Sign in to use this feature.

Years

Between: -

Subjects

remove_circle_outline
remove_circle_outline
remove_circle_outline
remove_circle_outline
remove_circle_outline
remove_circle_outline
remove_circle_outline

Journals

Article Types

Countries / Regions

Search Results (22)

Search Parameters:
Keywords = regenerative braking logic

Order results
Result details
Results per page
Select all
Export citation of selected articles as:
45 pages, 13450 KB  
Review
System Integration to Intelligent Control: State of the Art and Future Trends of Electric Vehicle Regenerative Braking Systems
by Bin Huang, Wenbin Yu, Zhuang Wu, Ansheng Yang and Jinyu Wei
Energies 2025, 18(19), 5109; https://doi.org/10.3390/en18195109 - 25 Sep 2025
Viewed by 738
Abstract
With the rapid development of the electric vehicle (EV) industry, the regenerative braking system (RBS) has become a pivotal technology for enhancing overall vehicle energy efficiency and safety. This article systematically reviews recent research advances, spanning macro-architecture, drive and energy-storage hardware, control strategies, [...] Read more.
With the rapid development of the electric vehicle (EV) industry, the regenerative braking system (RBS) has become a pivotal technology for enhancing overall vehicle energy efficiency and safety. This article systematically reviews recent research advances, spanning macro-architecture, drive and energy-storage hardware, control strategies, and evaluation frameworks. It focuses on comparing the mechanisms and performance of six categories of intelligent control algorithms—fuzzy logic, neural networks, model predictive control, sliding-mode control, adaptive control, and learning-based algorithms—and, leveraging the structural advantages of four-wheel independent drive (4WID) electric vehicles, quantitatively analyzes improvements in energy-recovery efficiency and coordinated vehicle-dynamics control. The review further discusses how high-power-density motors, hybrid energy storage, brake-by-wire systems, and vehicle-road cooperation are pushing the upper limits of RBS performance, while revealing current technical bottlenecks in high-power recovery at low speeds, battery thermal safety, high-dimensional real-time optimization, and unified evaluation standards. A closed-loop evolutionary roadmap is proposed, consisting of the following stages: system integration, intelligent control, scenario prediction, hardware upgrading, and standard evaluation. This roadmap emphasizes the central roles of deep reinforcement learning, hierarchical model predictive control (MPC), and predictive energy management in the development of next-generation RBS. This review provides a comprehensive and forward-looking reference framework, aiming to accelerate the deployment of efficient, safe, and intelligent regenerative braking technologies. Full article
Show Figures

Figure 1

34 pages, 1638 KB  
Review
Recent Advances in Bidirectional Converters and Regenerative Braking Systems in Electric Vehicles
by Hamid Naseem and Jul-Ki Seok
Actuators 2025, 14(7), 347; https://doi.org/10.3390/act14070347 - 14 Jul 2025
Cited by 2 | Viewed by 4204
Abstract
As electric vehicles (EVs) continue to advance toward widespread adoption, innovations in power electronics are playing a pivotal role in improving efficiency, performance, and sustainability. This review presents recent progress in bidirectional converters and regenerative braking systems (RBSs), highlighting their contributions to energy [...] Read more.
As electric vehicles (EVs) continue to advance toward widespread adoption, innovations in power electronics are playing a pivotal role in improving efficiency, performance, and sustainability. This review presents recent progress in bidirectional converters and regenerative braking systems (RBSs), highlighting their contributions to energy recovery, battery longevity, and vehicle-to-grid integration. Bidirectional converters support two-way energy flow, enabling efficient regenerative braking and advanced charging capabilities. The integration of wide-bandgap semiconductors, such as silicon carbide and gallium nitride, further enhances power density and thermal performance. The paper evaluates various converter topologies, including single-stage and multi-stage architectures, and assesses their suitability for high-voltage EV platforms. Intelligent control strategies, including fuzzy logic, neural networks, and sliding mode control, are discussed for optimizing braking force and maximizing energy recuperation. In addition, the paper explores the influence of regenerative braking on battery degradation and presents hybrid energy storage systems and AI-based methods as mitigation strategies. Special emphasis is placed on the integration of RBSs in advanced electric vehicle platforms, including autonomous systems. The review concludes by identifying current challenges, emerging trends, and key design considerations to inform future research and practical implementation in electric vehicle energy systems. Full article
(This article belongs to the Special Issue Feature Papers in Actuators for Surface Vehicles)
Show Figures

Figure 1

17 pages, 4739 KB  
Article
Two-Stage Integrated Optimization Design of Reversible Traction Power Supply System
by Xiaodong Zhang, Wei Liu, Qian Xu, Zhuoxin Yang, Dingxin Xia and Haonan Liu
Energies 2025, 18(3), 703; https://doi.org/10.3390/en18030703 - 3 Feb 2025
Viewed by 1215
Abstract
In a traction power supply system, the design of traction substations significantly influences both the system’s operational stability and investment costs, while the energy management strategy of the flexible substations affects the overall operational expenses. This study proposes a novel two-stage system optimization [...] Read more.
In a traction power supply system, the design of traction substations significantly influences both the system’s operational stability and investment costs, while the energy management strategy of the flexible substations affects the overall operational expenses. This study proposes a novel two-stage system optimization design method that addresses both the configuration of the system and the control parameters of traction substations. The first stage of the optimization focuses on the system configuration, including the optimal location and capacity of traction substations. In the second stage, the control parameters of the traction substations, particularly the droop rate of reversible converters, are optimized to improve regenerative braking energy utilization by applying a fuzzy logic-based adjustment strategy. The optimization process aims to minimize the total annual system cost, incorporating traction network parameters, power supply equipment costs, and electricity expenses. The parallel cheetah algorithm is employed to solve this complex optimization problem. Simulation results for Metro Line 9 show that the proposed method reduces the total annual project costs by 5.8%, demonstrating its effectiveness in both energy efficiency and cost reduction. Full article
(This article belongs to the Section F: Electrical Engineering)
Show Figures

Figure 1

16 pages, 4404 KB  
Article
Dual-Fuzzy Regenerative Braking Control Strategy Based on Braking Intention Recognition
by Yaning Qin, Zhu’an Zheng and Jialing Chen
World Electr. Veh. J. 2024, 15(11), 524; https://doi.org/10.3390/wevj15110524 - 14 Nov 2024
Cited by 3 | Viewed by 1704
Abstract
Regenerative braking energy recovery is of critical importance for electric vehicles due to their range limitations. To further enhance regenerative braking energy recovery, a dual-fuzzy regenerative braking control strategy based on braking intention recognition is proposed. Firstly, the distribution strategy for braking force [...] Read more.
Regenerative braking energy recovery is of critical importance for electric vehicles due to their range limitations. To further enhance regenerative braking energy recovery, a dual-fuzzy regenerative braking control strategy based on braking intention recognition is proposed. Firstly, the distribution strategy for braking force is devised by considering classical curves like ideal braking force allocation and ECE regulations; secondly, taking the brake pedal opening and its opening change rate as inputs, the braking intention recognition fuzzy controller is designed for outputting braking strength. Based on the recognized braking strength, and considering the battery charging state and the speed of the vehicle as inputs, a regenerative braking duty ratio fuzzy controller is developed for regenerative braking force regulation to improve energy recovery. Furthermore, a control experiment is established to evaluate and compare the four models and their respective nine braking modes, aiming to define the dual fuzzy logic controller model. Ultimately, simulation validation is conducted using Matlab/Simulink R2019b and CRUISE 2019. The results show that the strategy in this paper has higher energy savings compared to the single fuzzy control and parallel control methods, with energy recovery improved by 26.26 kJ and 96.13 kJ under a single New European Driving Cycle (NEDC), respectively. Full article
Show Figures

Figure 1

25 pages, 10935 KB  
Article
Fuzzy Logic-Based Energy Management System for Regenerative Braking of Electric Vehicles with Hybrid Energy Storage System
by Mehmet Şen, Muciz Özcan and Yasin Ramazan Eker
Appl. Sci. 2024, 14(7), 3077; https://doi.org/10.3390/app14073077 - 6 Apr 2024
Cited by 15 | Viewed by 3089
Abstract
Electric vehicles (EVs), which are environmentally friendly, have been used to minimize the global warming caused by fossil fuels used in vehicles and increasing fuel prices due to the decrease in fossil resources. Considering that the energy used in EVs is obtained from [...] Read more.
Electric vehicles (EVs), which are environmentally friendly, have been used to minimize the global warming caused by fossil fuels used in vehicles and increasing fuel prices due to the decrease in fossil resources. Considering that the energy used in EVs is obtained from fossil resources, it is also important to store and use energy efficiently in EVs. In this context, recovery from a regenerative braking system plays an important role in EV energy efficiency. This paper presents a fuzzy logic-based hybrid storage technique consisting of a supercapacitor (SC) and battery for efficient and safe storage of a regenerative braking system. First, the constraints of the battery to be used in the EV for fuzzy logic control are identified. Then, the fuzzy logic system is created and tested in the ADVISOR and Siemens Simcenter Flomaster programs in the New European Driving Cycle (NEDC) driving cycle. A SC was selected for primary storage to prevent the battery from being continuously charged from regenerative braking, thus reducing its lifetime. In cases where the vehicle consumes more energy than the average energy consumption, energy consumption from the battery is reduced by using the energy stored in the SC, and the SC energy is discharged, making preparations for the energy that will come from the next regenerative braking. Thus, the high current values transferred to the battery during regenerative braking are effectively limited by the SC. In this study, the current values on the battery in the EV with a hybrid storage system decreased by 29.1% in the ADVISOR program and 28.7% in the Simcenter Flomaster program. In addition, the battery generated 46.84% less heat in the hybrid storage system. Thus, the heating and capacity losses caused by this current on the battery were minimized. The presented method provides more efficient energy management for EVs and plays an important role in maintaining battery health. Full article
Show Figures

Figure 1

30 pages, 6212 KB  
Article
A Novel Tri-Mode Bidirectional DC–DC Converter for Enhancing Regenerative Braking Efficiency and Speed Control in Electric Vehicles
by Noah Dias, Anant J. Naik and Vinayak N. Shet
World Electr. Veh. J. 2024, 15(1), 12; https://doi.org/10.3390/wevj15010012 - 2 Jan 2024
Cited by 8 | Viewed by 9557
Abstract
A bidirectional dc–dc converter is used to match the voltage levels between a low-voltage battery and a high-voltage traction machine in an electric vehicle. Using a conventional bidirectional converter with a standard voltage range, there is a limitation to the fine variation in [...] Read more.
A bidirectional dc–dc converter is used to match the voltage levels between a low-voltage battery and a high-voltage traction machine in an electric vehicle. Using a conventional bidirectional converter with a standard voltage range, there is a limitation to the fine variation in the electric vehicle speed. During the regenerative braking process, when the speed decreases below a certain value, the generated voltage is insufficient to charge the battery, hence the regenerated energy cannot be stored. This paper proposes a novel bidirectional converter featuring three distinct operational modes: boost, buck and buck-boost. In the normal driving mode, it operates as a boost converter, providing double gain and accommodating a wide voltage range. During regenerative braking, the proposed converter switches to the buck or buck-boost mode based on the control algorithm. This adaptation is intended to either decrease the generated voltage to charge the battery effectively or to raise the voltage if it is insufficient for charging the battery. This configuration provides voltage stress of half the dc link voltage on the switches. This paper provides a comprehensive analysis of the proposed circuit, a detailed description of the control strategy with pulse generation logic for all switches and a mode transition algorithm. The simulation results of a circuit operating at a 1500 W power level are presented and compared with those of a standard bidirectional converter. Full article
(This article belongs to the Special Issue Power Electronics for Electric Vehicles)
Show Figures

Figure 1

33 pages, 4235 KB  
Article
A Logic Threshold Control Strategy to Improve the Regenerative Braking Energy Recovery of Electric Vehicles
by Zongjun Yin, Xuegang Ma, Chunying Zhang, Rong Su and Qingqing Wang
Sustainability 2023, 15(24), 16850; https://doi.org/10.3390/su152416850 - 14 Dec 2023
Cited by 10 | Viewed by 5170
Abstract
With increasing global attention to climate change and environmental sustainability, the sustainable development of the automotive industry has become an important issue. This study focuses on the regenerative braking issues in pure electric vehicles. Specifically, it intends to elucidate the influence of the [...] Read more.
With increasing global attention to climate change and environmental sustainability, the sustainable development of the automotive industry has become an important issue. This study focuses on the regenerative braking issues in pure electric vehicles. Specifically, it intends to elucidate the influence of the braking force distribution of the front and rear axles on access to energy recovery efficiency. Combining the I curve of a pure electric vehicle and the boundary line of the Economic Commission of Europe (ECE) regulations, the braking force distribution relationship between the front and rear axles is formulated to satisfy braking stability. The maximum regenerative braking force of the motor is determined based on the motor torque characteristics and battery charging power, and the regenerative braking torque is optimized by combining the constraints of the braking strength, battery state of charge (SOC), and vehicle speed. Six road working conditions are built, including the New European Driving Cycle (NEDC), the World Light-Duty Vehicle Test Cycle (WLTC), Federal Test Procedure 72 (FTP-72), Federal Test Procedure 75 (FTP-75), the China Light-Duty Vehicle Test Cycle—Passenger (CLTC-P), and the New York City Cycle (NYCC). The efficiency of the regenerative braking strategy is validated by using the Simulink/MATLAB simulation. The simulation results show that the proposed dynamic logic threshold control strategy can significantly improve the energy recovery effect of electric vehicles, and the energy recovery efficiency can be improved by at least 25% compared to the situation without regenerative braking. Specifically, under the aforementioned road working conditions, the braking energy recovery efficiency levels are 27.69%, 42.18%, 49.54%, 47.60%, 49.28%, and 51.06%, respectively. Moreover, the energy recovery efficiency obtained by the current dynamic logic threshold is also compared with other published results. The regenerative braking control method proposed in this article makes the braking control of electric vehicles more precise, effectively reducing energy consumption and improving the driving range of electric vehicles. Full article
Show Figures

Figure 1

16 pages, 4325 KB  
Article
Research on Regenerative Braking Control Strategy for Single-Pedal Pure Electric Commercial Vehicles
by Zhe Li, Zhenning Shi, Jianping Gao and Jianguo Xi
World Electr. Veh. J. 2023, 14(8), 229; https://doi.org/10.3390/wevj14080229 - 18 Aug 2023
Cited by 8 | Viewed by 5175
Abstract
In recent years, with the increasing severity of energy and environmental issues, countries have vigorously developed the new energy automotive industry. To reduce the difficulty of driver operation and increase endurance mileage, this article proposes a regenerative braking control strategy for a single-pedal [...] Read more.
In recent years, with the increasing severity of energy and environmental issues, countries have vigorously developed the new energy automotive industry. To reduce the difficulty of driver operation and increase endurance mileage, this article proposes a regenerative braking control strategy for a single-pedal pure electric commercial vehicle. Firstly, the single-pedal control system’s hierarchical approach was designed to contain the driver’s intention analysis and torque calculation layers. After identifying the driver’s intention, a logic threshold method was used to determine the braking pattern. Then, a fuzzy theory was used, with road gradient, braking strength, and speed as input parameters, and the ratio coefficient of braking force as the output parameter. A hybrid regenerative braking strategy was formulated based on the ideal distribution curve. Finally, the proposed strategy was verified through simulation and a constant-speed car-following experiment. The constant-speed car-following experiment results show that the maximum optimization rate of energy consumption provided by the proposed single-pedal regenerative braking control strategy is 5.81%, and the average optimization rate is 4.33%. This strategy can effectively reduce energy consumption and improve the economic performance of single-pedal pure electric commercial vehicles. Full article
Show Figures

Figure 1

17 pages, 2767 KB  
Article
Maximizing Regenerative Braking Energy Harnessing in Electric Vehicles Using Machine Learning Techniques
by Bathala Prasanth, Rinika Paul, Deepa Kaliyaperumal, Ramani Kannan, Yellapragada Venkata Pavan Kumar, Maddikera Kalyan Chakravarthi and Nithya Venkatesan
Electronics 2023, 12(5), 1119; https://doi.org/10.3390/electronics12051119 - 24 Feb 2023
Cited by 24 | Viewed by 5828
Abstract
Innovations in electric vehicle technology have led to a need for maximum energy storage in the energy source to provide some extra kilometers. The size of electric vehicles limits the size of the batteries, thus limiting the amount of energy that can be [...] Read more.
Innovations in electric vehicle technology have led to a need for maximum energy storage in the energy source to provide some extra kilometers. The size of electric vehicles limits the size of the batteries, thus limiting the amount of energy that can be stored. Range anxiety amongst the crowd prevents the entire population from shifting to a completely electric mode of transport. The extra energy harnessed from the kinetic energy produced due to braking during deceleration is sent back to the batteries to charge them, a process known as regenerative braking, providing a longer range to the vehicle. The work proposes efficient machine learning-based methods used to harness maximum braking energy from an electric vehicle to provide longer mileage. The methods are compared to the energy harnessed using fuzzy logic and artificial neural network techniques. These techniques take into consideration the state of charge (SOC) estimation of the battery, or the supercapacitor and the brake demand, to calculate the energy harnessed from the braking power. With the proposed machine learning techniques, there has been a 59% increase in energy extraction compared to fuzzy logic and artificial neural network methods used for regenerative energy extraction. Full article
(This article belongs to the Special Issue Enabling Technologies in Electric and More Electric Transportation)
Show Figures

Figure 1

43 pages, 41791 KB  
Article
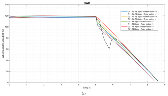
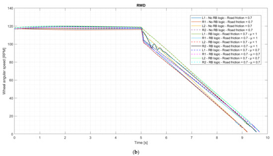
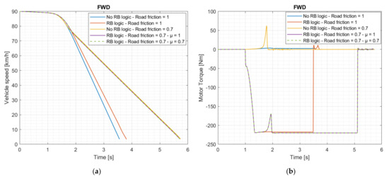
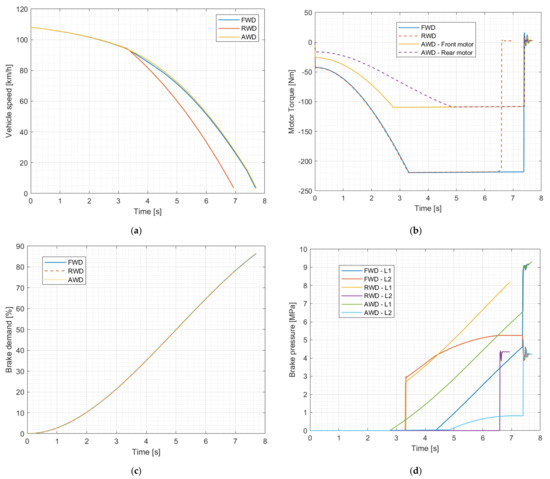
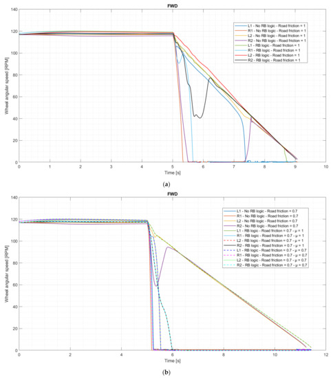
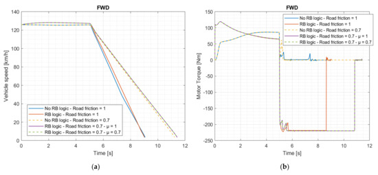
Regenerative Braking Logic That Maximizes Energy Recovery Ensuring the Vehicle Stability
by Giulia Sandrini, Daniel Chindamo and Marco Gadola
Energies 2022, 15(16), 5846; https://doi.org/10.3390/en15165846 - 11 Aug 2022
Cited by 29 | Viewed by 7966
Abstract
This paper presents a regenerative braking logic that aims to maximize the recovery of energy during braking without compromising the stability of the vehicle. This model of regenerative braking ensures that the regenerative torque of the electric motor (for front- and rear-wheel drive [...] Read more.
This paper presents a regenerative braking logic that aims to maximize the recovery of energy during braking without compromising the stability of the vehicle. This model of regenerative braking ensures that the regenerative torque of the electric motor (for front- and rear-wheel drive vehicles) or electric motors (for all-wheel drive vehicles equipped with one motor for each axle) is exploited to the maximum, avoiding the locking of the driving wheels and, subsequently, if necessary, integrating the braking with the traditional braking system. The priority of the logic is that of maximizing energy recovery under braking, followed by the pursuit of optimal braking distribution. This last aspect in particular occurs when there is an integration of braking and, for vehicles with all-wheel drive, also when choosing the distribution of regenerative torque between the two electric motors. The logic was tested via simulation on a front-, rear-, and all-wheel drive compact car, and from the simulations, it emerged that, on the WLTC driving cycle, the logic saved between 29.5 and 30.3% in consumption compared to the same vehicle without regenerative recovery, and 22.6–23.5% compared to a logic commonly adopted on the market. On cycle US06, it saves 23.9–24.4% and 19.0–19.5%, respectively. Full article
(This article belongs to the Section E: Electric Vehicles)
Show Figures

Figure 1

15 pages, 4448 KB  
Article
Regenerative Braking Control Strategy with Real-Time Wavelet Transform for Composite Energy Buses
by Qiang Lu, Wenlu Zhou and Yanping Zheng
Machines 2022, 10(8), 673; https://doi.org/10.3390/machines10080673 - 10 Aug 2022
Cited by 12 | Viewed by 2749
Abstract
In order to meet the safety requirements of automobile braking, to improve the braking energy recovery rate of pure electric buses and increase their driving range, the maximum regenerative braking force that the motor can provide is used to determine the front and [...] Read more.
In order to meet the safety requirements of automobile braking, to improve the braking energy recovery rate of pure electric buses and increase their driving range, the maximum regenerative braking force that the motor can provide is used to determine the front and rear wheel friction braking force distribution curve. A parallel regenerative braking control strategy, A, is proposed to make full use of the motor performance. Aiming at the problems of low power density and short cycle life with a single power battery, a composite energy system composed of power batteries and supercapacitors is designed, and an alternative energy control strategy, D, using real-time wavelet transform control is proposed. The required power is decomposed into high-frequency components and low-frequency components by using the wavelet transform control, in which the high-frequency power is borne by the supercapacitor to avoid impact on the power battery. The simulation model was created using MATLAB/Simulink software, and the simulation was carried out under combined cycle conditions to verify the effectiveness of the control strategy. The simulation results showed that compared with the original vehicle control strategy, adopting the A regenerative braking control strategy can reduce the battery SOC drop by 5.15%, increase the relative increase by 47.9%, and improve the braking energy recovery rate. Compared with the traditional logic threshold regenerative braking control strategy, AC, the AD control strategy can effectively reduce the impact of the peak current and high-frequency demands of the power battery on the battery. The maximum output current of the battery was reduced by 39.5%. The decrease in battery SOC decreased by 0.69%, and the relative increase increased by 12.43%. The driving range and braking performance of the vehicle have thus been effectively improved. Full article
(This article belongs to the Section Vehicle Engineering)
Show Figures

Figure 1

22 pages, 9580 KB  
Article
Model Predictive Direct Torque Control and Fuzzy Logic Energy Management for Multi Power Source Electric Vehicles
by Khoudir Kakouche, Toufik Rekioua, Smail Mezani, Adel Oubelaid, Djamila Rekioua, Vojtech Blazek, Lukas Prokop, Stanislav Misak, Mohit Bajaj and Sherif S. M. Ghoneim
Sensors 2022, 22(15), 5669; https://doi.org/10.3390/s22155669 - 28 Jul 2022
Cited by 74 | Viewed by 5685
Abstract
This paper proposes a novel Fuzzy-MPDTC control applied to a fuel cell battery electric vehicle whose traction is ensured using a permanent magnet synchronous motor (PMSM). On the traction side, model predictive direct torque control (MPDTC) is used to control PMSM torque, and [...] Read more.
This paper proposes a novel Fuzzy-MPDTC control applied to a fuel cell battery electric vehicle whose traction is ensured using a permanent magnet synchronous motor (PMSM). On the traction side, model predictive direct torque control (MPDTC) is used to control PMSM torque, and guarantee minimum torque and current ripples while ensuring satisfactory speed tracking. On the sources side, an energy management strategy (EMS) based on fuzzy logic is proposed, it aims to distribute power over energy sources rationally and satisfy the load power demand. To assess these techniques, a driving cycle under different operating modes, namely cruising, acceleration, idling and regenerative braking is proposed. Real-time simulation is developed using the RT LAB platform and the obtained results match those obtained in numerical simulation using MATLAB/Simulink. The results show a good performance of the whole system, where the proposed MPDTC minimized the torque and flux ripples with 54.54% and 77%, respectively, compared to the conventional DTC and reduced the THD of the PMSM current with 53.37%. Furthermore, the proposed EMS based on fuzzy logic shows good performance and keeps the battery SOC within safe limits under the proposed speed profile and international NYCC driving cycle. These aforementioned results confirm the robustness and effectiveness of the proposed control techniques. Full article
(This article belongs to the Special Issue Research Progress on Intelligent Electric Vehicles)
Show Figures

Figure 1

23 pages, 10661 KB  
Article
Interval Type-2 Fuzzy Logic Anti-Lock Braking Control for Electric Vehicles under Complex Road Conditions
by Linfeng Lv, Juncheng Wang and Jiangqi Long
Sustainability 2021, 13(20), 11531; https://doi.org/10.3390/su132011531 - 19 Oct 2021
Cited by 20 | Viewed by 3227
Abstract
To simultaneously track the ideal slip rate and realize ideal energy recovery efficiency under different complex road conditions, an electro-hydraulic compound anti-lock braking system based on interval type-2 fuzzy logic control strategy and its corresponding braking torque allocation strategy have been developed for [...] Read more.
To simultaneously track the ideal slip rate and realize ideal energy recovery efficiency under different complex road conditions, an electro-hydraulic compound anti-lock braking system based on interval type-2 fuzzy logic control strategy and its corresponding braking torque allocation strategy have been developed for electric vehicles. The proposed interval type-2 fuzzy logic controller aims to calculate the ideal total braking torque by four steps, namely, fuzzification, fuzzy inference, type reduction, and defuzzification. The slip rate error and the change rate of slip rate error are utilized as inputs in the fuzzification, and then, the membership degree interval of fuzzy variables determined by the upper and lower membership functions is used to calculate the activation degree interval of different fuzzy rules in the fuzzy inference process, which enhances the anti-interference ability to external uncertainties and internal uncertainties. The braking torque allocation strategy is proposed to maintain the maximum energy recovery efficiency on the premise of safe braking. The software of MATLAB/Simulink is applied to simulate the process of anti-lock braking control under two complex road conditions. Simulation results corroborate the proposed interval type-2 fuzzy logic anti-lock braking control system can not only obtain better slip rate control effect and outstanding robustness but also achieve ideal regenerative braking energy recovery efficiency under both joint-μ and split-μ road surfaces. Full article
(This article belongs to the Special Issue Intelligent Technologies in Energy Management of New Energy Vehicle)
Show Figures

Figure 1

26 pages, 2615 KB  
Review
Review on Braking Energy Management in Electric Vehicles
by Valery Vodovozov, Zoja Raud and Eduard Petlenkov
Energies 2021, 14(15), 4477; https://doi.org/10.3390/en14154477 - 24 Jul 2021
Cited by 48 | Viewed by 7645
Abstract
The adoption of electric vehicles promises numerous benefits for modern society. At the same time, there remain significant hurdles to their wide distribution, primarily related to battery-based energy sources. This review concerns the systematization of knowledge in one of the areas of the [...] Read more.
The adoption of electric vehicles promises numerous benefits for modern society. At the same time, there remain significant hurdles to their wide distribution, primarily related to battery-based energy sources. This review concerns the systematization of knowledge in one of the areas of the electric vehicle control, namely, the energy management issues when using braking controllers. The braking process optimization is summarized from two aspects. First, the advantageous solutions are presented that were identified in the field of gradual and urgent braking. Second, several findings discovered in adjacent fields of automation are debated as prospects for their possible application in braking control. Following the specific classification of braking methods, a generalized braking system composition is offered, and all publications are evaluated primarily in terms of their energy recovery abilities as a global target. Then, conventional and intelligent classes of braking controllers are compared. In the first category, classic PID, threshold, and sliding-mode controllers are reviewed in terms of their energy management restrictions. The second group relates to the issues of the tire friction-slip identification and braking torque allocation between the hydraulic and electrical brakes. From this perspective, several intelligent systems are analyzed in detail, especially fuzzy logic, neural network, and their numerous associations. Full article
(This article belongs to the Special Issue Hybrid, Electric and Fuel Cell Vehicles)
Show Figures

Figure 1

29 pages, 10493 KB  
Article
Fuzzy Logic-Based Duty Cycle Controller for the Energy Management System of Hybrid Electric Vehicles with Hybrid Energy Storage System
by Muhammad Rafaqat Ishaque, Muhammad Adil Khan, Muhammad Moin Afzal, Abdul Wadood, Seung-Ryle Oh, Muhammad Talha and Sang-Bong Rhee
Appl. Sci. 2021, 11(7), 3192; https://doi.org/10.3390/app11073192 - 2 Apr 2021
Cited by 14 | Viewed by 5727
Abstract
Due to increasing fuel prices, the world is moving towards the use of hybrid electric vehicles (HEVs) because they are environmentally friendly, require less maintenance, and are a green technology. The energy management system (EMS) plays an important role in HEVs for the [...] Read more.
Due to increasing fuel prices, the world is moving towards the use of hybrid electric vehicles (HEVs) because they are environmentally friendly, require less maintenance, and are a green technology. The energy management system (EMS) plays an important role in HEVs for the efficient storage of energy and control of the power flow mechanism. This paper deals with the design, modeling, and result-oriented approach for the development of EMS for HEVs using a fuzzy logic controller (FLC). Batteries and supercapacitors (SCs) are used as primary and secondary energy storage systems (ESSs), respectively. EMS consists of the ultra-power transfer algorithm (UPTA) and FLC techniques, which are used to control the power flow. The UPTA technique is used to charge the battery with the help of a single-ended primary inductor converter (SEPIC) during regenerative braking mode. The proposed research examines and compares the performance of FLC with a proportional integral (PI) controller by using MATLAB (Simulink) software. Three scenarios are built to confirm the efficiency of the proposed design. The simulation results show that the proposed design with FLC has a better response as its rise time (2.6 m) and settling time (1.47 µs) are superior to the PI controller. Full article
(This article belongs to the Special Issue Battery Management System for Future Electric Vehicles, Volume II)
Show Figures

Figure 1

Back to TopTop