Due to scheduled maintenance work on our servers, there may be short service disruptions on this website between 11:00 and 12:00 CEST on March 28th.
Sign in to use this feature.

Years

Between: -

Subjects

remove_circle_outline
remove_circle_outline
remove_circle_outline
remove_circle_outline
remove_circle_outline
remove_circle_outline
remove_circle_outline
remove_circle_outline
remove_circle_outline

Journals

Article Types

Countries / Regions

Search Results (220)

Search Parameters:
Keywords = precision viticulture

Order results
Result details
Results per page
Select all
Export citation of selected articles as:
22 pages, 3299 KB  
Article
DualStream-RTNet: A Multimodal Deep Learning Framework for Grape Cultivar Classification and Soluble Solid Content Prediction
by Zhiguo Liu, Yufei Song, Aoran Liu, Xi Meng, Chang Liu, Shanshan Li, Xiangqing Wang and Guifa Teng
Foods 2026, 15(6), 1095; https://doi.org/10.3390/foods15061095 - 20 Mar 2026
Viewed by 190
Abstract
Accurate and non-destructive evaluation of grape quality is crucial for intelligent viticulture, yet most existing approaches address cultivar classification and soluble solid content (SSC) prediction as independent tasks based on single-modality data, limiting robustness and practical applicability. This study proposes DualStream-RTNet, a unified [...] Read more.
Accurate and non-destructive evaluation of grape quality is crucial for intelligent viticulture, yet most existing approaches address cultivar classification and soluble solid content (SSC) prediction as independent tasks based on single-modality data, limiting robustness and practical applicability. This study proposes DualStream-RTNet, a unified multimodal deep learning framework that simultaneously performs grape cultivar classification and SSC prediction by integrating RGB-HSV fused images and PCA-compressed hyperspectral spectra. The dual-stream architecture enables the complementary learning of external chromatic–textural cues and internal physicochemical information, while a Transformer-enhanced fusion module strengthens global representation and cross-modal correlation. A dataset of 864 berries from five grape cultivars was used to validate the model. DualStream-RTNet achieved 93.64% classification accuracy, outperforming ResNet18 and other CNN baselines, and produced more compact and consistent confusion-matrix patterns. For SSC prediction, it consistently yielded the highest performance across cultivars, with R2p values up to 0.9693 and RMSE as low as 0.2567, surpassing the PLSR, SVR, LSTM, and Transformer regression models. These results demonstrate the superiority of the proposed framework in capturing both visual and spectral characteristics. DualStream-RTNet provides an efficient and scalable solution for comprehensive grape quality assessment, offering strong potential for real-time sorting, precision grading, and smart agricultural applications. Full article
(This article belongs to the Section Food Engineering and Technology)
Show Figures

Figure 1

20 pages, 1516 KB  
Article
Cultivar-Specific Expression of the Vintage Effect in Furmint Grapes from the Tokaj Wine Region Part I: Berry Growth, Sugar Accumulation and Dry Matter Formation
by Csaba Rácz, Krisztina Molnár, Tamás Dövényi-Nagy, Károly Bakó, István Kathy, István Szepsy, László Csige and Attila Csaba Dobos
Agronomy 2026, 16(6), 594; https://doi.org/10.3390/agronomy16060594 - 10 Mar 2026
Viewed by 338
Abstract
Interannual variability in climatic conditions represents a major source of uncertainty in cool-climate viticulture, highlighting the need for cultivar-specific assessments of climate–quality relationships. A multi-year on-farm experiment with six monitoring sites has been conducted in vineyards representative of the Tokaj wine region to [...] Read more.
Interannual variability in climatic conditions represents a major source of uncertainty in cool-climate viticulture, highlighting the need for cultivar-specific assessments of climate–quality relationships. A multi-year on-farm experiment with six monitoring sites has been conducted in vineyards representative of the Tokaj wine region to monitor and assess vintage effect. This study, as the first part of a broader research project evaluating must components, quantifies relationships between climatic indices and key yield- and sugar-related traits (berry weight, total soluble solids, and total dry extract) in Vitis vinifera L. cv. Furmint grown in the Tokaj wine region over three contrasting vintages. Thermal, radiative, and water-availability variables were calculated for discrete phenological phases and statistically analyzed to identify climatic predictors of berry growth and must composition. Berry weight exhibited pronounced vintage sensitivity, showing consistent associations with precipitation-related variables during early developmental stages. In contrast, total soluble solids and total dry extract displayed weaker and less consistent responses to interannual climatic variability. Several widely used heat-accumulation indices showed limited explanatory power, indicating a moderate climatic sensitivity of sugar-related traits in this cultivar. Overall, the results suggest that early-season climatic conditions exert a stronger influence on berry growth than late-season thermal extremes, while compositional parameters related to sugar accumulation remain comparatively stable. These findings highlight the need to incorporate cultivar-specific response functions into statistical models that assess projected climate-change effects on grape quality. Full article
(This article belongs to the Section Horticultural and Floricultural Crops)
Show Figures

Figure 1

12 pages, 5741 KB  
Data Descriptor
Hyperspectral Images of Vine Leaves Treated with Antifungal Products
by Ramón Sánchez, Carlos Rad, Carlos Cambra, Rocío Barros and Álvaro Herrero
Data 2026, 11(3), 53; https://doi.org/10.3390/data11030053 - 7 Mar 2026
Viewed by 257
Abstract
Hyperspectral imagery provides detailed insights for vineyard vegetation assessment, enabling improved pesticide management within precision agriculture. For this reason, the dataset presented here includes hyperspectral images acquired from grapevine leaves treated with two copper-based formulations: ZZ Cuprocol (containing 70% w/v copper [...] Read more.
Hyperspectral imagery provides detailed insights for vineyard vegetation assessment, enabling improved pesticide management within precision agriculture. For this reason, the dataset presented here includes hyperspectral images acquired from grapevine leaves treated with two copper-based formulations: ZZ Cuprocol (containing 70% w/v copper oxychloride) and Cuprantol Duo (composed of 14% w/w copper oxychloride and 14% w/w copper hydroxide). In addition, a commonly used contact pesticide in both intensive and traditional viticulture, Folpet—free of copper but containing sulfur and chlorine—was also evaluated in its commercial formulation Vitipec Azul (Cimoxanil 6% w/w, Folpet 37.5% w/w, Ascenza, Portugal). For each product, six different dilution levels were prepared along with a distilled water control. Leaf samples were collected and analyzed during the 2023 growing season from three shoot locations (basal, middle, and apical) and from both orientations of the vine canopy: east and west. Following pesticide treatment, leaf hyperspectral images were captured using a 300-band Pika L camera (Resonon, Bozeman, MT, USA), mounted on a mechanical scanning platform synchronized with the imaging system. Full article
Show Figures

Figure 1

15 pages, 2554 KB  
Article
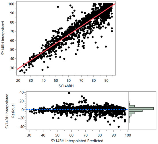
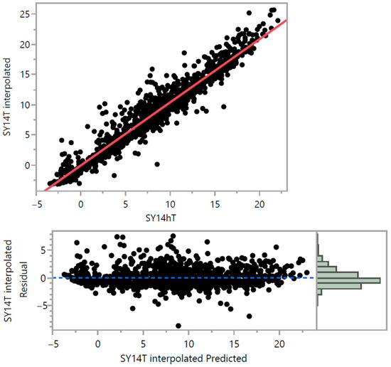
A Geospatial Model for Identifying High-Risk Locations for Downy Mildew (Plasmopara viticola) Infestation in Vineyards of Greece
by Elias Christoforides, Kostas Chronopoulos, Athanassios Kamoutsis and Ioulia Panagiotou
Agriculture 2026, 16(5), 511; https://doi.org/10.3390/agriculture16050511 - 26 Feb 2026
Viewed by 327
Abstract
Downy mildew (Plasmopara viticola) poses a major and recurring threat to Greek viticulture, yet existing point-based forecasting models require in-vineyard stations, limiting scalability in fragmented landscapes. This study introduces a spatially explicit model (MeteoGrape) using one fully equipped reference meteorological station [...] Read more.
Downy mildew (Plasmopara viticola) poses a major and recurring threat to Greek viticulture, yet existing point-based forecasting models require in-vineyard stations, limiting scalability in fragmented landscapes. This study introduces a spatially explicit model (MeteoGrape) using one fully equipped reference meteorological station plus eight distributed sensors across an 85 km2 area in Kavala, Greece. The model is structured in three phases. In Phase A, a single reference station was paired with eight low-cost distributed sensors to reconstruct hourly temperature and relative humidity data through regression correction and radial basis function interpolation, generating a 342-cell grid at 0.005° resolution. During Phases B and C, deterministic epidemiological rules were applied to simulate oospore development, with accumulated degree-hours and humidity exposure converted into spatial risk classifications. Cross-validation (leave-one-sensor-out) confirms meteorological reliability. The model captured an elevated risk period beginning on 16 May, preceding the regional advisory bulletin (23 May), and mapped the spatial distribution of accumulated risk through late May. Validation supports temporal consistency at the regional scale, while fine-scale spatial accuracy is identified as a subject for future field-based evaluation. The framework demonstrates the feasibility of extending established point-based disease models into spatially explicit risk maps under limited meteorological infrastructure. Full article
Show Figures

Figure 1

26 pages, 8605 KB  
Article
The Application of Amino Acids as a Sustainable Strategy for Managing Water Stress in Vineyards
by Fabrício Lopes Macedo, Carla Ragonezi, José Filipe Teixeira Ganança, Humberto Nóbrega, José G. R. de Freitas, Andrés A. Borges, David Jiménez-Arias and Miguel A. A. Pinheiro de Carvalho
Remote Sens. 2026, 18(4), 641; https://doi.org/10.3390/rs18040641 - 19 Feb 2026
Viewed by 317
Abstract
Water scarcity increasingly threatens viticulture in the Macaronesian region due to climatic variability and recurrent droughts. This study evaluated the physiological and productive responses of grapevines (Vitis vinifera L.) to foliar applications of two amino acid-based biostimulants, pyroglutamic acid and pipecolic acid, [...] Read more.
Water scarcity increasingly threatens viticulture in the Macaronesian region due to climatic variability and recurrent droughts. This study evaluated the physiological and productive responses of grapevines (Vitis vinifera L.) to foliar applications of two amino acid-based biostimulants, pyroglutamic acid and pipecolic acid, under contrasting water availability conditions on Madeira Island, Portugal. Three non-irrigated treatments were arranged in a randomized complete block design: T1 (no irrigation and no amino acids), T2 (pyroglutamic acid, without irrigation), and T3 (pipecolic acid, without irrigation), while conventional irrigation (T4) was included as a non-randomized reference. Agronomic parameters and UAV-derived multispectral and thermal data were analyzed during the 2023 (moderate drought) and 2024 (severe drought) growing seasons. Vegetation indices (NDVI, GNDVI, NDRE, NGRDI, and GLI) and the Simplified Crop Water Stress Index (CWSIsi) were used to assess canopy vigor and plant water status. In 2023, T4 showed significantly higher bunch number and total yield, whereas differences among non-irrigated treatments were not statistically significant. Nevertheless, T2 showed consistent numerical trends toward higher yield components and a comparatively more stable canopy thermal response than the untreated control. In 2024, severe drought reduced productivity across all treatments, with no significant difference detected. Yield components were generally strongly correlated, while CWSIsi was negatively associated with vegetation indices, particularly under moderate drought. The NGRDI demonstrated potential as a low-cost RGB-based indicator but requires cautious interpretation. Overall, pyroglutamic acid may represent a complementary strategy to irrigation and UAV-based precision monitoring in drought-prone viticulture, although confirmation through longer-term and higher-powered field studies is required. Full article
(This article belongs to the Special Issue Application of UAV Images in Precision Agriculture)
Show Figures

Figure 1

32 pages, 6574 KB  
Article
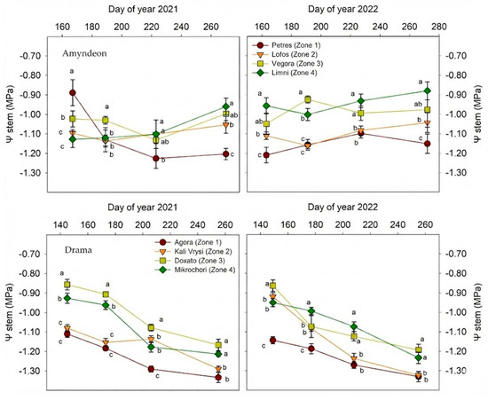
Delineation and Evaluation of Subzones in Two Wine-Growing Regions in Northern Greece
by Theodoros Gkrimpizis, Christina Karadimou, Nikolaos L. Tsakiridis, Sotirios Kechagias, Serafeim Theocharis, Georgios C. Zalidis and Stefanos Koundouras
Agronomy 2026, 16(4), 454; https://doi.org/10.3390/agronomy16040454 - 14 Feb 2026
Viewed by 392
Abstract
This study focuses on identifying wine-growing subzones within the PDO Amyndeon and PGI Drama wine-growing zones in Northern Greece, with the aim of assessing their suitability for producing high-quality red wines from the Xinomavro (Vitis vinifera L.) and Cabernet Sauvignon (Vitis [...] Read more.
This study focuses on identifying wine-growing subzones within the PDO Amyndeon and PGI Drama wine-growing zones in Northern Greece, with the aim of assessing their suitability for producing high-quality red wines from the Xinomavro (Vitis vinifera L.) and Cabernet Sauvignon (Vitis vinifera L.) grape varieties, respectively. The initial delineation of suitability zones was carried out using readily available satellite data on soil, topography, and climate, in four different suitability categories. To validate how effectively these categories distinguished actual wine-growing regions, we compared them against two years of field data collected from experimental vineyards. The results showed that this methodology was able to discern the most suitable areas for both varieties and regions with an acceptable relation to real grape and wine attributes as confirmed by the collection of data from the pilot vineyards. The overall performance of this method will ultimately depend on the validity of the expert knowledge used to define the most critical parameters and their range. According to the results of this study, and given the relevance of the proposed suitability criteria, this method has the potential to provide an alternative solution for subzone delineation in cases where wine analytical and sensory data are not available. Full article
Show Figures

Figure 1

23 pages, 10699 KB  
Article
YOLOv11-IMP: Anchor-Free Multiscale Detection Model for Accurate Grape Yield Estimation in Precision Viticulture
by Shaoxiong Zheng, Xiaopei Yang, Peng Gao, Qingwen Guo, Jiahong Zhang, Shihong Chen and Yunchao Tang
Agronomy 2026, 16(3), 370; https://doi.org/10.3390/agronomy16030370 - 2 Feb 2026
Viewed by 501
Abstract
Estimating grape yields in viticulture is hindered by persistent challenges, including strong occlusion between grapes, irregular cluster morphologies, and fluctuating illumination throughout the growing season. This study introduces YOLOv11-IMP, an improved multiscale anchor-free detection framework extending YOLOv11, tailored to vineyard environments. Its architecture [...] Read more.
Estimating grape yields in viticulture is hindered by persistent challenges, including strong occlusion between grapes, irregular cluster morphologies, and fluctuating illumination throughout the growing season. This study introduces YOLOv11-IMP, an improved multiscale anchor-free detection framework extending YOLOv11, tailored to vineyard environments. Its architecture comprises five specialized components: (i) a viticulture-oriented backbone employing cross-stage partial fusion with depthwise convolutions for enriched feature extraction, (ii) a bifurcated neck enhanced by large-kernel attention to expand the receptive field coverage, (iii) a scale-adaptive anchor-free detection head for robust multiscale localization, (iv) a cross-modal processing module integrating visual features with auxiliary textual descriptors to enable fine-grained cluster-level yield estimation, and (v) aross multiple scales. This work evaluated YOLOv11-IMP on five grape varieties collecten augmented spatial pyramid pooling module that aggregates contextual information acd under diverse environmental conditions. The framework achieved 94.3% precision and 93.5% recall for cluster detection, with a mean absolute error (MAE) of 0.46 kg per vine. The robustness tests found less than 3.4% variation in accuracy across lighting and weather conditions. These results demonstrate that YOLOv11-IMP can deliver high-fidelity, real-time yield data, supporting decision-making for precision viticulture and sustainable agricultural management. Full article
(This article belongs to the Special Issue Innovations in Agriculture for Sustainable Agro-Systems)
Show Figures

Figure 1

32 pages, 32199 KB  
Article
Autonomous Robotic Platform for Precision Viticulture: Integrated Mobility, Multimodal Sensing, and AI-Based Leaf Sampling
by Miriana Russo, Corrado Santoro, Federico Fausto Santoro and Alessio Tudisco
Actuators 2026, 15(2), 91; https://doi.org/10.3390/act15020091 - 2 Feb 2026
Viewed by 606
Abstract
Viticulture is facing growing economic and environmental pressures that demand a transition toward intelligent and autonomous crop management systems. Phytopathologies remain one of the most critical threats, causing substantial yield losses and reducing grape quality, while regulatory restrictions on agrochemicals and sustainability goals [...] Read more.
Viticulture is facing growing economic and environmental pressures that demand a transition toward intelligent and autonomous crop management systems. Phytopathologies remain one of the most critical threats, causing substantial yield losses and reducing grape quality, while regulatory restrictions on agrochemicals and sustainability goals are driving the development of precision agriculture solutions. In this context, early disease detection is crucial; however, current visual inspection methods are hindered by subjectivity, cost, and delayed symptom recognition. This study presents a fully autonomous robotic platform developed within the Agrimet project, enabling continuous, high-frequency monitoring in vineyard environments. The system integrates a tracked mobility base, multimodal sensing using RGB-D and thermal cameras, an AI-based perception framework for leaf localisation, and a compliant six-axis manipulator for biological sampling. A custom control architecture bridges standard autopilot PWM signals with industrial CANopen motor drivers, achieving seamless coordination among all subsystems. Field validation in a Sicilian vineyard demonstrated the platform’s capability to navigate autonomously, acquire multimodal data, and perform precise georeferenced sampling under unstructured conditions. The results confirm the feasibility of holistic robotic systems as a key enabler for sustainable, data-driven viticulture and early disease management. The YOLOv10s detection model achieved good precision and F1-score for leaf detection, while the integrated Kalman filtering visual servoing system demonstrated low spatial tolerance under field conditions despite foliage sway and vibrations. Full article
(This article belongs to the Special Issue Advanced Learning and Intelligent Control Algorithms for Robots)
Show Figures

Figure 1

21 pages, 1305 KB  
Article
Cross-Learner Spectral Subset Optimisation: PLS–Ensemble Feature Selection with Weighted Borda Count for Grapevine Cultivar Discrimination
by Kyle Loggenberg, Albert Strever and Zahn Münch
Geomatics 2026, 6(1), 12; https://doi.org/10.3390/geomatics6010012 - 28 Jan 2026
Viewed by 347
Abstract
The mapping of vineyard cultivars presents a substantial challenge in digital agriculture due to the crop’s high intra-class heterogeneity and low inter-class variability. High-dimensional spectral datasets, such as hyperspectral or spectrometry data, can overcome these difficulties. However, research has yet to fully address [...] Read more.
The mapping of vineyard cultivars presents a substantial challenge in digital agriculture due to the crop’s high intra-class heterogeneity and low inter-class variability. High-dimensional spectral datasets, such as hyperspectral or spectrometry data, can overcome these difficulties. However, research has yet to fully address the need for optimal spectral feature subsets tailored for grapevine cultivar discrimination, while few studies have systematically examined waveband subsets that transfer effectively across different learning algorithms. This study sets out to address these gaps by introducing a Partial Least Squares (PLS)-based ensemble feature selection framework with Weighted Borda Count aggregation for cultivar discrimination. Using in-field spectrometry data, collected for six cultivars, and 18 PLS-based feature selection methods spanning filter, wrapper, and hybrid approaches, the PLS–ensemble identified 100 wavebands most relevant for cultivar discrimination, reducing dimensionality by ~95%. The efficacy and transferability of this subset were evaluated using five classification algorithms: Oblique Random Forest (oRF), Multinomial Logistic Regression (Multinom), Support Vector Machine (SVM), Multi-Layer Perceptron (MLP), and a 1D Convolutional Neural Network (CNN). For oRF, Multinom, SVM, and MLP, the PLS–ensemble subset improved accuracy by 0.3–12% compared with using all wavebands. The subset was not optimal for the 1D-CNN, where accuracy decreased by up to 5.7%. Additionally, this study investigated waveband binning to transform narrow hyperspectral bands into broadband spectral features. Using feature multicollinearity and wavelength position, the 100 selected wavebands were condensed into 10 broadband features, which improved accuracy over both the full dataset and the original subset, delivering gains of 4.5–19.1%. The SVM model with this 10-feature subset outperformed all other models (F1: 1.00; BACC: 0.98; MCC: 0.78; AUC: 0.95). Full article
Show Figures

Figure 1

23 pages, 14742 KB  
Article
Grapevine Canopy Volume Estimation from UAV Photogrammetric Point Clouds at Different Flight Heights
by Leilson Ferreira, Pedro Marques, Emanuel Peres, Raul Morais, Joaquim J. Sousa and Luís Pádua
Remote Sens. 2026, 18(3), 409; https://doi.org/10.3390/rs18030409 - 26 Jan 2026
Viewed by 554
Abstract
Vegetation volume is a useful indicator for assessing canopy structure and supporting vineyard management tasks such as foliar applications and canopy management. The photogrammetric processing of imagery acquired using unmanned aerial vehicles (UAVs) enables the generation of dense point clouds suitable for estimating [...] Read more.
Vegetation volume is a useful indicator for assessing canopy structure and supporting vineyard management tasks such as foliar applications and canopy management. The photogrammetric processing of imagery acquired using unmanned aerial vehicles (UAVs) enables the generation of dense point clouds suitable for estimating canopy volume, although point cloud quality depends on spatial resolution, which is influenced by flight height. This study evaluates the effect of three flight heights (30 m, 60 m, and 100 m) on grapevine canopy volume estimation using convex hull, alpha shape, and voxel-based models. UAV-based RGB imagery and field measurements were collected during three periods at different phenological stages in an experimental vineyard. The strongest agreement with field-measured volume occurred at 30 m, where point density was highest. Envelope-based methods showed reduced performance at higher flight heights, while voxel-based grids remained more stable when voxel size was adapted to point density. Estimator behavior also varied with canopy architecture and development. The results indicate appropriate parameter choices for different flight heights and confirm that UAV-based RGB imagery can provide reliable grapevine canopy volume estimates. Full article
Show Figures

Figure 1

24 pages, 1456 KB  
Review
Genome Editing and Integrative Breeding Strategies for Climate-Resilient Grapevines and Sustainable Viticulture
by Carmine Carratore, Alessandra Amato, Mario Pezzotti, Oscar Bellon and Sara Zenoni
Horticulturae 2026, 12(1), 117; https://doi.org/10.3390/horticulturae12010117 - 21 Jan 2026
Viewed by 691
Abstract
Climate change introduces a critical threat to global viticulture, compromising grape yield, quality, and the long-term sustainability of Vitis vinifera cultivation. Addressing these challenges requires innovative strategies to enhance grapevine resilience. The integration of multi-omics data, predictive breeding, and physiological insights into ripening [...] Read more.
Climate change introduces a critical threat to global viticulture, compromising grape yield, quality, and the long-term sustainability of Vitis vinifera cultivation. Addressing these challenges requires innovative strategies to enhance grapevine resilience. The integration of multi-omics data, predictive breeding, and physiological insights into ripening and stress responses is refining our understanding of grapevine adaptation mechanisms. In parallel, recent advances in plant biotechnology have accelerated progress from marker-assisted and genomic selection to targeted genome editing, with CRISPR/Cas systems and other New Genomic Techniques (NGTs) offering advanced precision tools for sustainable improvement. This review synthesizes the major achievements in grapevine genetic improvement over time, tracing the evolution of strategies from traditional breeding to modern genome editing technologies. Overall, we highlight how combining genetics, biotechnology, and physiology is reshaping grapevine breeding towards more sustainable viticulture. The convergence of these disciplines establishes a new integrated framework for developing resilient, climate-adapted grapevines that maintain yield and quality while preserving varietal identity in the face of environmental change. Full article
Show Figures

Figure 1

5 pages, 1197 KB  
Proceeding Paper
Experimental Assessment of Autonomous Fleet Operations for Precision Viticulture Under Real Vineyard Conditions
by Gavriela Asiminari, Vasileios Moysiadis, Dimitrios Kateris, Aristotelis C. Tagarakis, Athanasios Balafoutis and Dionysis Bochtis
Proceedings 2026, 134(1), 47; https://doi.org/10.3390/proceedings2026134047 - 14 Jan 2026
Viewed by 198
Abstract
The increase in global population and climatic instability places unprecedented demands on agricultural productivity. Autonomous robotic systems, specifically unmanned aerial vehicles (UAVs) and unmanned ground vehicles (UGVs), provide potential solutions by enhancing precision viticulture operations. This work presents the experimental evaluation of a [...] Read more.
The increase in global population and climatic instability places unprecedented demands on agricultural productivity. Autonomous robotic systems, specifically unmanned aerial vehicles (UAVs) and unmanned ground vehicles (UGVs), provide potential solutions by enhancing precision viticulture operations. This work presents the experimental evaluation of a heterogeneous robotic fleet composed of Unmanned Ground Vehicles (UGVs) and Unmanned Aerial Vehicles (UAVs), operating autonomously under real-world vineyard conditions. Over the course of a full growing season, the fleet demonstrated effective autonomous navigation, environment sensing, and data acquisition. More than 4 UGV missions and 10 UAV flights were successfully completed, achieving a 95% data acquisition rate and mapping resolution of 2.5 cm/pixel. Vegetation indices and thermal imagery enabled accurate detection of water stress and crop vigor. These capabilities enabled high-resolution mapping and agricultural task execution, contributing significantly to operational efficiency and sustainability in viticulture. Full article
Show Figures

Figure 1

5 pages, 498 KB  
Proceeding Paper
Digital Mapping of Pruning Weight in Vineyards in the Framework of Precision Viticulture
by Aristotelis C. Tagarakis, Katerina Biniari, Ioannis Daskalakis, Dimitrios Kateris, Athanasios Balafoutis and Dionysis Bochtis
Proceedings 2026, 134(1), 43; https://doi.org/10.3390/proceedings2026134043 - 14 Jan 2026
Viewed by 290
Abstract
This study showcases the potential of utilizing LiDAR sensing technologies as an automated, efficient, and rapid method for mapping winter pruning wood across vineyards. It was conducted in 2024 in a commercial vineyard in the region of Attica in Greece in the framework [...] Read more.
This study showcases the potential of utilizing LiDAR sensing technologies as an automated, efficient, and rapid method for mapping winter pruning wood across vineyards. It was conducted in 2024 in a commercial vineyard in the region of Attica in Greece in the framework of the “AGROSYS” project. The experimental area was 3.5 ha grown with the Savvatiano variety. Cane weight data were collected manually at pruning, while soil spatial variability and canopy properties were mapped and analyzed. The regression analysis of the three-dimensional point clouds and the manual measurements of pruning weight revealed a strong relationship. This signifies the high potential of accurate mapping of dormant pruning canes across vineyards using rapid and time-efficient digital methods. The analysis also revealed strong relationships with the NDRE and canopy temperature at harvest. Full article
Show Figures

Figure 1

26 pages, 19685 KB  
Article
UAV NDVI-Based Vigor Zoning Predicts PR-Protein Accumulation and Protein Instability in Chardonnay and Sauvignon Blanc Wines
by Adrián Vera-Esmeraldas, Mauricio Galleguillos, Mariela Labbé, Alejandro Cáceres-Mella, Francisco Rojo and Fernando Salazar
Plants 2026, 15(2), 243; https://doi.org/10.3390/plants15020243 - 13 Jan 2026
Viewed by 622
Abstract
Protein instability in white wines is mainly caused by pathogenesis-related (PR) proteins that survive winemaking and can form haze in bottle. Because PR-protein synthesis is modulated by vine stress, this study evaluated whether unmanned aerial vehicle (UAV) multispectral imagery and NDVI-based vigor zoning [...] Read more.
Protein instability in white wines is mainly caused by pathogenesis-related (PR) proteins that survive winemaking and can form haze in bottle. Because PR-protein synthesis is modulated by vine stress, this study evaluated whether unmanned aerial vehicle (UAV) multispectral imagery and NDVI-based vigor zoning can be used as early predictors of protein instability in commercial Chardonnay and Sauvignon Blanc wines. High-resolution multispectral images were acquired over two seasons (2023–2024) in two vineyards, and three vigor zones (high, medium, low) were delineated from the NDVI at the individual vine scale. A total of 180 georeferenced vines were sampled, and musts were analyzed for thaumatin-like proteins and chitinases via RP-HPLC. Separate microvinifications were carried out for each vigor zone and cultivar, and the resulting wines were evaluated for protein instability (heat test) and bentonite requirements. Low-vigor vines consistently produced musts with higher PR-protein concentrations, greater turbidity after heating, and higher bentonite demand than high-vigor vines, with stronger effects in Sauvignon Blanc. These vigor-dependent patterns were stable across vintages, despite contrasting seasonal conditions. Linear discriminant analysis using NDVI, PR-protein content, turbidity, and bentonite dosage correctly separated vigor classes. Overall, UAV NDVI–based vigor zoning provided a robust, non-destructive tool for identifying vineyard zones with increased risk of protein instability. This approach supports precision enology by enabling site-specific stabilization strategies that reduce overtreatment with bentonite and preserve white wine quality. Full article
Show Figures

Figure 1

13 pages, 4494 KB  
Article
Direct UAV-Based Detection of Botrytis cinerea in Vineyards Using Chlorophyll-Absorption Indices and YOLO Deep Learning
by Guillem Montalban-Faet, Enrique Pérez-Mateo, Rafael Fayos-Jordan, Pablo Benlloch-Caballero, Aleksandr Lada, Jaume Segura-Garcia and Miguel Garcia-Pineda
Sensors 2026, 26(2), 374; https://doi.org/10.3390/s26020374 - 6 Jan 2026
Viewed by 730
Abstract
The transition toward Agriculture 5.0 requires intelligent and autonomous monitoring systems capable of providing early, accurate, and scalable crop health assessment. This study presents the design and field evaluation of an artificial intelligence (AI)–based unmanned aerial vehicle (UAV) system for the detection of [...] Read more.
The transition toward Agriculture 5.0 requires intelligent and autonomous monitoring systems capable of providing early, accurate, and scalable crop health assessment. This study presents the design and field evaluation of an artificial intelligence (AI)–based unmanned aerial vehicle (UAV) system for the detection of Botrytis cinerea in vineyards using multispectral imagery and deep learning. The proposed system integrates calibrated multispectral data with vegetation indices and a YOLOv8 object detection model to enable automated, geolocated disease detection. Experimental results obtained under real vineyard conditions show that training the model using the Chlorophyll Absorption Ratio Index (CARI) significantly improves detection performance compared to RGB imagery, achieving a precision of 92.6%, a recall of 89.6%, an F1-score of 91.1%, and a mean Average Precision (mAP@50) of 93.9%. In contrast, the RGB-based configuration yielded an F1-score of 68.1% and an mAP@50 of 68.5%. The system achieved an average inference time below 50 ms per image, supporting near real-time UAV operation. These results demonstrate that physiologically informed spectral feature selection substantially enhances early Botrytis cinerea detection and confirm the suitability of the proposed UAV–AI framework for precision viticulture within the Agriculture 5.0 paradigm. Full article
(This article belongs to the Special Issue AI-IoT for New Challenges in Smart Cities)
Show Figures

Figure 1

Back to TopTop