Sign in to use this feature.

Years

Between: -

Subjects

remove_circle_outline
remove_circle_outline
remove_circle_outline
remove_circle_outline
remove_circle_outline
remove_circle_outline
remove_circle_outline
remove_circle_outline
remove_circle_outline

Journals

remove_circle_outline
remove_circle_outline
remove_circle_outline
remove_circle_outline
remove_circle_outline
remove_circle_outline
remove_circle_outline
remove_circle_outline
remove_circle_outline
remove_circle_outline
remove_circle_outline
remove_circle_outline
remove_circle_outline
remove_circle_outline
remove_circle_outline
remove_circle_outline
remove_circle_outline

Article Types

Countries / Regions

remove_circle_outline
remove_circle_outline
remove_circle_outline
remove_circle_outline
remove_circle_outline
remove_circle_outline
remove_circle_outline

Search Results (617)

Search Parameters:
Keywords = register resources

Order results
Result details
Results per page
Select all
Export citation of selected articles as:
35 pages, 1732 KB  
Article
Replacement and Revision Hip and Knee Surgery Projections up to the Year 2060: An Analysis Based on Data from the Romanian Arthroplasty Register
by Flaviu Moldovan and Liviu Moldovan
Medicina 2026, 62(3), 588; https://doi.org/10.3390/medicina62030588 - 20 Mar 2026
Viewed by 141
Abstract
Background and Objectives: Hip and knee replacement joint surgeries are experiencing constant growth, and anticipating future needs allows decision-makers and stakeholders involved in the healthcare system to allocate the necessary resources for safe and effective services. The objective of this study is [...] Read more.
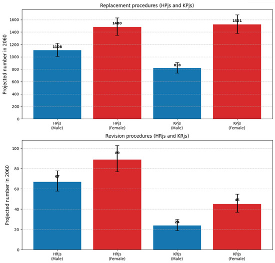
Background and Objectives: Hip and knee replacement joint surgeries are experiencing constant growth, and anticipating future needs allows decision-makers and stakeholders involved in the healthcare system to allocate the necessary resources for safe and effective services. The objective of this study is to estimate the volumes of primary and revision hip and knee surgeries expected to be performed in Romania by 2060. Materials and Methods: We used data from the Romanian Arthroplasty Register regarding the total volume of primary hip replacement surgery (cumulative n = 51,252 across five years), hip revision surgery (cumulative n = 3579), primary knee replacement surgery (cumulative n = 32,283), and knee revision surgery (cumulative n = 943) performed in 2017–2019, 2023 and 2024—the last five years of complete registrations, excluding the pandemic period. We projected future numbers of hip and knee primary and revision surgeries using the arithmetic mean of annual procedure rates observed during the study period, combined with the average annual trend in these rates. Projections were stratified by age group (0–39, 40–49, 50–59, 60–69, 70–79, and ≥80 years) and sex and were applied to population forecasts from the National Institute of Statistics of Romania up to 2060. Results: By 2060, primary hip replacement surgery volumes will increase by 40.14% relative to 2024 levels (from 13,526 in 2024 to 18,965 in 2060), and primary knee replacement surgery volumes will increase by 79.78% (from 9003 in 2024 to 16,186 in 2060). Revision hip surgery volumes will increase by 42.02% (from 759 in 2024 to 1078 in 2060), and revision knee surgery volumes will increase by 109.25% (from 227 in 2024 to 475 in 2060). The largest relative increases are concentrated in patients aged ≥80 years, with projected growth substantially exceeding those in younger age groups across all procedure types and both sexes. These percentages represent the projected growth in procedure volumes for this age group compared with 2024 baseline volumes. Conclusions: By 2060, we project substantial increases in all arthroplasty procedure types in Romania, with the most pronounced growth among patients aged ≥80 years. Given that resource utilization and morbidity are higher in this population, the increased demand for medical interventions requires advance planning, which will have significant implications for the healthcare system. Full article
(This article belongs to the Special Issue Clinical Research in Orthopaedics and Trauma Surgery)
Show Figures

Figure 1

17 pages, 574 KB  
Article
Exploring Nursing Students’ Experiences of the COVID-19 Period at a Public Nursing College in the Eastern Cape Province of South Africa
by Ntombedinga Tilly Goso, Ntiyiso Vinny Khosa, Malwande Shooster Mgilane, Thokoe Vincent Makola and Nomfuneko Sithole
Int. J. Environ. Res. Public Health 2026, 23(3), 395; https://doi.org/10.3390/ijerph23030395 - 20 Mar 2026
Viewed by 249
Abstract
Introduction: The COVID-19 pandemic significantly disrupted the functioning of the health system, including nursing education, particularly within resource-constrained contexts such as in South Africa. This study explored the lived experiences of nursing students during the COVID-19 period at Lilitha College of Nursing, a [...] Read more.
Introduction: The COVID-19 pandemic significantly disrupted the functioning of the health system, including nursing education, particularly within resource-constrained contexts such as in South Africa. This study explored the lived experiences of nursing students during the COVID-19 period at Lilitha College of Nursing, a public nursing college operating across multiple urban and rural campuses in the Eastern Cape Province of South Africa. Methodology: A qualitative phenomenological design was employed, guided by the Dimensions of Wellness Framework. Purposive sampling was used to recruit a diverse cohort of nursing students who were registered during the period 2020–2022. Semi-structured, one-on-one interviews were conducted with 20 participants between 1 and 31 October 2025, until data saturation was attained. Interviews were audio-recorded, transcribed, translated verbatim, and analysed manually using the six phases of thematic analysis. Results: The findings revealed that the COVID-19 pandemic severely affected nursing students’ academic progress, mental and physical health, clinical training, and overall well-being, revealing institutional unpreparedness and gaps in support during crisis conditions. Conclusions: The study highlights the need for fair, holistic, and crisis-ready support systems to protect nursing students’ well-being and learning during future emergencies. Full article
Show Figures

Figure 1

32 pages, 1670 KB  
Systematic Review
A Systematic Review of Blockchain and Multi-Agent System Integration for Secure and Efficient Microgrid Management
by Diana S. Rwegasira, Sarra Namane and Imed Ben Dhaou
Energies 2026, 19(6), 1517; https://doi.org/10.3390/en19061517 - 19 Mar 2026
Viewed by 275
Abstract
Background: Blockchain and Multi-Agent System (MAS) are increasingly combined to support decentralized, secure, and autonomous peer-to-peer energy trading in microgrid environments. Objectives: This systematic review investigates how blockchain and MAS are integrated to support microgrid energy trading, identifies architectural and operational models, examines [...] Read more.
Background: Blockchain and Multi-Agent System (MAS) are increasingly combined to support decentralized, secure, and autonomous peer-to-peer energy trading in microgrid environments. Objectives: This systematic review investigates how blockchain and MAS are integrated to support microgrid energy trading, identifies architectural and operational models, examines real-world implementations, and highlights technical, regulatory, and security challenges. Unlike prior reviews that focus on blockchain or MAS in isolation, this study provides a unified and comparative analysis of their joint integration. Methods: Following PRISMA 2020 guidelines, a systematic search was conducted in IEEE Xplore, ACM Digital Library, and ScienceDirect, with the last search performed on 10 January 2025. Eligible studies focused on blockchain–MAS integration in microgrid energy trading; non-energy and non-microgrid applications were excluded. Study selection was performed independently by two reviewers, and methodological quality was assessed using an adapted Joanna Briggs Institute (JBI) checklist. A narrative synthesis categorized integration levels, blockchain platforms, MAS roles, and implementation contexts. Results: A total of 104 studies were included. Three dominant integration levels were identified—basic, intermediate, and advanced—distinguished by how decision-making responsibilities are distributed between MAS and smart contracts. Ethereum and Hyperledger Fabric were the most commonly used platforms. MAS agents perform concrete operational functions such as bid and offer generation, price negotiation, matching, and local energy optimization, fundamentally transforming control and monitoring processes. By enabling distributed, intelligent agents to perform real-time sensing, analysis, and response, an MAS enhances system resilience and adaptability. This architecture allows for proactive fault detection, dynamic resource allocation, and coherent, large-scale operations without centralized bottlenecks. Blockchain ensured transparency, trust, and secure transaction execution. Major challenges include scalability constraints, interoperability limitations with legacy grids, regulatory uncertainty, and real-time performance issues. Limitations: Most included studies were simulation-based, with limited real-world deployment and substantial heterogeneity in evaluation metrics. Conclusions: Blockchain–MAS integration shows strong potential for secure, transparent, and decentralized microgrid energy trading. Addressing scalability, regulatory frameworks, and interoperability is essential for large-scale adoption. Future research should emphasize real-world validation, standardized integration architectures, and AI-enabled MAS optimization. Funding: No external funding. Registration: This systematic review was not registered. Full article
(This article belongs to the Section A1: Smart Grids and Microgrids)
Show Figures

Figure 1

16 pages, 4745 KB  
Article
Automated Construction of a Multi-Dialectal Saudi Corpus Using Generative Language Models
by Khalid Almeman
Electronics 2026, 15(6), 1241; https://doi.org/10.3390/electronics15061241 - 17 Mar 2026
Viewed by 212
Abstract
The lack of high-quality linguistic resources, especially large and diverse Arabic dialect corpora, is a major challenge in the development of Natural Language Processing (NLP) applications. By taking advantage of the generative power of Large Language Models (LLMs), this research proposes an efficient [...] Read more.
The lack of high-quality linguistic resources, especially large and diverse Arabic dialect corpora, is a major challenge in the development of Natural Language Processing (NLP) applications. By taking advantage of the generative power of Large Language Models (LLMs), this research proposes an efficient approach for the automatic construction of a large-scale corpus of Saudi dialects. We specifically translated 51,840 sentences from Modern Standard Arabic (MSA) into three major Saudi dialects: Qassim (Central), Makkah/Jeddah (Western), and Al-Ahsa (Eastern) using Google’s Gemini 1.5 Pro model. Only two items were flagged by the system as invalid outputs and removed, yielding a pipeline-level invalid output rate below 0.01%. Both quantitative and qualitative differences between MSA and its dialects were discovered through extensive linguistic analyses. Although dialectal sentences had significantly higher lexical density and type token ratios, they were always shorter and more concise. These results suggest that the generated dialectal outputs reflect expected tendencies of informal registers in this controlled, domain-specific setting, while highlighting persistent challenges for dialectal NLP—particularly orthographic variation and the lack of standardized spelling. Full article
(This article belongs to the Special Issue Low-Resource Languages in the Age of Large Language Models)
Show Figures

Figure 1

20 pages, 5069 KB  
Article
Mapping Sheep and Goat Biodiversity in the Apulia Region: The LOCAL Project
by Antonella Santillo, Martina di Corcia, Elena Ciani and Marzia Albenzio
Agriculture 2026, 16(6), 673; https://doi.org/10.3390/agriculture16060673 - 16 Mar 2026
Viewed by 275
Abstract
The LOCAL project, ‘Biodiversity and enhancement of local sheep and goat genotypes with a predominant aptitude for milk production’, was developed in the Apulia region of Southern Italy. It adopted a multidisciplinary scientific approach to address the conservation of native sheep and goat [...] Read more.
The LOCAL project, ‘Biodiversity and enhancement of local sheep and goat genotypes with a predominant aptitude for milk production’, was developed in the Apulia region of Southern Italy. It adopted a multidisciplinary scientific approach to address the conservation of native sheep and goat breeds, and it aimed to engage a wide and diverse audience to contribute to the development of the territory. This work outlines some of the project’s objectives and, in particular, the activities relating to the historical documentation, census and morphological characteristics of four breeds: the Gentile di Puglia sheep and the Grigia del Subappennino Dauno, Capestrano Pugliese and Antica Murgiana goat breeds. The project’s results enabled the four breeds to be registered in the Regional Register of Animal Genetic Resources, paving the way for further initiatives aimed at implementing in situ and ex situ conservation of the breeds’ genetic heritage. Furthermore, the paper presents actions aimed at raising awareness of the importance of animal biodiversity and native populations, with a particular focus on education, tourism, and productive services. Full article
(This article belongs to the Special Issue Conservation Strategies for Local Animal Breeds)
Show Figures

Figure 1

29 pages, 2188 KB  
Review
Post-Quantum Authentication in the Internet of Medical Things: A System-Level Review and Future Directions
by Fatima G. Abdullah and Tayseer S. Atia
Computers 2026, 15(3), 189; https://doi.org/10.3390/computers15030189 - 15 Mar 2026
Viewed by 344
Abstract
The Internet of Medical Things (IoMT) has become a core component of modern healthcare infrastructures, enabling continuous patient monitoring, remote diagnostics, and data-driven clinical decision-making. Despite these advances, authentication in IoMT environments remains a critical security challenge, intensified by strict resource constraints of [...] Read more.
The Internet of Medical Things (IoMT) has become a core component of modern healthcare infrastructures, enabling continuous patient monitoring, remote diagnostics, and data-driven clinical decision-making. Despite these advances, authentication in IoMT environments remains a critical security challenge, intensified by strict resource constraints of medical devices and the emerging threat posed by quantum computing to classical cryptographic techniques. This systematic review investigates authentication mechanisms in IoMT from both post-quantum and system-level perspectives. A structured literature review was conducted using a PRISMA-informed methodology across major scientific databases, including IEEE Xplore, ACM Digital Library, SpringerLink, ScienceDirect, and MDPI. From an initial set of 95 records, 63 studies were selected for qualitative synthesis following screening and eligibility assessment. To organise existing research, this study introduces a multi-dimensional classification framework that categorises authentication solutions according to cryptographic paradigm (classical, hybrid, and post-quantum), deployment architecture, system objectives, and clinical operational constraints. The comparative synthesis demonstrates important trade-offs between security strength, latency, computational overhead, and energy consumption that are frequently underexplored in the existing literature. Furthermore, the analysis identifies key research gaps related to scalability in heterogeneous medical environments, trust establishment across administrative and clinical domains, usability under strict timing constraints, and resilience against quantum-capable adversaries. Based on these findings, future research directions are outlined toward adaptive, lightweight, and context-aware post-quantum authentication frameworks designed for real-world IoMT deployments. Limitations of this review include restriction to English-language publications and selected databases. This study received no external funding, and the review protocol was not formally registered. Full article
(This article belongs to the Section ICT Infrastructures for Cybersecurity)
Show Figures

Figure 1

14 pages, 3237 KB  
Article
SAF-PUF: A Strong PUF with Zero-BER, ML-Resilience and Dynamic Key Concealment Enabled by RRAM Stuck-at-Faults
by Qianwu Zhang, Bingyang Zheng, Lin-Sheng Wu and Xin Zhao
Appl. Sci. 2026, 16(6), 2817; https://doi.org/10.3390/app16062817 - 15 Mar 2026
Viewed by 166
Abstract
Targeting resource-constrained Internet of Things (IoT) devices, this paper proposes Stuck-at-Fault Physical Unclonable Function (SAF-PUF), a lightweight Resistive Random-Access Memory (RRAM)-based PUF that exploits the intrinsic addresses of manufacturing-induced SAF defects as a stable entropy source. By using the coordinates of Stuck-at-1 (SA1) [...] Read more.
Targeting resource-constrained Internet of Things (IoT) devices, this paper proposes Stuck-at-Fault Physical Unclonable Function (SAF-PUF), a lightweight Resistive Random-Access Memory (RRAM)-based PUF that exploits the intrinsic addresses of manufacturing-induced SAF defects as a stable entropy source. By using the coordinates of Stuck-at-1 (SA1) cells to seed a 32-bit Linear Feedback Shift Register (LFSR), SAF-PUF generates robust, variable-length responses with zero Bit Error Rate (BER) across a wide temperature range from −40 °C to 125 °C, without any error-correction circuitry. Experimental results based on 100,000 Challenge–Response Pairs (CRPs) demonstrate strong resilience against machine learning (ML) attacks, with prediction accuracies of logistic regression (LR), support vector machines (SVM), neural networks (NN) and convolutional neural networks (CNNs) remaining close to 50%. Moreover, a “use-then-conceal” mechanism is introduced to enhance post-authentication security, enabling response obfuscation with minimal cell reconfiguration. These features make SAF-PUF a high-security, low-overhead hardware root of trust suitable for IoT applications. Full article
(This article belongs to the Section Electrical, Electronics and Communications Engineering)
Show Figures

Figure 1

16 pages, 426 KB  
Article
Ethical Issues Among Medical Professionals During the COVID-19 Pandemic: An Indian Cross-Sectional Study
by Padmakumar Krishnankutty Nair, Russell F. Dsouza, Ivone Duarte and Rui Nunes
COVID 2026, 6(3), 48; https://doi.org/10.3390/covid6030048 - 13 Mar 2026
Viewed by 190
Abstract
Introduction: Healthcare institutions and care providers, including medical professionals, were at the forefront of the rapid response to the challenges of the pandemic. As medical professionals across the country actively fought the COVID-19 pandemic, many ethical, social, and legal challenges arose that had [...] Read more.
Introduction: Healthcare institutions and care providers, including medical professionals, were at the forefront of the rapid response to the challenges of the pandemic. As medical professionals across the country actively fought the COVID-19 pandemic, many ethical, social, and legal challenges arose that had not been previously encountered. This study was conducted to determine the ethical challenges and dilemmas faced by medical professionals during the COVID-19 pandemic. Materials and Methods: A descriptive cross-sectional questionnaire-based survey was conducted among the registered medical practitioners in the year 2022. The study setting included health care institutions in India where COVID patients were treated. Results: 558 participants took part in this study. The availability of personal protective equipment was sufficient in 519 (93%) of cases, while 39 (7%) of respondents reported insufficient quantities of personal protective equipment. Overall, 318 (56.99%) respondents were comfortable with their duty patterns, and 435 (77.96%) medical professionals received clear-cut and updated guidelines for practicing safely; 534 (95.70%) completed both doses of vaccines available at that time in India. Conclusions: Indian medical professionals experienced substantial ethical, occupational, and psychological challenges during the COVID-19 pandemic, despite the high availability of protective equipment and vaccination coverage. Resource allocation dilemmas, demanding duty patterns, and psychological distress during quarantine underscore the need for stronger institutional support, clear guidelines, and mental health interventions during future public health crises. Full article
(This article belongs to the Section COVID Public Health and Epidemiology)
Show Figures

Figure 1

24 pages, 2003 KB  
Article
Multi-Memory Approach for Random Number Generators in FPGA
by Thiago Campos Acácio Paschoalin, Tiago Motta Quirino and Luciano Manhães de Andrade Filho
Appl. Sci. 2026, 16(5), 2537; https://doi.org/10.3390/app16052537 - 6 Mar 2026
Viewed by 254
Abstract
Random number generation is essential in many application domains, including high-energy physics simulations. Implementing Monte Carlo methods that generate samples following a desired probability distribution is particularly challenging on hardware platforms such as FPGAs. Direct implementations of analytical distribution functions are often resource-intensive, [...] Read more.
Random number generation is essential in many application domains, including high-energy physics simulations. Implementing Monte Carlo methods that generate samples following a desired probability distribution is particularly challenging on hardware platforms such as FPGAs. Direct implementations of analytical distribution functions are often resource-intensive, making them impractical for real-time systems. An efficient alternative is the use of the inverse cumulative distribution function (CDF), which can be implemented using look-up tables (LUTs). In this approach, a uniformly distributed random number—generated by Linear Feedback Shift Registers (LFSRs)—is used as an address to access LUTs containing discretized x-axis values of the CDF, thereby yielding the target random variable. However, this method presents limited accuracy in low-probability regions of the distribution. To address this issue, this paper proposes a segmented CDF implementation based on multiple LUTs, improving resolution in poorly sampled regions. A cascade of decision logic selects the appropriate memory output, increasing resolution only where necessary while optimizing memory usage. The proposed method was validated through Monte Carlo simulations in particle physics applications, achieving close agreement with theoretical distributions while requiring limited FPGA resources and no DSP blocks. Full article
Show Figures

Figure 1

15 pages, 328 KB  
Article
Socioeconomic Status and Self-Rated Health in Older Adults with Disabilities: A Mediation Analysis of Reserve Capacity Using the Korea Welfare Panel Study
by Sanghyun Park and Joonhee Ahn
Soc. Sci. 2026, 15(2), 144; https://doi.org/10.3390/socsci15020144 - 23 Feb 2026
Viewed by 281
Abstract
Older adults with disabilities face compounded vulnerabilities due to both functional limitations and socioeconomic disadvantage. In South Korea, where public welfare systems remain fragmented and cultural values emphasize independence and productivity, understanding the mechanisms linking socioeconomic status (SES) to health outcomes is critical. [...] Read more.
Older adults with disabilities face compounded vulnerabilities due to both functional limitations and socioeconomic disadvantage. In South Korea, where public welfare systems remain fragmented and cultural values emphasize independence and productivity, understanding the mechanisms linking socioeconomic status (SES) to health outcomes is critical. This study investigates whether reserve capacity mediates the relationship between SES and self-rated health (SRH) in older adults with disabilities. Data were drawn from the supplementary survey on people with disabilities in the 18th wave (2023) of the Korea Welfare Panel Study (KWePS). The analytic sample included older adults aged 65 and above with registered disabilities. A multiple mediation analysis was conducted using Model 4 of the PROCESS macro in SPSS to examine whether three dimensions of reserve capacity—intrapsychic resources (self-esteem), interpersonal resources (social support satisfaction), and tangible resources (use of public disability services)—mediated the relationship between SES and SRH. Demographic and health-related covariates were statistically controlled. The results are as follows: The direct effect of SES on SRH was not significant; however, significant indirect effects were found through all three mediators. Higher SES was positively associated with intrapsychic and interpersonal resources and negatively associated with tangible resource use. Among the mediators, interpersonal resources had the strongest positive effect on SRH, while tangible resources showed a negative association—possibly due to compensatory activation or increased disease awareness among service users. The findings highlight the importance of psychosocial and relational resources in shaping perceived health among disabled older adults in Korea. Policy interventions should move beyond material assistance and focus on strengthening social networks and psychological resilience to reduce health disparities in this population. Full article
Show Figures

Figure 1

22 pages, 579 KB  
Article
How Environmental Management Systems Enable Sustainability Transition: The Roles of Green Transition and Policy Support in Driving Circular Product Innovation
by Nabila Albannai, Ahmad Bassam Alzubi and Hasan Yousef Aljuhmani
Sustainability 2026, 18(4), 2060; https://doi.org/10.3390/su18042060 - 18 Feb 2026
Cited by 1 | Viewed by 323
Abstract
This study examines how environmental management systems (EMSs) function as information-based organizational capabilities that drive circular product innovation in manufacturing SMEs operating in an emerging economy. Grounded in the resource-based view (RBV) and institutional theory, the study develops and empirically tests a model [...] Read more.
This study examines how environmental management systems (EMSs) function as information-based organizational capabilities that drive circular product innovation in manufacturing SMEs operating in an emerging economy. Grounded in the resource-based view (RBV) and institutional theory, the study develops and empirically tests a model linking EMSs to circular-oriented product innovation through the mediating role of green transition, while assessing the moderating influence of policy support. Data were collected through a cross-sectional survey administered in two temporally separated phases to mitigate common method bias, targeting senior managers of ISO 14001-certified manufacturing SMEs registered in the Turkish Trade Register Gazette. A total of 511 valid responses were analyzed. Measurement reliability and validity were established using confirmatory factor analysis, and hypotheses were tested via Hayes’ PROCESS macro. The results indicate that an EMS significantly enhances circular product innovation both directly and indirectly. Green transition emerges as a strong partial mediator, explaining a substantial share of the total effect, highlighting its critical role in translating environmental information, routines, and capabilities into product-level circular outcomes. While organizational sustainability policy does not moderate the EMS–green transition relationship, policy support significantly strengthens the impact of green transition on circular product innovation. Firms operating within more supportive policy environments achieve substantially higher levels of circular innovation. Overall, the study advances the understanding of how information system-enabled capabilities and supportive institutional conditions jointly shape sustainability transitions, offering insights for managers and policymakers seeking to foster circular innovation in manufacturing SMEs. Full article
Show Figures

Figure 1

12 pages, 237 KB  
Article
The House of Villafañe of Santiago del Molinillo: Hidalguía, Kinship, and Long-Term Social Reproduction Between Castile and Spanish America (15th–20th Centuries)
by Valentina Villafañe and Jorge Hugo Villafañe
Genealogy 2026, 10(1), 26; https://doi.org/10.3390/genealogy10010026 - 13 Feb 2026
Viewed by 312
Abstract
This article examines how minor noble houses in the Hispanic world sustained social status under economic constraint and changing institutional regimes. Using the House of Villafañe of Santiago del Molinillo (Kingdom of León) as a case study, it conceptualizes the Casa as a [...] Read more.
This article examines how minor noble houses in the Hispanic world sustained social status under economic constraint and changing institutional regimes. Using the House of Villafañe of Santiago del Molinillo (Kingdom of León) as a case study, it conceptualizes the Casa as a social, patrimonial, and symbolic formation rather than a strictly genealogical lineage. The study combines a long-duration perspective with microhistorical analysis and historical genealogy, drawing on notarial documentation, parish registers, population censuses, and litigation concerning hidalgo status in both Castilian and colonial settings. The findings show that the house’s continuity rested on adaptive strategies: the regulation of kinship, selective marriage alliances, flexible patrimonial arrangements, institutional participation, and the mobilization of symbolic resources such as lineage memory and public recognition of noble condition. The article further demonstrates that Atlantic mobility to colonial La Rioja and Cordova (Argentina) did not constitute a rupture, but extended established practices of social reproduction into new legal and social environments. The House of Villafañe emerges as a resilient collective actor that transformed structural constraints and geographic mobility into resources for long-term continuity, offering a productive scale for analyzing social reproduction and inequality in the Hispanic world. Full article
18 pages, 3832 KB  
Article
Water and Death: Ecology and Biohistory in the Southeast of Spain
by María López-Barquero, José-Miguel Abad-González and Ramón García-Marín
Water 2026, 18(4), 480; https://doi.org/10.3390/w18040480 - 13 Feb 2026
Viewed by 733
Abstract
This study examines the historical relationship between water management and epidemic diseases in the Region of Murcia (Southeast Spain) between the 16th and 19th centuries. It focuses on two major pathologies—yellow fever and cholera—which, despite differing transmission mechanisms (vector-borne and waterborne, respectively), both [...] Read more.
This study examines the historical relationship between water management and epidemic diseases in the Region of Murcia (Southeast Spain) between the 16th and 19th centuries. It focuses on two major pathologies—yellow fever and cholera—which, despite differing transmission mechanisms (vector-borne and waterborne, respectively), both depended critically on aquatic and semi-endorheic ecosystems. By analysing archival records, parish death registers, and historical reports of floods and droughts, the paper demonstrates how inadequate hydraulic infrastructure and poor sanitation practices intensified epidemic outbreaks. At least five large-scale epidemic episodes (1804, 1834, 1854, 1865, and 1885) coincided with extreme hydrological events, indicating a clear correlation between water governance failures and mortality peaks. Conversely, periods of effective state intervention through regulation and infrastructure maintenance reveal a marked reduction in disease incidence. The results highlight that water governance was not only a technical challenge but also a socio-political determinant of public health. These historical insights remain relevant today, particularly as climate change exacerbates water-related risks worldwide. Understanding the long-term interactions between ecology, infrastructure, and disease contributes to current debates on environmental resilience and sustainable management of water resources as key components of collective health and social stability. Full article
(This article belongs to the Section Water and One Health)
Show Figures

Graphical abstract

15 pages, 266 KB  
Article
Evaluating a Tailored Quality Improvement Intervention to Improve Vaccination Coverage in Sydney Residential Aged Care Facilities
by Courtney McGregor, Lauren Tillman, Lisa Maude, Karen Chee, Caitlin Swift, Leigh McIndoe, Mark Ferson, Brendan Goodger, Kira Wright and Vicky Sheppeard
Vaccines 2026, 14(2), 171; https://doi.org/10.3390/vaccines14020171 - 12 Feb 2026
Viewed by 491
Abstract
Background/Objectives: Aged care residents are highly vulnerable to vaccine-preventable diseases. Despite recommendations and funding under Australian programs, vaccination rates among residents for COVID-19, influenza, pneumococcal and shingles remain sub-optimal. The aim of this work was to assess if tailored quality improvement interventions would [...] Read more.
Background/Objectives: Aged care residents are highly vulnerable to vaccine-preventable diseases. Despite recommendations and funding under Australian programs, vaccination rates among residents for COVID-19, influenza, pneumococcal and shingles remain sub-optimal. The aim of this work was to assess if tailored quality improvement interventions would improve vaccination coverage in aged care residents. Methods: This was a quality improvement initiative evaluated using a quasi-experimental pre–post design. Building on previously identified barriers and enablers, a package of interventions and resources was developed to support consent processes, vaccination planning, and tracking. Pre- and post-intervention vaccination coverage was assessed using resident lists from participating aged care facilities and data extracted from the Australian Immunisation Register (AIR) at two time points, 14 months apart. A process evaluation survey was distributed to RACF staff. Results: Of the 6964 residents listed, 5153 (74%) remained registered in AIR when data was extracted post-intervention. Shingles showed the greatest improvement in absolute difference (+23.4%), followed by pneumococcal (+14.2%) and influenza (+10.9%), despite a high baseline of 68.5%. COVID-19 coverage declined by 7.4% when applying a 6-month reporting interval. Twenty-five staff completed the process evaluation survey; 45% of respondents identified discrepancies between AIR data and internal records, indicating underreporting by external providers. Interventions including the consent template and vaccination tracker were reported as useful and were used to support local vaccination. Conclusions: This quality improvement initiative improved coverage for three of the four recommended and funded vaccines for RACF residents and demonstrated the value of tailored interventions informed by consumer and provider feedback. The approach potentially offers a scalable model for improving vaccination rates in aged care across Australia. Full article
(This article belongs to the Section Vaccines and Public Health)
16 pages, 8738 KB  
Article
Genotype by Environment Interaction and Selection for Ethylene Insensitivity in Ornamental Pepper Elite Lines (Capsicum annuum L.)
by Elizanilda Ramalho do Rêgo, Ruan dos Santos Silva, Angela Maria dos Santos Pessoa, Eliane Cristina Arcelino, Adriele Carlos Diniz, Fernando Luiz Finger and Mailson Monteiro do Rêgo
Agronomy 2026, 16(4), 421; https://doi.org/10.3390/agronomy16040421 - 9 Feb 2026
Viewed by 451
Abstract
Capsicum species are important ornamental plants used as potted plants. Exposure to ethylene causes chlorophyll degradation and leaf and fruit abscission in ornamental peppers, resulting in a loss of their commercial value. The aim of this study was to evaluate pepper elite lines [...] Read more.
Capsicum species are important ornamental plants used as potted plants. Exposure to ethylene causes chlorophyll degradation and leaf and fruit abscission in ornamental peppers, resulting in a loss of their commercial value. The aim of this study was to evaluate pepper elite lines (C. annuum L.) to select ethylene-insensitive individuals with phenotypic stability. The experimental design used was entirely randomized, with 40 treatments × 3 days and ×2 years, following a split-split plot arrangement. The evaluated variables were leaves and fruit abscission, and chlorophyll a and b loss, expressed in percentages. The data were subjected to analysis of variance. The means were grouped by Scott–Knott criteria (p ≤ 0.01). Correlation and heritability were also estimated. The treatments were grouped using the Tocher method based on Mahalanobis-D2 distance. A selection index was applied on lower genetic values for all evaluated variables. Through two-year replicated experiments, 12 ethylene-insensitive and phenotypically stable elite lines were identified and can be registered as new ethylene-insensitive cultivars. This fact confirms the efficiency of the selection applied along the years of breeding ethylene-insensitive lines using the pedigree method. Consequently, these elite lines are key genetic resources and suitable crossing material for breeding to improve the vase life of ornamental peppers. Full article
Show Figures

Figure 1

Back to TopTop