Due to scheduled maintenance work on our servers, there may be short service disruptions on this website between 11:00 and 12:00 CEST on March 28th.
Sign in to use this feature.

Years

Between: -

Subjects

remove_circle_outline
remove_circle_outline
remove_circle_outline
remove_circle_outline
remove_circle_outline
remove_circle_outline
remove_circle_outline
remove_circle_outline
remove_circle_outline

Journals

Article Types

Countries / Regions

remove_circle_outline
remove_circle_outline
remove_circle_outline
remove_circle_outline
remove_circle_outline
remove_circle_outline

Search Results (669)

Search Parameters:
Keywords = reference evapotranspiration

Order results
Result details
Results per page
Select all
Export citation of selected articles as:
23 pages, 7135 KB  
Article
Smart Farming Technologies for Groundwater Conservation in Transboundary Aquifers of Northwestern México
by Alfredo Granados-Olivas, Luis C. Bravo-Peña, Víctor M. Salas-Aguilar, Christopher Brown, Alfonso Gandara-Ruiz, Víctor H. Esquivel-Ceballos, Felipe A. Vázquez-Gálvez, Richard Heerema, Josiah M. Heyman, Ismael Aguilar-Benitez, Alexander Fernald, Joam M. Rincón-Zuloaga, William L. Hargrove and Luis C. Alatorre-Cejudo
Water 2026, 18(6), 755; https://doi.org/10.3390/w18060755 - 23 Mar 2026
Viewed by 239
Abstract
This study evaluated the performance of a smart farming technology (SFT) and a climate-smart agriculture (CSA) approach for improving irrigation management in pecan (Carya illinoinensis) orchards in México through soil moisture monitoring, evapotranspiration estimation, and real-time data integration. Continuous monitoring allowed [...] Read more.
This study evaluated the performance of a smart farming technology (SFT) and a climate-smart agriculture (CSA) approach for improving irrigation management in pecan (Carya illinoinensis) orchards in México through soil moisture monitoring, evapotranspiration estimation, and real-time data integration. Continuous monitoring allowed irrigation to be maintained at field capacity, preventing plant stress while avoiding total soil saturation or permanent wilting point. Calibration of soil moisture sensors showed a very strong correlation (R2 = 0.99) between sensor reverse voltage and volumetric soil water content in predominant sandy loam soils, confirming the reliability of the monitoring system for irrigation scheduling. Seasonal analysis of reference evapotranspiration (ETo) and crop evapotranspiration (ETc) revealed increasing atmospheric water demand during summer months, with crop coefficient (Kc) values ranging from approximately 0.3 during dormancy to 1.0–1.3 during peak vegetative growth. After five years of field implementation of the technology, results showed water savings exceeding 50% compared with traditional flood irrigation practices. The optimized irrigation schedule reduced total seasonal irrigation depth from 216 cm to 128 cm, representing a 59% reduction in applied water while maintaining adequate soil moisture conditions for crop development at field capacity (FC). These results highlight the potential of integrating sensor-based monitoring, evapotranspiration modeling, and IoT platforms to enhance water-use efficiency and support sustainable pecan production under increasing climate variability. Full article
(This article belongs to the Special Issue Working Across Borders to Address Water Scarcity)
Show Figures

Figure 1

34 pages, 11244 KB  
Article
Cloud-Model-Based Evaluation of Reference Evapotranspiration Variability for Reference Crops Within the Xizang Plateau’s Agricultural Regions
by Qiang Meng, Jingxia Liu, Peng Chen, Junzeng Xu, Qiang He, Yangzong Cidan, Yun Su, Yuanzhi Zhang and Lijiang Huang
Water 2026, 18(6), 730; https://doi.org/10.3390/w18060730 - 19 Mar 2026
Viewed by 243
Abstract
Against the backdrop of ongoing climate change, the Qinghai–Tibet Plateau, a region highly sensitive to climatic variation, exhibits intricate spatiotemporal patterns in reference crop evapotranspiration (ETO), with significant implications for regional water-resource planning. This study selected four agro-climatic zones across the [...] Read more.
Against the backdrop of ongoing climate change, the Qinghai–Tibet Plateau, a region highly sensitive to climatic variation, exhibits intricate spatiotemporal patterns in reference crop evapotranspiration (ETO), with significant implications for regional water-resource planning. This study selected four agro-climatic zones across the plateau region (TSA, TSH, TAZ, and WCH). Long-term daily observations from 28 meteorological stations were used to estimate ETO via the FAO 56 Penman–Monteith equation. This extensive dataset enabled robust trend analysis using the Mann–Kendall test, alongside a cloud-model framework, and analyses of sensitivity and contributions to evaluate ETO’s spatiotemporal evolution, its distributional uncertainty, and the underlying drivers. Results reveal pronounced regional heterogeneity in the interannual variability of ETO. Annual ETO declined in TSH and TSA (trend rates of −1.12 and −6.58 mm·10a−1, respectively) and increased in TAZ and WCH (15.76 and 10.74 mm·10a−1, respectively). At monthly and seasonal timescales, ETO exhibited an unimodal pattern, with the greatest stability in winter and spring and lower stability in summer and autumn. The cloud-model parameter He indicates that ETO stability is greatest in TSH and weakest in WCH, with He values of 7.15 and 12.29 mm, respectively. Contribution-rate analyses identify Tmax and Tmean as the principal determinants of rising ETO across all study zones, reflecting the largest individual contributions. Temperature-related factors together account for the majority of ETO variability across the regions, with their absolute contributions ranging from 5.61% to 8.63%, well above those of aerodynamic factors (0.62–1.78%). Stability assessments indicate that ETO is generally more unstable than its meteorological drivers, with substantial regional disparities, implying that ETO evolution cannot be explained by a single controlling factor. Overall, the study characterizes the uncertainty in ETO variations under complex terrain, highlights the value of the cloud model for refined hydrological assessments, and provides a scientific basis for adaptive agricultural water-resource management in the region. Full article
(This article belongs to the Section Water, Agriculture and Aquaculture)
Show Figures

Figure 1

19 pages, 13983 KB  
Article
The Role of Toposequence and Underground Drainage in Variation of Groundwater and Salinity Levels in Irrigated Areas
by Laercia da Rocha Fernandes Lima, Ceres Duarte Guedes Cabral de Almeida, Gabriel Rivas de Melo, Manassés Mesquita da Silva, Keila Jeronimo Jimenez, Valdiney Bizerra de Amorim, Andrey Thyago Cardoso S. G. da Silva, Magnus Dall Igna Deon, Rebeca Neves Barbosa, José Fernandes Ferreira Júnior, Tarcísio Ferreira de Oliveira and José Amilton Santos Júnior
Hydrology 2026, 13(3), 99; https://doi.org/10.3390/hydrology13030099 - 18 Mar 2026
Viewed by 246
Abstract
In irrigated areas around the world, the recommendation for the use of subsurface drainage is also associated with controlling salinity problems. Due to the high implementation cost, the search for solutions that make this requirement more flexible is necessary. Among the options to [...] Read more.
In irrigated areas around the world, the recommendation for the use of subsurface drainage is also associated with controlling salinity problems. Due to the high implementation cost, the search for solutions that make this requirement more flexible is necessary. Among the options to be investigated is the hypothesis that the height and salinity of the water table in plots located at the highest points of a toposequence are lower and do not compromise plant development, even without underground drainage systems. In this context, the present work was developed to monitor and evaluate the variation in water level or mottling over twelve months, as well as to measure and analyze the electrical conductivity and average pH of the water table during this period and its possible impact on plants. For this purpose, three lots in toposequence were selected in the Senador Nilo Coelho Public Irrigation Project, Petrolina—PE, with previously defined characteristics: soil classification (Plinthic Yellow—Ultisol), crop planted (Mangifera indica L.) and irrigation system used (micro-sprinkler). Precipitation, reference evapotranspiration and volume of water applied via irrigation were monitored by an automatic weather station and hydrometers in each lot. In each plot, nine observation wells were installed, distributed in a grid, with the aim of make monthly measurements of the water table level or mottling. The electrical conductivity and pH of the groundwater were also measured to obtain the average monthly value for each lot. Illustrative 3D maps of the water table level in relation to the ground surface were created using the simple kriging method, in the UTM SIRGAS 2000 24S projection system. The absence and presence of groundwater in the upper and lower hillslope lots, respectively, were favored by the toposequence. The decision to install underground drainage or not can be made on a case-by-case basis; this must take into account, among other aspects, changes in physical characteristics along the soil profile, possible occurrence of mottling, the quality of water for irrigation, the irrigation management adopted and the position of the lot in the toposequence. Full article
(This article belongs to the Section Soil and Hydrology)
Show Figures

Figure 1

23 pages, 9157 KB  
Article
Estimation of Crop Coefficients of a High-Density Hazelnut Orchard Using Traditional Methods vs. UAV-Derived Thermal and Spectral Indices
by Alessandra Vinci, Raffaella Brigante, Silvia Portarena, Laura Marconi, Simona Lucia Facchin, Daniela Farinelli and Chiara Traini
Agriculture 2026, 16(6), 677; https://doi.org/10.3390/agriculture16060677 - 17 Mar 2026
Viewed by 222
Abstract
Evapotranspiration and crop coefficients are key variables for designing efficient irrigation strategies in tree crops, yet standard tabulated coefficients derived for mature, fully covering orchards often fail to represent the water use of young, high-density hazelnut systems. In recent years, updated crop coefficients [...] Read more.
Evapotranspiration and crop coefficients are key variables for designing efficient irrigation strategies in tree crops, yet standard tabulated coefficients derived for mature, fully covering orchards often fail to represent the water use of young, high-density hazelnut systems. In recent years, updated crop coefficients for temperate fruit trees, including hazelnut, and transpiration-based models have been proposed, while several studies have successfully linked Vegetation Indices and thermal metrics to single and basal crop coefficients in vineyards, orchards and field crops. However, no information is available on the use of UAV-derived spectral and thermal indices to estimate crop coefficients in high-density hazelnut orchards. This study compares crop coefficients obtained from traditional approaches (the FAO56 single crop coefficient, a transpiration-based coefficient, and ground cover reduction factors) with coefficients estimated from UAV-derived Normalized Difference Water Index (NDWI) and Crop Water Stress Index (CWSI) in a subsurface-drip-irrigated hazelnut orchard (cv. Tonda Francescana®) with two planting densities (625 and 1250 trees ha−1) in central Italy. Multispectral and thermal UAV surveys carried out between 2021 and 2024 were used to derive canopy geometrical traits, ground cover, NDWI, and CWSI, while a local weather station provided reference evapotranspiration. Empirical relationships were calibrated between crop coefficients and ground cover, NDWI, and CWSI, and mid-season coefficients were applied to estimate daily crop evapotranspiration, which was then compared with the irrigation volumes supplied during the 2024 season. The standard FAO56 crop coefficient (Kc = 0.9) overestimated evapotranspiration, especially at the lower planting density, whereas ground cover-based reduction factors recalibrated for hazelnut and the transpiration-based coefficient provided estimates more consistent with the applied irrigation. UAV-based NDWI- and CWSI-derived crop coefficients produced mid-season values close to those obtained with the transpiration-based method for both planting densities, confirming that spectral and thermal information can effectively capture the combined effects of canopy development and water status. These results indicate that combining traditional methods with UAV-derived indices offers a flexible framework to refine crop coefficients in high-density hazelnut orchards and support more accurate and spatially explicit irrigation scheduling. Full article
(This article belongs to the Special Issue Application of Smart Technologies in Orchard Management)
Show Figures

Figure 1

26 pages, 11122 KB  
Article
Spatiotemporal Evolution and Propagation of Meteorological Drought and Agricultural Drought: A Case Study of the Western Loess Plateau of China
by Huimin Hou, Di Lu, Dongmeng Zhou, Changjie Chen, Junxing Bai, Feng Guo, Haohao Li, Zhiqiang Bao, Mingyang Qin, Yufei Liu, Junde Wang and Yufei Cheng
Agriculture 2026, 16(5), 533; https://doi.org/10.3390/agriculture16050533 - 27 Feb 2026
Viewed by 248
Abstract
Research on the evolutionary patterns and propagation mechanisms of different drought types is of great significance for regional water resources management and the prevention and control of agricultural drought risks. Taking the arid region in the western Chinese Loess Plateau as the study [...] Read more.
Research on the evolutionary patterns and propagation mechanisms of different drought types is of great significance for regional water resources management and the prevention and control of agricultural drought risks. Taking the arid region in the western Chinese Loess Plateau as the study area, this paper systematically revealed the spatiotemporal variation characteristics, propagation lag time and conditional probability of meteorological and agricultural droughts based on the monthly Standardized Precipitation Evapotranspiration Index (SPEI) and self-calibrating Palmer Drought Severity Index (scPDSI) during 1985–2022 by comprehensively adopting the Mann–Kendall trend test, Sen’s slope estimation, run theory, drought frequency analysis, as well as the Copula function and event-matching method. The results showed that during the study period, meteorological drought (characterized by SPEI) exhibited an insignificant intensification overall, while agricultural drought (characterized by scPDSI) presented a significant mitigation at the monthly scale. The maximum occurrence frequency of agricultural drought reached 70.39%, which was significantly higher than that of meteorological drought (38.82%); in addition, agricultural drought featured a longer average duration and greater severity, with a spatial pattern of higher in the northwest and lower in the southeast in the study area. The average propagation lag time of drought derived from the Copula function was 1.41 months, versus 2.19 months obtained by the event-matching method. When meteorological drought reached the moderate level (SPEI < −1.0), it was likely to trigger agricultural drought of mild or higher severity. The research findings can provide a scientific reference for formulating differentiated drought prevention strategies in the arid region of the western Loess Plateau, China. Full article
(This article belongs to the Section Ecosystem, Environment and Climate Change in Agriculture)
Show Figures

Figure 1

38 pages, 9014 KB  
Article
Climate-Induced Vegetation Stress Detected Through Remote Sensing of Hydroclimatic Indicators
by Esra Bayazit, Veysi Kartal, Saad Sh. Sammen and Miklas Scholz
Sustainability 2026, 18(5), 2235; https://doi.org/10.3390/su18052235 - 26 Feb 2026
Viewed by 308
Abstract
Maintaining agricultural viability and managing water resources under rising global temperatures requires understanding the complex relationship between climate variability and vegetation dynamics. This study investigated the effects of hydroclimatic variability and long-term trends on vegetation response in the Meriç-Ergene Basin, one of Türkiye’s [...] Read more.
Maintaining agricultural viability and managing water resources under rising global temperatures requires understanding the complex relationship between climate variability and vegetation dynamics. This study investigated the effects of hydroclimatic variability and long-term trends on vegetation response in the Meriç-Ergene Basin, one of Türkiye’s most agriculturally productive and climate-sensitive regions. The monthly precipitation (pr), average temperature (Tave), reference evapotranspiration (ET0), and soil moisture (SM) were analyzed for 1975–2024 while the land surface temperature (LST) and Normalized Difference Vegetation Index (NDVI) were assessed between 2001 and 2024. Seasonal anomaly analysis revealed negative SM anomalies and frequent positive anomalies in the Tave, LST, and ET0, especially in spring and summer. The NDVI anomalies were more favorable in the spring and autumn but constrained in summer. Trend analyses (ITA/IPTA) showed increasing trends in the Tave, LST, and ET0, and declining trends in the SM. Correlation results indicated strong positive ET0–LST–Tave relationships (r > 0.90) and strong negative ET0–SM correlations (as low as −0.83). The NDVI showed moderate correlations with the LST but weak associations with the pr and SM, indicating a shift toward temperature-driven vegetation behavior. The findings demonstrate that vegetation dynamics, as represented by NDVI, are progressively affected by temperature anomalies. Warming trends specifically increase evapotranspiration demand and expedite phenological processes, resulting in stronger correlations between NDVI and both Tave and LST. This transition toward temperature sensitivity signifies that vegetation greenness in the study area is increasingly influenced by thermal factors rather than being solely limited by precipitation. These findings underscore the basin’s vulnerability to warming and drying, highlighting the need for climate-resilient agriculture, improved irrigation planning, and adaptive land use strategies. Full article
Show Figures

Figure 1

23 pages, 21368 KB  
Article
Vegetation Greenness Changes in Northeast China Dominated by Climate Change and Ecological Restoration
by Cui Jin, Xiuling Wang, Zeyu Zhang, Linze Li, Haoran Wang, Gaoyu Li and Hongyan Cai
ISPRS Int. J. Geo-Inf. 2026, 15(2), 90; https://doi.org/10.3390/ijgi15020090 - 20 Feb 2026
Viewed by 458
Abstract
Vegetation in Northeast China has undergone complex changes under the dual pressures of climate change and human activities. Quantifying long-term vegetation dynamics and identifying their key drivers are critical for regional sustainability, ecological engineering construction, and environmental conservation. Ecological restoration plays a pivotal [...] Read more.
Vegetation in Northeast China has undergone complex changes under the dual pressures of climate change and human activities. Quantifying long-term vegetation dynamics and identifying their key drivers are critical for regional sustainability, ecological engineering construction, and environmental conservation. Ecological restoration plays a pivotal role in vegetation protection and recovery in this region; however, it has often been overlooked as a core driver in previous studies. This study analyzed the spatiotemporal dynamics of vegetation in Northeast China based on the long-term satellite-based leaf area index (LAI) datasets from 2000 to 2020, investigated the factors driving the spatiotemporal variation in LAI, and quantified the respective contributions of climate change and human activities to its change. The results showed that: (1) The LAI in Northeast China increased at a rate of 0.0292 yr−1 since 2000, with 80.8% of the region showing vegetation improvement, predominantly within ecological restoration zones; however, urbanization induced severe local vegetation degradation. The Natural Forest Conservation Program (NFCP) exhibited the highest LAI growth rate (0.0315 yr−1), followed by the Shelterbelt Program for Liaohe River (SPLR) and the Three-North Shelterbelt Program (TNSP) (0.0313 yr−1 and 0.0294 yr−1, respectively). (2) Land use type, soil type, and evapotranspiration were the primary single drivers of LAI spatial heterogeneity, and the interaction between land use and soil types has the most significant impact on it. (3) Climate change and human activities jointly accounted for 78.4% of the LAI variations across the study area, with the relative contribution of human activities (CHA = 68.9%) being significantly higher than that of climate change (CCC = 31.1%). In the vegetation browning regions of the three ecological restoration zones, the contribution of human activities exceeded 60%. In contrast, the dominant drivers of vegetation greening varied substantially among the zones: greening in the TNSP and SPLR was primarily regulated by climate change (CCC > 50%), whereas in the NFCP it was mainly driven by human activities. This study highlights the key role of human activities (especially ecological restoration programs) in the improvement of vegetation cover in Northeast China, which can help to assess the benefits of ecological restoration in Northeast China, provide references for ecological and environmental management policy formulation, and promote the construction of regional ecological civilization. Full article
Show Figures

Figure 1

30 pages, 6013 KB  
Article
Hydrological Response Assessment of an Upper Indus River Basin Under Diverse Climate Scenarios Using Data-Driven and Process-Based Models: Implications for Sustainable Development Goals
by Basit Nawaz, Fayaz Ahmad Khan, Afed Ullah Khan, Wafa Saleh Alkhuraiji, Saqib Mahmood, Dominika Dąbrowska, Youssef M. Youssef and Mahmoud E. Abd-Elmaboud
Water 2026, 18(4), 507; https://doi.org/10.3390/w18040507 - 19 Feb 2026
Viewed by 499
Abstract
Climate change exerts a pronounced influence on streamflow regimes by altering precipitation characteristics and potential evapotranspiration, thereby affecting global water availability and hydrological functioning. This study investigates the hydrological behavior of the Upper Indus River Basin (UIRB), a strategically important transboundary mountainous watershed, [...] Read more.
Climate change exerts a pronounced influence on streamflow regimes by altering precipitation characteristics and potential evapotranspiration, thereby affecting global water availability and hydrological functioning. This study investigates the hydrological behavior of the Upper Indus River Basin (UIRB), a strategically important transboundary mountainous watershed, under a range of future climate scenarios. An integrated modeling approach combining process-based simulation and data-driven techniques is employed to generate new insights relevant to the advancement of the Sustainable Development Goals (SDGs). The Soil and Water Assessment Tool (SWAT) and a Long Short-Term Memory (LSTM) neural network were calibrated and validated using daily streamflow observations spanning 1995–2014. During the calibration phase, SWAT yielded an R2 of 0.71, a Nash–Sutcliffe Efficiency (NSE) of 0.59, and a PBIAS of 20.3%. In comparison, the LSTM model demonstrated improved predictive performance, achieving an R2 of 0.72, an NSE of 0.71, and a PBIAS of −1.85%. Future discharge simulations were derived from bias-corrected climate projections obtained from 11 General Circulation Models under SSP245 and SSP585 scenarios for four future time slices (2015–2035, 2036–2055, 2056–2075, and 2076–2099), using 1995–2014 as the reference period. Under the high-emission SSP585 pathway, basin-wide precipitation is projected to increase by 14.7% by the late century, accompanied by substantial rises in maximum and minimum temperatures of 17.9% and 36.25%, respectively. SWAT simulations indicate streamflow increases of 7.1–9.9% under SSP245 and 10.1–11.7% under SSP585, whereas the LSTM model projects more pronounced increases of 17–25.6%. The outcomes of this research contribute significantly to multiple SDGs, with quantified impacts on SDG 6 (Clean Water and Sanitation, 35%), SDG 13 (Climate Action, 30%), SDG 2 (Zero Hunger, 15%), SDG 15 (Life on Land, 12%), and SDGs 8 and 9 (Economic Growth and Infrastructure, 8%). The proposed integrated modeling framework supports enhanced water security through optimized resource planning, reinforces climate resilience by strengthening adaptive capacity, promotes agricultural sustainability in irrigation-reliant regions, safeguards fragile mountain ecosystems under accelerating glacier retreat, informs the development of climate-resilient agricultural sustainability in irrigation-reliant regions, and informs the development of climate-resilient infrastructure. Collectively, these findings highlight the urgent necessity for adaptive water management policies to address climate-induced hydrological uncertainty in stressed transboundary river basins and offer a transferable framework for achieving water-related SDGs in climate-sensitive regions worldwide. Full article
Show Figures

Figure 1

23 pages, 6865 KB  
Article
A Comprehensive Evaluation of Evapotranspiration in Mainland Portugal Based on Climate Reanalysis Data
by João Pedro Pegas, João Filipe Santos and Maria Manuela Portela
Atmosphere 2026, 17(2), 215; https://doi.org/10.3390/atmos17020215 - 18 Feb 2026
Viewed by 336
Abstract
Gridded meteorological data sources, such as reanalysis datasets, are increasingly used to estimate evapotranspiration, a key variable for surface water-budget analyses at regional and national scales and for assessing plant water requirements for irrigation. This study, conducted over mainland Portugal for the 44-year [...] Read more.
Gridded meteorological data sources, such as reanalysis datasets, are increasingly used to estimate evapotranspiration, a key variable for surface water-budget analyses at regional and national scales and for assessing plant water requirements for irrigation. This study, conducted over mainland Portugal for the 44-year reference period from 1980 to 2023, first presents a comprehensive comparative analysis of the spatial patterns of potential (Ep) and reference (Eto) evapotranspiration at a 0.1° spatial resolution using daily data. Estimates derived from two high-resolution datasets (GLEAM and ERA5-Land) are compared with those obtained from the Thornthwaite, Hargreaves–Samani, and Penman–Monteith models. Secondly, trend analyses of Eto magnitudes on a monthly and annual basis in a gridded format were conducted. The resulting spatial distributions of Ep and Eto show higher values in milder and flatter southern Portugal and lower values in the cooler and more mountainous northern regions, in agreement with existing knowledge. The Penman–Monteith model exhibited the highest reliability, while the Thornthwaite model generally underestimated evapotranspiration across the country, and the Hargreaves–Samani model showed underestimation in coastal areas. Trend analysis of Eto indicates an overall increase in atmospheric evaporative demand over the full study period, with a more pronounced rise during the recent 22-year period (2002–2023) compared with the earlier period (1980–2001). These increases are statistically significant in August and October and may reflect a climate shift towards a progressively longer dry season. Understanding how changes in evapotranspiration affect hydrological processes—including surface water availability, river discharge, reservoir performance, and crop requirement—is critical. This study aims to contribute to addressing these emerging challenges. Full article
(This article belongs to the Special Issue The Challenge of Weather and Climate Prediction (2nd Edition))
Show Figures

Figure 1

16 pages, 3021 KB  
Article
Hydro-Climatic Variability and Water Balance of Lake Fitri, Sahel (Chad)
by Abdallah Mahamat-Nour, Nadège Yassoubo and Florence Sylvestre
Water 2026, 18(4), 492; https://doi.org/10.3390/w18040492 - 14 Feb 2026
Viewed by 427
Abstract
This study analyzed the hydroclimatic functioning of the Lake Fitri basin (Chad) by combining rainfall records, in situ hydrological observations, water balance analysis, and spatial remote sensing data. Results show a strong Sahelian climatic control, with rainfall concentrated in a short-wet season (July–September) [...] Read more.
This study analyzed the hydroclimatic functioning of the Lake Fitri basin (Chad) by combining rainfall records, in situ hydrological observations, water balance analysis, and spatial remote sensing data. Results show a strong Sahelian climatic control, with rainfall concentrated in a short-wet season (July–September) and potential evapotranspiration largely exceeding precipitation. Batha River flows are highly seasonal, generating short flood pulses that drive lake level fluctuations and aquifer recharge. Water balance estimates indicate that recharge is limited and episodic (approximately 70–120 mm in 2020), representing only 14–24% of annual rainfall, occurring almost exclusively during extreme rainfall events. Compared with Lake Chad, Lake Fitri is more directly sensitive to local rainfall variability, reflecting its dependence on a single tributary. Overall, the findings underline the fragility of this hydrosystem and the need for reinforced monitoring and integrated management to ensure sustainable water resources under increasing climatic variability. This work constitutes the initial reference for the hydroclimatic characterization of Lake Fitri, thanks to a methodology combining in situ and satellite data. Full article
(This article belongs to the Section Water and Climate Change)
Show Figures

Figure 1

20 pages, 1934 KB  
Article
Sap Flow Variability in Malus domestica Borkh. (‘JazzTM’) Trees Under Differing Water Supply Conditions and Fruit Loads
by Evangelos Xylogiannis, Mohammad Yaghoubi Khanghahi, Rosangela Addesso, Alejandro Galindo, Bartolomeo Dichio, Brent Clothier, Steve Green and Adriano Sofo
Plants 2026, 15(4), 608; https://doi.org/10.3390/plants15040608 - 14 Feb 2026
Viewed by 484
Abstract
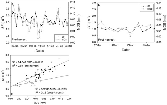
Efficient apple orchard water management under climate variability requires understanding how fruit load and water supply regulate branch-scale water use to optimize irrigation, yield, and fruit quality. During the summer of 2014, sap flow (SF) and maximum daily shrinkage (MDS) were measured in [...] Read more.
Efficient apple orchard water management under climate variability requires understanding how fruit load and water supply regulate branch-scale water use to optimize irrigation, yield, and fruit quality. During the summer of 2014, sap flow (SF) and maximum daily shrinkage (MDS) were measured in one branch from six apple trees (Malus domestica Borkh. Cv. ‘Jazz™’) using the Compensation Heat Pulse method and diameter variation sensors in an orchard near Havelock North, New Zealand. One west-oriented branch per tree, with diameters of 1.5 to 2.3 cm, was monitored alongside midday stem (ψs) and leaf (ψl) water potentials, leaf gas exchanges, leaf area index (LAI), and fruit dry matter per branch at the end of the growing season. Half of the trees were subjected to irrigation withdrawal after day of year (DOY) 31 (non-irrigated treatment), resulting in a significantly lower midday stem water potential (ψs) by DOY 56 (−1.03 MPa). Pre-harvest, SF and MDS were tightly correlated (r2 = 0.69), but this correlation decreased post-harvest (r2 = 0.16) due to reduced fluctuations in both SF and branch variations (BV). SF was normalized per unit of leaf area, categorizing branches into high and low LAI: fruit dry matter ratio. SF values were approximately 2.2 times higher for FI pre-harvest and remained 2-fold higher post-harvest, associated with lower ψl and higher midday leaf transpiration for FI. MDS was identified as a better indicator of mild water deficit compared to SF, with both measurements responding effectively to midday vapor pressure deficit and reference evapotranspiration values. Overall, MDS proved to be a more sensitive indicator of mild water deficit than SF, while fruit load exerted a persistent influence on branch water use, highlighting the value of branch-scale measurements for improving irrigation management in apple orchards. Full article
(This article belongs to the Section Plant Physiology and Metabolism)
Show Figures

Figure 1

19 pages, 4161 KB  
Article
High-Accuracy Estimation of Reference Evapotranspiration Using Classical and AI-Supported System Identification Approaches Under Different Climatic Conditions in Arid Zones
by Wafa Difallah, Boudjema Ouradj, Fateh Bounaama, Belkacem Draoui, Khelifa Benahmed and Khelifa Lammari
Electronics 2026, 15(4), 799; https://doi.org/10.3390/electronics15040799 - 13 Feb 2026
Viewed by 318
Abstract
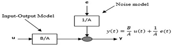
Reference evapotranspiration (ET0) is a critical parameter for water resource management and irrigation scheduling. Accurate estimation of ET0 has challenged scientists over the years due to its high sensitivity to climatic variations. Classical methods for estimating ET0 mainly rely on empirical models with [...] Read more.
Reference evapotranspiration (ET0) is a critical parameter for water resource management and irrigation scheduling. Accurate estimation of ET0 has challenged scientists over the years due to its high sensitivity to climatic variations. Classical methods for estimating ET0 mainly rely on empirical models with a significant number of parameters, which has hampered their use in many cases. Regarding its importance and strong relationship with global food security, this topic has attracted the attention of many researchers. The development of simple models with a low number of parameters or taking advantage of artificial intelligence algorithms has been the aim of different researchers, as it is in this paper, where two approaches are implemented to estimate reference evapotranspiration. The first one is based on the use of classical system identification models, namely linear and nonlinear AutoRegressive models with eXogenous variables (ARX and nonlinear ARX). For the second approach, AI-supported system identification models are used, in which neural networks’ performances are used to develop multilayer and deep neural network models for nonlinear system identification. The four models show a high accuracy, with a system fitting exceeded 98%. Full article
(This article belongs to the Section Artificial Intelligence)
Show Figures

Figure 1

17 pages, 4327 KB  
Article
TCN-Attention Model-Based Prediction of Reference Crop Evapotranspiration in Northern Henan Province
by Jianqin Ma, Fu Zhao, Bifeng Cui, Lei Liu, Xiuping Hao, Yan Zhao, Yu Ding and Yijian Chen
Agronomy 2026, 16(4), 435; https://doi.org/10.3390/agronomy16040435 - 12 Feb 2026
Viewed by 386
Abstract
Accurate and reliable estimation of reference crop evapotranspiration (ET0) in the North Henan Plain is crucial for agricultural water resource management, production, and food supply in China. This study aims to evaluate the performance of deep learning (DL) methods in ET [...] Read more.
Accurate and reliable estimation of reference crop evapotranspiration (ET0) in the North Henan Plain is crucial for agricultural water resource management, production, and food supply in China. This study aims to evaluate the performance of deep learning (DL) methods in ET0 estimation and assess the applicability of the developed DL model beyond the training domain. This study utilized historical meteorological data from Zhengzhou City, northern Henan, spanning 2010–2024. Meteorological variables were selected through correlation analysis and maximum information coefficient (MIC). A novel DL model—the TCN-Attention model (TA)—was constructed by incorporating a self-attention mechanism into the temporal convolutional network (TCN) model. This model was compared with two classical DL models—Long Short-Term Memory (LSTM) and TCN. Results indicate: (1) Sunshine duration (n), relative humidity (RH), and maximum temperature (Tmax) are the three most significant features influencing summer maize evapotranspiration; (2) prediction accuracy under the same input scenarios: TA model > TCN model > LSTM model; (3) in scenarios where only temperature data is input, the TA model has the highest prediction accuracy, surpassing the H-S empirical method; and (4) for limited meteorological data, the combination of temperature and humidity was found to be most effective, showing good adaptability and accuracy at different time steps (hourly: R2 = 0.982; daily: R2 = 0.975; weekly: R2 = 0.928). This study highlights the potential of the TA model for estimating reference crop evapotranspiration in the northern Henan Plain, which may provide theoretical guidance for crop irrigation management under future climate change. Full article
(This article belongs to the Section Precision and Digital Agriculture)
Show Figures

Figure 1

35 pages, 819 KB  
Review
Data Assimilation and Modeling Frontiers in Soil–Water Systems
by Ying Zhao
Water 2026, 18(4), 440; https://doi.org/10.3390/w18040440 - 7 Feb 2026
Viewed by 661
Abstract
Sustainable soil–water management under climate and socio-economic pressures requires predictive capability that is both mechanistic and continuously corrected by observations. Data assimilation (DA) provides the formal machinery to merge models with heterogeneous measurements—from satellite evapotranspiration and soil moisture to cosmic-ray neutron sensing, proximal [...] Read more.
Sustainable soil–water management under climate and socio-economic pressures requires predictive capability that is both mechanistic and continuously corrected by observations. Data assimilation (DA) provides the formal machinery to merge models with heterogeneous measurements—from satellite evapotranspiration and soil moisture to cosmic-ray neutron sensing, proximal geophysics, lysimeters, and groundwater hydrographs—while propagating uncertainty. This review (based on 90 references) synthesizes frontiers in DA and modeling for soil–water systems across scales, emphasizing (i) multi-source observation operators and scaling; (ii) coupled crop–vadose–groundwater modeling frameworks and their structural hypotheses; (iii) modern DA methods (ensemble, variational, particle-based, and hybrid physics–ML) for joint estimation of states, parameters, and biases; and (iv) emerging digital twins that enable predict-then-verify management loops for irrigation, recharge enhancement, and drought risk reduction. We highlight how tracer-aided and isotope-informed components can improve evapotranspiration partitioning and recharge threshold detection, and how agent-based or socio-hydrological coupling can represent human decision feedback. Finally, we outline research gaps in uncertainty quantification, benchmarking, reproducibility, and governance needed to operationalize trustworthy soil–water digital twins for resilient food and water systems. Full article
(This article belongs to the Special Issue Data Assimilation and Modeling for Sustainable Soil–Water Systems)
Show Figures

Figure 1

24 pages, 6765 KB  
Article
Optimizing Reference Evapotranspiration Estimation in Data-Scarce Regions Using ERA5 Reanalysis and Machine Learning
by Emre Tunca, Václav Novák, Petr Šařec and Eyüp Selim Köksal
Agronomy 2026, 16(2), 253; https://doi.org/10.3390/agronomy16020253 - 21 Jan 2026
Viewed by 458
Abstract
This study aims to optimize the estimation of reference evapotranspiration (ETo) in data-scarce regions by integrating ERA5-Land reanalysis data with machine learning (ML) models. Daily meteorological data from 33 stations across Turkey’s diverse climate zones (1981–2010) were utilized to train and validate three [...] Read more.
This study aims to optimize the estimation of reference evapotranspiration (ETo) in data-scarce regions by integrating ERA5-Land reanalysis data with machine learning (ML) models. Daily meteorological data from 33 stations across Turkey’s diverse climate zones (1981–2010) were utilized to train and validate three ML models: Random Forest (RF), Extreme Gradient Boosting (XGBoost), and Extreme Learning Machine (ELM). The methodology involved rigorous quality control of ground-based observations, spatial correlation of ERA5-Land grids to station locations, and performance evaluation under various data-limited scenarios. Results indicate that while ERA5-Land provides highly accurate solar radiation (Rs) and temperature (T) data, variables like wind speed (U2) and relative humidity (RH) exhibit systematic biases. Among the used models, XGBoost demonstrated superior performance (R2 = 0.95, RMSE = 0.43 mm day−1, and MAE = 0.30 mm day−1) and computational efficiency. This study provides a robust, regionally calibrated framework that corrects reanalysis biases using ML, offering a reliable alternative for ETo estimation in areas where local measurements are insufficient for sustainable water management. Full article
(This article belongs to the Section Precision and Digital Agriculture)
Show Figures

Figure 1

Back to TopTop