Sign in to use this feature.

Years

Between: -

Subjects

remove_circle_outline
remove_circle_outline
remove_circle_outline
remove_circle_outline
remove_circle_outline
remove_circle_outline
remove_circle_outline

Journals

Article Types

Countries / Regions

Search Results (78)

Search Parameters:
Keywords = potholes in pavements

Order results
Result details
Results per page
Select all
Export citation of selected articles as:
19 pages, 4207 KB  
Article
Study on Distress Characteristics of Asphalt Pavement Under Heavy-Duty Traffic Based on Lightweight Road Inspection Equipment
by Hong Zhang, Yuanshuai Dong, Yun Hou, Xinlong Tong, Xiangjun Cheng and Keming Di
Infrastructures 2025, 10(11), 299; https://doi.org/10.3390/infrastructures10110299 (registering DOI) - 7 Nov 2025
Abstract
This study, based on the maintenance engineering of regular national and provincial highways in Shanxi Province, aims to achieve refined maintenance of aging asphalt pavements under heavy-duty traffic conditions. Lightweight inspection equipment was used to perform frequent distress collection on the study sections, [...] Read more.
This study, based on the maintenance engineering of regular national and provincial highways in Shanxi Province, aims to achieve refined maintenance of aging asphalt pavements under heavy-duty traffic conditions. Lightweight inspection equipment was used to perform frequent distress collection on the study sections, and for the first time, the EPCI (Economic Pavement Surface Condition Index, which can quickly improve the overall condition level of the pavement by identifying simple two-dimensional diseases such as transverse and longitudinal joints and tortoise net cracks, and low-cost maintenance measures can be carried out through the detection data, which does not include diseases such as subsidence, which are more complex and costly.) is proposed to assess pavement distress conditions. The study conducted six high-frequency data collections over one year on the designated road sections. EPCI evaluations were carried out on each lane in different driving directions, summarizing eight types of pavement distress, including alligator cracking, block cracking, longitudinal and transverse cracking, potholes, longitudinal and transverse crack repairs, and block repairs. The development trends of EPCI and the distribution of pavement distress were analyzed. By comparing EPCI data, it was found that EPCI values in the driving lane fluctuated more stably than those in the overtaking and slow lanes, which was attributed to differences in maintenance intensity. The overall PCI data of the pavement during the COVID-19 pandemic showed that reduced maintenance activities are more conducive to analyzing the pavement’s deterioration patterns. By examining the distressed area in each lane over time, it was observed that the slow lane had the highest distribution of alligator and block cracking, while longitudinal and transverse cracking were most prevalent in the overtaking and driving lanes. Further analysis of the relationship between distressed area and EPCI suggests that controlling the distressed area to around 500 square meters per kilometer per lane can maintain the EPCI score at approximately 80. This level of maintenance is considered the most economical while ensuring satisfactory pavement performance. Full article
Show Figures

Figure 1

19 pages, 2910 KB  
Article
Transformer–CNN Hybrid Framework for Pavement Pothole Segmentation
by Tianjie Zhang, Zhen Liu, Bingyan Cui, Xingyu Gu and Yang Lu
Sensors 2025, 25(21), 6756; https://doi.org/10.3390/s25216756 - 4 Nov 2025
Viewed by 257
Abstract
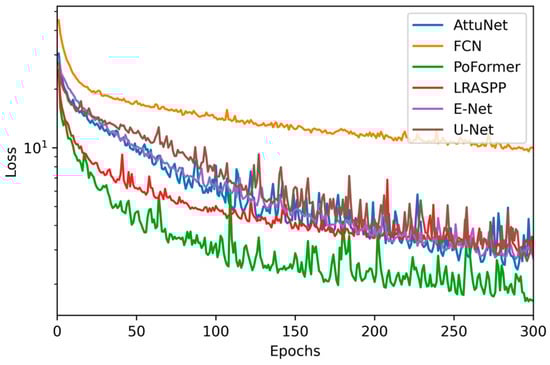
Pavement surface defects such as potholes pose significant safety risks and accelerate infrastructure deterioration. Accurate and automated detection of such defects requires both advanced sensing technologies and robust deep learning models. In this study, we propose PoFormer, a Transformer–CNN hybrid framework designed for [...] Read more.
Pavement surface defects such as potholes pose significant safety risks and accelerate infrastructure deterioration. Accurate and automated detection of such defects requires both advanced sensing technologies and robust deep learning models. In this study, we propose PoFormer, a Transformer–CNN hybrid framework designed for precise segmentation of pavement potholes from heterogeneous image datasets. The architecture leverages the global feature extraction ability of Transformers and the fine-grained localization capability of CNNs, achieving superior segmentation accuracy compared to state-of-the-art models. To construct a representative dataset, we combined open source images with high-resolution field data acquired using a multi-sensor pavement inspection vehicle equipped with a line-scan camera and infrared/laser-assisted lighting. This sensing system provides millimeter-level resolution and continuous 3D surface imaging under diverse environmental conditions, ensuring robust training inputs for deep learning. Experimental results demonstrate that PoFormer achieves a mean IoU of 77.23% and a mean pixel accuracy of 84.48%, outperforming existing CNN-based models. By integrating multi-sensor data acquisition with advanced hybrid neural networks, this work highlights the potential of 3D imaging and sensing technologies for intelligent pavement condition monitoring and automated infrastructure maintenance. Full article
(This article belongs to the Special Issue Convolutional Neural Network Technology for 3D Imaging and Sensing)
Show Figures

Figure 1

20 pages, 10328 KB  
Article
Toward Autonomous Pavement Inspection: An End-to-End Vision-Based Framework for PCI Computation and Robotic Deployment
by Nada El Desouky, Ahmed A. Torky, Mohamed Elbheiri, Mohamed S. Eid and Mohamed Ibrahim
Automation 2025, 6(4), 67; https://doi.org/10.3390/automation6040067 - 4 Nov 2025
Viewed by 228
Abstract
Advancements in robotics and computer vision are transforming how infrastructure is monitored and maintained. This paper presents a novel, fully automated pipeline for pavement condition assessment that integrates real-time image analysis with PCI (Pavement Condition Index) computation, which is specifically designed for deployment [...] Read more.
Advancements in robotics and computer vision are transforming how infrastructure is monitored and maintained. This paper presents a novel, fully automated pipeline for pavement condition assessment that integrates real-time image analysis with PCI (Pavement Condition Index) computation, which is specifically designed for deployment on mobile and robotic platforms. Unlike traditional methods that rely on costly equipment or manual input, the proposed system uses deep learning-based object detection and ensemble segmentation to identify and measure multiple types of road distress directly from 2D imagery, including surface weathering, a key precursor to pothole formation often overlooked in previous studies. Depth estimation is achieved using a monocular diffusion model, enabling volumetric assessment without specialized sensors. Validated on real-world footage captured by a smartphone, the pipeline demonstrated reliable performance across detection, measurement, and scoring stages. Its potential hardware-agnostic design and modular architecture position it as a practical solution for autonomous inspection by drones or ground robots in future smart infrastructure systems. Full article
(This article belongs to the Section Robotics and Autonomous Systems)
Show Figures

Figure 1

28 pages, 7150 KB  
Article
Distress-Level Prediction of Pavement Deterioration with Causal Analysis and Uncertainty Quantification
by Yifan Sun, Qian Gao, Feng Li and Yuchuan Du
Appl. Sci. 2025, 15(20), 11250; https://doi.org/10.3390/app152011250 - 21 Oct 2025
Viewed by 452
Abstract
Pavement performance prediction serves as a core basis for maintenance decision-making. Although numerous studies have been conducted, most focus on road segments and aggregate indicators such as IRI and PCI, with limited attention to the daily deterioration of individual distresses. Subject to the [...] Read more.
Pavement performance prediction serves as a core basis for maintenance decision-making. Although numerous studies have been conducted, most focus on road segments and aggregate indicators such as IRI and PCI, with limited attention to the daily deterioration of individual distresses. Subject to the combined influence of multiple factors, pavement distress deterioration exhibits pronounced nonlinear and time-lag characteristics, making distress-level predictions prone to disturbances and highly uncertain. To address this challenge, this study investigates the distress-level deterioration of three representative distresses—transverse cracks, alligator cracks, and potholes—with causal analysis and uncertainty quantification. Based on two years of high-frequency road inspection data, a continuous tracking dataset comprising 164 distress sites and 9038 records was established using a three-step matching algorithm. Convergent cross mapping was applied to quantify the causal strength and lag days of environmental factors, which were subsequently embedded into an encoder–decoder framework to construct a BayesLSTM model. Monte Carlo Dropout was employed to approximate Bayesian inference, enabling probabilistic characterization of predictive uncertainty and the construction of prediction intervals. Results indicate that integrating causal and time-lag characteristics improves the model’s capacity to identify key drivers and anticipate deterioration inflection points. The proposed BayesLSTM achieved high predictive accuracy across all three distress types, with a prediction interval coverage of 100%, thereby enhancing the reliability of prediction by providing both deterministic results and interval estimates. These findings facilitate the identification of high-risk distresses and their underlying mechanisms, offering support for rational allocation of maintenance resources. Full article
(This article belongs to the Special Issue New Technology for Road Surface Detection, 2nd Edition)
Show Figures

Figure 1

20 pages, 5191 KB  
Article
Second Distress Mechanism of Repaired Potholes and Performance Evaluation of Repair Techniques from Multiple Perspectives
by Wei Zhang, Shan Zuo, Ke Zhang, Zongzhi Liu, Yumeng Sun and Bubu Ding
Coatings 2025, 15(10), 1188; https://doi.org/10.3390/coatings15101188 - 10 Oct 2025
Viewed by 390
Abstract
Potholes are typical scattered distresses on asphalt pavements, severely impairing traffic safety and pedestrian safety due to delayed repair time and secondary distress. Aiming to extend the service life of repaired potholes, this study develops a pothole repair technique characterized by repair materials [...] Read more.
Potholes are typical scattered distresses on asphalt pavements, severely impairing traffic safety and pedestrian safety due to delayed repair time and secondary distress. Aiming to extend the service life of repaired potholes, this study develops a pothole repair technique characterized by repair materials with superior performance and adhesive materials with high bonding strength. Firstly, the mechanical analysis for repaired potholes was conducted via finite element simulation, and thereafter, corresponding technical measures were derived to prevent the recurrence of distress in repaired potholes. Secondly, according to the material composition of solvent-based cold-mix asphalt (SCMA) and emulsified-based cold-mix asphalt (ECMA), pavement performance testing methods were proposed to test and evaluate their forming strength, high-temperature stability, low-temperature crack resistance, and water stability. On this basis, interlayer shear tests, pull-out tests, and field pothole repair cases with varying repair materials and adhesive materials were conducted, and the interfacial bonding strengths with the old pavement were then compared to optimize the pothole re-pair technique. The results showed that (1) increasing the repair material modulus and interfacial friction coefficient reduces the pressure strain (σy) and pressure stress (εy), thereby decreasing the risk of secondary dis-tress; (2) ECMA exhibits superior pavement performance, with strength and rutting resistance 49.7%–64.6% higher than SCMA; (3) the combination of ECMA and WER-EA achieves the highest interfacial pull-out and shear strengths, with their values 76.7%–78.2% higher than SCMA+WER-EA); and (4) after 1 year of opening to traffic, potholes repaired with ECMA+WER-EA show minimal thickness loss of 0.2 cm and no aggregate peeling at the edges, thus being recommended as the optimal solution for repairing potholes. This study clarifies the secondary distress mechanism of repaired potholes and provides an optimal repair scheme (ECMA+WER-EA) for engineering applications. Full article
Show Figures

Figure 1

15 pages, 4821 KB  
Article
AI Meets ADAS: Intelligent Pothole Detection for Safer AV Navigation
by Ibrahim Almasri, Dmitry Manasreh and Munir D. Nazzal
Vehicles 2025, 7(4), 109; https://doi.org/10.3390/vehicles7040109 - 28 Sep 2025
Viewed by 966
Abstract
Potholes threaten public safety and automated vehicles (AVs) safe navigation by increasing accident risks and maintenance costs. Traditional pavement inspection methods, which rely on human assessment, are inefficient for rapid pothole detection and reporting due to potholes’ random and sudden occurring. Advancements in [...] Read more.
Potholes threaten public safety and automated vehicles (AVs) safe navigation by increasing accident risks and maintenance costs. Traditional pavement inspection methods, which rely on human assessment, are inefficient for rapid pothole detection and reporting due to potholes’ random and sudden occurring. Advancements in Artificial Intelligence (AI) now enable automated pothole detection using image-based object recognition, providing innovative solutions to enhance road safety and assist agencies in prioritizing maintenance. This paper proposes a novel approach that evaluates the integration of 3 state-of-the-art AI models (YOLOv8n, YOLOv11n, and YOLOv12n) with an ADAS-like camera, GNSS receiver, and Robot Operating System (ROS) to detect potholes in uncontrolled real-life scenarios, including different weather/lighting conditions and different route types, and generate ready-to-use data in a real-time manner. Tested on real-world road data, the algorithm achieved an average precision of 84% and 84% in recall, demonstrating its effectiveness, stable, and high performance for real-life applications. The results highlight its potential to improve road safety, allow vehicles to detect potholes through ADAS, support infrastructure maintenance, and optimize resource allocation. Full article
Show Figures

Figure 1

18 pages, 4974 KB  
Article
Assessment of UAV Usage for Flexible Pavement Inspection Using GCPs: Case Study on Palestinian Urban Road
by Ismail S. A. Aburqaq, Sepanta Naimi, Sepehr Saedi and Musab A. A. Shahin
Sustainability 2025, 17(18), 8129; https://doi.org/10.3390/su17188129 - 10 Sep 2025
Cited by 1 | Viewed by 1017
Abstract
Rehabilitation plans are based on pavement condition assessments, which are crucial to modern pavement management systems. However, some of the disadvantages of conventional approaches for road maintenance and repair include the time consumption, high costs, visual errors, seasonal limitations, and low accuracy. Continuous [...] Read more.
Rehabilitation plans are based on pavement condition assessments, which are crucial to modern pavement management systems. However, some of the disadvantages of conventional approaches for road maintenance and repair include the time consumption, high costs, visual errors, seasonal limitations, and low accuracy. Continuous and efficient pavement monitoring is essential, necessitating reliable equipment that can function in a variety of weather and traffic conditions. UAVs offer a practical and eco-friendly alternative for tasks including road inspections, dam monitoring, and the production of 3D ground models and orthophotos. They are more affordable, accessible, and safe than traditional field surveys, and they reduce the environmental effects of pavement management by using less fuel and producing less greenhouse gas emissions. This study uses UAV technology in conjunction with ground control points (GCPs) to assess the kind and amount of damage in flexible pavements. Vertical photogrammetric mapping was utilized to produce 3D road models, which were then processed and analyzed using Agisoft Photoscan (Metashape Professional (64 bit)) software. The sorts of fractures, patch areas, and rut depths on pavement surfaces may be accurately identified and measured thanks to this technique. When compared to field exams, the findings demonstrated an outstanding accuracy with errors of around 3.54 mm in the rut depth, 4.44 cm2 for patch and pothole areas, and a 96% accuracy rate in identifying cracked locations and crack varieties. This study demonstrates how adding GCPs may enhance the UAV image accuracy, particularly in challenging weather and traffic conditions, and promote sustainable pavement management strategies by lowering carbon emissions and resource consumption. Full article
Show Figures

Figure 1

17 pages, 5169 KB  
Article
Mix Design and Early-Age Performance of Rapid-Setting Phosphate-Based CBPCs for Emergency Road Repair
by Jaeyoung Lee
Materials 2025, 18(17), 4045; https://doi.org/10.3390/ma18174045 - 29 Aug 2025
Viewed by 532
Abstract
This study investigates rapid-setting, phosphate-based, chemically bonded phosphate ceramic (CBPC) composites for emergency pothole repair through a two-phase experimental approach. Phase I involved fundamental mix design experiments that systematically examined the effects of water-to-binder ratio (20–40%), filler content (10–50%), and phosphate powder fineness [...] Read more.
This study investigates rapid-setting, phosphate-based, chemically bonded phosphate ceramic (CBPC) composites for emergency pothole repair through a two-phase experimental approach. Phase I involved fundamental mix design experiments that systematically examined the effects of water-to-binder ratio (20–40%), filler content (10–50%), and phosphate powder fineness (570–3640 cm2/g) on setting and mechanical performance. Based on Phase I results, Phase II evaluated field-applicable mixes optimized for concrete and asphalt pavement conditions in terms of rapid strength development: compressive strength exceeding 24 MPa within 30 min, flexural strength surpassing 3.4 MPa within 1 h, and adhesive strength reaching up to 1.62 MPa (concrete) and 0.68 MPa (asphalt) within 4 h. Additional performance evaluations included Marshall stability (49,848 N), water-immersion residual stability (100% under the test protocol), length change (small magnitude over 28 days), and self-filling behavior (complete filling in 17 s in the specified setup). These rapid early-age results met or surpassed relevant domestic specifications used for emergency repair materials. Based on these data, mix designs for field application are proposed, and practical implications and limitations for early-age performance are discussed. Full article
Show Figures

Graphical abstract

17 pages, 4464 KB  
Article
Multiscale Evaluation System for Cold Patch Asphalt Mixtures: Integrating Macro-Performance Tests and Meso-Structural CT Analysis
by Wenbin Xie, Li Li and Runzhi Yang
Appl. Sci. 2025, 15(13), 7121; https://doi.org/10.3390/app15137121 - 24 Jun 2025
Cited by 1 | Viewed by 469
Abstract
The absence of standardized evaluation criteria for cold patch asphalt mixtures (CPAMs) leads to arbitrary material selection in pavement pothole repair, resulting in premature failure and recurrent damage. This study develops a comprehensive evaluation framework combining macro-performance tests with X-ray computed tomography (CT)-based [...] Read more.
The absence of standardized evaluation criteria for cold patch asphalt mixtures (CPAMs) leads to arbitrary material selection in pavement pothole repair, resulting in premature failure and recurrent damage. This study develops a comprehensive evaluation framework combining macro-performance tests with X-ray computed tomography (CT)-based meso-structural analysis. The macroscopic evaluation system incorporates six key parameters: aggregate gradation, binder–aggregate ratio, penetration strength, molding strength, residual rate, and stability retention. The CT-based meso-structural assessment quantifies void characteristics (longitudinal distribution, radial distribution, fractal dimension) and aggregate skeleton features (contact points, coordination number) through 3D reconstruction. Experimental results demonstrate that optimizing asphalt content (4.5–4.7%) with adjusted critical aggregate fractions (4.75 mm:35.0–45.0%; 2.36 mm:30.0–40.0%; 13.2 mm:1.0–1.2%; 9.5 mm:10.0–15.0%) significantly enhances repair durability. The established multiscale evaluation methodology provides a theoretical foundation for developing standardized CPAM quality specifications, particularly in emergency maintenance scenarios. Full article
Show Figures

Figure 1

20 pages, 13045 KB  
Article
Detection of Crack Sealant in the Pretreatment Process of Hot In-Place Recycling of Asphalt Pavement via Deep Learning Method
by Kai Zhao, Tianzhen Liu, Xu Xia and Yongli Zhao
Sensors 2025, 25(11), 3373; https://doi.org/10.3390/s25113373 - 27 May 2025
Viewed by 906
Abstract
Crack sealant is commonly used to fill pavement cracks and improve the Pavement Condition Index (PCI). However, during asphalt pavement hot in-place recycling (HIR), irregular shapes and random distribution of crack sealants can cause issues like agglomeration and ignition. To address these problems, [...] Read more.
Crack sealant is commonly used to fill pavement cracks and improve the Pavement Condition Index (PCI). However, during asphalt pavement hot in-place recycling (HIR), irregular shapes and random distribution of crack sealants can cause issues like agglomeration and ignition. To address these problems, it is necessary to mill large areas containing crack sealant or pre-mark locations for removal after heating. Currently, detecting and recording crack sealant locations, types, and distributions is conducted manually, which significantly reduces efficiency. While deep learning-based object detection has been widely applied to distress detection, crack sealants present unique challenges. They often appear as wide black patches that overlap with cracks and potholes, and complex background noise further complicates detection. Additionally, no dataset specifically for crack sealant detection currently exists. To overcome these challenges, this paper presents a specialized dataset created from 1983 pavement images. A deep learning detection algorithm named YOLO-CS (You Only Look Once Crack Sealant) is proposed. This algorithm integrates the RepViT (Representation Learning with Visual Tokens) network to reduce computational complexity while capturing the global context of images. Furthermore, the DRBNCSPELAN (Dilated Reparam Block with Cross-Stage Partial and Efficient Layer Aggregation Networks) module is introduced to ensure efficient information flow, and a lightweight shared convolution (LSC) detection head is developed. The results demonstrate that YOLO-CS outperforms other algorithms, achieving a precision of 88.4%, a recall of 84.2%, and an mAP (mean average precision) of 92.1%. Moreover, YOLO-CS significantly reduces parameters and memory consumption. Integrating Artificial Intelligence-based algorithms into HIR significantly enhances construction efficiency. Full article
Show Figures

Figure 1

24 pages, 8795 KB  
Article
Analysis and Classification of Distress on Flexible Pavements Using Convolutional Neural Networks: A Case Study in Benin Republic
by Crespin Prudence Yabi, Godfree F. Gbehoun, Bio Chéissou Koto Tamou, Eric Alamou, Mohamed Gibigaye and Ehsan Noroozinejad Farsangi
Infrastructures 2025, 10(5), 111; https://doi.org/10.3390/infrastructures10050111 - 29 Apr 2025
Viewed by 923
Abstract
Roads are critical infrastructure in multi-sectoral development. Any country that aims to expand and stabilize its activities must have a network of paved roads in good condition. However, that is not the case in many countries. The usual methods of recording and classifying [...] Read more.
Roads are critical infrastructure in multi-sectoral development. Any country that aims to expand and stabilize its activities must have a network of paved roads in good condition. However, that is not the case in many countries. The usual methods of recording and classifying pavement distress on the roads require a lot of equipment, technicians, and time to obtain the nature and indices of the damage to estimate the roadway’s quality level. This study proposes the use of pavement distress detection and classification models based on Convolutional Neural Networks, starting from videos taken of any asphalt road. To carry out this work, various routes were filmed to list the degradations concerned. Images were extracted from these videos and then resized and annotated. Then, these images were used to constitute several databases of road damage, such as longitudinal cracks, alligator cracks, small potholes, and patching. Within an appropriate development environment, three Convolutional Neural Networks were developed and trained on the databases. The accuracy achieved by the different models varies from 94.6% to 97.3%. This accuracy is promising compared to the literature models. This method would make it possible to considerably reduce the financial resources used for each road data campaign. Full article
(This article belongs to the Section Infrastructures Inspection and Maintenance)
Show Figures

Figure 1

20 pages, 4574 KB  
Article
Pavement-DETR: A High-Precision Real-Time Detection Transformer for Pavement Defect Detection
by Cuihua Zuo, Nengxin Huang, Cao Yuan and Yaqin Li
Sensors 2025, 25(8), 2426; https://doi.org/10.3390/s25082426 - 11 Apr 2025
Cited by 2 | Viewed by 1772
Abstract
The accurate detection of road defects is crucial for enhancing the safety and efficiency of road maintenance. This study focuses on six common types of pavement defects: transverse cracks, longitudinal cracks, alligator cracking, oblique cracks, potholes, and repair marks. In real-world scenarios, key [...] Read more.
The accurate detection of road defects is crucial for enhancing the safety and efficiency of road maintenance. This study focuses on six common types of pavement defects: transverse cracks, longitudinal cracks, alligator cracking, oblique cracks, potholes, and repair marks. In real-world scenarios, key challenges include effectively distinguishing between the foreground and background, as well as accurately identifying small-sized (e.g., fine cracks, dense alligator cracking, and clustered potholes) and overlapping defects (e.g., intersecting cracks or clustered damage areas where multiple defects appear close together). To address these issues, this paper proposes a Pavement-DETR model based on the Real-Time Detection Transformer (RT-DETR), aiming to optimize the overall accuracy of defect detection. To achieve this goal, three main improvements are proposed: (1) the introduction of the Channel-Spatial Shuffle (CSS) attention mechanism in the third (S3) and fourth (S4) stages of the ResNet backbone, which correspond to mid-level and high-level feature layers, enabling the model to focus more precisely on road defect features; (2) the adoption of the Conv3XC structure for feature fusion enhances the model’s ability to differentiate between the foreground and background, which is achieved through multi-level convolutions, channel expansion, and skip connections, which also contribute to improved gradient flow and training stability; (3) the proposal of a loss function combining Powerful-IoU v2 (PIoU v2) and Normalized Wasserstein Distance (NWD) weighted averaging, where PIoU v2 focuses on optimizing overlapping regions, and NWD targets small object optimization. The combined loss function enables comprehensive optimization of the bounding boxes, improving the model’s accuracy and convergence speed. Experimental results show that on the UAV-PDD2023 dataset, Pavement-DETR improves the mean average precision (mAP) by 7.7% at IoU = 0.5, increases mAP by 8.9% at IoU = 0.5–0.95, and improves F1 Score by 7%. These results demonstrate that Pavement-DETR exhibits better performance in road defect detection, making it highly significant for road maintenance work. Full article
(This article belongs to the Section Fault Diagnosis & Sensors)
Show Figures

Figure 1

22 pages, 12758 KB  
Article
Optimizing Road Pavement Assessment Using Advanced Image Processing Techniques
by Amir Shtayat, Mohammed T. Obaidat, Bara’ Al-Mistarehi, Ahmad Bader, Sara Moridpour and Saja Alahmad
Sustainability 2025, 17(6), 2473; https://doi.org/10.3390/su17062473 - 11 Mar 2025
Viewed by 1838
Abstract
The swift advancement in monitoring and evaluation systems for road pavement conditions highlights the crucial role that this field plays in ensuring the sustainability of roads. This, in turn, contributes to the growth and prosperity of nations and enables users to enjoy the [...] Read more.
The swift advancement in monitoring and evaluation systems for road pavement conditions highlights the crucial role that this field plays in ensuring the sustainability of roads. This, in turn, contributes to the growth and prosperity of nations and enables users to enjoy the highest levels of luxury and comfort. Despite numerous studies and ongoing research, finding the most precise and efficient monitoring systems to determine the type and severity of road defects, their causes, and appropriate treatments remains a challenge. This study proposes a system that employs a camera to create an application capable of evaluating road conditions with ease by taking images while driving over the road. Based on the results, the application was accurate in identifying road defects of different severity within the same category. The proposed method was compared to the Pavement Condition Index (PCI) method, and a significant match was found in determining the type and severity of each defect on the selected road sections. More clearly, the overall accuracy of detecting and classifying block cracks, alligator cracks, longitudinal cracks, and potholes was significant for detecting and classifying the patches. Full article
(This article belongs to the Section Sustainable Engineering and Science)
Show Figures

Figure 1

20 pages, 10269 KB  
Article
Viscoelasticity of PPA/SBS/SBR Composite Modified Asphalt and Asphalt Mixtures Under Pressure Aging Conditions
by Zongjie Yu, Xinpeng Ling, Ze Fan, Yueming Zhou and Zhu Ma
Polymers 2025, 17(5), 698; https://doi.org/10.3390/polym17050698 - 6 Mar 2025
Cited by 1 | Viewed by 1076
Abstract
The viscoelastic behavior of asphalt mixtures is a crucial consideration in the analysis of pavement mechanical responses and structural design. This study aims to elucidate the molecular structure and component evolution trends of polyphosphoric acid (PPA)/styrene butadiene styrene block copolymer (SBS)/styrene butadiene rubber [...] Read more.
The viscoelastic behavior of asphalt mixtures is a crucial consideration in the analysis of pavement mechanical responses and structural design. This study aims to elucidate the molecular structure and component evolution trends of polyphosphoric acid (PPA)/styrene butadiene styrene block copolymer (SBS)/styrene butadiene rubber copolymer (SBR) composite modified asphalt (CMA) under rolling thin film oven test (RTFOT) and pressure aging (PAV) conditions, as well as to analyze the viscoelastic evolution of CMA mixtures. First, accelerated aging was conducted in the laboratory through RTFOT, along with PAV tests for 20 h and 40 h. Next, the microscopic characteristics of the binder at different aging stages were explored using Fourier-transform infrared spectroscopy (FTIR) and gel permeation chromatography (GPC) tests. Additionally, fundamental rheological properties and temperature sweep tests were performed to reveal the viscoelastic evolution characteristics of CMA. Ultimately, the viscoelastic properties of CMA mixtures under dynamic loading at different aging stages were clarified. The results indicate that the incorporation of SBS and SBR increased the levels of carbonyl and sulfoxide factors while decreasing the level of long-chain factors, which slowed down the rate of change of large molecule content and reduced the rate of change of LMS by more than 6%, with the rate of change of overall molecular weight distribution narrowing to below 50%. The simultaneous incorporation of SBS and SBR into CMA mixtures enhanced the dynamic modulus in the 25 Hz and −10 °C range by 24.3% (AC-13), 15.4% (AC-16), and reduced the φ by 55.8% (AC-13), 40% (AC-16). This research provides a reference for the application of CMA mixtures in the repair of pavement pothole damage. Full article
Show Figures

Figure 1

21 pages, 2296 KB  
Article
Relationships Between Common Distresses in Flexible Pavements and Physical Properties of Construction Materials Using an Ordinal Logistic Regression Model
by Uneb Gazder, Muhammad Zafar Ali Shah, Diego Maria Barbieri, Muhammad Junaid and Muhammad Sohail Saleh
Infrastructures 2025, 10(2), 30; https://doi.org/10.3390/infrastructures10020030 - 26 Jan 2025
Viewed by 1417
Abstract
Analytical models to predict distresses and service conditions of road pavements can greatly contribute to the development of an effective pavement management system. These models allow the transportation agencies to monitor and track the deterioration of pavements and consequently determine the needed maintenance [...] Read more.
Analytical models to predict distresses and service conditions of road pavements can greatly contribute to the development of an effective pavement management system. These models allow the transportation agencies to monitor and track the deterioration of pavements and consequently determine the needed maintenance operations to preserve the performance of the network. In this research, the pavement distresses and service conditions of the Indus Highway N-55 located in Karak district, Pakistan were examined. Distresses were identified by visual observation, and then their severity and extent were measured individually by using a Vernier caliper and a measuring scale. For each distress type, the corresponding PCR was calculated. The compaction densities of the base and wearing courses were considered as input parameters to develop an ordinal logistic regression model for two dominant distresses, namely rutting and potholes. Rutting severity and extent were divided into three levels, while pothole severity was divided into four levels. Bulk and maximum specific gravity were found to have a significant impact on the models of both distresses. The model can be used to predict their development in terms of severity and extent. The proposed formulation provides valuable insights into monitoring and predicting pavement distresses by assessing the densities of road construction materials. Full article
Show Figures

Figure 1

Back to TopTop