Sign in to use this feature.

Years

Between: -

Subjects

remove_circle_outline
remove_circle_outline
remove_circle_outline
remove_circle_outline
remove_circle_outline
remove_circle_outline
remove_circle_outline
remove_circle_outline
remove_circle_outline

Journals

remove_circle_outline
remove_circle_outline
remove_circle_outline
remove_circle_outline
remove_circle_outline
remove_circle_outline
remove_circle_outline
remove_circle_outline
remove_circle_outline
remove_circle_outline
remove_circle_outline
remove_circle_outline
remove_circle_outline
remove_circle_outline
remove_circle_outline
remove_circle_outline

Article Types

Countries / Regions

remove_circle_outline
remove_circle_outline
remove_circle_outline
remove_circle_outline
remove_circle_outline
remove_circle_outline

Search Results (1,305)

Search Parameters:
Keywords = refrigeration performance

Order results
Result details
Results per page
Select all
Export citation of selected articles as:
17 pages, 3952 KB  
Article
Modulation of Microstructure, Magnetic, and Magnetocaloric Properties in La0.80Ag0.20MnO3 via Eu/Pb Co-Doping
by Fucheng Zhu, Yang Xu, Yanghui Chu, Zekai Wang, Xingyu Hong, Huiyan Zhang, Hailing Li, Weihua Gu, Zhiyuan Liu, Juan Liu and Ailin Xia
Materials 2026, 19(9), 1755; https://doi.org/10.3390/ma19091755 (registering DOI) - 25 Apr 2026
Abstract
Four perovskite manganite samples, La0.80Ag0.20MnO3 (LA), La0.78Eu0.02Ag0.20MnO3 (LEA), La0.80Pb0.05Ag0.15MnO3 (LPA), and La0.77Eu0.03Pb0.05Ag0.15MnO3 (LEPA), were prepared [...] Read more.
Four perovskite manganite samples, La0.80Ag0.20MnO3 (LA), La0.78Eu0.02Ag0.20MnO3 (LEA), La0.80Pb0.05Ag0.15MnO3 (LPA), and La0.77Eu0.03Pb0.05Ag0.15MnO3 (LEPA), were prepared by the Pechini sol–gel method. The samples were characterized by X-ray diffraction, scanning electron microscopy, energy-dispersive spectroscopy, X-ray photoelectron spectroscopy, and a magnetic property measurement system. A systematic investigation was conducted into the individual effects of Eu and Pb doping, as well as their co-doping, on the microstructural, magnetic and magnetocaloric properties of the materials. The results show that all samples are mainly composed of a rhombohedral perovskite phase with the R3¯c space group, accompanied by a trace amount of Ag. Addition of Eu3+ and Pb2+ induces lattice contraction and expansion, respectively. Under the same processing conditions, the average crystallite and particle sizes of the LEA sample (45.3 nm and 0.18 μm) are smaller than those of the other three samples (69.6~80.6 nm and 0.38~0.44 μm), indicating that the introduction of Eu alone suppresses crystallization ability, which can be avoided through Eu/Pb co-doping. All samples undergo a second-order ferromagnetic–paramagnetic transition, and the Curie temperature TC shifts to either lower or higher temperatures upon the introduction of Eu or Pb alone (from 310.8 K to 298.0 K or 318.0 K, respectively), which is attributed to the variation of the Mn3+/Mn4+ double-exchange (DE) interaction resulting from the ionic size mismatch and lattice distortion. In the LPA sample, an additional contribution arises from the altered Mn3+/Mn4+ ratio and enhanced DE interaction caused by the substitution of Pb2+ for Ag+. By modifying the Eu/Pb ratio, the TC of the LEPA sample was tuned to 299.3 K, and its maximum magnetic entropy change was enhanced to 3.90 J·kg−1·K−1 (H = 2 T). These results indicate that multicomponent synergistic regulation can improve the magnetocaloric performance of La-based perovskite manganites, providing a useful strategy for the development of room-temperature magnetic refrigeration materials. Full article
(This article belongs to the Section Advanced and Functional Ceramics and Glasses)
13 pages, 2240 KB  
Review
Design Solutions and Safety Considerations in Heat Pumps Using Propane (R290): A Review
by Paulina Grądzka and Paweł Obstawski
Energies 2026, 19(9), 2011; https://doi.org/10.3390/en19092011 - 22 Apr 2026
Viewed by 215
Abstract
The objective of this paper is to review modern design solutions applied to vapor-compression heat pumps using the environmentally friendly refrigerant propane (R290), with particular emphasis on refrigerant charge minimization and its impact on system energy performance, and to discuss the influence of [...] Read more.
The objective of this paper is to review modern design solutions applied to vapor-compression heat pumps using the environmentally friendly refrigerant propane (R290), with particular emphasis on refrigerant charge minimization and its impact on system energy performance, and to discuss the influence of compressor type, heat exchanger configuration, and the application of thermoelectric subcooling technology on the coefficient of performance and the seasonal coefficient of performance. Additionally, we examined the effects of supply voltage, water temperature, and climatic location on system efficiency. The reviewed results indicate significant potential for further optimization of heat pumps using R290 while simultaneously meeting safety and energy efficiency requirements. Full article
Show Figures

Figure 1

20 pages, 2957 KB  
Article
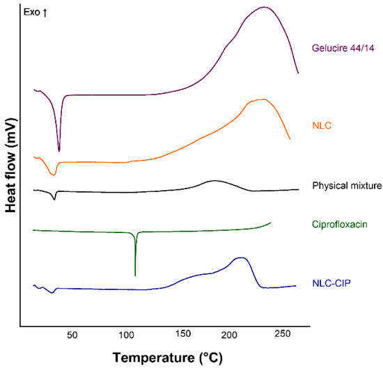
Nanostructured Lipid Carriers Enhance Ciprofloxacin Antibacterial Activity Through Diffusion-Controlled Release and Modulation of Bacterial Growth Kinetics
by Javiera Carrasco-Rojas, Felipe I. Sandoval, Javiera Solas-Soto, Christina M. A. P. Schuh, Lorena Rubio-Quiroz, Carlos F. Lagos, Francisco Arriagada and Andrea C. Ortiz
Pharmaceutics 2026, 18(4), 496; https://doi.org/10.3390/pharmaceutics18040496 (registering DOI) - 17 Apr 2026
Viewed by 172
Abstract
Background: The increasing prevalence of multidrug-resistant bacterial infections highlights the need for drug-delivery strategies that improve antimicrobial exposure and sustain therapeutic activity. In this study, ciprofloxacin-loaded nanostructured lipid carriers (NLC-CIP) were developed and evaluated to better understand how formulation-dependent release behavior influences antibacterial [...] Read more.
Background: The increasing prevalence of multidrug-resistant bacterial infections highlights the need for drug-delivery strategies that improve antimicrobial exposure and sustain therapeutic activity. In this study, ciprofloxacin-loaded nanostructured lipid carriers (NLC-CIP) were developed and evaluated to better understand how formulation-dependent release behavior influences antibacterial performance against Escherichia coliMethods: NLC-CIP were prepared and characterized in terms of size, polydispersity, encapsulation efficiency, and colloidal stability. In vitro release profiles were evaluated across different pH conditions, followed by kinetic modeling. Stability under refrigerated storage was assessed. Antibacterial performance was determined through IC50 measurements and dynamic growth-kinetic analyses, while cytotoxicity was evaluated in HepG2 cells. Results: Ciprofloxacin incorporation increased hydrodynamic diameter (~116 to 194 nm) while preserving low polydispersity (PdI~0.04), high colloidal stability, and encapsulation efficiency (96%). Release studies showed medium-dependent behavior, with rapid release at pH 1.2, 4.5, and 7.4, and more sustained profile at pH 6.8, consistent with diffusion-controlled kinetics (Weibull model). Refrigerated storage preserved release profiles while slowing early-stage kinetics. NLC-CIP showed improved apparent antibacterial activity, reducing the IC50 from 4.9 to 1.2 ng/mL, and sustained bacterial suppression by decreasing growth rates and prolonging doubling times. Unloaded NLCs showed no antibacterial activity, and cytotoxicity assays confirmed favorable biocompatibility. Conclusions: Overall, these results show that NLC-based encapsulation can modulate ciprofloxacin release and reshape drug exposure over time, thereby improving antibacterial performance under the tested conditions. This study supports integrated release and growth-kinetic analyses as a more informative framework for evaluating lipid-based antibiotic delivery systems. Full article
Show Figures

Figure 1

22 pages, 1735 KB  
Article
Design, Simulation and Performance Optimisation of a Transcritical CO2 Air-Source Heat Pump System
by Dongxue Zhu, Ziheng Wang, Yuhao Zhu, Shu Jiang, Shixiang Li, Chaohe Fang and Gong Xiao
Energies 2026, 19(8), 1908; https://doi.org/10.3390/en19081908 - 15 Apr 2026
Viewed by 334
Abstract
This study presents the design, thermodynamic modelling, and numerical optimisation of a medium-scale (100 kW) transcritical CO2 air-source heat pump water heater (ASHP-WH) intended to deliver 90 °C domestic hot water under sub-zero ambient conditions. A detailed component-sizing methodology was established and [...] Read more.
This study presents the design, thermodynamic modelling, and numerical optimisation of a medium-scale (100 kW) transcritical CO2 air-source heat pump water heater (ASHP-WH) intended to deliver 90 °C domestic hot water under sub-zero ambient conditions. A detailed component-sizing methodology was established and implemented in AMESim 2404 using REFPROP-based property calculations, with model convergence confirmed by the mass and energy balance closure. Parametric investigations covering the discharge pressure, refrigerant charge, ambient air temperature, and water outlet temperature were conducted through 140 steady-state simulations. The results show that the system achieved a heating capacity of 100–121 kW with a coefficient of performance (COP) of 2.7–3.3 across −15 °C to +10 °C ambient conditions. The optimal discharge pressure (≈11.2 MPa) and charge inventory (10 ± 2 kg) define a broad operating window that ensures COP stability (±2%) and avoids liquid carry-over. The exergetic efficiency remained above 0.75 throughout the tested climate range. Compared with published laboratory prototypes, the proposed 100 kW module demonstrates a superior performance at harsher sub-zero boundaries, highlighting its potential for commercial hot water and industrial applications. The findings provide actionable guidelines for component sizing, charge management, and adaptive pressure control, and establish a pathway from a numerical prototype to scalable field deployment of medium-scale transcritical CO2 systems. Full article
(This article belongs to the Section J1: Heat and Mass Transfer)
Show Figures

Figure 1

24 pages, 1605 KB  
Article
Effects of Pollen Storage on Physiological Quality and Reproductive Performance in Date Palm (Phoenix dactylifera L.): A Systematic Review and Meta-Analysis
by Ricardo Salomón-Torres, Mohammed Aziz Elhoumaizi, Glenn C. Wright, Abdelouahhab Alboukhari Zaid, Yohandri Ruisanchez-Ortega, Fidel Núñez-Ramírez and Laura Samaniego-Sandoval
Horticulturae 2026, 12(4), 475; https://doi.org/10.3390/horticulturae12040475 - 13 Apr 2026
Viewed by 326
Abstract
Date palm (Phoenix dactylifera L.) production relies on the availability of viable and physiologically active pollen during female flowering, making pollen storage an important strategy to overcome flowering asynchrony and ensure effective artificial pollination. In this study, we systematically reviewed and quantitatively [...] Read more.
Date palm (Phoenix dactylifera L.) production relies on the availability of viable and physiologically active pollen during female flowering, making pollen storage an important strategy to overcome flowering asynchrony and ensure effective artificial pollination. In this study, we systematically reviewed and quantitatively synthesized the effects of pollen storage conditions on pollen physiological quality and reproductive performance in date palm. Following PRISMA guidelines, 22 experimental studies were identified in the qualitative synthesis, and comparable quantitative datasets were used for meta-analysis. Acetocarmine staining, the most commonly used method for assessing pollen stainability across studies, was selected as the standardized indicator of pollen stainability. Multilevel random-effects meta-regression models were applied to evaluate temporal deterioration patterns over storage periods of up to 24 months, while standardized forest plot meta-analyses were used to estimate pooled effects after 12 months of storage. The results revealed a strong temperature-dependent decline in pollen physiological quality. Acetocarmine stainability declined by −6.41, −3.10, −2.62, and −2.24% month−1 under ambient, refrigerated, mild freezing, and moderate freezing conditions, respectively, whereas germination declined by −6.77, −1.86, −3.14, −1.09, and −1.05% month−1 under ambient (23–25 °C), refrigerated (4–5 °C), mild freezing (−5 °C), moderate freezing (−20 °C), and deep freezing (−80 °C) conditions, respectively. After 12 months of storage, stainability, germination, and fruit set were significantly reduced relative to fresh pollen. In contrast, pollen storage had no significant effect on final fruit weight, suggesting that pollen deterioration primarily affects fertilization success rather than subsequent fruit development. The available evidence suggests that low-temperature storage represents the most effective strategy for preserving date palm pollen functionality. Refrigerated storage around 4 °C appears to provide a reliable and accessible option for short- to medium-term pollen preservation, whereas freezing conditions may be advantageous for longer storage periods when moisture control and thawing procedures are properly managed. Full article
(This article belongs to the Section Propagation and Seeds)
Show Figures

Figure 1

25 pages, 3884 KB  
Article
Theoretical Research of a Transcritical Refrigeration System of CO2 Coupled with Liquid Desiccant Dehumidification Cycle Using Exergy Analysis Method
by Xiao Liang, Yongbao Liu, Qiaolian Feng, Yongsheng Su and Yanfei Li
Entropy 2026, 28(4), 436; https://doi.org/10.3390/e28040436 - 13 Apr 2026
Viewed by 204
Abstract
Aiming to improve cooling and dehumidification performance in air conditioning systems and to meet the trend toward environmentally friendly refrigerants, this study proposes a coupled system that combines a CO2 transcritical refrigeration cycle (CTRC) with a liquid desiccant dehumidification cycle. The system [...] Read more.
Aiming to improve cooling and dehumidification performance in air conditioning systems and to meet the trend toward environmentally friendly refrigerants, this study proposes a coupled system that combines a CO2 transcritical refrigeration cycle (CTRC) with a liquid desiccant dehumidification cycle. The system takes advantage of high-grade waste heat from the exothermic side of the CTRC to drive the regenerating process of the liquid desiccant dehumidification. A cooling evaporator is adopted to cool indoor air, while another evaporator (i.e., Evaporator II) is utilized to cool the concentrated solution, improving dehumidification capacity and enabling independent control of sensible and latent heat loads. Through thermodynamic modeling and the exergy analysis model, a mathematical model of the system is developed to examine how key parameters (such discharge pressure and the CO2 mass flow rate ratio in Evaporator II (λ)) affect performance and to analyze exergy loss features. Results show that the system’s coefficient of performance (COP) and dehumidification coefficient of performance (COPdeh) initially rise and then fall with increasing CTRC discharge pressure, achieving an optimal pressure of around 10,500 kPa (COP up to 4.32) under a specific working condition, surpassing those of standalone CTRC systems. Properly increasing λ enhances dehumidification capacity and energy efficiency, with a low specific dehumidification energy (SDE) of 0.2033 kWh/kg, indicating high economic efficiency. Most exergy losses occur in the CO2-solution heat exchanger and dehumidifier (over 60% of total losses). The system’s maximum exergy efficiency reaches 12.4%, leaving room for further improvements. This coupled system offers an efficient, eco-friendly way for air conditioning in high-humidity environments, combining cooling and dehumidification with the potential for energy recovery. Full article
(This article belongs to the Section Thermodynamics)
Show Figures

Figure 1

24 pages, 2457 KB  
Article
Influence of Structured Plasma-Based Composition on Functional, Textural and Sensory Characteristics of Emulsion-Type Sausages
by Amirzhan Kassenov, Assem Shulenova, Mukhtarbek Kakimov, Gulnara Kokayeva, Ayaulym Mustafayeva, Bauyrzhan Iskakov, Serik Tokayev, Maigul Mursalykova, Yelena Krasnopyorova and Diana Sviderskaya
Foods 2026, 15(8), 1336; https://doi.org/10.3390/foods15081336 - 12 Apr 2026
Viewed by 229
Abstract
This study investigated the technological feasibility of using a pre-structured bovine blood plasma–flaxseed composition as a functional partial substitute for beef in emulsion-type sausages. Five formulations containing 0–30% replacement were evaluated to determine effects on structural, nutritional, and microbiological properties. Incorporation of the [...] Read more.
This study investigated the technological feasibility of using a pre-structured bovine blood plasma–flaxseed composition as a functional partial substitute for beef in emulsion-type sausages. Five formulations containing 0–30% replacement were evaluated to determine effects on structural, nutritional, and microbiological properties. Incorporation of the structured composition modified the functional balance of the protein system: water-holding capacity remained stable (p > 0.05), while fat-holding and emulsifying capacities improved at higher inclusion levels (p < 0.05), indicating enhanced interfacial stabilization of the fat phase. Progressive softening of texture was observed, with significant reductions in hardness and chewiness at 30% replacement (p < 0.05). Cooking loss increased at elevated substitution levels but remained within acceptable technological limits. During refrigerated storage, microbial counts remained below safety thresholds. A 15–25% replacement level provided the most balanced performance, maintaining sensory acceptability while improving lipid stabilization. The results demonstrate that structured plasma-based systems can function as effective protein–emulsion modifiers in meat formulations, supporting sustainable valorization of slaughter by-products. Full article
Show Figures

Figure 1

31 pages, 1802 KB  
Systematic Review
Intelligent Evaporative Cooling Systems for Post-Harvest Fruit and Vegetable Preservation: A Systematic Literature Review
by Rabiu Omeiza Isah, Segun Emmanuel Adebayo, Bello Kontagora Nuhu, Eustace Manayi Dogo, Buhari Ugbede Umar, Danlami Maliki, Ibrahim Mohammed Abdullahi, Olayemi Mikail Olaniyi and James Agajo
AgriEngineering 2026, 8(4), 150; https://doi.org/10.3390/agriengineering8040150 - 9 Apr 2026
Viewed by 301
Abstract
Post-harvest losses of fruits and vegetables are an important bottleneck in food systems of countries around the world, with 30–50% of perishable food items lost between farm and consumer, smallholder farmers in low-and-middle income countries (LMICs) with poor cold chain infrastructures facing a [...] Read more.
Post-harvest losses of fruits and vegetables are an important bottleneck in food systems of countries around the world, with 30–50% of perishable food items lost between farm and consumer, smallholder farmers in low-and-middle income countries (LMICs) with poor cold chain infrastructures facing a disproportionate burden. Evaporative cooling (EC) is a low-cost and energy-efficient alternative to mechanical refrigeration; however, traditional systems are operated in one position and are dependent on climate, which restricts its performance. The combination of Internet of Things (IoT) sensing, machine learning (ML), and the advanced control theory has made intelligent evaporative cooling systems (IECS) adaptive, data-driven platforms that can regulate the environment in real-time and optimise autonomously. This is a systematic literature review that was carried out according to PRISMA 2020, summarising 94 peer-reviewed articles published in 2018–2025 to map the technological landscape, performance indicators, and research directions of the field of post-harvest fruit and vegetable preservation using IECS. Findings indicate that IECS can considerably lower the storage temperatures, increase the shelf life by 50–200%, and reduce energy consumption by 75–90% compared to traditional refrigeration, and the payback period is as short as 1.2 years. In arid conditions, ML models are accurate in prediction with an R2 of 0.98. The gaps in the research identified are a lack of validation in wet climatic conditions, non-existent standardised Ag-IoT protocols, inadequate Food–Energy–Water (FEW) nexus calculation, and no explainable AI (XAI) interfaces. An example of a conceptual framework of four layers synthesised is proposed to direct next-generation research and implementation of the IECS. Full article
Show Figures

Figure 1

18 pages, 2111 KB  
Article
Coupling Characteristics Simulation of Single-Phase Flow and Heat Transfer for R134a/R245fa Mixture in a Cross-Corrugated Plate Heat Exchanger Channel
by Ruonan Gao, Yanqi Chen, Chuang Wen and Ji Zhang
Energies 2026, 19(8), 1812; https://doi.org/10.3390/en19081812 - 8 Apr 2026
Viewed by 297
Abstract
To investigate the influence of working fluid composition on the thermo-hydraulic performance of plate heat exchangers (PHEs) under single-phase sensible heat transfer conditions, a three-dimensional steady-state numerical model was developed for a transverse corrugated channel with a chevron angle of 60°. The governing [...] Read more.
To investigate the influence of working fluid composition on the thermo-hydraulic performance of plate heat exchangers (PHEs) under single-phase sensible heat transfer conditions, a three-dimensional steady-state numerical model was developed for a transverse corrugated channel with a chevron angle of 60°. The governing equations were solved using the finite volume method implemented in ANSYS Fluent, in conjunction with the standard k–ε turbulence model. The analysis considered pure refrigerants R134a and R245fa, as well as their mixtures with mass ratios of 0.2, 0.5, and 0.8, with thermophysical properties assumed to be temperature-independent constants. The results indicate that as the mass fraction of R134a decreases from 1.0 to 0, the heat transfer coefficient (h) decreases from 1025 to 815 W/(m2·K), primarily attributed to the combined effects of reduced thermal conductivity and increased viscosity. Among the investigated cases, the R134a/R245fa mixture with a mass ratio of 0.8 provides the most favorable performance trade-off, exhibiting a heat transfer coefficient only 3.0% lower than that of pure R134a while achieving a 12.5% reduction in flow resistance compared with pure R245fa. Furthermore, the heat transfer coefficient is found to be weakly affected by heat flux in the range of 8000–20,000 W/m2; in contrast, increasing the mass flow rate from 0.001 to 0.005 kg/s enhances heat transfer coefficient by 65.1%, accompanied by a significant increase in pressure drop. Comparisons with established single-phase correlations for corrugated channels show average deviations of 6.5% for the Nusselt number and 3.8% for the friction factor. The present study provides useful guidance for working fluid selection and operational optimization of PHEs in applications dominated by sensible heat transfer, such as specific stages of heat pump cycles and medium-temperature waste heat recovery. Full article
(This article belongs to the Section J1: Heat and Mass Transfer)
Show Figures

Figure 1

15 pages, 5227 KB  
Article
Atmospheric Cold Plasma Degradation of Fenvalerate Residues on Shiitake Mushrooms: Mechanisms, Toxicity Evolution, and Quality Effects
by Hu Shi, Ziwen Cheng, Shiwei Dong, Yang Jiao and Hongru Liu
Foods 2026, 15(7), 1229; https://doi.org/10.3390/foods15071229 - 3 Apr 2026
Viewed by 297
Abstract
Fenvalerate residues on edible mushrooms pose significant risks to food safety and aquatic ecosystems. This study investigated the efficiency, degradation mechanisms, toxicity evolution, and quality effects of atmospheric cold plasma (ACP) for removing fenvalerate from shiitake mushrooms. Fenvalerate degradation increased with ACP treatment [...] Read more.
Fenvalerate residues on edible mushrooms pose significant risks to food safety and aquatic ecosystems. This study investigated the efficiency, degradation mechanisms, toxicity evolution, and quality effects of atmospheric cold plasma (ACP) for removing fenvalerate from shiitake mushrooms. Fenvalerate degradation increased with ACP treatment voltage and exposure time, reaching a maximum efficiency of 82.5% at 80 kV for 15 min. Quantum chemical calculations based on Fukui functions and frontier molecular orbitals identified phenoxy and chlorophenyl moieties as primary reactive sites. High-performance liquid chromatography–tandem mass spectrometry revealed degradation pathways dominated by hydroxylation, ester bond cleavage, and oxidative transformations. Toxicity assessment using ECOSAR predictions and yeast bioassays demonstrated substantial reductions in acute and chronic toxicity by ACP treatment, although some intermediates retained residual toxicity. In addition, ACP preserved mushroom quality during refrigerated storage. Overall, ACP represents a promising non-thermal strategy for pesticide detoxification while preserving edible mushroom quality. Full article
Show Figures

Graphical abstract

40 pages, 2377 KB  
Review
Thermophysical and Rheological Characteristics of CO2 Hydrate Slurries for Cold Thermal Energy Storage Applications and Engineering Perspectives
by Sai Bhargav Annavajjala, Noah Van Dam and Jan Kosny
Materials 2026, 19(7), 1434; https://doi.org/10.3390/ma19071434 - 3 Apr 2026
Viewed by 446
Abstract
Carbon dioxide (CO2) hydrate slurries have emerged as promising candidates for cold thermal energy storage (CTES) and refrigeration systems due to their high latent heat, controllable flow behavior, and environmentally friendly nature. These slurries are formed by dispersing solid CO2 [...] Read more.
Carbon dioxide (CO2) hydrate slurries have emerged as promising candidates for cold thermal energy storage (CTES) and refrigeration systems due to their high latent heat, controllable flow behavior, and environmentally friendly nature. These slurries are formed by dispersing solid CO2 hydrate particles in a liquid phase, forming a multiphase system with tunable thermophysical and rheological properties. The performance of these slurries is dependent on nucleation kinetics, particle sizes and their distribution, solid content, and thermal transport characteristics under flow conditions. This review paper gives an assessment of CO2 hydrate slurries from a thermofluid’ perspective by focusing on key aspects such as hydrate nucleation mechanisms, viscosity behavior, shear response, thermal conductivity, convective heat transfer, and slurry stability. Particular attention is given to the role of surfactants and nanoparticle additives that enhance hydrate formation and improve slurry performance. The addition of nanofluids is discussed both in terms of their effect on thermal properties as well as in flow stability. Full article
(This article belongs to the Section Energy Materials)
Show Figures

Figure 1

25 pages, 2135 KB  
Review
A Critical Review of Performance Enhancement Methods for Automotive Air-Conditioning Compressors Using Nano-Enhanced Lubricants
by Rajendran Prabakaran
Machines 2026, 14(4), 391; https://doi.org/10.3390/machines14040391 - 2 Apr 2026
Viewed by 525
Abstract
The compressor in automotive air-conditioning systems consumes a significant fraction of the vehicle’s energy, thereby reducing driving range. Consequently, developing more efficient compressor operation is essential for improving overall thermal management. Nano-enhanced lubricants have emerged as a promising passive strategy to reduce compressor [...] Read more.
The compressor in automotive air-conditioning systems consumes a significant fraction of the vehicle’s energy, thereby reducing driving range. Consequently, developing more efficient compressor operation is essential for improving overall thermal management. Nano-enhanced lubricants have emerged as a promising passive strategy to reduce compressor power consumption, enhance thermodynamic performance, and improve tribological behavior by minimizing friction and wear. This review critically examines existing nano-lubricant research with a focus on automotive compressor and system-level performance, friction and wear reduction mechanisms, and the influence of nanoparticle type and concentration on lubricant thermo-physical properties. The analysis reveals that nano-lubricants consistently enhance compressor operation by lowering discharge temperature and reducing power consumption, while improving coefficient of performance and cooling capacity. However, these benefits have been validated primarily under cooling-mode conditions and predominantly for reciprocating-piston compressors. Tribological studies further demonstrate substantial reductions in coefficient of friction and surface roughness, with improved anti-wear characteristics compared to virgin lubricants. Four principal mechanisms—rolling, polishing, protective-film formation, and self-repairing—have been identified as contributors to these enhancements. Nevertheless, most tribological investigations rely on simplified test rigs that do not fully represent the complex contact, loading, and thermal environments inside actual automotive compressors. This review underscores the need for system-level, mechanism-driven, and compressor-architecture-specific investigations covering both cooling and heating modes of automotive air-conditioning operation. The insights presented aim to guide future development of reliable, durable, and refrigerant-compatible nano-lubricant technologies for next-generation automotive air-conditioning systems. Full article
(This article belongs to the Section Turbomachinery)
Show Figures

Figure 1

14 pages, 1215 KB  
Article
Carvacrol Encapsulation in Chia Mucilage Nanocapsules Enhances Antimicrobial Activity Against Escherichia coli and Preserves Antioxidant Properties in Milk
by Thaís Benincá, Luana Schmidt, Fabíola Ayres Cacciatore, Isadora Altmann Peixoto, Ana Carolina Silveira da Silva, Alina Scherer Pires, Rafaela Diogo Silveira, Juliane Elisa Welke, Patrícia da Silva Malheiros and Paula Rossini Augusti
Foods 2026, 15(7), 1196; https://doi.org/10.3390/foods15071196 - 2 Apr 2026
Viewed by 374
Abstract
Carvacrol (CAR) has antimicrobial and antioxidant activity and potential as a food additive, but its intense aroma and high volatility limit its use in foods. Nanoencapsulation has been proposed as a strategy to overcome these limitations. This study evaluated the antioxidant and antimicrobial [...] Read more.
Carvacrol (CAR) has antimicrobial and antioxidant activity and potential as a food additive, but its intense aroma and high volatility limit its use in foods. Nanoencapsulation has been proposed as a strategy to overcome these limitations. This study evaluated the antioxidant and antimicrobial performance of chia mucilage nanocapsules containing CAR (CMNP) and the effect of nanoencapsulation on CAR content during storage in milk. CMNP and CAR in solution (CS) were added at the Bactericidal Inhibitory Concentration (BIC) and ½ BIC in skim and whole milk. Antioxidant activity was determined by the ABTS (2,2 azinobis (3-ethylbenzothiazoline-6-sulfonic acid) assay, and antimicrobial efficacy was evaluated against Escherichia coli. Samples were stored at 37 °C for 48 h to assess antimicrobial activity under optimal growth conditions for E. coli and at 5 °C for 14 days to simulate refrigerated storage conditions. CAR was quantified by HS-SPME–GC/MS. CMNP increased antioxidant activity compared to the control, showing values similar to CS. At 37 °C, CMNP inhibited E. coli to undetectable levels using ½ BIC in both milks. At 5 °C, the full BIC was required in whole milk, while ½ BIC was sufficient in skim milk. Nanoencapsulation resulted in lower initial CAR content but promoted gradual release during storage at 5 °C and 37 °C. CMNPs show potential to contribute to the microbiological safety and oxidative stability of milk. Full article
(This article belongs to the Section Food Microbiology)
Show Figures

Graphical abstract

13 pages, 680 KB  
Article
Biochar Supplementation Effects on Fresh Goat Meat and Carcass Characteristics
by Savannah L. Douglas, Nina E. Gilmore, Bipana Budha, Nar K. Gurung and Jason T. Sawyer
Animals 2026, 16(7), 1074; https://doi.org/10.3390/ani16071074 - 1 Apr 2026
Viewed by 321
Abstract
Reducing input costs, especially feed ingredients, remains a priority for production agriculture. Identifying and selecting nutritionally dense ingredients is vital to maximize animal performance. Objectives of the current study were to evaluate the impact of biochar supplementation on goat carcass characteristics and fresh [...] Read more.
Reducing input costs, especially feed ingredients, remains a priority for production agriculture. Identifying and selecting nutritionally dense ingredients is vital to maximize animal performance. Objectives of the current study were to evaluate the impact of biochar supplementation on goat carcass characteristics and fresh meat quality. Goats (N = 36) were allocated to a diet concentration formulated with or without (Control, Low, Medium, or High g/kg) biochar. After 60 days of feeding, goats were harvested, and carcass measurements were collected. Subprimals from the leg were fabricated into steaks for laboratory analysis of surface color, cook loss, and instrumental tenderness. Biochar supplementation did not alter organ weights (p = 0.0614), dressing percentage (p = 0.8139), loin eye area (p = 0.9570), or tenderness (p = 0.0144). However, marbling scores were lower in goats fed at the medium biochar supplementation rate (p = 0.0114) and high supplementation (p = 0.0102) compared to the control. An interaction between storage day and biochar supplementation was recorded for instrumental surface color lightness (L*; p = 0.0016), redness (a*; p = 0.0547), hue angle (p = 0.0313), and red-to-brown (p = 0.0591). Steaks from the 0.052% supplementation group exhibited greater (p = 0.0003) redness (a*) during a 7-day refrigerated display and increased chroma values (p < 0.0001). Storage duration influenced all color traits, with steak surface discoloration increasing as storage time increased (p < 0.0001). Results conclude that biochar supplementation does not negatively impact all carcass quality or tenderness traits, but may influence fat deposition and improve meat color stability. Full article
(This article belongs to the Special Issue Current Research in Sheep and Goats Reared for Meat)
Show Figures

Figure 1

30 pages, 13743 KB  
Article
Crosslinked-AuNPs@CD-MOF Incorporated into PLA-Zein Composite Film with Humidity-Responsive Antimicrobial Release for Agaricus bisporus Preservation
by Tahirou Sogore, Meimei Guo, Jin Huang, Xinyu Liao, Tian Ding and Mofei Shen
Foods 2026, 15(7), 1164; https://doi.org/10.3390/foods15071164 - 30 Mar 2026
Viewed by 449
Abstract
Foodborne pathogens cause hundreds of millions of illnesses annually, underscoring the urgent need for advanced antimicrobial food packaging materials. The objective of this study was to develop a crosslinked cyclodextrin metal–organic framework, loaded with gold nanoparticles (CL-AuNPs@CD-MOF) and integrated into a PLA-Zein composite [...] Read more.
Foodborne pathogens cause hundreds of millions of illnesses annually, underscoring the urgent need for advanced antimicrobial food packaging materials. The objective of this study was to develop a crosslinked cyclodextrin metal–organic framework, loaded with gold nanoparticles (CL-AuNPs@CD-MOF) and integrated into a PLA-Zein composite film with humidity-responsive antimicrobial release, as a sustainable and high-performance packaging solution to address the critical limitations of conventional materials in controlling microbial contamination during food storage. Therefore, gold nanoparticles (AuNPs) were synthesized via a green approach using CD-MOFs as stabilizers and p-coumaric acid as a natural reducing agent, then crosslinked with diphenyl carbonate (DPC) to produce CL-AuNPs@CD-MOF. Crosslinking conditions were optimized to a CD-MOF:DPC ratio of 1:1, 1080 min reaction time, and 80 °C, preserving the cubic morphology and crystalline structure while transforming burst release into sustained antimicrobial activity against E. coli and S. aureus over 7 days. Then, the incorporation of CL-AuNPs@CD-MOF into PLA-Zein films yielded a composite packaging material with favorable mechanical and barrier properties, including a water vapor transmission rate of 539.44 g/m2·24 h and an oxygen permeability of 235.90 cm3/m2·24 h·0.1 MPa. Progressive elimination of E. coli, S. aureus, and L. monocytogenes over 7 days was confirmed, with antimicrobial efficacy originating exclusively from the CL-AuNPs@CD-MOF component. Application on Agaricus bisporus over 12 days of refrigerated storage demonstrated superior preservation performance: mushrooms inoculated with L. monocytogenes and packaged with CL-AuNPs@CD-MOF/PLA-Zein exhibited a weight loss of only 6.20 ± 2.06%, compared to 17.74 ± 3.15% for PLA-Zein and 41.50 ± 3.01% for PE controls. Color stability was equally improved, with lightness values of 71.46 ± 1.47 retained under CL-AuNPs@CD-MOF/PLA-Zein packaging, versus 58.37 ± 0.86 for PLA-Zein and 23.34 ± 2.34 for PE. Mushrooms inoculated with E. coli and S. aureus followed consistent trends. These results establish CL-AuNPs@CD-MOF/PLA-Zein as a promising multifunctional antimicrobial packaging platform for sustainable food preservation. Full article
Show Figures

Graphical abstract

Back to TopTop