Evaluation of Safety and Acceptability of 40 Hz Amplitude-Modulated Auditory Stimulation in Healthy Older People: A Prospective Study from Japan †
Abstract
1. Introduction
2. Materials and Methods
2.1. Study Design
2.2. Study Participants
2.3. Study Endpoints
2.4. Statistical Analysis
3. Results
3.1. Patient Disposition
3.2. Baseline Characteristics
3.3. Safety
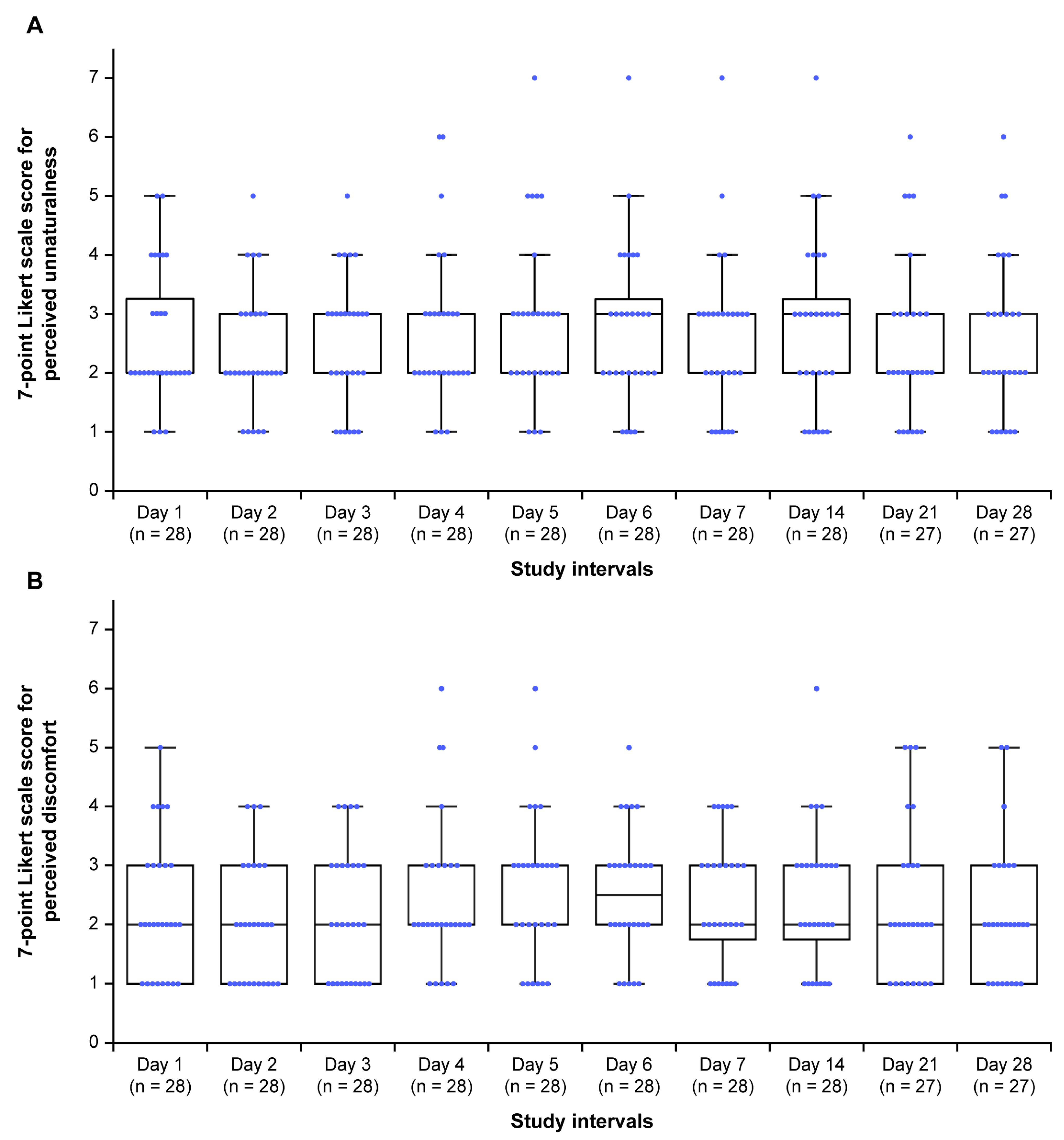
3.4. Acceptability
4. Discussion
5. Conclusions
Supplementary Materials
Author Contributions
Funding
Institutional Review Board Statement
Informed Consent Statement
Data Availability Statement
Acknowledgments
Conflicts of Interest
References
- World Health Organization. Dementia. 2023. Available online: https://www.who.int/news-room/fact-sheets/detail/dementia (accessed on 10 April 2024).
- Kim, B.H.; Kim, S.; Nam, Y.; Park, Y.H.; Shin, S.M.; Moon, M. Second-generation anti-amyloid monoclonal antibodies for Alzheimer’s disease: Current landscape and future perspectives. Transl. Neurodegener. 2025, 14, 6. [Google Scholar] [CrossRef] [PubMed]
- Guan, A.; Wang, S.; Huang, A.; Qiu, C.; Li, Y.; Li, X.; Wang, J.; Wang, Q.; Deng, B. The role of gamma oscillations in central nervous system diseases: Mechanism and treatment. Front. Cell. Neurosci. 2022, 16, 962957. [Google Scholar] [CrossRef] [PubMed]
- Mably, A.J.; Colgin, L.L. Gamma oscillations in cognitive disorders. Curr. Opin. Neurobiol. 2018, 52, 182–187. [Google Scholar] [CrossRef] [PubMed]
- Deng, Q.; Wu, C.; Parker, E.; Zhu, J.; Liu, T.C.; Duan, R.; Yang, L. Mystery of gamma wave stimulation in brain disorders. Mol. Neurodegener. 2024, 19, 96. [Google Scholar] [CrossRef] [PubMed]
- Adaikkan, C.; Middleton, S.J.; Marco, A.; Pao, P.C.; Mathys, H.; Kim, D.N.; Gao, F.; Young, J.Z.; Suk, H.J.; Boyden, E.S.; et al. Gamma entrainment binds higher-order brain regions and offers neuroprotection. Neuron 2019, 102, 929–943.e8. [Google Scholar] [CrossRef] [PubMed]
- Martorell, A.J.; Paulson, A.L.; Suk, H.J.; Abdurrob, F.; Drummond, G.T.; Guan, W.; Young, J.Z.; Kim, D.N.; Kritskiy, O.; Barker, S.J.; et al. Multi-sensory gamma stimulation ameliorates Alzheimer’s-associated pathology and improves cognition. Cell 2019, 177, 256–271.e22. [Google Scholar] [CrossRef] [PubMed]
- Wang, C.; Li, M.; Szanton, S.; Courtney, S.; Pantelyat, A.; Li, Q.; Huang, J.; Li, J. A qualitative exploration of 40 Hz sound and music for older adults with mild cognitive impairment. Geriatr. Nurs. 2024, 56, 259–269. [Google Scholar] [CrossRef] [PubMed]
- Chan, D.; Suk, H.J.; Jackson, B.L.; Milman, N.P.; Stark, D.; Klerman, E.B.; Kitchener, E.; Fernandez Avalos, V.S.; de Weck, G.; Banerjee, A.; et al. Gamma frequency sensory stimulation in mild probable Alzheimer’s dementia patients: Results of feasibility and pilot studies. PLoS ONE 2022, 17, e0278412. [Google Scholar] [CrossRef] [PubMed]
- Hajós, M.; Boasso, A.; Hempel, E.; Shpokayte, M.; Konisky, A.; Seshagiri, C.V.; Fomenko, V.; Kwan, K.; Nicodemus-Johnson, J.; Hendrix, S.; et al. Safety, tolerability, and efficacy estimate of evoked gamma oscillation in mild to moderate Alzheimer’s disease. Front. Neurol. 2024, 15, 1343588. [Google Scholar] [CrossRef] [PubMed]
- Bartolini, E.; Di Crosta, A.; La Malva, P.; Marin, A.; Ceccato, I.; Prete, G.; Mammarella, N.; Di Domenico, A.; Palumbo, R. Gamma oscillation modulation for cognitive impairment: A systematic review. J. Alzheimer’s Dis. 2025, 105, 331–350. [Google Scholar] [CrossRef] [PubMed]
- Nagatani, Y.; Takazawa, K.; Maeda, K.; Kambara, A.; Soeta, Y.; Ogawa, K. Gamma-modulated human speech-originated sound evokes and entrains gamma wave in human brain. Appl. Acoust. 2023, 211, 109518. [Google Scholar] [CrossRef]
- Han, C.; Zhao, X.; Li, M.; Haihambo, N.; Teng, J.; Li, S.; Qiu, J.; Feng, X.; Gao, M. Enhancement of the neural response during 40 Hz auditory entrainment in closed-eye state in human prefrontal region. Cogn. Neurodyn. 2023, 17, 399–410. [Google Scholar] [CrossRef] [PubMed]
- World Health Organization. Deafness and Hearing Loss: Safe Listening. 2024. Available online: https://www.who.int/news-room/questions-and-answers/item/deafness-and-hearing-loss-safe-listening (accessed on 10 April 2024).
- Park, S.H.; Kwak, M.J. Performance of the geriatric depression scale-15 with older adults aged over 65 years: An updated review 2000–2019. Clin. Gerontol. 2021, 44, 83–96. [Google Scholar] [CrossRef] [PubMed]
- Ideno, Y.; Takayama, M.; Hayashi, K.; Takagi, H.; Sugai, Y. Evaluation of a Japanese version of the Mini-Mental State Examination in elderly persons. Geriatr. Gerontol. Int. 2012, 12, 310–316. [Google Scholar] [CrossRef] [PubMed]
- Chow, S.C.; Shao, J.; Wang, H. Design and Analysis of Clinical Trials, 3rd ed.; Wiley: Hoboken, NJ, USA, 2017. [Google Scholar]
- He, Q.; Colon-Motas, K.M.; Pybus, A.F.; Piendel, L.; Seppa, J.K.; Walker, M.L.; Manzanares, C.M.; Qiu, D.; Miocinovic, S.; Wood, L.B.; et al. A feasibility trial of gamma sensory flicker for patients with prodromal Alzheimer’s disease. Alzheimer’s Dement. Transl. Res. Clin. Interv. 2021, 7, e12178. [Google Scholar] [CrossRef]
- Cimenser, A.; Hempel, E.; Travers, T.; Strozewski, N.; Martin, K.; Malchano, Z.; Hajós, M. Sensory-evoked 40-hz gamma oscillation improves sleep and daily living activities in Alzheimer’s disease patients. Front. Syst. Neurosci. 2021, 15, 746859. [Google Scholar] [CrossRef]
- McNett, S.D.; Vyshedskiy, A.; Savchenko, A.; Durakovic, D.; Heredia, G.; Cahn, R.; Kogan, M. A feasibility study of Alzlife 40 Hz sensory therapy in patients with MCI and early AD. Healthcare 2023, 11, 2040. [Google Scholar] [CrossRef]
- Clements-Cortes, A.; Ahonen, H.; Evans, M.; Freedman, M.; Bartel, L. Short-term effects of rhythmic sensory stimulation in Alzheimer’s disease: An exploratory pilot study. J. Alzheimer’s Dis. 2016, 52, 651–660. [Google Scholar] [CrossRef] [PubMed]



| Characteristics | Full Analysis Set (n = 28) |
|---|---|
| Age, years | Mean (SD): 69.1 (4) |
| Median (min, max): 67.5 (65, 78) | |
| Gender, n (%) | Male: 13 (46.4), Female: 15 (53.6) |
| Listening volume, dBA | Mean (SD): 57.8 (3.3) |
| Median (min, max): 57.4 (53.7, 66.6) |
| SOC | PT | Any AE, n (%) | Causal Relationship, n (%) |
|---|---|---|---|
| Nervous system disorders | Headache | 2 (7.1) | 0 (0) |
| Increased depression scale score | 2 (7.1) | 0 (0) | |
| Ear and labyrinth disorders | Ear pain | 2 (7.1) | 2 (7.1) |
| Ear discomfort | 2 (7.1) | 1 (3.6) | |
| Low-frequency hearing loss | 1 (3.6) | 0 (0) | |
| Musculoskeletal and connective tissue disorders | Jaw pain | 1 (3.6) | 1 (3.6) |
| Musculoskeletal stiffness | 1 (3.6) | 1 (3.6) | |
| Neck pain | 1 (3.6) | 1 (3.6) | |
| Total | - | 6 (21.4) | 2 (7.1) |
| Baseline (n = 28) | Day 28 (n = 27) | Mean Difference (n = 27) | p-Value * | |
|---|---|---|---|---|
| Mean (SD) MMSE-J score | 29.5 (0.7) | 29.8 (0.4) | 0.4 (0.9) | 0.038 |
| Mean (SD) GDS-15 score | 1.4 (1.1) | 1.6 (2.1) | 0.1 (1.7) | 0.826 |
| Mean (SD) hearing threshold for the right ear, dB HL | 20.2 (6.5) | 19.9 (7.1) | −0.4 (2.2) | 0.612 |
| Mean (SD) hearing threshold for the left ear, dB HL | 19.0 (5.9) | 18.9 (6.4) | −0.1 (1.9) | 0.763 |
| Full Analysis Set (n = 28) | |
|---|---|
| Frequency of listening to sound source, % | |
| Mean (SD) | 98.2 (9.4) |
| Median (min, max) | 100 (50, 100) |
| Participants engaged in listening to the sound source, n (%) | |
| Day 1 | 28 (100) |
| Day 2 | 28 (100) |
| Day 3 | 28 (100) |
| Day 4 | 28 (100) |
| Day 5 | 28 (100) |
| Day 6 | 28 (100) |
| Day 7 | 28 (100) |
| Day 14 | 28 (100) |
| Day 21 | 27 (96.4) |
| Day 28 | 27 (96.4) |
| (A) Auditory-only stimulation studies | |||||||
| Study (Year) | Population/Age Range (Mean ± SD) | n | Stimulus & Modality | Dose/Duration | Device/Delivery | Adverse Events/Safety | Acceptability/Compliance |
| Wang et al. (2024) [8] | Older adults with MCI, 55–81 yrs (68.0 ± 7.1) | 25 | 40 Hz auditory stimulation (music-based) | 1 h/day × 4 weeks per condition (crossover) | Tablet or MP3/Headphones at home | 40 Hz sound: discomfort, irritation, residual tinnitus (up to 1 h), headache, protocol deviations (sleeping/TV); 40 Hz music: more tolerable | Music: highly favorable; 40 Hz sound: mixed/low; 40 Hz music: improved acceptability; quantitative adherence not yet reported |
| Present study (this work) | Healthy older adults, 65–78 (mean 69.1 ± 4.0) | 28 | 40 Hz amplitude-modulated auditory (music, vocals/BGM separated) | 1 h/day × 28 days | Smartphone + headphones or earphones | 12 AEs in 6 participants; 6 device-related (ear pain, discomfort, jaw/neck issues) | 96.4% completion; 85.7% interest in future |
| (B) Audiovisual stimulation studies | |||||||
| Study (Year) | Population/Age Range (Mean ± SD) | n | Stimulus & Modality | Dose/Duration | Device/Delivery | Adverse Events/Safety | Acceptability/Compliance |
| Cimenser et al. (2021) [19] | Mild–moderate AD, ≥55 (Active: 66.5 ± 8.0; Control: 73.5 ± 6.6) | 22 (Active: 14; Control: 8) | 40 Hz auditory + visual sensory stimulation (closed-eyes condition) | 1 h/day × 6 months | Gamma sensory stimulation device (Cognito Therapeutics)/Eye-set + Headphones | Device-related AEs in 42% (mostly mild; 2.5% moderate, 2.5% severe); 1 discontinuation per group | High adherence: 91% average over 6 months |
| Chan et al. (2022) [9] | Mild probable AD patients, 60–85 yrs (Active: 77.6 ± 7.5; Control: 71.2 ± 8.2) | 15 (Active: 8; Control: 7) | 40 Hz audiovisual stimulation (flickering LED light + 40 Hz auditory clicks) vs. control (constant white light + white noise) | 1 h/day × 3–4 months | Home-based LED light panel + speaker/delivered simultaneously to eyes and ears | Well tolerated; no serious adverse events; no epileptiform discharges on EEG | High compliance: mean usage −87% (active) vs. −91% (control), no group difference |
| Hajós et al. (2024) [10] | Mild to moderate AD, age ≥ 50 (Active: 69.7 ± 8.0; Control: 75.6 ± 10.0) | 70 (Active: 43; Sham: 27) | 40 Hz audiovisual stimulation (goggles + headphones) vs. sham | 1 h/day × 6 months | Home-based CogTx-001 device/Visual headset + headphones | TEAEs: 65% active vs. 71% sham; TRAEs: 35% active vs. 25% sham; common: headache (22%), tinnitus (15%); 1 severe AE (acute confusion) | High adherence: 81% active vs. 92% sham |
Disclaimer/Publisher’s Note: The statements, opinions and data contained in all publications are solely those of the individual author(s) and contributor(s) and not of MDPI and/or the editor(s). MDPI and/or the editor(s) disclaim responsibility for any injury to people or property resulting from any ideas, methods, instructions or products referred to in the content. |
© 2025 by the authors. Licensee MDPI, Basel, Switzerland. This article is an open access article distributed under the terms and conditions of the Creative Commons Attribution (CC BY) license (https://creativecommons.org/licenses/by/4.0/).
Share and Cite
Sato, S.; Maeda, K.; Chinen, H.; Hiroi, S.; Tanaka, K.; Ogura, E.; Fukuju, H.; Morimoto, K.; Nagatani, Y.; Takazawa, K.; et al. Evaluation of Safety and Acceptability of 40 Hz Amplitude-Modulated Auditory Stimulation in Healthy Older People: A Prospective Study from Japan. Healthcare 2025, 13, 2638. https://doi.org/10.3390/healthcare13202638
Sato S, Maeda K, Chinen H, Hiroi S, Tanaka K, Ogura E, Fukuju H, Morimoto K, Nagatani Y, Takazawa K, et al. Evaluation of Safety and Acceptability of 40 Hz Amplitude-Modulated Auditory Stimulation in Healthy Older People: A Prospective Study from Japan. Healthcare. 2025; 13(20):2638. https://doi.org/10.3390/healthcare13202638
Chicago/Turabian StyleSato, Shunsuke, Kazuma Maeda, Hiroki Chinen, Shinzo Hiroi, Keita Tanaka, Eriko Ogura, Hiroki Fukuju, Kentaro Morimoto, Yoshiki Nagatani, Kazuki Takazawa, and et al. 2025. "Evaluation of Safety and Acceptability of 40 Hz Amplitude-Modulated Auditory Stimulation in Healthy Older People: A Prospective Study from Japan" Healthcare 13, no. 20: 2638. https://doi.org/10.3390/healthcare13202638
APA StyleSato, S., Maeda, K., Chinen, H., Hiroi, S., Tanaka, K., Ogura, E., Fukuju, H., Morimoto, K., Nagatani, Y., Takazawa, K., Kasai, T., Ohta, Y., & Ikeda, M. (2025). Evaluation of Safety and Acceptability of 40 Hz Amplitude-Modulated Auditory Stimulation in Healthy Older People: A Prospective Study from Japan. Healthcare, 13(20), 2638. https://doi.org/10.3390/healthcare13202638

