Sign in to use this feature.

Years

Between: -

Subjects

remove_circle_outline
remove_circle_outline
remove_circle_outline
remove_circle_outline
remove_circle_outline
remove_circle_outline
remove_circle_outline
remove_circle_outline
remove_circle_outline

Journals

remove_circle_outline
remove_circle_outline
remove_circle_outline
remove_circle_outline
remove_circle_outline

Article Types

Countries / Regions

remove_circle_outline
remove_circle_outline
remove_circle_outline
remove_circle_outline
remove_circle_outline

Search Results (712)

Search Parameters:
Keywords = recursive estimator

Order results
Result details
Results per page
Select all
Export citation of selected articles as:
25 pages, 1034 KB  
Article
A Benchmark for Entropy Estimators
by Lucio M. Calcagnile, Angelo Di Garbo and Stefano Galatolo
Entropy 2026, 28(3), 311; https://doi.org/10.3390/e28030311 - 10 Mar 2026
Viewed by 154
Abstract
This study assessed the performance of several entropy estimators for numerical time series and symbolic data on non-trivial one-dimensional dynamical systems whose Kolmogorov–Sinai entropy is known with certified accuracy: recent computer-assisted proof techniques provide rigorous values together with explicit error bounds. We considered [...] Read more.
This study assessed the performance of several entropy estimators for numerical time series and symbolic data on non-trivial one-dimensional dynamical systems whose Kolmogorov–Sinai entropy is known with certified accuracy: recent computer-assisted proof techniques provide rigorous values together with explicit error bounds. We considered four classes of interval maps, including piecewise expanding maps with and without a Markov partition and an intermittent Pomeau–Manneville map, and generated long orbits for each system. We then compared the certified entropy with the output of widely used estimators: Approximate Entropy, Sample Entropy, Permutation Entropy, a symbolic Plug-In estimator of the entropy rate, and the Non-Sequential Recursive Pair Substitution (NSRPS) method (the latter two with Grassberger-type bias correction). Our experiments reveal substantial, dynamics-dependent differences in accuracy and robustness. In particular, Approximate Entropy and the symbolic methods (Plug-In and NSRPS) consistently yielded estimates within the rigorous error bars across all systems, whereas Sample Entropy showed a marked systematic underestimation, and Permutation Entropy exhibited large biases, especially for expanding maps without a Markov partition. The resulting benchmark provides a quantitative testbed for evaluating entropy estimation techniques in deterministic dynamical systems. Full article
Show Figures

Figure 1

35 pages, 3555 KB  
Article
Adaptive Load Optimization and Precision Control Scheme for Vertical Landing Rockets with Sparse Sensing Data
by Chenxiao Fan, Wei He, Yang Zhao, Hutao Cui and Guangsheng Zhu
Aerospace 2026, 13(3), 255; https://doi.org/10.3390/aerospace13030255 - 9 Mar 2026
Viewed by 158
Abstract
High−Altitude wind is a critical factor affecting the recovery safety of reusable rockets, significantly altering aerodynamic loads, flight attitudes, and trajectories—especially during the aerodynamic deceleration phase (engine shutdown) of reentry, posing severe challenges to high-precision guidance and stable control. Currently, accurate advance prediction [...] Read more.
High−Altitude wind is a critical factor affecting the recovery safety of reusable rockets, significantly altering aerodynamic loads, flight attitudes, and trajectories—especially during the aerodynamic deceleration phase (engine shutdown) of reentry, posing severe challenges to high-precision guidance and stable control. Currently, accurate advance prediction of landing site wind fields is difficult with poor real-time performance, necessitating a real-time estimation and prediction method independent of additional measurement equipment. This study addresses this gap by proposing a deep learning-based approach for wind field estimation and prediction, using directly measurable attitude angles and apparent acceleration deviations of the rocket as inputs to train a dedicated deep neural network. Furthermore, to solve the attitude control problem of Reusable Launch Vehicles (RLVs) during recovery, a non-recursive simplified high-order sliding mode control method with online wind disturbance compensation is designed to achieve finite-time convergence. First, a dynamic model for the attitude control of RLVs during recovery is established; second, based on homogeneity theory, a non-recursive simplified homogeneous high-order sliding mode controller is developed to realize finite-time tracking control during RLV recovery with uncertainties, effectively suppressing the chattering inherent in sliding mode control; finally, simulation results verify the effectiveness and engineering feasibility of the proposed method. The combined approach significantly reduces wind-induced disturbance torque and required control torque, enhancing the adaptability and control robustness of vertically recoverable rockets to wind fields. Full article
Show Figures

Figure 1

27 pages, 7463 KB  
Article
RSSM-Based Virtual Sensing and Sensorless Closed-Loop Control for a Multi-Temperature-Zone Continuous Crystallizer
by Mingrong Dong, Hang Liu, Geng Yang, Lin Lu and Jia’nan Zhao
Sensors 2026, 26(5), 1698; https://doi.org/10.3390/s26051698 - 7 Mar 2026
Viewed by 290
Abstract
Precise temperature control is crucial for maintaining product quality and optimizing energy efficiency in multi-zone continuous crystallizers. However, such industrial processes typically exhibit complex nonlinear dynamics and strong coupling effects. More critically, physical constraints often prevent sensor installation, rendering temperatures in key regions [...] Read more.
Precise temperature control is crucial for maintaining product quality and optimizing energy efficiency in multi-zone continuous crystallizers. However, such industrial processes typically exhibit complex nonlinear dynamics and strong coupling effects. More critically, physical constraints often prevent sensor installation, rendering temperatures in key regions unobservable and challenging traditional closed-loop control strategies. To address partial observability and model uncertainty, this paper proposes a Model-Based Reinforcement Learning (MBRL) framework utilizing solely offline historical data. The core innovation lies in developing a Recursive State Space Model (RSSM) that serves not only as a high-fidelity digital twin but, more critically, is deployed as a real-time “virtual sensor” to infer unobservable system states. This virtual sensing capability provides precise state estimates for downstream policy optimization. Additionally, a multi-objective reward function is designed to balance tracking error, stability, and control cost. Experimental results demonstrate that the proposed virtual sensor exhibits exceptional long-term stability, maintaining high fidelity and effectively suppressing error accumulation during long-term multi-step autoregressive predictions. Consequently, the trained agent outperforms traditional Proportional-Integral-Derivative (PID) and Model Predictive Control (MPC) controllers, achieving over 67% improvement in temperature tracking accuracy while reducing control action costs by more than 93%, indicating smoother system operation and enhanced energy efficiency. Full article
(This article belongs to the Section Physical Sensors)
Show Figures

Figure 1

14 pages, 1245 KB  
Proceeding Paper
Multi-Dimensional Taylor Network-Based Predefined-Time Output-Feedback Adaptive Control with Full-State Error Constraints for PMSM Drives in Electric Vehicles
by Mohammed Haddad and Badis Lekouaghet
Eng. Proc. 2026, 124(1), 62; https://doi.org/10.3390/engproc2026124062 - 5 Mar 2026
Viewed by 66
Abstract
The accelerating adoption of electric vehicles (EVs) has positioned them among the fastest-growing sectors in the electricity market. Since reliability, energy efficiency, and robustness are the fundamental criteria in motor drive selection, the permanent magnet synchronous motor (PMSM) has emerged as a preferred [...] Read more.
The accelerating adoption of electric vehicles (EVs) has positioned them among the fastest-growing sectors in the electricity market. Since reliability, energy efficiency, and robustness are the fundamental criteria in motor drive selection, the permanent magnet synchronous motor (PMSM) has emerged as a preferred choice for EV applications. Nevertheless, achieving high-performance control of PMSM systems remains challenging due to nonlinear dynamics, parameter uncertainties, and external disturbances. To address these issues, this paper proposes a predefined-time output-feedback tracking control strategy for PMSMs subject to full-state error constraints, unknown nonlinear dynamics, external disturbances, and unmeasured states. Multi-dimensional Taylor Networks (MTNs) are employed to approximate unknown nonlinearities, while MTN-based observers are designed to estimate unmeasured states. The proposed controller integrates predefined-time stability theory, a general potential Lyapunov function, dynamic surface control (DSC), and backstepping to guarantee constraint satisfaction and rapid convergence. A hyperbolic tangent function is incorporated to eliminate singularities, and a predefined-time filter is introduced to mitigate the computational complexity of recursive backstepping. Theoretical analysis based on Lyapunov methods proves that all closed-loop signals remain bounded and that the tracking error converges to zero within a prespecified time. Simulation results confirm the effectiveness, robustness, and practical feasibility of the proposed approach for PMSM-driven EV applications. Full article
(This article belongs to the Proceedings of The 6th International Electronic Conference on Applied Sciences)
Show Figures

Figure 1

16 pages, 474 KB  
Article
Structural Equation Modeling of Genetic and Residual Covariance Matrices for Multiple-Trait Evaluation in Beef Cattle
by Marcos Jun-Iti Yokoo, Gustavo de los Campos, Vinícius Silva Junqueira, Fernando Flores Cardoso, Guilherme Jordão Magalhães Rosa and Lucia Galvão Albuquerque
Animals 2026, 16(5), 817; https://doi.org/10.3390/ani16050817 - 5 Mar 2026
Viewed by 225
Abstract
The continuous growth in both the number of phenotypic records and the range of traits included in beef cattle genetic evaluations poses substantial statistical and computational challenges for the estimation of genetic and residual (co)variance matrices required for breeding value estimation. Structural equation [...] Read more.
The continuous growth in both the number of phenotypic records and the range of traits included in beef cattle genetic evaluations poses substantial statistical and computational challenges for the estimation of genetic and residual (co)variance matrices required for breeding value estimation. Structural equation models (SEM), implemented using either factor analysis (FA) or recursive model (REC) structures, provide a flexible framework to model genetic and residual (co)variance matrices while yielding more parsimonious and computationally efficient parameterizations. Here, SEM was applied to estimate parameters for growth and ultrasound-measured carcass traits in beef cattle. The dataset comprised 2942 animals, and six traits were evaluated using standard multiple-trait mixed models (SMTM) and SEM. We considered FA and REC models implemented with six alternative parameterizations, in which random effects were represented as linear combinations of fewer unobservable random variables. Relative to the SMTM, both the model with two factors in the genetic covariance matrix (FA2G) and the model in which six recursive effects were constrained to zero in the residual covariance matrix (REC1) demonstrated a strong ability to capture genetic variability, as reflected by comparable heritability estimates. Correlations between estimated breeding values (EBV) for the same traits across models were consistently high, ranging from 0.94 to 1.00, indicating strong agreement among model estimates. The FA2G model was the most parsimonious in terms of the effective number of parameters (pD), with 431.2 pD, corresponding to a reduction of 25.3 parameters relative to the SMTM. The REC1 model also emerged as a competitive alternative for this dataset, exhibiting a lower pD (443.6) than the SMTM (456.5) and the most favorable deviance information criterion among all models evaluated (e.g., 37,868.6 for REC1 versus 37,874.7 for SMTM). Overall, these results demonstrate that mixed-effects multi-trait models for beef cattle genetic evaluation can be effectively implemented using FA or REC structures, which provide parsimonious representations of the underlying covariance patterns while maintaining high agreement in EBV. Full article
Show Figures

Figure 1

23 pages, 3294 KB  
Article
Evaluating Disturbance Regime Stratification for Aboveground Biomass Estimation in a Heterogeneous Forest Landscape: Insights from the Atewa Landscape, Ghana
by Lukman B. Adams and Yuichi S. Hayakawa
Remote Sens. 2026, 18(5), 765; https://doi.org/10.3390/rs18050765 - 3 Mar 2026
Viewed by 277
Abstract
Optical and passive remote sensing-based estimation of aboveground biomass (AGB) using forest structural stratification has shown improvements over global models. This study investigated whether stratification by human-mediated disturbances improves prediction accuracy. Disturbance variables included proximity to mines, roads, and settlements, evaluated across three [...] Read more.
Optical and passive remote sensing-based estimation of aboveground biomass (AGB) using forest structural stratification has shown improvements over global models. This study investigated whether stratification by human-mediated disturbances improves prediction accuracy. Disturbance variables included proximity to mines, roads, and settlements, evaluated across three regimes: the full Atewa landscape (“FSR”), the Atewa Range Forest Reserve (“FR”), and the surrounding disturbed area (“SR”). Predictor selection for regimes was performed using recursive feature elimination with cross-validation, applied to random forest (RF) and support vector machine (SVM) algorithms. AGB was then estimated using local, global, and retuned global models, and the results were compared using the coefficient of determination (r2) and root mean square error (RMSE). The global RF model achieved the best performance (r2 = 0.54; RMSE = 57.71 Mg/ha), likely due to structured heterogeneity captured across combined regimes. The “SR” models, however, performed poorly, indicating that excessive unstructured heterogeneity introduces noise and redundancy that weaken predictions. The low performance of the “FR” regime was attributed to spectral saturation and limited variance in observed AGB. Although disturbance factors added minimal bias, heteroscedasticity was evident in the “SR” and “FSR” regimes. Overall, this study indicates that disturbance-based stratification may not necessarily improve AGB estimation accurately compared to global models. However, it highlights the value of disturbance information for AGB modeling in heterogeneous forest landscapes. Full article
(This article belongs to the Section Forest Remote Sensing)
Show Figures

Figure 1

25 pages, 12476 KB  
Article
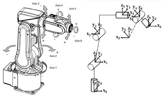
Hybrid Neuro-Symbolic State-Space Modeling for Industrial Robot Calibration via Adaptive Wavelet Networks and PSO
by He Mao, Zhouyi Lai and Zhibin Li
Biomimetics 2026, 11(3), 171; https://doi.org/10.3390/biomimetics11030171 - 2 Mar 2026
Viewed by 256
Abstract
The absolute positioning accuracy of industrial manipulators is frequently bottlenecked by the interplay of geometric tolerances and complex, unmodeled non-geometric parameter drifts. Traditional static kinematic models, predicated on rigid-body assumptions, often struggle to characterize these state-dependent dynamic behaviors. To bridge this gap, this [...] Read more.
The absolute positioning accuracy of industrial manipulators is frequently bottlenecked by the interplay of geometric tolerances and complex, unmodeled non-geometric parameter drifts. Traditional static kinematic models, predicated on rigid-body assumptions, often struggle to characterize these state-dependent dynamic behaviors. To bridge this gap, this study introduces a PSO-Driven Neuro-Symbolic State-Space Framework incorporating Adaptive Wavelet Networks, drawing inspiration from two biological principles: the collective swarm intelligence observed in bird flocking and fish schooling, and the localized receptive field structure of mammalian visual cortex neurons. By reformulating calibration as a latent state estimation problem, we model kinematic parameters as stochastic states. Crucially, the observation model fuses symbolic Denavit–Hartenberg (D–H) predictions with an Adaptive Wavelet Network (AWNN). The AWNN utilizes Mexican Hat kernels, whose morphology mirrors the center-surround antagonism of cortical receptive fields, and leverages their precise time–frequency localization to effectively learn complex, configuration-dependent residuals. The framework employs a robust decoupled strategy. First, Particle Swarm Optimization (PSO) executes meta-optimization to autonomously determine hyperparameters, thereby mitigating initialization sensitivity. Second, a recursive inference engine estimates the hybrid states. Third, a global batch optimization refines the symbolic parameters against a frozen non-geometric error field. Experimental validation on an ABB IRB 120 robot (400 datasets) yielded a test RMSE of 0.73 mm. Compared to the standard Levenberg–Marquardt method, our approach reduced the RMSE by 40.16% and the maximum error by 35.71% (down to 0.99 mm). Moreover, it outperforms the state-of-the-art RPSO-DCFNN baseline by 12.05% while maintaining high computational efficiency (convergence within 20.15 s). These findings underscore the superiority of the proposed bio-inspired state-space fusion strategy for high-precision industrial applications. Full article
Show Figures

Figure 1

30 pages, 1351 KB  
Article
Recursive Least-Squares Algorithm Based on a Fourth-Order Tensor Decomposition for Acoustic Echo Cancellation
by Radu-Andrei Otopeleanu, Laura-Maria Dogariu, Constantin Paleologu, Jacob Benesty, Cristian-Lucian Stanciu and Ruxandra-Liana Costea
Mathematics 2026, 14(5), 812; https://doi.org/10.3390/math14050812 - 27 Feb 2026
Viewed by 204
Abstract
Adaptive filtering algorithms based on tensor decomposition represent appealing choices for system identification problems, especially when dealing with the estimation of long-length impulse responses, like in acoustic echo cancellation. The topic has recently been addressed in the literature, showing that the gain (compared [...] Read more.
Adaptive filtering algorithms based on tensor decomposition represent appealing choices for system identification problems, especially when dealing with the estimation of long-length impulse responses, like in acoustic echo cancellation. The topic has recently been addressed in the literature, showing that the gain (compared to the conventional approach) is twofold in terms of both better performance and lower complexity. The main idea is that a system identification problem with a large parameter space (i.e., a long-length filter) is reformulated based on a group of shorter filters, while their coefficients are combined using the Kronecker product. Nevertheless, one of the main challenges is related to handling the tensor rank, which is particularly addressed for each specific decomposition order. Previous solutions have been designed for second-order (matrix case) and third-order tensorial decompositions. In this paper, we develop a recursive least-squares adaptive filtering algorithm that exploits a fourth-order tensor decomposition, aiming for further performance improvements compared to the existing solutions. In this framework, the influence of the decomposition setup is investigated, which is also related to the main parameters of the algorithm, i.e., the forgetting factors. Simulations performed in the context of acoustic echo cancellation support the theoretical findings and indicate the good performance of the proposed algorithm. Full article
Show Figures

Figure 1

22 pages, 2020 KB  
Article
ADOB: A Field-Friendly Control Framework for Reliable Robotic Systems via Complementary Integration of Robust and Adaptive Control
by Jangyeon Park, Kwanho Yu and Jungsu Choi
Sensors 2026, 26(5), 1443; https://doi.org/10.3390/s26051443 - 25 Feb 2026
Viewed by 352
Abstract
Practical robotic systems require control methods that remain reliable under limited computational resources, uncertain environments, and frequent changes in operating conditions. Although model-based control forms the foundation of high-performance robotics, real-world deployment is often hindered by model uncertainty, time-varying dynamics, and costly identification. [...] Read more.
Practical robotic systems require control methods that remain reliable under limited computational resources, uncertain environments, and frequent changes in operating conditions. Although model-based control forms the foundation of high-performance robotics, real-world deployment is often hindered by model uncertainty, time-varying dynamics, and costly identification. As a result, low-order and intuitive control schemes remain dominant, yet such approaches often fail to sustain consistent performance under disturbances and parameter variations. Robust and adaptive control provide representative paradigms to address this gap, where a Disturbance Observer (DOB) suppresses uncertainty through disturbance rejection and a Parameter Adaptation Algorithm (PAA) improves model fidelity through online identification. However, direct integration of a DOB and a PAA often introduces functional interference, including mutual masking between disturbance compensation and parameter estimation, which compromises closed-loop stability. This paper proposes an Adaptive Disturbance Observer (ADOB) that integrates a DOB with online parameter adaptation. The ADOB updates the nominal model of the DOB in real time using a Recursive Least Squares (RLS)-based PAA, while a dual-filtering structure separates disturbance rejection and parameter identification. Stability is analyzed using hyperstability theory, where a smoothing mechanism enforces the slowly varying parameter assumption. Experiments on a one-Degree-of-Freedom (DOF) electromagnetic actuator and a three-DOF robotic manipulator demonstrate reductions in model uncertainty and tracking error compared with a conventional DOB. Full article
(This article belongs to the Special Issue Dynamics and Control System Design for Robotics)
Show Figures

Figure 1

17 pages, 1450 KB  
Article
Research on SoC Estimation of Lithium Batteries Based on LDL-MIAUKF Algorithm
by Zhihua Xu and Tinglong Pan
Eng 2026, 7(3), 100; https://doi.org/10.3390/eng7030100 - 24 Feb 2026
Viewed by 212
Abstract
Accurate state-of-charge (SoC) estimation is essential for ensuring the safety, efficiency, and longevity of lithium-ion batteries in electric vehicles and energy storage systems. However, conventional methods such as ampere-hour (AH) integration and the extended Kalman filter (EKF) often suffer from error accumulation, sensitivity [...] Read more.
Accurate state-of-charge (SoC) estimation is essential for ensuring the safety, efficiency, and longevity of lithium-ion batteries in electric vehicles and energy storage systems. However, conventional methods such as ampere-hour (AH) integration and the extended Kalman filter (EKF) often suffer from error accumulation, sensitivity to initial conditions, and inadequate handling of strong nonlinearities and time-varying noise. To overcome these limitations, this paper proposes a novel LDL-Decomposition-Based Multi-Innovation Adaptive Unscented Kalman Filter (LDL-MIAUKF) algorithm that integrates three key innovations: (1) multi-innovation theory to exploit historical measurement sequences for enhanced state correction; (2) an adaptive mechanism to dynamically adjust process and observation noise covariances in real time; and (3) LDL decomposition (instead of Cholesky) to guarantee numerical stability and positive definiteness of the covariance matrix during sigma point generation. A second-order RC equivalent circuit model is established for the lithium battery, and its parameters are identified online using the forgetting factor recursive least squares (FFRLS) method under Hybrid Pulse Power Characterization (HPPC) test conditions. The proposed LDL-MIAUKF algorithm is then applied to estimate SoC using real battery data. Experimental results demonstrate that the LDL-MIAUKF achieves a maximum SoC estimation error of less than 1% at 25 °C and effectively tracks the reference SoC with high robustness. Furthermore, the terminal voltage prediction error of the identified model remains within ±0.1 V, confirming model accuracy. These results validate that the proposed LDL-MIAUKF algorithm significantly improves estimation accuracy, stability, and adaptability, making it a promising solution for advanced battery management systems. Full article
(This article belongs to the Section Electrical and Electronic Engineering)
Show Figures

Figure 1

25 pages, 896 KB  
Article
Sequential Deep Learning with Feature Compression and Optimal State Estimation for Indoor Visible Light Positioning
by Negasa Berhanu Fite, Getachew Mamo Wegari and Heidi Steendam
Photonics 2026, 13(2), 211; https://doi.org/10.3390/photonics13020211 - 23 Feb 2026
Viewed by 673
Abstract
Visible Light Positioning (VLP) is widely regarded as a promising technology for high-precision indoor localization due to its immunity to radio-frequency interference and compatibility with existing Light-Emitting Diode (LED) lighting infrastructure. Despite recent progress, current VLP systems remain fundamentally limited by nonlinear received [...] Read more.
Visible Light Positioning (VLP) is widely regarded as a promising technology for high-precision indoor localization due to its immunity to radio-frequency interference and compatibility with existing Light-Emitting Diode (LED) lighting infrastructure. Despite recent progress, current VLP systems remain fundamentally limited by nonlinear received signal strength (RSS) characteristics, unknown transmitter orientations, and dynamic indoor disturbances. Existing solutions typically address these challenges in isolation, resulting in limited robustness and scalability. This paper proposes SCENE-VLP (Sequential Deep Learning with Feature Compression and Optimal State Estimation), a structured positioning framework that integrates feature compression, temporal sequence modeling, and probabilistic state refinement within a unified estimation pipeline. Specifically, SCENE-VLP combines Principal Component Analysis (PCA) and Denoising Autoencoders (DAE) for linear and nonlinear observation conditioning, Gated Recurrent Units (GRU) for modeling temporal dependencies in RSS sequences, and Kalman-based filtering (KF/EKF) for recursive state-space refinement. The framework is formulated as a hierarchical approximation of the nonlinear observation model, linking data-driven measurement learning with Bayesian state estimation. A systematic ablation study across multiple scenarios, including same-dataset evaluation and cross-dataset generalization, demonstrates that each component provides complementary benefits. Feature compression reduces redundancy while preserving dominant signal structure; GRU significantly improves robustness over static regression; and recursive filtering consistently reduces positioning error compared to unfiltered predictions. While both KF and EKF improve performance, EKF provides incremental refinement under mild nonlinearities. Extensive simulations conducted on an indoor dataset collected from a realistic deployment with eight ceiling-mounted LEDs and a single photodetector (PD) show that SCENE-VLP achieves sub-decimeter localization accuracy, with P50 and P95 errors of 1.84 cm and 6.52 cm, respectively. Cross-scenario evaluation further confirms stable generalization and statistically consistent improvements. These results demonstrate that the structured integration of observation conditioning, temporal modeling, and Bayesian refinement yields measurable gains beyond partial pipeline configurations, establishing SCENE-VLP as a robust and scalable solution for next-generation indoor visible light positioning systems. Full article
Show Figures

Figure 1

30 pages, 1973 KB  
Article
Human-Centered AI Perception Prediction in Construction: A Regularized Machine Learning Approach for Industry 5.0
by Annamária Behúnová, Matúš Pohorenec, Tomáš Mandičák and Marcel Behún
Appl. Sci. 2026, 16(4), 2057; https://doi.org/10.3390/app16042057 - 19 Feb 2026
Viewed by 301
Abstract
Industry 5.0 emphasizes human-centered integration of artificial intelligence in industrial contexts, yet successful adoption depends critically on workforce perception and acceptance. This research develops and validates a machine learning framework for predicting AI-related perceptions and expected impacts in the construction industry under small [...] Read more.
Industry 5.0 emphasizes human-centered integration of artificial intelligence in industrial contexts, yet successful adoption depends critically on workforce perception and acceptance. This research develops and validates a machine learning framework for predicting AI-related perceptions and expected impacts in the construction industry under small sample constraints typical of specialized industrial surveys. Specifically, the study aims to develop and empirically validate a predictive AI decision support model that estimates the expected impact of AI adoption in the construction sector based on digital competencies, ICT utilization, AI training and experience, and AI usage at both individual and organizational levels, operationalized through a composite AI Impact Index and two process-oriented outcomes (perceived task automation and perceived cost reduction). Using a dataset of 51 survey responses from Slovak construction professionals collected in 2025, we implement a methodologically rigorous approach specifically designed for limited-data regimes. The framework encompasses ordinal target simplification from five to three classes, dimensionality reduction through theoretically grounded composite indices reducing features from 15 to 7, exclusive deployment of low variance regularized models, and leave-one-out cross-validation for unbiased performance estimation. The optimal model (Lasso regression with recursive feature elimination) predicts cost reduction perception with R2 = 0.501, MAE = 0.551, and RMSE = 0.709, while six classification targets achieve weighted F1 = 0.681, representing statistically optimal performance given sample constraints and perception measurement variability. Comparative evaluation confirms regularized models outperform high variance alternatives: random forest (R2 = 0.412) and gradient boosting (R2 = 0.292) exhibit substantially lower generalization performance, empirically validating the bias-variance trade-off rationale. Key methodological contributions include explicit bias-variance optimization preventing overfitting, feature selection via RFE reducing input space to six predictors (personal AI usage, AI impact on budgeting, ICT utilization, AI training, company size, and age), and demonstration that principled statistical approaches achieve meaningful predictions without requiring large-scale datasets or complex architectures. The framework provides a replicable blueprint for perception and impact prediction in data-constrained Industry 5.0 contexts, enabling targeted interventions, including customized training programs, strategic communication prioritization, and resource allocation for change management initiatives aligned with predicted adoption patterns. Full article
Show Figures

Figure 1

28 pages, 4267 KB  
Article
Machine Learning Framework for HbA1c Prediction: Data Enrichment, Cost Optimization, and Interpretability Through Stratified Regression and Multi-Stage Feature Selection
by Mohamed Ezz, Majed Abdullah Alrowaily, Menwa Alshammeri, Alshaimaa A. Tantawy, Azzah Allahim and Ayman Mohamed Mostafa
Diagnostics 2026, 16(4), 607; https://doi.org/10.3390/diagnostics16040607 - 19 Feb 2026
Viewed by 353
Abstract
Background: Measuring glycated hemoglobin (HbA1c) is essential for assessing long-term glycemic control, yet direct testing remains expensive and underutilized in many large-scale health surveys and resource-constrained settings. This study aims to (i) deliver a highly accurate and interpretable ML model for predicting HbA1c [...] Read more.
Background: Measuring glycated hemoglobin (HbA1c) is essential for assessing long-term glycemic control, yet direct testing remains expensive and underutilized in many large-scale health surveys and resource-constrained settings. This study aims to (i) deliver a highly accurate and interpretable ML model for predicting HbA1c from routinely collected clinical, biochemical, and demographic data, (ii) reduce dependency on extensive laboratory panels by identifying a compact, cost-efficient subset of key predictors, and (iii) establish a transferable, explainable modeling framework applicable across chronic disease biomarkers. Unlike prior HbA1c prediction studies that focus primarily on classification or accuracy-driven models, this work introduces a unified framework for continuous HbA1c regression that jointly integrates cost-oriented feature parsimony, stratified regression validation, and explainability by design. Methods: We aggregated data from the National Health and Nutrition Examination Survey (NHANES) cycles 2007–2020, encompassing 66,148 records and 224 candidate features. We implemented a two-stage feature selection pipeline: Incremental Correlation Selection (ICS) to narrow the variable space, followed by Recursive Feature Elimination with Cross-Validation (RFECV) to isolate the most informative features. Model interpretability was assessed using partial dependence plots and feature importance analysis. Results: The optimal model, LightGBMRegressor with most-frequent imputation, achieved R2 = 0.7161, MAE = 0.334, MSE = 0.304, and MAPE = 5.56%, while using only 40 selected features. Interpretability analysis revealed clinically coherent relationships that align with physiological expectations. Discussion: The proposed framework maintains robust predictive performance while substantially reducing the number of required input features, enabling cost-efficient HbA1c estimation together with transparent, physiologically coherent model insights. By consolidating continuous HbA1c prediction, cost-aware feature selection, stratified evaluation, and explainability within a single pipeline are enhanced. Conclusions: This study advances beyond existing approaches and offers a practical blueprint for scalable biomarker estimation in population health and clinical decision-support applications. Its explainable, efficient, and generalizable design positions it as a strong candidate for clinical decision-support and population-health applications. Full article
(This article belongs to the Special Issue AI and Big Data in Medical Diagnostics)
Show Figures

Figure 1

34 pages, 39528 KB  
Article
Geospatial–Temporal Quantification of Tectonically Constrained Marble Resources Within the Wadi El Shati Extensional Regime via Multi-Sensor Sentinel and DEM Data Fusion
by Mahmood Salem Dhabaa, Ahmed Gaber and Adel Kamel Mohammed
Geosciences 2026, 16(2), 81; https://doi.org/10.3390/geosciences16020081 - 14 Feb 2026
Viewed by 336
Abstract
This study addresses a critical knowledge gap in quantifying strategic mineral resources within hyper-arid, tectonically complex terrains by establishing a recursive framework that reconciles deterministic resource estimation with the nonlinear dynamics of tectonically mediated metamorphic systems. Using Libya’s Wadi El Shati as a [...] Read more.
This study addresses a critical knowledge gap in quantifying strategic mineral resources within hyper-arid, tectonically complex terrains by establishing a recursive framework that reconciles deterministic resource estimation with the nonlinear dynamics of tectonically mediated metamorphic systems. Using Libya’s Wadi El Shati as a case study, legacy lithological misclassifications are rectified through the fusion of Sentinel-1 Synthetic Aperture Radar, Sentinel-2 multispectral imagery, and Digital Elevation Model analytics within a unified geospatial workflow. The methodology synergizes atmospherically corrected optical data, processed via supervised Maximum Likelihood Classification, with calibrated radar-derived structural lineaments. Classified marble-bearing zones within the Al Mahruqah Formation are integrated with DEM data and field-validated thickness measurements using Triangulated Irregular Network models to resolve surface–subsurface dependencies and compute volumes. The results demonstrate a 91% lithological classification accuracy, rectifying a 22% error in legacy maps. Structural analysis of 1213 lineaments confirms a dominant NE–SW extensional regime (σ3) that facilitated fluid conduits. The quantified marble-bearing horizon spans ~334 km2 with a volume of 6.0 km3 (±9%). Spatial analysis reveals a causal link between high-grade marble clusters, basaltic intrusions, and NE–SW fault systems, refining models of contact metamorphism in rift-related settings. Full article
Show Figures

Figure 1

21 pages, 12481 KB  
Article
Research on Multi-State Estimation Strategy for Lithium-Ion Batteries Considering Temperature Bias
by Zhihai Zeng, Yajun Wang and Siyuan Wang
Appl. Sci. 2026, 16(4), 1754; https://doi.org/10.3390/app16041754 - 10 Feb 2026
Viewed by 318
Abstract
Accurate state estimation is a key technology for improving battery utilization and ensuring operational safety in electric vehicles. The joint estimation of the state of charge (SOC) and the state of power (SOP) over a wide temperature range is therefore essential for intelligent [...] Read more.
Accurate state estimation is a key technology for improving battery utilization and ensuring operational safety in electric vehicles. The joint estimation of the state of charge (SOC) and the state of power (SOP) over a wide temperature range is therefore essential for intelligent battery management systems. To address modeling uncertainties and estimation accuracy degradation induced by ambient temperature variations, a dual-polarization equivalent circuit thermal model incorporating temperature bias is proposed, and online parameter updating is achieved using the forgetting factor recursive least squares (FFRLS) algorithm. Furthermore, an unscented particle filter (UPF) is constructed by employing the unscented Kalman filter (UKF) as the proposal density function of the particle filter, thereby improving the estimation accuracy and convergence speed of SOC under wide temperature conditions. Based on the coupling relationship between SOC and SOP, a stepwise progressive strategy is then developed to predict the peak power state under multiple constraints, enhancing the robustness of SOP estimation. Simulation and experimental results demonstrate that the proposed method can accurately estimate SOC and SOP under complex operating conditions over a wide temperature range from −5 °C to 45 °C, exhibiting favorable convergence performance and estimation accuracy, which contributes to the safe operation and performance optimization of electric vehicle battery systems. Full article
Show Figures

Figure 1

Back to TopTop