Sign in to use this feature.

Years

Between: -

Subjects

remove_circle_outline
remove_circle_outline
remove_circle_outline
remove_circle_outline
remove_circle_outline

Journals

Article Types

Countries / Regions

Search Results (15)

Search Parameters:
Keywords = proliposome method

Order results
Result details
Results per page
Select all
Export citation of selected articles as:
29 pages, 4254 KB  
Article
Comparative Study of Natamycin Encapsulation in Liposomes: Thin-Film vs. Proliposome Methods for Enhanced Stability, Controlled Release, and Efficacy Against Milk Spoilage and Pathogenic Microorganisms
by Natalija Čutović, Petar Batinić, Tatjana Marković, Jovana Petrović, Milena Obradović, Branko Bugarski and Aleksandra A. Jovanović
Foods 2025, 14(17), 3064; https://doi.org/10.3390/foods14173064 - 30 Aug 2025
Viewed by 1451
Abstract
The aim of this study was to evaluate liposomal particles as a potential delivery system for natamycin, a widely known antimicrobial agent used in the food industry. The goal was to prolong its diffusion into the surrounding medium. Natamycin-loaded liposomes were prepared using [...] Read more.
The aim of this study was to evaluate liposomal particles as a potential delivery system for natamycin, a widely known antimicrobial agent used in the food industry. The goal was to prolong its diffusion into the surrounding medium. Natamycin-loaded liposomes were prepared using two methods (proliposome and thin-film) and two different phospholipid mixtures. The characterization of natamycin-loaded liposomes was performed in terms of their chemical composition (FT-IR analysis), encapsulation efficiency (EE), and antimicrobial potential against spoilage and pathogenic microorganisms that can be found in milk and milk products. During the 60-day storage period, their size, polydispersity index (PDI), and zeta potential were measured. The in vitro release kinetics of natamycin from liposomes were also assessed, and the results showed a significantly lower release rate of the drug when it was encapsulated. EE showed a high level of natamycin encapsulation (>80%), which was confirmed with FT-IR analysis. The stability study indicated that these systems were stable over a 60-day storage period, as the zeta potential of all formulations was ~−25 mV. Satisfactory antimicrobial performance of the developed liposomes against Listeria monocytogenes, Yersinia enterocolitica, Candida tropicalis, Candida parapsilosis, and Aspergillus flavus (MIC values from 0.00625 to 4 mg/mL) indicates that loading of natamycin into liposomal carriers was an adequate method for their encapsulation and delivery in the milk industry. Full article
Show Figures

Figure 1

24 pages, 1580 KB  
Article
Liposome-Based Encapsulation of Extract from Wild Thyme (Thymus serpyllum L.) Tea Processing Residues for Delivery of Polyphenols
by Aleksandra A. Jovanović, Bojana Balanč, Predrag M. Petrović, Natalija Čutović, Smilja B. Marković, Verica B. Djordjević and Branko M. Bugarski
Foods 2025, 14(15), 2626; https://doi.org/10.3390/foods14152626 - 26 Jul 2025
Cited by 2 | Viewed by 1519
Abstract
This study developed phospholipid-based liposomes loaded with extract from wild thyme (Thymus serpyllum L.) tea processing residues to enhance polyphenol stability and delivery. Liposomes were prepared with phospholipids alone or combined with 10–30 mol% cholesterol or β-sitosterol. The effect of different lipid [...] Read more.
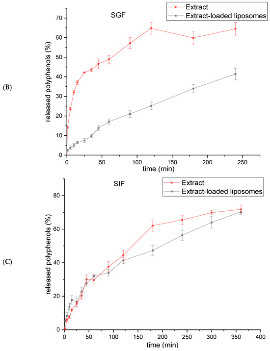
This study developed phospholipid-based liposomes loaded with extract from wild thyme (Thymus serpyllum L.) tea processing residues to enhance polyphenol stability and delivery. Liposomes were prepared with phospholipids alone or combined with 10–30 mol% cholesterol or β-sitosterol. The effect of different lipid compositions on encapsulation efficiency (EE), particle size, polydispersity index (PDI), zeta potential, stability, thermal properties, diffusion coefficient, and diffusion resistance of the liposomes was investigated. Liposomes with 10 mol% sterols (either cholesterol or β-sitosterol) exhibited the highest EE of polyphenols, while increasing sterol content to 30 mol% resulted in decreased EE. Particle size and PDI increased with sterol content, while liposomes prepared without sterols showed the smallest vesicle size. Encapsulation of the extract led to smaller liposomal diameters and slight increases in PDI values. Zeta potential measurements revealed that sterol incorporation enhanced the surface charge and stability of liposomes, with β-sitosterol showing the most pronounced effect. Stability testing demonstrated minimal changes in size, PDI, and zeta potential during storage. UV irradiation and lyophilization processes did not cause significant polyphenol leakage, although lyophilization slightly increased particle size and PDI. Differential scanning calorimetry revealed that polyphenols and sterols modified the lipid membrane transitions, indicating interactions between extract components and the liposomal bilayer. FT-IR spectra confirmed successful integration of the extract into the liposomes, while UV exposure did not significantly alter the spectral features. Thiobarbituric acid reactive substances (TBARS) assay demonstrated the extract’s efficacy in mitigating lipid peroxidation under UV-induced oxidative stress. In contrast, liposomes enriched with sterols showed enhanced peroxidation. Polyphenol diffusion studies showed that encapsulation significantly delayed release, particularly in sterol-containing liposomes. Release assays in simulated gastric and intestinal fluids confirmed controlled, pH-dependent polyphenol delivery, with slightly better retention in β-sitosterol-enriched systems. These findings support the use of β-sitosterol- and cholesterol-enriched liposomes as stable carriers for polyphenolic compounds from wild thyme extract, as bioactive antioxidants, for food and nutraceutical applications. Full article
(This article belongs to the Special Issue Encapsulation and Delivery Systems in the Food Industry)
Show Figures

Figure 1

28 pages, 5945 KB  
Article
Liposomal Encapsulation of Carob (Ceratonia siliqua L.) Pulp Extract: Design, Characterization, and Controlled Release Assessment
by Aleksandra A. Jovanović, Dragana Dekanski, Milena D. Milošević, Ninoslav Mitić, Aleksandar Rašković, Nikola Martić and Andrea Pirković
Pharmaceutics 2025, 17(6), 776; https://doi.org/10.3390/pharmaceutics17060776 - 13 Jun 2025
Cited by 1 | Viewed by 1372
Abstract
Background: Carob (Ceratonia siliqua L.) pulp flour is primarily used in the food industry. As a rich source of bioactive compounds, particularly polyphenols, it holds promise for pharmaceutical formulation research and development. Objectives: This study focused on developing liposomal particles loaded with [...] Read more.
Background: Carob (Ceratonia siliqua L.) pulp flour is primarily used in the food industry. As a rich source of bioactive compounds, particularly polyphenols, it holds promise for pharmaceutical formulation research and development. Objectives: This study focused on developing liposomal particles loaded with carob pulp extract using the proliposome method, followed by modifications through UV irradiation and sonication. Methods: The resulting liposomes were analyzed for encapsulation efficiency, vesicle size, polydispersity index (PDI), mobility, zeta potential, viscosity, surface tension, density, antioxidant activity, FT-IR spectra, and release kinetics under simulated gastrointestinal conditions. In addition, nanoparticle tracking analysis and transmission electron microscopy (TEM) were used for liposomal characterization. Results: The findings revealed a high encapsulation efficiency across all samples (>70%). The particle size and PDI measurements confirmed the presence of a multilamellar and uniform liposomal system before post-processing modifications. The medium value of zeta potential suggested a moderately electrostatically stabilized liposomal suspension. The sonicated liposomes demonstrated a higher concentration of vesicles in comparison to non-treated and UV-irradiated samples. TEM analysis revealed purified liposomal vesicles with preserved structural integrity. Encapsulation, as well as UV irradiation and sonication of liposomes, did not diminish the extract’s anti-DPPH activity. However, the ABTS radical scavenging potential of the pure extract was significantly lower compared to its encapsulated counterparts. UV irradiation and sonication notably reduced the anti-ABTS capacity of the extract-liposome system. Monitoring the release of bioactive compounds demonstrated controlled delivery from liposomal particles under simulated gastrointestinal conditions. Conclusions: Overall, liposomal formulations of carob pulp extract exhibit significant potential for further development as a functional food ingredient or for use in the prevention and treatment of various diseases. Full article
(This article belongs to the Special Issue Advanced Liposomes for Drug Delivery, 2nd Edition)
Show Figures

Figure 1

17 pages, 4186 KB  
Article
PEGylated Liposomes of Disulfiram and Paclitaxel: A Promising Chemotherapeutic Combination Against Chemoresistant Breast Cancer
by Ammar Said Suliman, Sahrish Rehmani, Benjamin Small, Kate Butcher, Mouhamad Khoder, Vinodh Kannappan, Weiguang Wang, Abdelbary Elhissi and Mohammad Najlah
Pharmaceuticals 2025, 18(4), 487; https://doi.org/10.3390/ph18040487 - 28 Mar 2025
Viewed by 1560
Abstract
Background: Steric stabilization of liposomes using PEGylation has been used widely in pharmaceutical research to overcome the limitations of conventional liposomes and to extend circulation time. PEGylation tended to improve the physicochemical stability and reverse the chemoresistance in multidrug-resistant (MDR) breast cancer cell [...] Read more.
Background: Steric stabilization of liposomes using PEGylation has been used widely in pharmaceutical research to overcome the limitations of conventional liposomes and to extend circulation time. PEGylation tended to improve the physicochemical stability and reverse the chemoresistance in multidrug-resistant (MDR) breast cancer cell lines. In this study, PEGylated formulations of disulfiram (DS) and paclitaxel (PAC) were developed using the ethanol-based proliposome technology. Methods: PEGylated liposomal formulations of disulfiram (DS) and paclitaxel (PAC) were developed using the ethanol-based proliposome approach combined with high-pressure homogenization (HPH). The liposomes were characterized for particle size, polydispersity index (PDI), zeta potential, drug loading efficiency (DLE%), and drug entrapment efficiency (DEE%). Cytotoxicity studies were performed on sensitive (MCF7, MDA-MB-231) and chemoresistant (MDA-MB-231PAC10) breast cancer cell lines using the MTT assay to assess the anti-ancer potential of the formulations. Synergistic cytotoxic effects of DS and PAC co-delivery were also evaluated. Results: There was no significant difference in drug loading (DLE%) and drug entrapment efficiency (EE%) between conventional liposomes and the developed PEGylated vesicles. DS demonstrated higher loading in liposomes than PAC, and a greater cytotoxic effect on both sensitive (MCF7 and MDA-MB-231) and chemoresistant (MDA-MB-231PAC10) human breast cancer cell lines. For both DS- and PAC-loaded liposomes, PEGylation did not compromise the cytotoxic effect on both sensitive and chemoresistant cells. Interestingly, the combination of DS- and PAC-loaded PEGylated liposomes had significantly higher cytotoxic effect and lower IC50 than that of each drug alone. Conclusions: Overall, PEGylated liposomal formulation of DS and PAC acted synergistically to reverse the multidrug resistance in breast cancer cells and could serve as a promising system for delivery of PAC and DS simultaneously in one formulation using an alcohol-based proliposome formulation. Full article
(This article belongs to the Section Pharmaceutical Technology)
Show Figures

Figure 1

27 pages, 5607 KB  
Article
Experimental Investigation into the Design, Optimization, Toxicity, and Anti-Viral Efficacy of Proliposomes Loaded with Ivermectin Against Infectious Bronchitis Virus Using an Embryonated Chicken Egg Model
by Mohammad H. Alyami, Hamad S. Alyami, Asmaa M. Abdo, Shereen A. Sabry, Shimaa M. G. Mansour, Hanan M. El-Nahas and Margrit M. Ayoub
Pharmaceutics 2025, 17(2), 165; https://doi.org/10.3390/pharmaceutics17020165 - 25 Jan 2025
Cited by 2 | Viewed by 2124
Abstract
Background: Infectious bronchitis virus (IBV) causes a significant illness in birds, making it a leading source of financial loss in the poultry business. The objective of this study was to assess the effectiveness of proliposomes (PLs) containing ivermectin (IVM) against IBV using [...] Read more.
Background: Infectious bronchitis virus (IBV) causes a significant illness in birds, making it a leading source of financial loss in the poultry business. The objective of this study was to assess the effectiveness of proliposomes (PLs) containing ivermectin (IVM) against IBV using embryonated chicken eggs (ECEs). Methods: A three-factor, two-level (23) full factorial design was employed; carrier/lipid phase ratio (A), stearyl glycyrrhetinate amount (B), and phospholipid type (C) were studied as independent variables, while product yield (PY), entrapment efficiency (EE), particle size (PS), polydispersity index (PDI), zeta potential (ZP), and cumulative percentage of drug released after 6 h (Q6h) were characterized. The selected formulations (PL2 and PL6) were subjected to further characterizations, including IVM toxicity and anti-viral activity. Results: The PY% ranged from 88.6 ± 2.19% to 98.8 ± 0.45%, EE% was from 71.8 ± 2.01% to 96.1 ± 0.51%, PS was from 330.1 ± 55.65 nm to 1801.6 ± 45.61 nm, PDI was from 0.205 ± 0.06 to 0.603 ± 0.03, ZP was from −18.2 ± 0.60 mV to −50.1 ± 1.80 mV, and Q6h was from 80.95 ± 1.36% to 88.79 ± 2.03%. IVM-loaded PLs had lower toxicity in ECEs than pure IVM; the mortality rate was substantially reduced in IBV-infected ECEs injected with PL2 rather than pure IVM. As further evidence of IVM’s anti-viral action against IBV, quantitative real-time polymerase chain reaction (qRT-PCR) revealed that the PL2-treated group exhibited further reduction in IBV’s copies in comparison with the pure IVM-treated group. Conclusions: PLs loaded with IVM are an innovative and potentially effective way to inhibit IBV. Full article
(This article belongs to the Section Drug Delivery and Controlled Release)
Show Figures

Graphical abstract

23 pages, 8520 KB  
Article
Investigation of Spray Drying Parameters to Formulate Novel Spray-Dried Proliposome Powder Formulations Followed by Their Aerosolization Performance
by Iftikhar Khan, Kaylome Edes, Ismail Alsaadi, Mohammed Q. Al-Khaial, Ruba Bnyan, Saeed A. Khan, Sajid K. Sadozai, Wasiq Khan and Sakib Yousaf
Pharmaceutics 2024, 16(12), 1541; https://doi.org/10.3390/pharmaceutics16121541 - 1 Dec 2024
Cited by 6 | Viewed by 3291
Abstract
Background: Spray drying, whilst a popularly employed technique for powder formulations, has limited applications for large-scale proliposome manufacture. Objectives: Thus, the aim of this study was to investigate spray drying parameters, such as inlet temperature (80, 120, 160, and 200 °C), airflow rate [...] Read more.
Background: Spray drying, whilst a popularly employed technique for powder formulations, has limited applications for large-scale proliposome manufacture. Objectives: Thus, the aim of this study was to investigate spray drying parameters, such as inlet temperature (80, 120, 160, and 200 °C), airflow rate (357, 473, and 601 L/h) and pump feed rate (5, 15, and 25%), for individual carbohydrate carriers (trehalose, lactose monohydrate (LMH), and mannitol) for 24 spray-dried (SD) formulations (F1–F24). Methods: Following optimization, the SD parameters were trialed on proliposome formulations based on the same carriers and named as spray-dried proliposome (SDP) formulations. Drug delivery of the formulations was assessed using a dry powder inhaler (DPI) in combination with a next-generation impactor (NGI). Results: Upon analysis, formulations F6 (SD-mannitol), F15 (SD-trehalose), and F20 (SD-LMH) demonstrated high production yields (84.01 ± 3.25, 72.55 ± 5.42, and 70.03 ± 3.39%, respectively), small particle sizes (2.96 ± 1.42, 4.55 ± 0.46, and 5.16 ± 1.32 µm, respectively) and low moisture contents (0.25 ± 0.03, 3.76 ± 0.75, and 1.99 ± 0.77%). These SD optimized parameters were then employed for SDP formulations employing dimyristoly phosphatidylcholine (DMPC) as a phospholipid and beclomethasone dipropionate (BDP) as the model drug. Upon spray drying, SDP-mannitol provided the highest production yield (82.45%) and smallest particle size (2.64 µm), as well as high entrapment efficiency (98%) and a high fine particle dose, fine particle fraction, and respirable fraction (285.81 µg, 56.84%, 86.44%, respectively). Conclusions: The study results are a promising step in the optimization of the large-scale manufacture of proliposome formulations and highlight the versatility of the instrument and variability of formulation properties with respect to the carriers employed for targeting the pulmonary system using dry powder inhalers. Full article
(This article belongs to the Special Issue Development of Spray-Dried Powders for Pulmonary Drug Delivery)
Show Figures

Figure 1

20 pages, 1937 KB  
Article
Design and Characterization of Liposomal-Based Carriers for the Encapsulation of Rosa canina Fruit Extract: In Vitro Gastrointestinal Release Behavior
by Aleksandra A. Jovanović, Bojana Balanč, Predrag M. Petrović, Mina Volić, Darko Micić, Jelena Živković and Katarina P. Šavikin
Plants 2024, 13(18), 2608; https://doi.org/10.3390/plants13182608 - 18 Sep 2024
Cited by 6 | Viewed by 2255
Abstract
The increasing demand for natural compounds as an alternative to synthetic antioxidants and conservans has led to the utilization of secondary plant metabolites in the food industry, as these bioactive compounds possess great antioxidative and antimicrobial properties without side effects on human health. [...] Read more.
The increasing demand for natural compounds as an alternative to synthetic antioxidants and conservans has led to the utilization of secondary plant metabolites in the food industry, as these bioactive compounds possess great antioxidative and antimicrobial properties without side effects on human health. Despite this, the sensitivity of plant-derived compounds is a restrictive factor in terms of their full potential. The current research aimed to characterize rosehip-fruit-extract-loaded liposomes (non-treated and UV-irradiated) in terms of their density, surface tension, viscosity, chemical composition (FTIR and HPLC analyses), and thermal behavior. In the storage stability study, the vesicle size, polydispersity index (PDI), zeta potential, conductivity, and mobility of the liposomes were monitored. FTIR analysis confirmed that the plant compounds were successfully loaded within the carrier, while no chemical reaction between the rosehip fruit extract and phospholipids was detected. The results of the HPLC analysis evidence the high potential for liposomal encapsulation to protect sensitive bioactives in the rosehip fruit extract from the degrading effect of UV irradiation. The size of the rosehip-fruit-extract-encapsulated liposomes increased on the seventh day of storage from 250 nm to 300 nm, while the zeta potential values were between −21 mV and −30 mV in the same period and further stabilized over 60 days of monitoring. In Vitro release studies in water and simulated gastrointestinal fluids showed that the presence of enzymes and bile salts (in intestinal fluid) enhanced the rosehip–polyphenol permeability from liposomes (70.3% after 6 h) compared with their release in water after 24 h and in gastric fluid after 4 h (38.9% and 41.4%, respectively). The obtained results indicate that the proliposome method was an effective method for rosehip fruit extract liposomal encapsulation and for the delivery of these plant-derived bioactives in foods. Full article
(This article belongs to the Section Phytochemistry)
Show Figures

Graphical abstract

16 pages, 2663 KB  
Article
Development of Paclitaxel Proliposomal Dry Powder Inhaler (PTX-PLM-DPI) by Freeze-Drying Method for Lung Cancer
by Chinmoyee Borah, Trideep Saikia, Alakesh Bharali, Madhuchandra Lahan, Nikhil Biswas and Bhanu P Sahu
Drugs Drug Candidates 2024, 3(1), 275-290; https://doi.org/10.3390/ddc3010016 - 5 Mar 2024
Cited by 3 | Viewed by 3315
Abstract
Despite various efforts, a successful selective delivery system for chemotherapeutic agents for lung cancer is still lacking. Dry powder inhaler (DPI) systems based on proliposomes (PLMs) could be a potential system for the efficient delivery of paclitaxel to lungs. PLM-based DPI prepared with [...] Read more.
Despite various efforts, a successful selective delivery system for chemotherapeutic agents for lung cancer is still lacking. Dry powder inhaler (DPI) systems based on proliposomes (PLMs) could be a potential system for the efficient delivery of paclitaxel to lungs. PLM-based DPI prepared with a freeze-drying method can therefore be an alternative. Paclitaxel-loaded PLM-based DPI (PTX-PLM-DPI) powders were prepared using the method of thin film deposition on a carrier followed by freeze drying. These were prepared using soya phosphatidylcholine (SPC) and cholesterol as the lipids and mannitol as the carrier. The reconstituted liposomes were evaluated in terms of size, morphology, drug entrapment, release and cytotoxicity. The DPI powders were evaluated for their flow property, surface topography, dose uniformity and in vitro lung deposition. Stable and free-flowing PTX-PLM-DPI powder was obtained that could be reconstituted into homogenous liposomal vesicles < 200 nm as confirmed by TEM and SEM studies. The liposomes showed drug entrapment of 92.64 ± 1.4% and diffusion-controlled release of up to 28% in 24 h. These liposomes showed better dose-dependent cytotoxicity in A549 cells in comparison to paclitaxel suspension with IC50 values of 46 ± 0.87 ng/mL and 154.9 ± 3.64 ng/mL, respectively. In vitro lung deposition studies of the PTX-PLM-DPI showed sufficient deposition with the fine particle fraction (FPF) of 50.86 ± 2.8% of particles with an aerodynamic diameter less than 5 µ. Hence, it canbe concluded that PLM-based DPI prepared by freeze drying can be a promising, stable, safe and free-flowing system for the enhanced lung delivery of paclitaxel. Full article
(This article belongs to the Section Preclinical Research)
Show Figures

Figure 1

17 pages, 1198 KB  
Article
Rosehip Extract-Loaded Liposomes for Potential Skin Application: Physicochemical Properties of Non- and UV-Irradiated Liposomes
by Aleksandra A. Jovanović, Bojana Balanč, Mina Volić, Ilinka Pećinar, Jelena Živković and Katarina P. Šavikin
Plants 2023, 12(17), 3063; https://doi.org/10.3390/plants12173063 - 25 Aug 2023
Cited by 25 | Viewed by 3518
Abstract
In the present study, rosehip (Rosa canina L.) extract was successfully encapsulated in phospholipid liposomes using a single-step procedure named the proliposome method. Part of the obtained liposomes was subjected to UV irradiation and non-treated (native) and UV-irradiated liposomes were further characterized [...] Read more.
In the present study, rosehip (Rosa canina L.) extract was successfully encapsulated in phospholipid liposomes using a single-step procedure named the proliposome method. Part of the obtained liposomes was subjected to UV irradiation and non-treated (native) and UV-irradiated liposomes were further characterized in terms of encapsulation efficiency, chemical composition (HPLC analysis), antioxidant capacity, particle size, PDI, zeta potential, conductivity, mobility, and antioxidant capacity. Raman spectroscopy as well as DSC analysis were applied to evaluate the influence of UV irradiation on the physicochemical properties of liposomes. The encapsulation efficiency of extract-loaded liposomes was higher than 90%; the average size was 251.5 nm; the zeta potential was −22.4 mV; and the conductivity was found to be 0.007 mS/cm. UV irradiation did not cause a change in the mentioned parameters. In addition, irradiation did not affect the antioxidant potential of the liposome–extract system. Raman spectroscopy indicated that the extract was completely covered by the lipid membrane during liposome entrapment, and the peroxidation process was minimized by the presence of rosehip extract in liposomes. These results may guide the potential application of rosehip extract-loaded liposomes in the food, pharmaceutical, or cosmetic industries, particularly when liposomal sterilization is needed. Full article
Show Figures

Figure 1

18 pages, 1776 KB  
Article
Aliskiren Hemifumarate Proliposomes for Improved Oral Drug Delivery: Formulation Development, In Vitro and In Vivo Permeability Testing
by Priyanka Kunamaneni, Surya Kovvasu, Steven Yeung, Jeffrey Wang, Salim Shah and Guru Betageri
Molecules 2022, 27(15), 4828; https://doi.org/10.3390/molecules27154828 - 28 Jul 2022
Cited by 2 | Viewed by 2648
Abstract
The objective of this study was to develop proliposomal formulations for a poorly bioavailable drug, aliskiren hemifumarate (AKH). A solvent evaporation method was used to prepare proliposomes using different lipids. The lipids of selection were soy phosphatidylcholine (SPC), dimyristoylphosphatidylcholine (DMPC), and dimyristoylphosphatidylglycerol sodium [...] Read more.
The objective of this study was to develop proliposomal formulations for a poorly bioavailable drug, aliskiren hemifumarate (AKH). A solvent evaporation method was used to prepare proliposomes using different lipids. The lipids of selection were soy phosphatidylcholine (SPC), dimyristoylphosphatidylcholine (DMPC), and dimyristoylphosphatidylglycerol sodium (DMPG Na), stearylamine, and cholesterol in various ratios. Proliposomes were evaluated for particle size, zeta potential, in vitro drug release, in vitro permeability, and in vivo pharmacokinetics upon hydration with aqueous phase. In vitro drug release studies were conducted in 0.01 N hydrochloric acid using USP type II dissolution apparatus. Parallel artificial membrane permeation assay (PAMPA) and Caco-2 cell line models were used to study the in vitro drug permeation. Male Sprague-Dawley (SD) rats were used to conduct in vivo pharmacokinetic studies. Among different formulations, proliposomes with drug/DMPC/cholesterol/stearylamine in the ratio of 1:5:0.025:0.050 (w/w/w/w) demonstrated the desired particle size, higher zeta potential, and higher encapsulation efficiency. The PAMPA and Caco-2 cell line experiments showed a significantly higher permeability of AKH with proliposomes as compared to pure AKH. In animal studies, the optimized formulation of proliposomes showed significant improvement in the rate and extent of absorption of AKH. Specifically, following a single oral administration, the relative bioavailability of AKH proliposome formulation was 230% when compared to pure AKH suspension. Full article
(This article belongs to the Section Nanochemistry)
Show Figures

Figure 1

12 pages, 2195 KB  
Article
A Liposomal Formulation for Improving Solubility and Oral Bioavailability of Nifedipine
by Ye Bi, Bingcong Lv, Lianlian Li, Robert J. Lee, Jing Xie, Zhidong Qiu and Lesheng Teng
Molecules 2020, 25(2), 338; https://doi.org/10.3390/molecules25020338 - 14 Jan 2020
Cited by 29 | Viewed by 5392
Abstract
Proliposomes were used to improve the solubility and oral bioavailability of nifedipine. Nifedipine proliposomes were prepared by methanol injection-spray drying method. The response surface method was used to optimize formulation to enhance the encapsulation efficiency (EE%) of nifedipine. The particle size of nifedipine [...] Read more.
Proliposomes were used to improve the solubility and oral bioavailability of nifedipine. Nifedipine proliposomes were prepared by methanol injection-spray drying method. The response surface method was used to optimize formulation to enhance the encapsulation efficiency (EE%) of nifedipine. The particle size of nifedipine proliposomes after rehydration was 114 nm. Surface morphology of nifedipine proliposomes was observed by a scanning electron microscope (SEM) and interaction of formulation ingredients was assessed by differential scanning calorimetry (DSC). The solubility of nifedipine is improved 24.8 times after forming proliposomes. In vitro release experiment, nifedipine proliposomes had a control release effect, especially in simulated gastric fluid. In vivo, nifedipine proliposomes significantly improved the bioavailability of nifedipine. The area under the concentration-time curve (AUC0–∞) of nifedipine proliposomes was about 10 times than nifedipine after oral administration. The elimination half-life (T1/2β) of nifedipine was increased from 1.6 h to 6.6 h. In conclusion, proliposomes was a promising system to deliver nifedipine through oral route and warranted further investigation. Full article
Show Figures

Figure 1

16 pages, 4082 KB  
Article
Development of Injectable PEGylated Liposome Encapsulating Disulfiram for Colorectal Cancer Treatment
by Mohammad Najlah, Ammar Said Suliman, Ibrahim Tolaymat, Sathishkumar Kurusamy, Vinodh Kannappan, Abdelbary M. A. Elhissi and Weiguang Wang
Pharmaceutics 2019, 11(11), 610; https://doi.org/10.3390/pharmaceutics11110610 - 14 Nov 2019
Cited by 78 | Viewed by 8669
Abstract
Disulfiram (DS), an anti-alcoholism medicine, shows strong anti-cancer activity in the laboratory, but the application in clinics for anti-cancer therapy has been limited by its prompt metabolism. Conventional liposomes have shown limited ability to protect DS. Therefore, the aim of this study is [...] Read more.
Disulfiram (DS), an anti-alcoholism medicine, shows strong anti-cancer activity in the laboratory, but the application in clinics for anti-cancer therapy has been limited by its prompt metabolism. Conventional liposomes have shown limited ability to protect DS. Therefore, the aim of this study is to develop PEGylated liposomes of DS for enhanced bio-stability and prolonged circulation. PEGylated liposomes were prepared using ethanol-based proliposome methods. Various ratios of phospholipids, namely: hydrogenated soya phosphatidylcholine (HSPC) or dipalmitoyl phosphatidylcholine (DPPC) and N-(Carbonyl-methoxypolyethylenglycol-2000)-1,2-distearoyl-sn-glycero-3-phosphoethanolamine (DSPE-PEG2000) with cholesterol were used. DS was dissolved in the alcoholic solution in different lipid mol% ratios. The size of the resulting multilamellar liposomes was reduced by high-pressure homogenization. Liposomal formulations were characterized by size analysis, zeta potential, drug loading efficiency and stability in horse serum. Small unilamellar vesicles (SUVs; nanoliposomes) were generated with a size of approximately 80 to 120 nm with a polydispersity index (PDI) in the range of 0.1 to 0.3. Zeta potential values of all vesicles were negative, and the negative surface charge intensity tended to increase by PEGylation. PEGylated liposomes had a smaller size (80–90 nm) and a significantly lower PDI. All liposomes showed similar loading efficiencies regardless of lipid type (HSPC or DPPC) or PEGylations. PEGylated liposomes provided the highest drug biostability amongst all formulations in horse serum. PEGylated DPPC liposomes had t1/2 =77.3 ± 9.6 min compared to 9.7 ± 2.3 min for free DS. In vitro cytotoxicity on wild type and resistant colorectal cancer cell lines was evaluated by MTT assay. All liposomal formulations of DS were cytotoxic to both the wild type and resistant colorectal cancer cell lines and were able to reverse chemoresistance at low nanomolar concentrations. In conclusion, PEGylated liposomes have a greater potential to be used as an anticancer carrier for disulfiram. Full article
Show Figures

Graphical abstract

17 pages, 3423 KB  
Article
Discovery of a New Xanthone against Glioma: Synthesis and Development of (Pro)liposome Formulations
by Ana Alves, Marta Correia-da-Silva, Claúdia Nunes, João Campos, Emília Sousa, Patrícia M.A. Silva, Hassan Bousbaa, Francisca Rodrigues, Domingos Ferreira, Paulo C. Costa and Madalena Pinto
Molecules 2019, 24(3), 409; https://doi.org/10.3390/molecules24030409 - 23 Jan 2019
Cited by 18 | Viewed by 7042
Abstract
Following our previous work on the antitumor activity of acetylated flavonosides, a new acetylated xanthonoside, 3,6-bis(2,3,4,6-tetra-O-acetyl-β-glucopyranosyl)xanthone (2), was synthesized and discovered as a potent inhibitor of tumor cell growth. The synthesis involved the glycosylation of 3,6-di-hydroxyxanthone (1) [...] Read more.
Following our previous work on the antitumor activity of acetylated flavonosides, a new acetylated xanthonoside, 3,6-bis(2,3,4,6-tetra-O-acetyl-β-glucopyranosyl)xanthone (2), was synthesized and discovered as a potent inhibitor of tumor cell growth. The synthesis involved the glycosylation of 3,6-di-hydroxyxanthone (1) with acetobromo-α-d-glucose. Glycosylation with silver carbonate decreased the amount of glucose donor needed, comparative to the biphasic glycosylation. Xanthone 2 showed a potent anti-growth activity, with GI50 < 1 μM, in human cell lines of breast, lung, and glioblastoma cancers. Current treatment for invasive brain glioma is still inadequate and new agents against glioblastoma with high brain permeability are urgently needed. To overcome these issues, xanthone 2 was encapsulated in a liposome. To increase the well-known low stability of these drug carriers, a proliposome formulation was developed using the spray drying method. Both formulations were characterized and compared regarding three months stability and in vitro anti-growth activity. While the proliposome formulation showed significantly higher stability, it was at the expense of losing its biocompatibility as a drug carrier in higher concentrations. More importantly, the new xanthone 2 was still able to inhibit the growth of glioblastoma cells after liposome formulation. Full article
Show Figures

Figure 1

12 pages, 1752 KB  
Article
Evaluation of Extrusion Technique for Nanosizing Liposomes
by Sandy Gim Ming Ong, Mallikarjun Chitneni, Kah Seng Lee, Long Chiau Ming and Kah Hay Yuen
Pharmaceutics 2016, 8(4), 36; https://doi.org/10.3390/pharmaceutics8040036 - 21 Dec 2016
Cited by 206 | Viewed by 13500
Abstract
The aim of the present study was to study the efficiency of different techniques used for nanosizing liposomes. Further, the aim was also to evaluate the effect of process parameters of extrusion techniques used for nanosizing liposomes on the size and size distribution [...] Read more.
The aim of the present study was to study the efficiency of different techniques used for nanosizing liposomes. Further, the aim was also to evaluate the effect of process parameters of extrusion techniques used for nanosizing liposomes on the size and size distribution of the resultant liposomes. To compare the efficiency of different nanosizing techniques, the following techniques were used to nanosize the liposomes: extrusion, ultrasonication, freeze-thaw sonication (FTS), sonication and homogenization. The extrusion technique was found to be the most efficient, followed by FTS, ultrasonication, sonication and homogenization. The extruder used in the present study was fabricated using readily available and relatively inexpensive apparatus. Process parameters were varied in extrusion technique to study their effect on the size and size distribution of extruded liposomes. The results obtained indicated that increase in the flow rate of the extrusion process decreased the size of extruded liposomes however the size homogeneity was negatively impacted. Furthermore, the liposome size and distribution was found to decline with decreasing membrane pore size. It was found that by extruding through a filter with a pore size of 0.2 µm and above, the liposomes produced were smaller than the pore size, whereas, when they were extruded through a filter with a pore size of less than 0.2 µm the resultant liposomes were slightly bigger than the nominal pore size. Besides that, increment of extrusion temperature above transition temperature of the pro-liposome had no effect on the size and size distribution of the extruded liposomes. In conclusion, the extrusion technique was reproducible and effective among all the methods evaluated. Furthermore, processing parameters used in extrusion technique would affect the size and size distribution of liposomes. Therefore, the process parameters need to be optimized to obtain a desirable size range and homogeneity, reproducible for various in vivo applications. Full article
(This article belongs to the Special Issue Liposome Technologies 2015)
Show Figures

Figure 1

21 pages, 846 KB  
Article
Isoniazid Proliposome Powders for Inhalation—Preparation, Characterization and Cell Culture Studies
by Wipaporn Rojanarat, Narumon Changsan, Ekawat Tawithong, Sirirat Pinsuwan, Hak-Kim Chan and Teerapol Srichana
Int. J. Mol. Sci. 2011, 12(7), 4414-4434; https://doi.org/10.3390/ijms12074414 - 7 Jul 2011
Cited by 113 | Viewed by 12641
Abstract
The aims of this study were to develop proliposome powders containing isoniazid (INH) in a dry powder aerosol form. INH-proliposome powders were prepared by a spray drying method. Proliposome physicochemical properties were determined using cascade impactor, X-ray diffraction and differential scanning calorimetry. The [...] Read more.
The aims of this study were to develop proliposome powders containing isoniazid (INH) in a dry powder aerosol form. INH-proliposome powders were prepared by a spray drying method. Proliposome physicochemical properties were determined using cascade impactor, X-ray diffraction and differential scanning calorimetry. The toxicity of proliposomes to respiratory-associated cell lines and its potential to provoke immunological responses from alveolar macrophages (AM) were determined. Free INH and INH-proliposome bioactivities were tested in vitro and in AM infected with Mycobacterium bovis (M. bovis). Aerosolization properties of INH-proliposome powders at 60 L/min, the powders showed mass median aerodynamic diameters of 2.99–4.92 mm, with fine particle fractions (aerosolized particles less than 4.4 µm) of 15–35%. Encapsulation of INH was 18–30%. Proliposome formulations containing INH to mannitol ratios of 4:6 and 6:4 exhibited the greatest overlapping peak between the drug and mannitol. INH-proliposomes were evidently nontoxic to respiratory-associated cells, and did not activate AM to produce inflammatory mediators—including interleukin-1b (IL-1b), tumor necrosis factor-a (TNF-a), and nitric oxide—at a toxic level. The efficacy of INH-proliposome against AM infected with M. bovis was significantly higher than that of free INH (p < 0.05). INH-proliposomes are potential candidates for an alternative tuberculosis treatment. Full article
(This article belongs to the Section Materials Science)
Show Figures

Back to TopTop