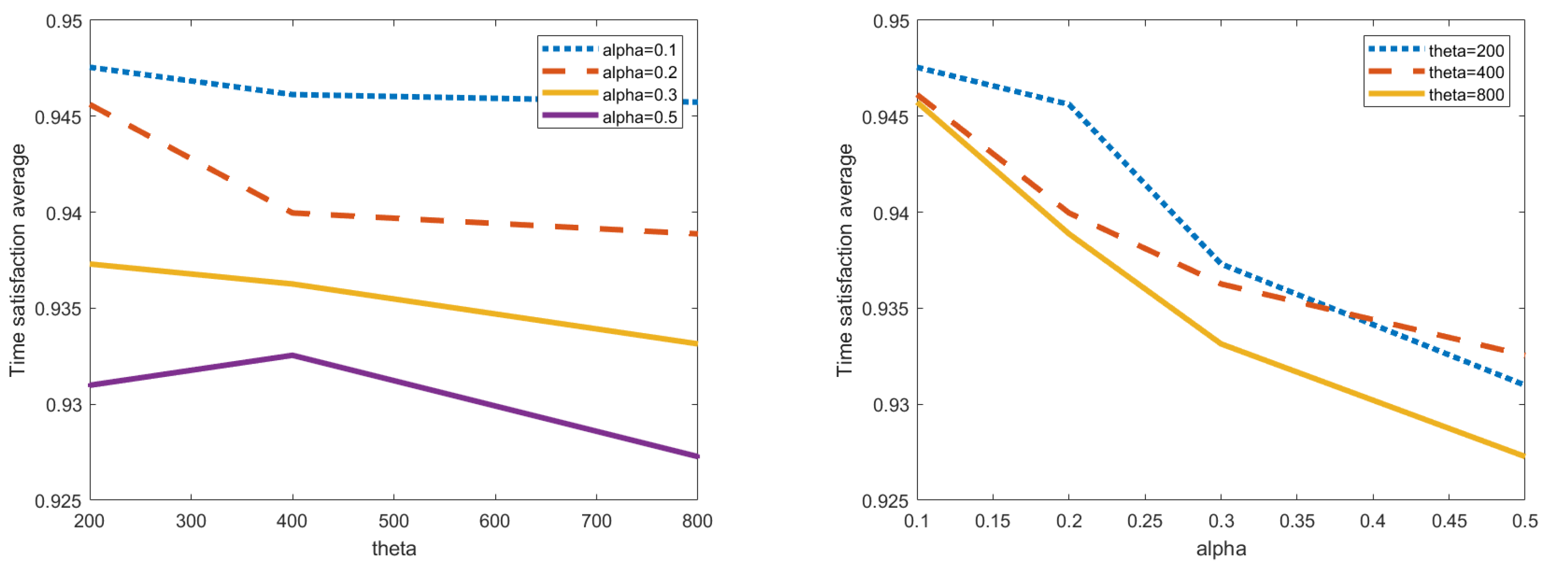
We define the failure risk as the marginal disruption probability of location i using the equation q i = α e D i / θ , where D i represents the distance of location j from i. Here, α denotes the probability of a disastrous event occurring at a specific source, while θ signifies the disruption propagation factor. A higher α and θ indicate a stronger disruption propagation effect. With 12 barriers and the goal of achieving maximum desired time satisfaction, we seek to determine the location and allocation scheme of 5 facility points. We employ the control variable method, setting the demand amount of each demand point in the demand regions to 40. The center coordinates and radiation radius of the square demand point are established as usual, with the location and quantity of facilities set at 200. Additionally, the carrying speed value is 5, the safety stock is 0.5 , the initialized population size of 30 is for AEO, and there is a maximum of 200 iterations. The effects of parameters α and θ on satisfaction are presented in Figure 11.
Figure 11 illustrates the influence of the parameters α and θ on satisfaction. The range of values for α is [ 0.1 , 0.5 ] and for θ is [ 200 , 800 ] . It is evident that as both α and θ increase, the average time satisfaction and the number of distributions gradually change. In Table 7, we observe specific numerical data which indicates that as the risk of failure increases, not only does the average satisfaction gradually decrease to 0.927 but there is also a gradual change in the number of distributions.
Example 5.
A practical case study of the multi-facility reliable emergency facility location model
To further validate the model’s feasibility, we conducted experiments using the actual scenario in Moroccan [28], taking into account ambulance deployment. We selected the Meknès region as the demand area, encompassing 19 demand points labeled D 1 , D 2 , , D 19 , with 10 barriers denoted as B 1 , B 2 , , B 10 randomly placed. The latitude and longitude coordinates of the Meknès demand regions are presented in Table 8, with the last column representing the number of required ambulance vehicles. The construction cost for each facility location is set at 500 $ , and the shipping speed is 8 km/h. Based on the demand for ambulance vehicles in the Meknès region, we have established the facility capacity for each location, randomly generated within the range of [ 200 , 250 ] . Three facility points were designated, with specific demands and locations as follows, while maintaining other parameters unchanged.
By applying the AEO algorithm in combination with the convex hull transformation and the path optimization procedure, we obtained an optimized allocation scheme for the reliable emergency facility location problem in the Meknès case. It should be noted that this case study is intended as a methodological demonstration and decision-support reference rather than a direct evaluation of the current real-world deployment.
Figure 12 illustrates the optimized allocation scenario, which yields a weighted objective value of 568.7 . The optimal latitude and longitude coordinates of the three facility points are ( 33.78 , 5.53 ) , ( 34.02 , 5.31 ) , and ( 33.95 , 5.71 ) . Under the optimized allocation, the first facility serves four demand regions: Al Machouar-Stinia, Boufakrane, Majjate, and Sidi Slimane Moul Al Kifane. The second facility is assigned to eight demand regions: Moulay Driss Zerhoun, Dkhissa, M’haya, Oued Jdida, Charqaoua, Mrhassiyine, N’zalat Bni Amar, and Sidi Abdallah Al Khayat. The third facility covers seven demand regions: Al Toulal, Ain Jemaa, Ain Karma-Oued Rommane, Ain Orma, Ait Ouallal, Dar Oum Soltane, and Oualili. In Figure 12, the grey ellipse indicates the service scope of each facility, the blue lines represent the optimized transportation paths, the red stars denote facility locations, the small red circles mark demand regions, and the red polygons correspond to barrier areas. The results demonstrate how the proposed framework can generate a structured and spatially feasible allocation plan under realistic geographic coordinates and demand distributions.

5. Conclusions

This study addresses the critical gap in emergency facility location research by integrating complex polygonal barriers (convex and concave) and facility failure risks, with a focus on maximizing time satisfaction—a core requirement in emergency response. The key contributions and findings are as follows:

5.1. Key Contributions

1. Novel Model Design: A single-objective optimization model is proposed to maximize time satisfaction, avoiding biases from multi-objective weight assignment. The model considers practical constraints (capacity, cost, and safety stock) and integrates both facility failure risks and complex polygonal barriers.
2. Efficient Algorithm Framework: A three-step algorithm (convex hull → path optimization → AEO) is developed to solve the NP-hard problem. The convex hull algorithm simplifies concave barriers, the path optimization algorithm finds the shortest bypass routes, and the AEO algorithm efficiently optimizes facility locations and allocation.
3. Comprehensive Validation: The model is validated through multi-scale numerical experiments (single-facility, multi-facility, and medium-scale) and a real-world case study (ambulance deployment in Morocco), demonstrating its feasibility and robustness.

5.2. Specific Findings

1. Performance: The model achieves high time satisfaction (all demand regions > 0.8, most > 0.9) and efficient resource allocation. For medium-scale scenarios (five facilities; 19 demand regions), the total facility capacity (1000) meets total demand (760) with a weighted satisfaction of 819.09.
2. Sensitivity: Increased failure risk parameters ( α and θ ) lead to a gradual decrease in average time satisfaction (from 0.948 to 0.927), but the model maintains stable allocation efficiency.
3. Practical Applicability: The case study in Meknès shows that the model can effectively optimize ambulance station locations, ensuring timely emergency medical response with an average satisfaction > 0.92.

5.3. Limitations and Future Work

Limitations: The model assumes that barriers are static and known in advance; future research can consider dynamic barriers (e.g., evolving disaster zones). Additionally, the model uses a fixed weighting factor α ; adaptive α based on real-time risk assessment can be explored. Furthermore, facility failure is modeled through a proportional reduction in effective service capacity. This treatment does not consider spatial correlation or cascading effects among facilities. Moreover, although the convex hull transformation and path optimization procedures are computationally tractable for the tested problem scales, their computational cost may increase when the number of barriers and demand points grows substantially. In medium-scale scenarios with many obstacles, repeated line–polygon intersection checks and path sequence adjustments could lead to higher computational burden. Therefore, scalability under very large spatial instances remains a practical limitation at the current implementation stage.
Future work: It may extend the proposed framework in several directions. First, dynamic demand evolution and time-varying barriers can be incorporated to better capture the uncertainty and temporal progression of emergency scenarios. Second, stochastic demand realizations could be modeled through scenario-based simulation, enabling a more robust evaluation of system performance under different disruption intensities. Third, heterogeneous facility types with differentiated capacities, service levels, and failure probabilities may be introduced to reflect realistic emergency logistics systems. Moreover, integrating evacuation routing and congestion-aware path interactions into the model would allow for the time satisfaction measure to explicitly account for route competition and traffic dynamics. From an algorithmic perspective, hybrid metaheuristic strategies (e.g., AEO combined with local search mechanisms) and parallel acceleration techniques could further enhance computational efficiency, particularly for medium- and large-scale geographic environments.

Author Contributions

Conceptualization, M.L. and G.W.; methodology, M.L. and L.L.; software, M.L.; validation, M.L., L.L. and Z.Y.; formal analysis, M.L.; investigation, M.L. and L.L.; resources, G.W. and F.L.; data curation, M.L.; writing—original draft preparation, M.L.; writing—review and editing, G.W., L.L. and Z.Y.; visualization, M.L.; supervision, G.W.; project administration, G.W.; funding acquisition, G.W. All authors have read and agreed to the published version of the manuscript.

Funding

The work was partially supported by the National Natural Science Foundation of China (Project ID 42074011) and the Key Projects Deployed by the Major Scientific and Technological Mission Bureau of the Chinese Academy of Sciences (Project ID T24Y6303).

Data Availability Statement

The datasets generated during and/or analyzed during the current study are available from the corresponding author on reasonable request.

Conflicts of Interest

The authors declare that they have no conflicts of interest.

References

  1. Snyder, L.V.; Daskin, M.S. Reliability models for facility location: The expected failure cost case. Transp. Sci. 2005, 39, 400–416. [Google Scholar] [CrossRef]
  2. Shishebori, D.; Babadi, A.Y. Robust and reliable medical services network design under uncertain environment and system disruptions. Transp. Res. Part E Logist. Transp. Rev. 2015, 77, 268–288. [Google Scholar] [CrossRef]
  3. An, Y.; Zeng, B.; Zhang, Y.; Zhao, L. Reliable p-median facility location problem: Two-stage robust models and algorithms. Transp. Res. Part B Methodol. 2014, 64, 54–72. [Google Scholar] [CrossRef]
  4. Yu, D.; Gao, L.; Zhao, S. Reliable Emergency Facility Location with Disruptionand Fortification Considerations. Oper. Res. Manag. Sci. 2020, 29, 53. [Google Scholar]
  5. Wang, W.; Wu, S.; Wang, S.; Zhen, L.; Qu, X. Emergency facility location problems in logistics: Status and perspectives. Transp. Res. Part E Logist. Transp. Rev. 2021, 154, 102465. [Google Scholar] [CrossRef]
  6. Liu, K.; Liu, C.; Xiang, X.; Tian, Z. Testing facility location and dynamic capacity planning for pandemics with demand uncertainty. Eur. J. Oper. Res. 2023, 304, 150–168. [Google Scholar] [CrossRef]
  7. Wang, M. Research of Voronoi Diagram with Barries. Master’s Thesis, Dalian Maritime University, Dalian, China, 2005. [Google Scholar]
  8. Niu, H.; Ji, Z.; Savvaris, A.; Tsourdos, A. Energy efficient path planning for unmanned surface vehicle in spatially-temporally variant environment. Ocean Eng. 2020, 196, 106766. [Google Scholar] [CrossRef]
  9. Li, X.; McMains, S. A Voronoi diagram approach for detecting defects in 3D printed fiber-reinforced polymers from microscope images. Comput. Vis. Media 2023, 9, 41–56. [Google Scholar] [CrossRef]
  10. Gao, T.; Fu, L. A new particle shifting technique for SPH methods based on Voronoi diagram and volume compensation. Comput. Methods Appl. Mech. Eng. 2023, 404, 115788. [Google Scholar] [CrossRef]
  11. Caldeira, N.; Lopes, R.J.; Fernandes, D.; Araujo, D. From Optical Tracking to Tactical Performance via Voronoi diagrams: Team formation and players’ roles constrain interpersonal linkages in high-level football. Sensors 2022, 23, 273. [Google Scholar] [CrossRef]
  12. Katz, I.N.; Cooper, L. Facility location in the presence of forbidden regions, I: Formulation and the case of Euclidean distance with one forbidden circle. Eur. J. Oper. Res. 1981, 6, 166–173. [Google Scholar] [CrossRef]
  13. Yu, D.; Gao, L.; Zhao, S. Emergency facility location-allocation problem with convex barriers. Syst. Eng. Theory Prac. 2019, 5. [Google Scholar] [CrossRef]
  14. Han, X. Research on Logistics Node Location with Curved Demands Considering Polygonal Obstacles. Master’s Thesis, Beijing Jiaotong University, Beijing, China, 2018. [Google Scholar]
  15. Bischoff, M.; Klamroth, K. An efficient solution method for Weber problems with barriers based on genetic algorithms. Eur. J. Oper. Res. 2007, 177, 22–41. [Google Scholar] [CrossRef]
  16. Bischoff, M.; Fleischmann, T.; Klamroth, K. The multi-facility location–allocation problem with polyhedral barriers. Comput. Oper. Res. 2009, 36, 1376–1392. [Google Scholar] [CrossRef]
  17. Canbolat, M.S.; Wesolowsky, G.O. On the use of the Varignon frame for single facility Weber problems in the presence of convex barriers. Eur. J. Oper. Res. 2012, 217, 241–247. [Google Scholar] [CrossRef]
  18. Byrne, T.; Kalcsics, J. Conditional facility location problems with continuous demand and a polygonal barrier. Eur. J. Oper. Res. 2022, 296, 22–43. [Google Scholar] [CrossRef]
  19. Hong, C.; Wang, Y.; Estefen, S.F. A location-allocation model with obstacle and capacity constraints for the layout optimization of a subsea transmission network with line-shaped conduction structures. J. Mar. Sci. Eng. 2023, 11, 1171. [Google Scholar] [CrossRef]
  20. Moturi, A.K.; Suiyanka, L.; Mumo, E.; Snow, R.W.; Okiro, E.A.; Macharia, P.M. Geographic accessibility to public and private health facilities in Kenya in 2021: An updated geocoded inventory and spatial analysis. Front. Public Health 2022, 10, 1002975. [Google Scholar] [CrossRef] [PubMed]
  21. Liu, M.; Liu, L.; Wang, G. Sustainability-Reliable Emergency Facility Location Determination with Consideration of Complex Polygonal Barriers and the Risk of Facility Disruption. Appl. Sci. 2025, 15, 8910. [Google Scholar] [CrossRef]
  22. Yun-Feng, M.; Min, Z.; Jun, Y. Definition and application of time satisfaction function in logistics facility location. Logist. Technol. 2005, 9, 26–29. [Google Scholar]
  23. De Berg, M.; Cheong, O.; Van Kreveld, M.; Overmars, M. Computational Geometry: Algorithms and Applications; Springer: Berlin/Heidelberg, Germany, 2008. [Google Scholar] [CrossRef]
  24. An, P.T.; Huyen, P.T.T.; Le, N.T. A modified Graham’s convex hull algorithm for finding the connected orthogonal convex hull of a finite planar point set. Appl. Math. Comput. 2021, 397, 125889. [Google Scholar] [CrossRef]
  25. Heng, P.; Sun, Y. Algorithms for convex hull finding in undirected graphical models. Appl. Math. Comput. 2023, 445, 127852. [Google Scholar] [CrossRef]
  26. Zhao, W.; Wang, L.; Zhang, Z. Artificial ecosystem-based optimization: A novel nature-inspired meta-heuristic algorithm. Neural Comput. Appl. 2020, 32, 9383–9425. [Google Scholar] [CrossRef]
  27. Naruei, I.; Keynia, F. A new optimization method based on COOT bird natural life model. Expert Syst. Appl. 2021, 183, 115352. [Google Scholar] [CrossRef]
  28. Wang, L.; Cao, Q.; Zhang, Z.; Mirjalili, S.; Zhao, W. Artificial rabbits optimization: A new bio-inspired meta-heuristic algorithm for solving engineering optimization problems. Eng. Appl. Artif. Intell. 2022, 114, 105082. [Google Scholar] [CrossRef]
Figure 1. Drop semi-Cauchy time satisfaction function.
Figure 1. Drop semi-Cauchy time satisfaction function.
Mca 31 00050 g001
Figure 2. Overall workflow of the solution algorithm.
Figure 2. Overall workflow of the solution algorithm.
Mca 31 00050 g002
Figure 3. Example of a convex hull of a point set.
Figure 3. Example of a convex hull of a point set.
Mca 31 00050 g003
Figure 4. Concave barriers transformed into convex barriers.
Figure 4. Concave barriers transformed into convex barriers.
Mca 31 00050 g004
Figure 5. Path optimization calculation example.
Figure 5. Path optimization calculation example.
Mca 31 00050 g005
Figure 6. Single-facility reliable emergency facility location and iterative curve.
Figure 6. Single-facility reliable emergency facility location and iterative curve.
Mca 31 00050 g006
Figure 7. Comparative analysis.
Figure 7. Comparative analysis.
Mca 31 00050 g007
Figure 8. Multi-facility reliable emergency facility location.
Figure 8. Multi-facility reliable emergency facility location.
Mca 31 00050 g008
Figure 9. Multi-facility reliable emergency facility location.
Figure 9. Multi-facility reliable emergency facility location.
Mca 31 00050 g009
Figure 10. Comparative analysis.
Figure 10. Comparative analysis.
Mca 31 00050 g010
Figure 11. The influence of parameters α and θ on satisfaction.
Figure 11. The influence of parameters α and θ on satisfaction.
Mca 31 00050 g011
Figure 12. Multi-facility reliable emergency facility location of the case study.
Figure 12. Multi-facility reliable emergency facility location of the case study.
Mca 31 00050 g012
Table 1. Comparison of research features.
Table 1. Comparison of research features.
FeatureLiu et al. [21]Other RFLP ModelsPresent Study
Objective structureMulti-objective (reliability + sustainability)Usually cost minimization or coverage maximizationSingle-objective: maximize time satisfaction
Reliability treatmentIntegrated into multi-objective frameworkOften scenario-based or expected failure costFacility-specific failure probability ( q i ), consistently embedded in objective and constraints
Sensitivity analysisLimited parameter analysisOften limited to cost or failure rateExplicit location-dependent failure risk ( q i = α e D i / θ ) and parameter study
Experimental scaleMedium-scale numerical casesVariesSingle-, multi-, medium-scale experiments + new real-world ambulance case study
Managerial insightSustainability–reliability trade-offNetwork robustnessTime-critical emergency response prioritization
Table 2. Facility capacity.
Table 2. Facility capacity.
CapacityLocation
1 253.45 ( 12.64 , 9.05 )
2 260.98 ( 1.58 , 7.1 )
3 229.24 ( 20.36 , 18.22 )
4 138.6 ( 8.84 , 20.08 )
5 119.82 ( 19.19 , 6.6 )
Table 3. Facility capacity bound.
Table 3. Facility capacity bound.
BoundCapacity
1Upper bound250
Lower bound260
2Upper bound250
Lower bound270
3Upper bound220
Lower bound230
4Upper bound130
Lower bound140
5Upper bound110
Lower bound120
Table 4. Demand volume.
Table 4. Demand volume.
1234
Volume 40.58 48.02 32.38 44.55
56789
44.48 42.61 31.76 42.65 38.91
1011121314
34.71 41.39 46.79 41.94 44.66
1516171819
32.13 44.32 40.77 30.04 46.79
Table 5. Search region.
Table 5. Search region.
NameBoundRegion
xUpper bound0
Lower bound25
yUpper bound0
Lower bound25
Table 6. The result of facility locations and allocation.
Table 6. The result of facility locations and allocation.
IndexFacility IndexDemand IndexAllocation VolumeDistanceTime Satisfaction
112 48.0178 1.8589 0.99484
2512 46.7903 3.6032 0.9967
3219 46.7888 0.69232 1
4414 44.6566 4.2853 0.97385
544 44.5494 3.2402 0.98903
655 44.4812 5.4653 0.98597
7516 44.3234 3.6299 0.98682
838 42.6509 3.89 0.9541
916 42.6107 6.7813 0.96569
10513 41.9379 6.3903 0.92761
11511 41.388 3.9749 0.99802
12517 40.7674 6.5223 0.97994
1321 40.579 5.7132 0.95614
1449 38.9077 8.6567 0.92468
15210 34.707 4.853 1
1633 32.3797 6.7662 0.88959
17215 32.1309 5.4838 0.97295
1817 31.7573 8.2137 0.88647
19418 30.0414 6.4456 0.9516
Table 7. Parameter analysis.
Table 7. Parameter analysis.
α θ Time Satisfaction AverageNumber of Distribution
0.1 200 0.94754 21
0.1 400 0.94612 19
0.1 800 0.94573 19
0.2 200 0.94561 21
0.2 400 0.93996 20
0.2 800 0.93887 19
0.3 200 0.93731 20
0.3 400 0.93626 21
0.3 800 0.93314 19
0.5 200 0.93098 19
0.5 400 0.93254 19
0.5 800 0.92727 21
Table 8. Data of Meknès.
Table 8. Data of Meknès.
PrefectureNum.Demand RegionLatitudeLongitudeDemand
Meknès1Al Machouar-Stinia, Meknès33.8915022 5.5623057 10
2Boufakrane, Meknès 33.7552072 5.4851436 30
3Toulal, Meknès 33.8932573 5.5956227 45
4Moulay Driss Zerhoun, Meknès 34.055188 5.525518 27
5Ain Jemaa, Meknès 34.026077 5.793621 31
6Ain Karma-Oued Rommane, Meknès 34.0681965 5.6511201 32
7Ain Orma, Meknès 33.8940376 5.7479925 8
8Ait Ouallal, Meknès 33.8569498 5.6862504 12
9Dar Oum Soltane, Meknès 33.9018913 5.6442902 13
10Dkhissa, Meknès 33.9373089 5.4666399 47
11Majjate, Meknès 33.8184108 5.5131869 21
12M’haya, Meknès 33.976917 5.249915 62
13Oued Jdida, Meknès 33.924289 5.3691 35
14Sidi Slimane Moul Al Kifane, Meknès 33.8604919 5.4611693 45
15Charqaoua, Meknès 34.1733052 5.400277 13
16Mrhassiyine, Meknès 34.0045194 5.5014005 18
17N’zalat Bni Amar, Meknès 34.1238486 5.4316033 19
18Oualili, Meknès 34.0399646 5.5626871 23
19Sidi Abdallah Al Khayat, Meknès 34.0018701 5.3695267 26
Disclaimer/Publisher’s Note: The statements, opinions and data contained in all publications are solely those of the individual author(s) and contributor(s) and not of MDPI and/or the editor(s). MDPI and/or the editor(s) disclaim responsibility for any injury to people or property resulting from any ideas, methods, instructions or products referred to in the content.

Share and Cite

MDPI and ACS Style

Liu, M.; Liu, L.; Yu, Z.; Liang, F.; Wang, G. Reliable Emergency Facility Location Planning Under Complex Polygonal Barriers and Facility Failure Risks. Math. Comput. Appl. 2026, 31, 50. https://doi.org/10.3390/mca31020050

AMA Style

Liu M, Liu L, Yu Z, Liang F, Wang G. Reliable Emergency Facility Location Planning Under Complex Polygonal Barriers and Facility Failure Risks. Mathematical and Computational Applications. 2026; 31(2):50. https://doi.org/10.3390/mca31020050

Chicago/Turabian Style

Liu, Mingyuan, Lintao Liu, Zhujia Yu, Futai Liang, and Guocheng Wang. 2026. "Reliable Emergency Facility Location Planning Under Complex Polygonal Barriers and Facility Failure Risks" Mathematical and Computational Applications 31, no. 2: 50. https://doi.org/10.3390/mca31020050

APA Style

Liu, M., Liu, L., Yu, Z., Liang, F., & Wang, G. (2026). Reliable Emergency Facility Location Planning Under Complex Polygonal Barriers and Facility Failure Risks. Mathematical and Computational Applications, 31(2), 50. https://doi.org/10.3390/mca31020050

Article Metrics

Back to TopTop