Sign in to use this feature.

Years

Between: -

Subjects

remove_circle_outline
remove_circle_outline
remove_circle_outline
remove_circle_outline
remove_circle_outline
remove_circle_outline
remove_circle_outline
remove_circle_outline
remove_circle_outline

Journals

Article Types

Countries / Regions

remove_circle_outline
remove_circle_outline
remove_circle_outline

Search Results (324)

Search Parameters:
Keywords = received waveform

Order results
Result details
Results per page
Select all
Export citation of selected articles as:
25 pages, 1283 KB  
Article
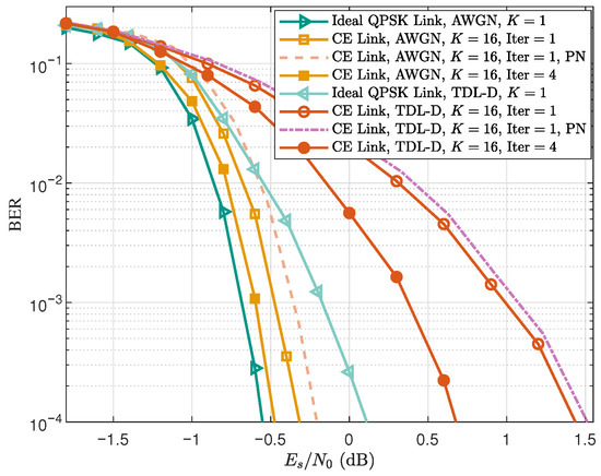
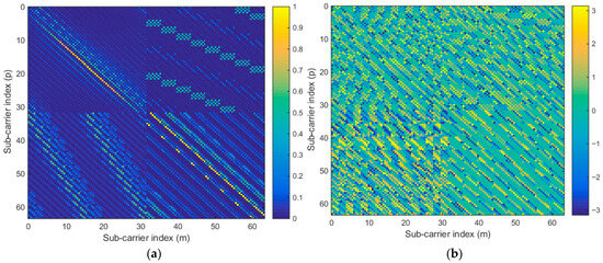
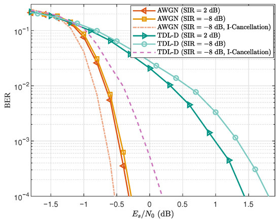
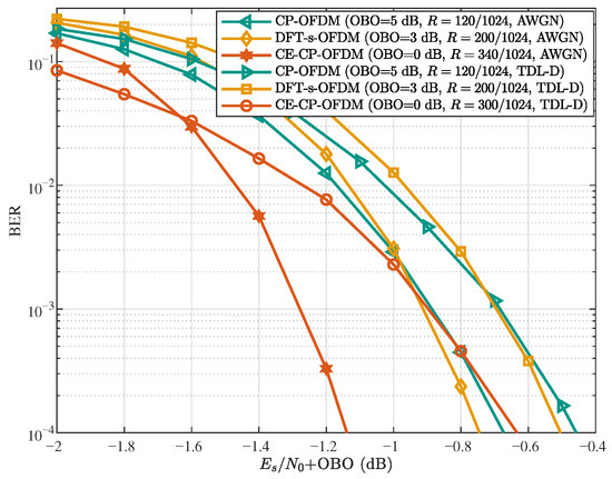
Achieving Enhanced Spectral Efficiency for Constant Envelope Transmission in CP-OFDMA Framework
by Zhuhong Zhu, Yiming Zhu, Xiaodong Xu, Wenjin Wang, Li Chai and Yi Zheng
Sensors 2025, 25(23), 7257; https://doi.org/10.3390/s25237257 - 28 Nov 2025
Viewed by 400
Abstract
Orthogonal frequency-division multiplexing (OFDM) has been adopted as the baseline waveform for sixth-generation (6G) networks owing to its robustness and high spectral efficiency. However, its inherently high peak-to-average power ratio (PAPR) limits power amplifier efficiency and causes nonlinear distortion, particularly in power- and [...] Read more.
Orthogonal frequency-division multiplexing (OFDM) has been adopted as the baseline waveform for sixth-generation (6G) networks owing to its robustness and high spectral efficiency. However, its inherently high peak-to-average power ratio (PAPR) limits power amplifier efficiency and causes nonlinear distortion, particularly in power- and cost-constrained 6G scenarios. To address these challenges, we propose a constant-envelope cyclic-prefix OFDM (CE-CP-OFDM) transceiver under the CP-OFDMA framework, which achieves high spectral efficiency while maintaining low PAPR. Specifically, we introduce a spectrally efficient subcarrier mapping scheme with partial frequency overlap and establish a multiuser received signal model under frequency-selective fading channels. Subsequently, to minimize channel estimation error, we develop an optimal multiuser CE pilot design by exploiting frequency-domain phase shifts and generalized discrete Fourier transform-based time-domain sequences. For large-scale multiuser scenarios, a joint delay–frequency-domain channel estimation method is proposed, complemented by a low-complexity linear minimum mean square error (LMMSE) estimator in the delay domain. To mitigate inter-symbol and multiple-access interference, we further design an iterative frequency-domain LMMSE (FD-LMMSE) equalizer based on the multiuser joint received-signal model. Numerical results demonstrate that the proposed CE-CP-OFDM transceiver achieves superior bit-error-rate performance compared with conventional waveforms while maintaining high spectral efficiency. Full article
(This article belongs to the Section Communications)
Show Figures

Figure 1

26 pages, 1328 KB  
Article
Adaptive Electromagnetic Working Mode Decision-Making Algorithm for Miniaturized Radar Systems in Complex Electromagnetic Environments: An Improved Soft Actor–Critic Algorithm
by Houwei Liu, Chudi Zhang, Lulu Wang, Jun Hu and Shiyou Xu
Electronics 2025, 14(23), 4633; https://doi.org/10.3390/electronics14234633 - 25 Nov 2025
Viewed by 169
Abstract
With the advancement of multi-function radar (MFR) technology, miniaturized radar systems (MRSs) inevitably operate in complex electromagnetic environments (CEEs) dominated by MFRs as single-function radars are gradually being replaced by MFRs. MFRs can not only flexibly switch working states and generate diverse radar [...] Read more.
With the advancement of multi-function radar (MFR) technology, miniaturized radar systems (MRSs) inevitably operate in complex electromagnetic environments (CEEs) dominated by MFRs as single-function radars are gradually being replaced by MFRs. MFRs can not only flexibly switch working states and generate diverse radar signal characteristics, but they can also acquire the MRSs’ position information, which has a significant impact on the execution of the MRSs’ close-range remote sensing missions. For resource-constrained MRS, selecting the optimal electromagnetic working mode in such environments becomes a critical challenge. This paper addresses the adaptive electromagnetic working mode decision-making (EWMDM) problem for MRS in CEE by establishing an EWMDM model and proposing a reinforcement learning (RL) method based on an improved soft actor–critic algorithm with prioritized experience replay (SAC-PER). First, we simulate the process of MRS receiving pulse description words (PDWs) from MFR waveforms and introduce noise into the PDWs to emulate real electromagnetic environments. Then we use a threshold to filter out uncertain recognition results to reduce the impact of noise on the MFR’s working state recognition. Subsequently, we analyze the limitations of the SAC-PER algorithm in noisy environments and propose an improved algorithm—SAC with alpha decay prioritized experience replay (SAC-ADPER)—to address the influence of environmental noise and stochasticity. Experimental results show that SAC-ADPER significantly accelerates the convergence speed of EWMDM in noisy environments and validate the effectiveness of the proposed method. Full article
(This article belongs to the Special Issue New Research in Computational Intelligence)
Show Figures

Figure 1

21 pages, 3424 KB  
Article
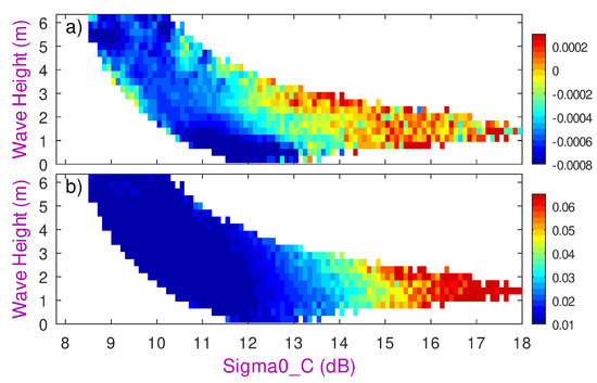
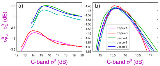
The Intertwined Factors Affecting Altimeter Sigma0
by Graham D. Quartly
Remote Sens. 2025, 17(22), 3776; https://doi.org/10.3390/rs17223776 - 20 Nov 2025
Viewed by 260
Abstract
Radar altimeters receive radio-wave reflections from nadir and determine surface parameters from the strength and shape of the return signal. Over the oceans, the strength of the return, termed sigma0 (σ0), is strongly related to the small-scale roughness of the [...] Read more.
Radar altimeters receive radio-wave reflections from nadir and determine surface parameters from the strength and shape of the return signal. Over the oceans, the strength of the return, termed sigma0 (σ0), is strongly related to the small-scale roughness of the ocean surface and is used to estimate near-surface wind speed. However, a number of other factors affect σ0, and these need to be estimated and compensated for when developing long-term consistent σ0 records spanning multiple missions. Aside from unresolved issues of absolute calibration, there are various geophysical factors (sea surface temperature, wave height and rain) that have an effect. The choice of the waveform retracking algorithm also affects the σ0 values, with the four-parameter Maximum Likelihood Estimator introducing a strong dependence on waveform-derived mispointing and the use of delay-Doppler processing leading to apparent variation with spacecraft radial velocity. As all of these terms have strong geographical correlations, care is required to disentangle these various effects in order to establish a long-term consistent record. This goal will enable a better investigation of the long-term changes in wind speed at sea. Full article
Show Figures

Graphical abstract

16 pages, 411 KB  
Article
The Influence of Berberine on Vascular Function Parameters, Among Them VEGF, in Individuals with MAFLD: A Double-Blind, Randomized, Placebo-Controlled Trial
by Anna Koperska, Ewa Miller-Kasprzak, Agnieszka Seraszek-Jaros, Katarzyna Musialik, Paweł Bogdański and Monika Szulińska
Nutrients 2025, 17(22), 3585; https://doi.org/10.3390/nu17223585 - 16 Nov 2025
Viewed by 984
Abstract
Background: Metabolically Associated Fatty Liver Disease (MAFLD) is a prevalent liver disorder closely tied to metabolic dysfunction, insulin resistance, and chronic low-grade inflammation. Vascular Endothelial Growth Factor (VEGF) may have a dual interesting role in MAFLD pathophysiology—supporting vascular repair in early stages, but [...] Read more.
Background: Metabolically Associated Fatty Liver Disease (MAFLD) is a prevalent liver disorder closely tied to metabolic dysfunction, insulin resistance, and chronic low-grade inflammation. Vascular Endothelial Growth Factor (VEGF) may have a dual interesting role in MAFLD pathophysiology—supporting vascular repair in early stages, but potentially contributing to fibrosis in later stages. In this study, berberine (BBR), a plant-derived isoquinoline alkaloid, exhibits multiple beneficial properties, including anti-inflammatory, antioxidant, and endothelial-protective effects, on the study group, perhaps by influencing VEGF concentration. Objective: This study aimed to investigate the effectiveness of BBR in addressing vascular function parameters linked to MAFLD, particularly its impact on serum VEGF levels and arterial stiffness. Methods: This randomized, double-blind, placebo-controlled clinical trial enrolled seventy individuals with MAFLD who were overweight or obese. Participants were randomly assigned in a 1:1 ratio to receive either BBR (1500 mg/day) or a placebo orally for 12 weeks. The following parameters were assessed pre- and post-intervention: VEGF, brachial SBP (Systolic Blood Pressure)/DBP (Diastolic Blood Pressure), MAP (Mean Arterial Pressure), AIx (Augmentation Index), AP (Aortic Pressure), number of waveforms, Pulse Pressure (PP), PWV (Pulse Wave Velocity), and PWA-SP/PWA-DP (Pulse Wave Analysis Systolic/Diastolic Pressure). The results for the metabolic parameters—FLI (Fatty Liver Index)—and anthropometric parameters—BMI (Body Mass Index), fat mass corp—and laboratory parameters, among them, hsCRP (high-sensitivity C-reactive protein), were published by us earlier. Results: In the BBR-treated cohort, VEGF concentrations demonstrated a statistically significant increase following the intervention, rising from a baseline mean of 456.23 ± 307.61 pg/mL to 561.22 ± 389.77 pg/mL (p < 0.0001). In the BBR group, a significant reduction in PWA-SP was observed after 12 weeks of supplementation (134.85 ± 16.26 vs. 124.46 ± 13.47 mmHg, p < 0.0001). No statistically significant differences were observed in the parameters determining arterial stiffness in the BBR and placebo groups. In the BBR group, delta VEGF correlated negatively with delta FLI; no such associations were observed in the placebo group. Changes in PWV were consistent and significantly correlated with changes in brachial SBP/DBP, PWA-SP, PWA-DP, and MAP. No serious adverse events were reported, and BBR was well tolerated. Conclusions: BBR appears to be a safe and promising adjunct in MAFLD therapy, potentially exerting reparative effects through VEGF modulation and vascular support. Further research is warranted to confirm its long-term impact and elucidate underlying protective mechanisms. Full article
(This article belongs to the Special Issue Botanicals and Nutritional Approaches in Metabolic Disorders)
Show Figures

Figure 1

32 pages, 8299 KB  
Article
The Auto Sensor Test as an AE Signal Source in Concrete Specimens
by Magdalena Bacharz, Michał Teodorczyk and Jarosław Szulc
Materials 2025, 18(22), 5084; https://doi.org/10.3390/ma18225084 - 8 Nov 2025
Viewed by 422
Abstract
Numerous artificial sources of acoustic waves have been described in the literature, which are designed to replicate the process by which actual damage occurs in a given material. Knowledge of the velocity with which an acoustic wave propagates is important here, both in [...] Read more.
Numerous artificial sources of acoustic waves have been described in the literature, which are designed to replicate the process by which actual damage occurs in a given material. Knowledge of the velocity with which an acoustic wave propagates is important here, both in order to correctly locate the signal source and to determine the degree of material degradation or the location of damage that has already occurred in the medium. This work presents the results of laboratory tests comparing two sources of artificial waves in terms of determining their parameters: the Hsu–Nielsen source and a sensor with the Auto Sensor Test function. The AST function allows the sensors to send and receive an elastic wave and is used to calibrate the sensor before, during, or after the test. In this study, the impact of the positioning of the sensors on the element being tested, their spacing, and the distance of the wave source from the sensor on selected parameters of the recorded waves are analyzed: velocity, amplitude, energy, rise time, waveform shape, and wavelet maps. This work demonstrates that a sensor with the AST function can be an effective alternative for the Hsu–Nielsen source in diagnostic studies. Full article
Show Figures

Figure 1

29 pages, 3379 KB  
Article
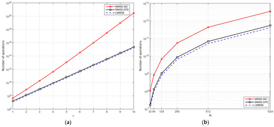
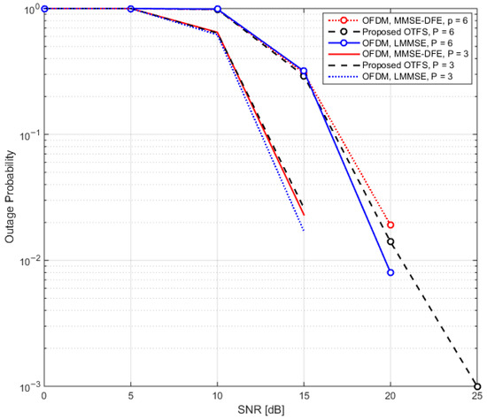
Robust OTFS Detection via MMSE-DFE Equalization for ISAC in Doubly Dispersive Channels
by Khaled Ramadan, Ibrahim Aqeel and Emad S. Hassan
Mathematics 2025, 13(21), 3545; https://doi.org/10.3390/math13213545 - 5 Nov 2025
Viewed by 429
Abstract
This paper presents a detailed performance evaluation of a proposed Orthogonal Time Frequency Space (OTFS) system for Integrated Sensing and Communications (ISAC) in doubly dispersive wireless channels, characterized by both delay and Doppler spreads. The system is benchmarked against conventional Orthogonal Frequency Division [...] Read more.
This paper presents a detailed performance evaluation of a proposed Orthogonal Time Frequency Space (OTFS) system for Integrated Sensing and Communications (ISAC) in doubly dispersive wireless channels, characterized by both delay and Doppler spreads. The system is benchmarked against conventional Orthogonal Frequency Division Multiplexing (OFDM) schemes with Linear Minimum Mean Square Error (LMMSE) and Minimum Mean Square Error Decision Feedback Equalizer (MMSE-DFE) receivers. Through extensive simulations, the paper assesses Bit Error Rate (BER) and throughput performance under various Signal-to-Noise Ratios (SNRs), channel estimation error percentages, and multipath conditions. Results indicate that the proposed OTFS system is highly suitable for ISAC scenarios due to its delay-Doppler domain resilience and robustness to mobility, delivering superior BER performance, e.g., 1.25×105 at 20 dB SNR with 0% estimation error, compared to 1.10×103 for OFDM-LMMSE. It also sustains 64 Mbps throughput under ideal conditions, though it shows sensitivity under severe estimation errors and rich multipath. In contrast, OFDM with LMMSE demonstrates smaller performance variation, maintaining over 61 Mbps throughput even at 100% estimation error and 15 scattered path components. These results suggest that OTFS is an effective waveform for ISAC when accurate channel estimation is available, while the corresponding OFDM with MMSE-DFE remains a robust fallback in highly uncertain environments. Full article
(This article belongs to the Special Issue Computational Methods in Wireless Communication)
Show Figures

Figure 1

22 pages, 608 KB  
Article
A Low-Complexity Peak Searching Method for Jointly Optimizing the Waveform and Filter of MIMO Radar
by Yan Han, Defu Jiang, Yiyue Gao, Song Wang, Kanghui Jiang, Mingxing Fu and Ruohan Yu
Electronics 2025, 14(21), 4252; https://doi.org/10.3390/electronics14214252 - 30 Oct 2025
Viewed by 206
Abstract
This paper addresses the joint design of transmit waveforms and receive filters for multiple-input multiple-output (MIMO) radar systems in the presence of signal-dependent clutter and steering vector mismatch. A low-complexity peak searching algorithm is developed to maximize the output signal-to-clutter-plus-noise ratio (SCNR) under [...] Read more.
This paper addresses the joint design of transmit waveforms and receive filters for multiple-input multiple-output (MIMO) radar systems in the presence of signal-dependent clutter and steering vector mismatch. A low-complexity peak searching algorithm is developed to maximize the output signal-to-clutter-plus-noise ratio (SCNR) under a constant-modulus constraint. Different from existing approaches, this paper decomposes the receive filter into a spatial beamformer and a temporal filter to reduce the dimensionality of matrix inversion. The angular uncertainty of the target direction is discretized, and a peak searching strategy identifies the optimal error angle, which is then used to optimize the initial phases of the transmit waveform subcarriers. Based on the optimized initial phases, the estimates of the target angle and steering vector are updated, and the receive filter coefficients are further modified, thereby improving the output SCNR. Numerical simulations are provided to evaluate the performance of the proposed approach compared with existing mismatch-robust methods. The results show that the proposed method preserves inter-subcarrier orthogonality, achieves near-ideal output SCNR with reduced computational complexity, and enables real-time acquisition of more accurate target angles. Full article
(This article belongs to the Section Circuit and Signal Processing)
Show Figures

Figure 1

12 pages, 810 KB  
Article
Early Sepsis Prediction Using Publicly Available Data: High-Performance AI/ML Models with First-Hour Clinical Information
by Hao Wang, Destiny Pounds, Wenhui Zhang, Alaa Y. Mokbel, Md Niamul Kabir, Xin Yao Lin, April Highlander and Iman Dehzangi
Diagnostics 2025, 15(21), 2727; https://doi.org/10.3390/diagnostics15212727 - 28 Oct 2025
Viewed by 2257
Abstract
Objectives: Early identification of sepsis is critical, as delayed diagnosis significantly increases morbidity and mortality. We aimed to develop and validate AI/ML models for early sepsis prediction using structured electronic health record (EHR) data, waveform data, and a combination of both. Methods: We [...] Read more.
Objectives: Early identification of sepsis is critical, as delayed diagnosis significantly increases morbidity and mortality. We aimed to develop and validate AI/ML models for early sepsis prediction using structured electronic health record (EHR) data, waveform data, and a combination of both. Methods: We conducted a retrospective observational study using the AIM-AHEAD60 subset of the CHoRUS dataset. Adult patients (≥18 years) with a final diagnosis of sepsis were included. Structured EHR data (demographics, initial vital signs, laboratory results) and waveform data (continuous vital signs) from the first hour of hospital arrival were extracted. Three algorithms (i.e., XGBoost, LightGBM, and HistGB) were developed with a focus on maximizing the performance metric of recall. Other performance metrics were also assessed, including accuracy, precision, F1 score, and the area under the receiver operating characteristic curve (AUROC). Results: A total of 11,312 unique patients met the inclusion criteria, among whom 2245 individuals (19.85%) were diagnosed with sepsis at least once. Using structured EHR data alone, laboratory variables such as lactate and leukocyte count were most predictive. Waveform models identified respiratory rate, systolic blood pressure, and temperature trends in the first hour as key predictors. Combined models highlighted mean temperature and mean systolic blood pressure as top features. XGBoost achieved the highest AUROC (0.922) across all data configurations, with a recall above 80%, demonstrating robust performance despite substantial missing data. Conclusions: High-performing AI/ML models for early sepsis prediction can be developed from publicly available datasets using only first-hour clinical information. XGBoost models demonstrate strong potential for real-time clinical screening. Full article
(This article belongs to the Section Diagnostic Microbiology and Infectious Disease)
Show Figures

Figure 1

12 pages, 1805 KB  
Article
Experimental Demonstration of High-Security and Low-CSPR Single-Sideband Transmission System Based on 3D Lorenz Chaotic Encryption
by Chao Yu, Angli Zhu, Hanqing Yu, Yuanfeng Li, Mu Yang, Peijin Hu, Haoran Zhang, Xuan Chen, Hao Qi, Deqian Wang, Yiang Qin, Xiangning Zhong, Dong Zhao and Yue Liu
Photonics 2025, 12(11), 1042; https://doi.org/10.3390/photonics12111042 - 22 Oct 2025
Viewed by 377
Abstract
Broadcast-style downlinks (e.g., PONs and satellites) expose physical waveforms despite transport-layer cryptography, motivating physical-layer encryption (PLE). Digital chaotic encryption is appealing for its noise-like spectra, sensitivity, and DSP-friendly implementation, but in low-CSPR KK-SSB systems, common embeddings disrupt minimum-phase requirements and raise PAPR/SSBI near [...] Read more.
Broadcast-style downlinks (e.g., PONs and satellites) expose physical waveforms despite transport-layer cryptography, motivating physical-layer encryption (PLE). Digital chaotic encryption is appealing for its noise-like spectra, sensitivity, and DSP-friendly implementation, but in low-CSPR KK-SSB systems, common embeddings disrupt minimum-phase requirements and raise PAPR/SSBI near 1 dB CSPR, while finite-precision effects can leak correlation after KK reconstruction. We bridge this gap by integrating 3D Lorenz-based PLE into our low-CSPR KK-SSB receiver. A KK-compatible embedding applies a Lorenz-driven XOR mapping to I/Q bitstreams before PAM4-to-16QAM modulation, preserving the minimum phase and avoiding spectral zeros. Co-design of chaotic strength and subband usage with the KK SSBI-suppression method maintains SSBI mitigation with negligible PAPR growth. We further adopt digitization settings and fractional-digit-parity-based key derivation to suppress short periods and remove key-revealing synchronization cues. Experiments demonstrate a 1091 key space without degrading transmission quality, enabling secure, key-concealed operation on shared downlinks and offering a practical path for chaotic PLE in near-minimum-CSPR SSB systems. Full article
(This article belongs to the Special Issue Advanced Optical Transmission Techniques)
Show Figures

Figure 1

13 pages, 6355 KB  
Article
TranSIC-Net: An End-to-End Transformer Network for OFDM Symbol Demodulation with Validation on DroneID Signals
by Zhihong Wang and Zi-Xin Xu
Sensors 2025, 25(20), 6488; https://doi.org/10.3390/s25206488 - 21 Oct 2025
Viewed by 746
Abstract
Demodulating Orthogonal Frequency Division Multiplexing (OFDM) signals in complex wireless environments remains a fundamental challenge, especially when traditional receiver designs rely on explicit channel estimation under adverse conditions such as low signal-to-noise ratio (SNR) or carrier frequency offset (CFO). Motivated by practical challenges [...] Read more.
Demodulating Orthogonal Frequency Division Multiplexing (OFDM) signals in complex wireless environments remains a fundamental challenge, especially when traditional receiver designs rely on explicit channel estimation under adverse conditions such as low signal-to-noise ratio (SNR) or carrier frequency offset (CFO). Motivated by practical challenges in decoding DroneID—a proprietary OFDM-like signaling format used by DJI drones with a nonstandard frame structure—we present TranSIC-Net, a Transformer-based end-to-end neural network that unifies channel estimation and symbol detection within a single architecture. Unlike conventional methods that treat these steps separately, TranSIC-Net implicitly learns channel dynamics from pilot patterns and exploits the attention mechanism to capture inter-subcarrier correlations. While initially developed to tackle the unique structure of DroneID, the model demonstrates strong generalizability: with minimal adaptation, it can be applied to a wide range of OFDM systems. Extensive evaluations on both synthetic OFDM waveforms and real-world unmanned aerial vehicle (UAV) signals show that TranSIC-Net consistently outperforms least-squares plus zero-forcing (LS+ZF) and leading deep learning baselines such as ProEsNet in terms of bit error rate (BER), estimation accuracy, and robustness—highlighting its effectiveness and flexibility in practical wireless communication scenarios. Full article
(This article belongs to the Section Communications)
Show Figures

Figure 1

14 pages, 535 KB  
Article
Evaluation of Safety and Acceptability of 40 Hz Amplitude-Modulated Auditory Stimulation in Healthy Older People: A Prospective Study from Japan
by Shunsuke Sato, Kazuma Maeda, Hiroki Chinen, Shinzo Hiroi, Keita Tanaka, Eriko Ogura, Hiroki Fukuju, Kentaro Morimoto, Yoshiki Nagatani, Kazuki Takazawa, Taiki Kasai, Yumi Ohta and Manabu Ikeda
Healthcare 2025, 13(20), 2638; https://doi.org/10.3390/healthcare13202638 - 20 Oct 2025
Viewed by 809
Abstract
Background/Objectives: Dysregulated gamma oscillations are associated with cognitive dysfunction. Auditory stimulation at 40 Hz enhances neural activity in brain regions associated with learning, attention, and memory. This study assessed the safety and acceptability of 40 Hz amplitude-modulated auditory stimulation in healthy older people. [...] Read more.
Background/Objectives: Dysregulated gamma oscillations are associated with cognitive dysfunction. Auditory stimulation at 40 Hz enhances neural activity in brain regions associated with learning, attention, and memory. This study assessed the safety and acceptability of 40 Hz amplitude-modulated auditory stimulation in healthy older people. Auditory stimuli were created using popular songs, where vocals and background music were separated and independently amplitude-modulated at 40 Hz with different modulation depths to generate periodic 40 Hz gamma waveforms. Methods: In this open-label, single-arm study, healthy participants aged ≥65 years received 40 Hz amplitude-modulated auditory stimulation daily via a smartphone for 28 days through earphones/headphones. Safety was assessed through adverse event (AE) monitoring and changes in clinical scores for depression, cognitive function, and hearing thresholds. Acceptability was evaluated by adherence rates, listening time, dropout reasons, volume levels, intent for future use, and subjective impressions of the sound source on a 7-point Likert scale. Results: Among 28 participants (mean age 69.1 years, 53.6% female), six reported 12 AEs, with six considered device-related (e.g., ear discomfort, jaw pain, musculoskeletal stiffness). The AEs observed were mild or moderate. Scores for cognitive function, depression, and hearing thresholds did not worsen during the study period. Adherence was observed in 96.4%, with 85.7% expressing interest in continuing. Most participants rated the sounds’ unnaturalness between 2 and 3 and discomfort between 1 and 3 on the 7-point Likert scale. Conclusions: The intervention was well tolerated and acceptable in study participants, with no major safety concerns identified. Auditory stimulation did not cause severe discomfort or reduce acceptability. Further studies should explore the long-term effects and broader clinical applications. Full article
Show Figures

Figure 1

19 pages, 2659 KB  
Article
A Full Pulse Acoustic Monitoring Method for Detecting the Interface During Concrete Pouring in Cast-in-Place Pile
by Ming Chen, Jinchao Wang, Jiwen Zeng and Hao He
Appl. Sci. 2025, 15(20), 11205; https://doi.org/10.3390/app152011205 - 19 Oct 2025
Viewed by 455
Abstract
As a key form of deep foundation in civil engineering, the concrete pouring quality of cast-in-place piles directly determines the integrity and long-term bearing performance of the pile body. Accurate monitoring of the pouring interface is critical to preventing defects such as mud [...] Read more.
As a key form of deep foundation in civil engineering, the concrete pouring quality of cast-in-place piles directly determines the integrity and long-term bearing performance of the pile body. Accurate monitoring of the pouring interface is critical to preventing defects such as mud inclusion and pile breakage. To address the limitations of existing monitoring methods for concrete pouring interfaces, this paper proposes a full-pulse acoustic monitoring method for the concrete pouring interface of cast-in-place piles. Firstly, by constructing a hardware system platform consisting of “multi-level in-borehole sound sources + interface acoustic wave sensors + orifice full-pulse receivers + ground processors”, differential capture of signals propagating at different depths is achieved through multi-frequency excitation. Subsequently, a waveform data processing method is proposed to realize denoising, enhancement, and frequency discrimination of different signals, and a target feature recognition model that integrates cross-correlation functions and signal similarity analysis is established. Finally, by leveraging the differential characteristics of measurement signals at different depths, a near-field measurement mode and a far-field measurement mode are developed, thereby establishing a calculation model for the elevation position of the pouring interface under different scenarios. Meanwhile, the feasibility of the proposed method is verified through practical engineering cases. The results indicate that the proposed full pulse acoustic monitoring method can achieve non-destructive, real-time, and high-precision monitoring of the pouring interface, providing an effective technical approach for quality control in pile foundation construction and exhibiting broad application prospects. Full article
Show Figures

Figure 1

13 pages, 2600 KB  
Article
Multi-Interference Suppression Network: Joint Waveform and Filter Design for Radar Interference Suppression
by Rui Cai, Chenge Shi, Wei Dong and Ming Bai
Electronics 2025, 14(20), 4023; https://doi.org/10.3390/electronics14204023 - 14 Oct 2025
Viewed by 443
Abstract
With the advancement of electromagnetic interference and counter-interference technology, complex and unpredictable interference signals greatly reduce radar detection, tracking, and recognition performance. In multi-interference environments, the overlap of interference cross-correlation peaks can mask target signals, weakening radar interference suppression capability. To address this, [...] Read more.
With the advancement of electromagnetic interference and counter-interference technology, complex and unpredictable interference signals greatly reduce radar detection, tracking, and recognition performance. In multi-interference environments, the overlap of interference cross-correlation peaks can mask target signals, weakening radar interference suppression capability. To address this, we propose a joint waveform and filter design method called Multi-Interference Suppression Network (MISNet) for effective interference suppression. First, we develop a design criterion based on suppression coefficients for different interferences, minimizing both cross-correlation energy and interference peak models. Then, for the non-smooth, non-convex optimization problem, we use complex neural networks and gating mechanisms, transforming it into a differentiable problem via end-to-end training to optimize the transmit waveform and receive filter efficiently. Simulation results show that compared to traditional algorithms, MISNet effectively reduces interference cross-correlation peaks and autocorrelation sidelobes in single interference environments; it demonstrates excellent robustness in multi-interference environments, significantly outperforming CNN, PSO, and ANN comparison methods, effectively improving radar interference suppression performance in complex multi-interference scenarios. Full article
(This article belongs to the Special Issue Innovative Technologies and Services for Unmanned Aerial Vehicles)
Show Figures

Figure 1

13 pages, 3661 KB  
Article
An Energy Storage Unit Design for a Piezoelectric Wind Energy Harvester with a High Total Harmonic Distortion
by Davut Özhan and Erol Kurt
Processes 2025, 13(10), 3217; https://doi.org/10.3390/pr13103217 - 9 Oct 2025
Viewed by 554
Abstract
A new energy storage unit, which is fed by a piezoelectric wind energy harvester, is explored. The outputs of a three-phase piezoelectric wind energy device have been initially recorded from the laboratory experiments. Following the records of voltage outputs, the power ranges of [...] Read more.
A new energy storage unit, which is fed by a piezoelectric wind energy harvester, is explored. The outputs of a three-phase piezoelectric wind energy device have been initially recorded from the laboratory experiments. Following the records of voltage outputs, the power ranges of the device were measured at several hundred microwatts. The main issue of piezoelectric voltage generation is that voltage waveforms of piezoelectric materials have high total harmonic distortion (THD) with incredibly high subharmonics and superharmonics. Therefore, such a material reply causes a certain power loss at the output of the wind energy generator. In order to fix this problem, we propose a combination of a rectifier and a storage system, where they can operate compatibly under high THD rates (i.e., 125%). Due to high THD values, current–voltage characteristics are not linear-dependent; indeed, because of capacitive effect of the piezoelectric (i.e., lead zirconium titanite) material, harvested power from the material is reduced by nearly a factor of 20% in the output. That also negatively affects the storage on the Li-based battery. In order to compensate, the output waveform of the device, the waveforms, which are received from the energy-harvester device, are first rectified by a full-wave rectifier that has a maximum power point tracking (MPPT) unit. The SOC values prove that almost 40% of the charge is stored in 1.2 s under moderate wind speeds, such as 6.1 m/s. To conclude, a better harvesting performance has been obtained by storing the energy into the Li-ion battery under a current–voltage-controlled boost converter technique. Full article
Show Figures

Figure 1

22 pages, 7324 KB  
Article
In Vitro and In Vivo Comparative Analysis of Muscle Regenerative Processes Induced by Different Microcurrent Waveforms in Skeletal Muscle Atrophy
by Yoon-Jin Lee, Eun Sang Kwon, Yong Suk Moon and Dong Rak Kwon
Int. J. Mol. Sci. 2025, 26(19), 9333; https://doi.org/10.3390/ijms26199333 - 24 Sep 2025
Viewed by 758
Abstract
This study aimed to evaluate the regenerative effects of various microcurrent waveforms in cast-induced gastrocnemius muscle atrophy in rabbits, integrating both in vitro and in vivo analyses. After two weeks of enforced hindlimb immobilization via casting, twenty-four rabbits were divided into four groups [...] Read more.
This study aimed to evaluate the regenerative effects of various microcurrent waveforms in cast-induced gastrocnemius muscle atrophy in rabbits, integrating both in vitro and in vivo analyses. After two weeks of enforced hindlimb immobilization via casting, twenty-four rabbits were divided into four groups and treated for two weeks: Group-1 (control) received sham microcurrent, Group-2 was treated with a square waveform microcurrent, Group-3 with a sine waveform, and Group-4 with a triangular waveform. Treatments were administered daily for one hour. Calf circumference, muscle thickness (via ultrasound), tibial nerve CMAP, muscle fiber CSA, and protein expression (via Western blot analysis) were assessed. Among the groups, the sine waveform microcurrent resulted in significantly enhanced recovery across all measured parameters (p < 0.05), showing superior improvements in muscle thickness, CMAP amplitude, and fiber CSA. Immunohistochemical analysis revealed increased expression of proliferation and angiogenesis markers, including BrdU, PCNA, VEGF, and PECAM-1, while Western blotting demonstrated robust upregulation of myogenic regulatory factors such as MyoD and myogenin. Furthermore, levels of inflammatory and apoptotic markers, including TNF-α, NF-κB, and cleaved caspase-3, and stress response proteins, including p-CHK1 and p-CHK2, were markedly reduced. Collectively, these findings indicate that sine waveform microcurrent stimulation most effectively promotes muscle regeneration in both dexamethasone-induced C2C12 myoblasts and cast-induced muscle atrophy, underscoring its therapeutic potential and warranting further studies to optimize clinical application parameters. Full article
Show Figures

Figure 1

Back to TopTop