The Intertwined Factors Affecting Altimeter Sigma0
Highlights
- Demonstration of how the dual-frequency reference technique links sigma0 data from multiple altimeter missions.
- Sigma0 values affected by both environmental factors and processing choices.
- Long-term consistency in altimeter record is achieved, enabling more robust trend analysis of winds.
- Better calculation of wave period, sea state bias and gas transfer velocities for climate studies is enabled.
Abstract
1. Introduction
2. Data and Methodology
2.1. Data Sources
2.2. Definition of
2.3. Recalibration of Altimeter Values
3. Results
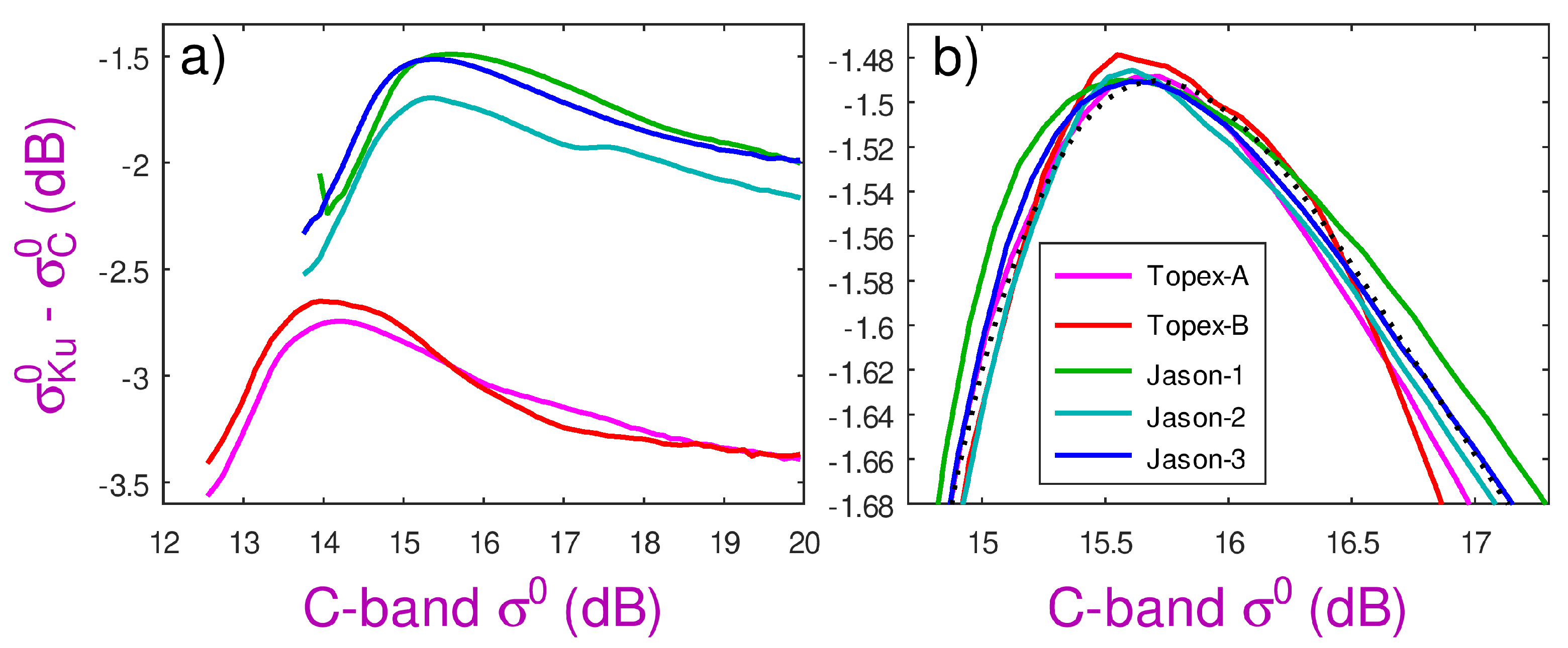
3.1. Comparison of Retrackers
3.2. Constant Reference Surface

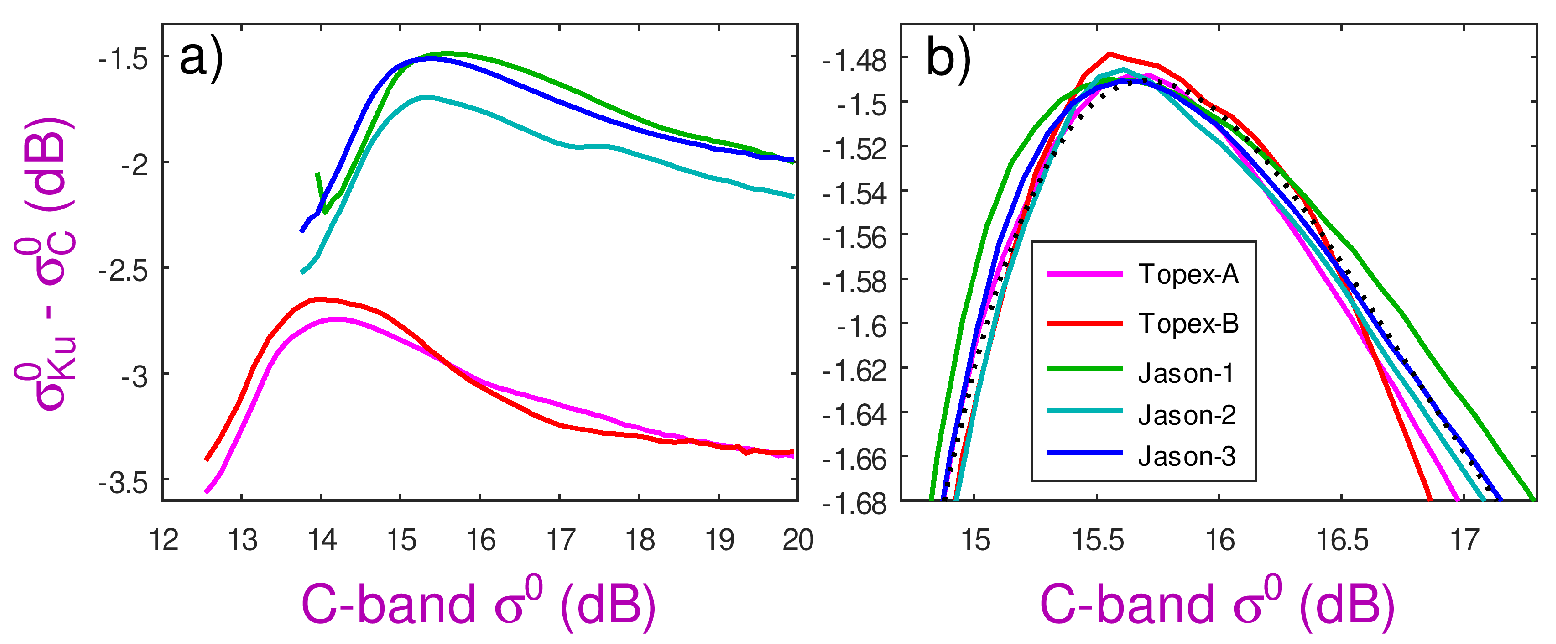
3.3. Wave Height
3.4. Sea Surface Temperature
3.5. Mispointing Angle,
3.6. Radial Velocity
4. Geographical and Temporal Correlations
5. Discussion
6. Conclusions
7. Appendix: Determining Appropriate AGC Corrections for Jason-2




Funding
Data Availability Statement
Acknowledgments
Conflicts of Interest
References
- Brown, G. The average impulse response of a rough surface and its applications. IEEE Trans. Antennas Propag. 1977, 25, 67–74. [Google Scholar] [CrossRef]
- Hayne, G. Radar altimeter mean return waveforms from near-normal-incidence ocean surface scattering. IEEE Trans. Antennas Propag. 1980, 28, 687–692. [Google Scholar] [CrossRef]
- Ridley, J.K.; Bamber, J.L. Antarctic field measurements of radar backscatter from snow and comparison with ERS-1 altimeter data. J. Electromagn. Waves Appl. 1995, 9, 355–371. [Google Scholar] [CrossRef]
- Arthern, R.J.; Wingham, D.J.; Ridout, A.L. Controls on ERS altimeter measurements over ice sheets: Footprint-scale topography, backscatter fluctuations, and the dependence of microwave penetration depth on satellite orientation. J. Geophys. Res. 2001, 106, 33471–33484. [Google Scholar] [CrossRef]
- Scott, J.B.T.; Nienow, P.; Mair, D.; Parry, V.; Morris, E.; Wingham, D.J. Importance of seasonal and annual layers in controlling backscatter to radar altimeters across the percolation zone of an ice sheet. Geophys. Res. Lett. 2006, 33, L24502. [Google Scholar] [CrossRef]
- Quartly, G.D.; Rinne, E.; Passaro, M.; Andersen, O.B.; Dinardo, S.; Fleury, S.; Guillot, A.; Hendricks, S.; Kurekin, A.A.; Müller, F.L.; et al. Retrieving sea level and freeboard in the Arctic: A review of current radar altimetry methodologies and future perspectives. Remote Sens. 2019, 11, 881. [Google Scholar] [CrossRef]
- Chelton, D.B.; Walsh, E.J.; MacArthur, J.L. Pulse compression and sea level tracking in satellite altimetry. J. Atmos. Ocean. Technol. 1989, 6, 407–438. [Google Scholar] [CrossRef]
- Quartly, G.D. Determination of oceanic rain rate and rain cell structure from altimeter waveform data. Part I: Theory. J. Atmos. Ocean. Technol. 1998, 15, 1361–1378. [Google Scholar] [CrossRef]
- Gomez-Enri, J.; Vignudelli, S.; Quartly, G.D.; Gommenginger, C.P.; Cipollini, P.; Challenor, P.G.; Benveniste, J. Modeling Envisat RA-2 waveforms in the coastal zone: Case study of calm water contamination. IEEE Geosci. Remote Sens. Lett. 2010, 7, 474–478. [Google Scholar] [CrossRef]
- Gommenginger, C.; Thibaut, P.; Fenoglio-Marc, L.; Quartly, G.; Deng, X.; Gómez-Enri, J.; Challenor, P.; Gao, Y. Retracking Altimeter Waveforms Near the Coasts. In Coastal Altimetry; Vignudelli, S., Kostianoy, A.G., Cipollini, P., Benveniste, J., Eds.; Springer: Berlin/Heidelberg, Germany, 2011; pp. 61–101. [Google Scholar] [CrossRef]
- Chelton, D.B.; McCabe, P.J. A review of satellite altimeter measurement of sea surface wind speed: With a proposed new algorithm. J. Geophys. Res. 1985, 90, 4707–4720. [Google Scholar] [CrossRef]
- Witter, D.L.; Chelton, D.B. A Geosat altimeter wind speed algorithm and a method for altimeter wind speed algorithm development. J. Geophys. Res. 1991, 96, 8853–8860. [Google Scholar] [CrossRef]
- Abdalla, S. Ku-Band radar altimeter surface wind speed algorithm. Mar. Geod. 2012, 35, 276–298. [Google Scholar] [CrossRef]
- Young, I.R.; Zieger, S.; Babanin, A.V. Global trends in wind speed and wave height. Science 2011, 332, 451–455. [Google Scholar] [CrossRef] [PubMed]
- Young, I.; Donelan, M. On the determination of global ocean wind and wave climate from satellite observations. Remote Sens. Environ. 2018, 215, 228–241. [Google Scholar] [CrossRef]
- Gourrion, J.; Vandemark, D.; Bailey, S.; Chapron, B.; Gommenginger, G.P.; Challenor, P.G.; Srokosz, M.A. A two-parameter wind speed algorithm for Ku-Band altimeters. J. Atmos. Ocean. Technol. 2002, 19, 2030–2048. [Google Scholar] [CrossRef]
- WMO. The 2022 GCOS ECVs Requirements. Document GCOS-245. Available online: https://meetings.wmo.int/INFCOM-2/InformationDocuments/INFCOM-2-INF06-1(11-2)-2022-GCOS-ECVS-REQUIREMENTS_en.pdf (accessed on 17 April 2025).
- Dodet, G.; Piolle, J.F.; Quilfen, Y.; Abdalla, S.; Accensi, M.; Ardhuin, F.; Ash, E.; Bidlot, J.R.; Gommenginger, C.; Marechal, G.; et al. The Sea State CCI dataset v1: Towards a sea state Climate Data Record based on satellite observations. Earth Syst. Sci. Data Discuss. 2020, 2020, 1929–1951. [Google Scholar] [CrossRef]
- Quartly, G.D. Monitoring and cross-calibration of altimeter σ0 through dual-frequency backscatter measurements. J. Atmos. Ocean. Technol. 2000, 17, 1252–1258. [Google Scholar] [CrossRef]
- Amarouche, L.; Thibaut, P.; Zanife, Z.O.; Dumont, J.P.; Vincent, P.; Steunou, N. Improving the Jason-1 ground retracking to better account for attitude effects. Mar. Geod. 2004, 27, 171–197. [Google Scholar] [CrossRef]
- Tourain, C.; Piras, F.; Ollivier, A.; Hauser, D.; Poisson, J.C.; Boy, F.; Thibaut, P.; Hermozo, L.; Tison, C. Benefits of the adaptive algorithm for retracking altimeter nadir echoes: Results from simulations and CFOSAT/SWIM observations. IEEE Trans. Geosci. Remote Sens. 2021, 59, 9927–9940. [Google Scholar] [CrossRef]
- Ardhuin, F.; Stopa, J.E.; Chapron, B.; Collard, F.; Husson, R.; Jensen, R.E.; Johannessen, J.; Mouche, A.; Passaro, M.; Quartly, G.D.; et al. Observing sea states. Front. Mar. Sci. 2019, 6, 124. [Google Scholar] [CrossRef]
- Raney, R.K. The delay/Doppler radar altimeter. IEEE Trans. Geosci. Remote Sens. 1998, 36, 1578–1588. [Google Scholar] [CrossRef]
- Ray, C.; Martin-Puig, C.; Clarizia, M.P.; Ruffini, G.; Dinardo, S.; Gommenginger, C.; Benveniste, J. SAR altimeter backscattered waveform model. IEEE Trans. Geosci. Remote Sens. 2015, 53, 911–919. [Google Scholar] [CrossRef]
- Schlembach, F.; Passaro, M.; Quartly, G.D.; Kurekin, A.; Nencioli, F.; Dodet, G.; Piollé, J.F.; Ardhuin, F.; Bidlot, J.; Schwatke, C.; et al. Round Robin Assessment of Radar Altimeter Low Resolution Mode and Delay-Doppler Retracking Algorithms for Significant Wave Height. Remote Sens. 2020, 12, 1254, Erratum in Remote Sens. 2021, 13, 1182. [Google Scholar] [CrossRef]
- Lemoine, F.G.; Zelensky, N.P.; Chinn, D.S.; Pavlis, D.E.; Rowlands, D.D.; Beckley, B.D.; Luthcke, S.B.; Willis, P.; Ziebart, M.; Sibthorpe, A.; et al. Towards development of a consistent orbit series for TOPEX, Jason-1, and Jason-2. Adv. Space Res. 2010, 46, 1513–1540. [Google Scholar] [CrossRef]
- ESA. Sentinel Online—Data Product Quality Reports. Sentinel-3 MWR Cyclic Performance Report. Available online: https://sentiwiki.copernicus.eu/web/document-library#DocumentLibrary-SRALLibrary-S3-Performance-DQR-SRAL (accessed on 11 February 2025).
- Quartly, G.D.; Nencioli, F.; Raynal, M.; Bonnefond, P.; Garcia, P.N.; Garcia-Mondéjar, A.; lores de la Cruz, A.; Crétaux, J.F.; Taburet, N.; Frery, M.L.; et al. The roles of the S3MPC: Monitoring, validation and evolution of Sentinel-3 altimetry observations. Remote Sens. 2020, 12, 1763. [Google Scholar] [CrossRef]
- Pierdicca, N.; Bignami, C.; Roca, M.; Féménias, P.; Fascetti, M.; Mazzetta, M.; Loddo, C.; Martini, A.; Pinori, S. Transponder calibration of the Envisat RA-2 altimeter Ku band sigma naught. Adv. Space Res. 2013, 51, 1478–1491. [Google Scholar] [CrossRef]
- Brown, S. Maintaining the long-term calibration of the Jason-2/OSTM Advanced Microwave Radiometer through intersatellite calibration. IEEE Trans. Geosci. Remote Sens. 2013, 51, 1531–1543. [Google Scholar] [CrossRef]
- Peng, H.; Mu, B.; Lin, M.; Zhou, W. HY-2A satellite calibration and validation approach and results. In Proceedings of the IEEE Geoscience and Remote Sensing Symposium, Quebec City, QC, Canada, 13–18 July 2014; pp. 4528–4531. [Google Scholar] [CrossRef]
- Ridley, J.; Strawbridge, F.; Card, R.; Phillips, H. Radar backscatter characteristics of a desert surface. Remote Sens. Environ. 1996, 57, 63–78. [Google Scholar] [CrossRef]
- Li, M.; Xu, X.-Y.; Jiang, M.; Yan, X. Research on the backscattering characteristics of HY-2C satellite radar altimeter over desert surface. IEEE Geosci. Remote Sens. Lett. 2025, 22, 3506705. [Google Scholar] [CrossRef]
- Quartly, G.D. Metocean comparisons of Jason-2 and AltiKa—A method to develop a new wind speed algorithm. Mar. Geod. 2015, 38, 437–448. [Google Scholar] [CrossRef]
- Guymer, T.H.; Quartly, G.D.; Srokosz, M.A. The effects of rain on ERS-1 radar altimeter data. J. Atmos. Ocean. Technol. 1995, 12, 1229–1247. [Google Scholar] [CrossRef]
- Quartly, G.D.; Guymer, T.H.; Srokosz, M.A. The effects of rain on Topex radar altimeter data. J. Atmos. Ocean. Technol. 1996, 13, 1209–1229. [Google Scholar] [CrossRef]
- Elfouhaily, T.; Vandemark, D.; Gourrion, J.; Chapron, B. Estimation of wind stress using dual-frequency TOPEX data. J. Geophys. Res. Ocean. 1998, 103, 25101–25108. [Google Scholar] [CrossRef]
- Quartly, G.D.; Srokosz, M.A.; Guymer, T.H. Global precipitation statistics from dual-frequency TOPEX altimetry. J. Geophys. Res. Atmos. 1999, 104, 31489–31516. [Google Scholar] [CrossRef]
- Tournadre, J.; Quartly, G.D. Validation of Envisat RA2 Rain Flag; Technical Report; Ifremer: Brest, France, 2004. [Google Scholar]
- Quartly, G.D. Sea state and rain: A second take on dual-frequency altimetry. Mar. Geod. 2004, 27, 133–152. [Google Scholar] [CrossRef]
- Vandemark, D.; Chapron, B.; Feng, H.; Mouche, A. Sea surface reflectivity variation with ocean temperature at Ka-band observed using near-nadir satellite radar data. IEEE Geosci. Remote Sens. Lett. 2016, 13, 510–514. [Google Scholar] [CrossRef]
- Challenor, P.G.; Srokosz, M.A. The extraction of geophysical parameters from radar altimeter returns from a non-linear sea surface. In Mathematics in Remote Sensing; Brooks, S.R., Ed.; Clarendon Press: Oxford, UK, 1989; pp. 257–268. [Google Scholar]
- Quartly, G.D. Optimizing σ0 information from the Jason-2 altimeter. IEEE Geosci. Remote Sens. Lett. 2009, 6, 398–402. [Google Scholar] [CrossRef]
- Tournadre, J.; Lambin-Artru, J.; Steunou, N. Cloud and rain effects on AltiKa/SARAL Ka-band radar altimeter—Part II: Definition of a rain/cloud flag. IEEE Trans. Geosci. Remote Sens. 2009, 47, 1818–1826. [Google Scholar] [CrossRef]
- Quartly, G.D. Jason-1/Jason-2 metocean comparisons and monitoring. Mar. Geod. 2010, 33, 256–271. [Google Scholar] [CrossRef]
- Tran, N.; Vandemark, D.; Bignalet-Cazalet, F.; Dibarboure, G. Quantifying multifrequency ocean altimeter wind speed error due to sea surface temperature and resulting impacts on satellite sea level measurements. Remote Sens. 2023, 15, 3235. [Google Scholar] [CrossRef]
- Labroue, S.; Gaspar, P.; Dorandeu, J.; Zanife, O.; Mertz, F.; Vincent, P.; Choquet, D. Nonparametric estimates of the sea state bias for the Jason-1 radar altimeter. Mar. Geod. 2004, 27, 453–481. [Google Scholar] [CrossRef]
- Tran, N.; Vandemark, D.; Labroue, S.; Feng, H.; Chapron, B.; Tolman, H.L.; Lambin, J.; Picot, N. Sea state bias in altimeter sea level estimates determined by combining wave model and satellite data. J. Geophys. Res. 2010, 115, C03020. [Google Scholar] [CrossRef]
- Mackay, E.B.L.; Retzler, C.H.; Challenor, P.G.; Gommenginger, C.P. A parametric model for ocean wave period from Ku band altimeter data. J. Geophys. Res. 2008, 113, C03029. [Google Scholar] [CrossRef]
- Zhao, D.; Li, S.; Song, C. The comparison of altimeter retrieval algorithms of the wind speed and the wave period. Acta Oceanol. Sin. 2012, 31, 1–9. [Google Scholar] [CrossRef]
- Frew, N.M.; Glover, D.M.; Bock, E.J.; McCue, S.J. A new approach to estimation of global air-sea gas transfer velocity fields using dual-frequency altimeter backscatter. J. Geophys. Res. 2007, 112, C11003. [Google Scholar] [CrossRef]
- Glover, D.M.; Frew, N.M.; McCue, S.J. Air–sea gas transfer velocity estimates from the Jason-1 and TOPEX altimeters: Prospects for a long-term global time series. J. Mar. Syst. 2007, 66, 173–181. [Google Scholar] [CrossRef]
- Queffeulou, P. Long-term validation of wave height measurements from altimeters. Mar. Geod. 2004, 27, 495–510. [Google Scholar] [CrossRef]
- Quartly, G.D.; Srokosz, M.A.; McMillan, A.C. Analyzing altimeter artifacts: Statistical properties of ocean waveforms. J. Atmos. Ocean. Technol. 2001, 18, 2074–2091. [Google Scholar] [CrossRef]
- Quartly, G.D. The gate dependence of geophysical retrievals from the TOPEX altimeter. J. Atmos. Ocean. Technol. 2000, 17, 1247–1251. [Google Scholar] [CrossRef]
- Wentz, F.; Meissner, T.; Gentemann, C.; Brenner, M. RSS AQUA AMSR-E Daily Environmental Suite on 0.25 Deg Grid. Version 7. Available online: https://www.remss.com/DOI/RSS-bm.html (accessed on 29 August 2025).
- Wentz, F.; Meissner, T.; Gentemann, C.; Hilburn, K.; Scott, J. RSS GCOM-W1 AMSR2 Daily Environmental Suite on 0.25 Deg Grid. Version 8.2. Available online: https://www.remss.com/DOI/RSS-bq.html (accessed on 29 August 2025).














| Satellites | Dates | Processing Version | Retracker | Source |
|---|---|---|---|---|
| TOPEX-A | 1992–1999 | GDR-F | LRM: MLE-3 and MLE-4 | NOAA |
| TOPEX-B | 1999–2005 | GDR-F | LRM: MLE-3 and MLE-4 | NOAA |
| Jason-1 | 2001–2013 | GDR-E | LRM: MLE-4 | NOAA |
| Jason-2 | 2008–2019 | GDR-D | LRM: MLE-3 and MLE-4 | NOAA |
| Jason-3 | 2016– | GDR-F | LRM: MLE-3 and MLE-4 | NOAA |
| Sentinel-3A | 2016– | Baseline 5 | PLRM: MLE-4 and DDA: SAMOSA | EUMETSAT |
| Sentinel-3B | 2018– | Baseline 5 | PLRM: MLE-4 and DDA: SAMOSA | EUMETSAT |
| Sentinel-6MF | 2020– | f08 and f09 | LRM: numerical and DDA: SAMOSA | EUMETSAT |
Disclaimer/Publisher’s Note: The statements, opinions and data contained in all publications are solely those of the individual author(s) and contributor(s) and not of MDPI and/or the editor(s). MDPI and/or the editor(s) disclaim responsibility for any injury to people or property resulting from any ideas, methods, instructions or products referred to in the content. |
© 2025 by the author. Licensee MDPI, Basel, Switzerland. This article is an open access article distributed under the terms and conditions of the Creative Commons Attribution (CC BY) license (https://creativecommons.org/licenses/by/4.0/).
Share and Cite
Quartly, G.D. The Intertwined Factors Affecting Altimeter Sigma0. Remote Sens. 2025, 17, 3776. https://doi.org/10.3390/rs17223776
Quartly GD. The Intertwined Factors Affecting Altimeter Sigma0. Remote Sensing. 2025; 17(22):3776. https://doi.org/10.3390/rs17223776
Chicago/Turabian StyleQuartly, Graham D. 2025. "The Intertwined Factors Affecting Altimeter Sigma0" Remote Sensing 17, no. 22: 3776. https://doi.org/10.3390/rs17223776
APA StyleQuartly, G. D. (2025). The Intertwined Factors Affecting Altimeter Sigma0. Remote Sensing, 17(22), 3776. https://doi.org/10.3390/rs17223776

