Sign in to use this feature.

Years

Between: -

Subjects

remove_circle_outline
remove_circle_outline
remove_circle_outline
remove_circle_outline
remove_circle_outline
remove_circle_outline
remove_circle_outline
remove_circle_outline
remove_circle_outline

Journals

remove_circle_outline
remove_circle_outline
remove_circle_outline
remove_circle_outline
remove_circle_outline

Article Types

Countries / Regions

remove_circle_outline
remove_circle_outline
remove_circle_outline
remove_circle_outline
remove_circle_outline

Search Results (331)

Search Parameters:
Keywords = post-mining area

Order results
Result details
Results per page
Select all
Export citation of selected articles as:
16 pages, 4718 KB  
Article
Effects of Longwall Mining Subsidence on Cadastral Parcel Areas: A Case Study from the Upper Silesian Coal Basin (Poland)
by Kinga Kłos and Andrzej Araszkiewicz
Appl. Sci. 2026, 16(3), 1281; https://doi.org/10.3390/app16031281 - 27 Jan 2026
Viewed by 114
Abstract
Underground coal mining leads to surface subsidence and ground deformation, which may affect the accuracy of cadastral data. This study evaluates mining-induced displacement caused by longwall VIII-E-E1 extraction in seam 703/1 and examines its potential impact on the Polish EGiB cadastral register. In [...] Read more.
Underground coal mining leads to surface subsidence and ground deformation, which may affect the accuracy of cadastral data. This study evaluates mining-induced displacement caused by longwall VIII-E-E1 extraction in seam 703/1 and examines its potential impact on the Polish EGiB cadastral register. In 2018–2021, precise GNSS observations were collected on a specially designed geodetic monitoring polygon located in the affected area. These measurements enabled a detailed assessment of surface deformation during and after exploitation. The maximum subsidence was recorded above the extracted longwall and decreased outward, forming a typical post-mining deformation basin. Although boundary-point displacements remained generally within acceptable limits, the cumulative reduction of parcel areas reached about 43 m2 in total. Five parcels (0.8% of the dataset) showed area changes exceeding 1 m2. The results indicate that a single longwall has a limited effect on cadastral data integrity; however, continued multi-panel mining may lead to progressive boundary shifts, compromising the spatial and legal reliability of cadastral resources. The study confirms the effectiveness of integrated geospatial monitoring in detecting mining-related deformation and highlights the need for continuous control of cadastral datasets, especially in the Upper Silesian Coal Basin, where large-scale mining remains active. Full article
Show Figures

Figure 1

27 pages, 3922 KB  
Article
Hierarchical Multiscale Fusion with Coordinate Attention for Lithologic Mapping from Remote Sensing
by Fuyuan Xie and Yongguo Yang
Remote Sens. 2026, 18(3), 413; https://doi.org/10.3390/rs18030413 - 26 Jan 2026
Viewed by 194
Abstract
Accurate lithologic maps derived from satellite imagery underpin structural interpretation, mineral exploration, and geohazard assessment. However, automated mapping in complex terranes remains challenging because spectrally similar units, narrow anisotropic bodies, and ambiguous contacts can degrade boundary fidelity. In this study, we propose SegNeXt-HFCA, [...] Read more.
Accurate lithologic maps derived from satellite imagery underpin structural interpretation, mineral exploration, and geohazard assessment. However, automated mapping in complex terranes remains challenging because spectrally similar units, narrow anisotropic bodies, and ambiguous contacts can degrade boundary fidelity. In this study, we propose SegNeXt-HFCA, a hierarchical multiscale fusion network with coordinate attention for lithologic segmentation from a Sentinel-2/DEM feature stack. The model builds on SegNeXt and introduces a hierarchical multiscale encoder with coordinate attention to jointly capture fine textures and scene-level structure. It further adopts a class-frequency-aware hybrid loss that combines boundary-weighted online hard-example mining cross-entropy with Lovász-Softmax to better handle long-tailed classes and ambiguous contacts. In addition, we employ a robust training and inference scheme, including entropy-guided patch sampling, exponential moving average of parameters, test-time augmentation, and a DenseCRF-based post-refinement. Two study areas in the Beishan orogen, northwestern China (Huitongshan and Xingxingxia), are used to evaluate the method with a unified 10-channel Sentinel-2/DEM feature stack. Compared with U-NetFormer, PSPNet, DeepLabV3+, DANet, LGMSFNet, SegFormer, BiSeNetV2, and the SegNeXt backbone, SegNeXt-HFCA improves mean intersection-over-union (mIoU) by about 3.8% in Huitongshan and 2.6% in Xingxingxia, respectively, and increases mean pixel accuracy by approximately 3–4%. Qualitative analyses show that the proposed framework better preserves thin-unit continuity, clarifies lithologic contacts, and reduces salt-and-pepper noise, yielding geologically more plausible maps. These results demonstrate that hierarchical multiscale fusion with coordinate attention, together with class- and boundary-aware optimization, provides a practical route to robust lithologic mapping in structurally complex regions. Full article
(This article belongs to the Section Remote Sensing for Geospatial Science)
Show Figures

Graphical abstract

22 pages, 6012 KB  
Article
Fracture Expansion and Closure in Overburden: Mechanisms Controlling Dynamic Water Inflow to Underground Reservoirs in Shendong Coalfield
by Shirong Wei, Zhengjun Zhou, Duo Xu and Baoyang Wu
Processes 2026, 14(2), 355; https://doi.org/10.3390/pr14020355 - 19 Jan 2026
Viewed by 242
Abstract
The construction of underground reservoirs in coal goafs is an innovative technology to alleviate the coal–water conflict in arid mining areas of northwest China. However, its widespread application is constrained by the challenge of accurately predicting water inflow, which fluctuates significantly due to [...] Read more.
The construction of underground reservoirs in coal goafs is an innovative technology to alleviate the coal–water conflict in arid mining areas of northwest China. However, its widespread application is constrained by the challenge of accurately predicting water inflow, which fluctuates significantly due to the dynamic “expansion–closure” behavior of mining-induced fractures. This study focuses on the Shendong mining area, where repeated multi-seam mining occurs, and employs a coupled Finite Discrete Element Method (FDEM) and Computational Fluid Dynamics (CFD) numerical model, combined with in situ tests such as drilling fluid loss and groundwater level monitoring, to quantify the evolution of overburden fractures and their impact on reservoir water inflow during mining, 8 months post-mining, and after 7 years. The results demonstrate that the height of the water-conducting fracture zone decreased from 152 m during mining to 130 m after 7 years, while fracture openings in the key aquifer and aquitard were reduced by over 50%. This closure process caused a dramatic decline in water inflow from 78.3 m3/h to 2.6 m3/h—a reduction of 96.7%. The CFD-FDEM simulations showed a deviation of only 10.6% from field measurements, confirming fracture closure as the dominant mechanism driving inflow attenuation. This study reveals how fracture closure shifts water flow patterns from vertical to lateral recharge, providing a theoretical basis for optimizing the design and sustainable operation of underground reservoirs. Full article
Show Figures

Figure 1

44 pages, 3186 KB  
Article
Social Responsibility of Science in the Sustainable Development of Mining and Post-Mining Areas
by Lucyna Florkowska and Izabela Bryt-Nitarska
Appl. Sci. 2026, 16(2), 776; https://doi.org/10.3390/app16020776 - 12 Jan 2026
Viewed by 293
Abstract
Ensuring the long-term sustainability of mining and post-mining practices is crucial for balancing resource extraction with environmental and social responsibilities. This study critically examines the role of science in addressing the complex challenges posed by mining, particularly in the context of the Sustainable [...] Read more.
Ensuring the long-term sustainability of mining and post-mining practices is crucial for balancing resource extraction with environmental and social responsibilities. This study critically examines the role of science in addressing the complex challenges posed by mining, particularly in the context of the Sustainable Development Goals (SDGs). It identifies key responsibilities for science, including the development of sustainable extraction technologies, innovative land reclamation and ecosystem restoration strategies, and equitable frameworks for resource distribution that prioritize affected communities. The study emphasizes the importance of interdisciplinary approaches, the concept of Responsible Research and Innovation (RRI), and effective knowledge dissemination to minimize adverse impacts while enhancing mining’s contribution to renewable energy transitions. By exploring the interplay between mining, renewable energy, and sustainable development, this study underscores the transformative potential of science to balance humanity’s resource needs with ecological preservation and social equity. The findings offer actionable insights for aligning mining practices with sustainability principles, fostering resilience and equity in mining-impacted regions. Full article
(This article belongs to the Special Issue Sustainable Research on Rock Mechanics and Geotechnical Engineering)
Show Figures

Figure 1

5 pages, 159 KB  
Proceeding Paper
Gender Dimensions of Bioeconomy Change: Insights from Western Macedonia
by Aikaterini Paltaki, Maria Partalidou, Stefanos A. Nastis, Dimitrios Natos, Panagiota Sergaki, Fotios Chatzitheodoridis, Efstratios Loizou and Anastasios Michailidis
Proceedings 2026, 134(1), 34; https://doi.org/10.3390/proceedings2026134034 - 7 Jan 2026
Viewed by 136
Abstract
Western Macedonia, the leading power-producing region in Greece, has long depended on thermoelectric plants and lignite mining. To reach climate neutrality by 2050, Greece is undergoing a delignitization process aiming to shut down all lignite plants. This structural reconstruction of the energy model [...] Read more.
Western Macedonia, the leading power-producing region in Greece, has long depended on thermoelectric plants and lignite mining. To reach climate neutrality by 2050, Greece is undergoing a delignitization process aiming to shut down all lignite plants. This structural reconstruction of the energy model will mainly affect society, the economy, the environment, and agriculture. Strengthening efforts to support lignite-dependent areas are essential for this transition. Bioeconomy could be one of the main pillars for the post-lignite era in the Western Macedonia Region (WMR). This paper explores the gender dimension in the adoption of bioeconomy practices and innovativeness among farmers in the Region of Western Macedonia. Based on 331 structured questionnaires and a Two-Step Cluster Analysis, the research identifies five farmer clusters and then correlates the clusters with Rogers’s theory of diffusion of innovations. The findings identify a dynamic group of young female farmers leading the diffusion of innovation, emphasizing their role in promoting sustainable agricultural transitions and the need for gender-responsive policies in regional bioeconomy strategies. Full article
24 pages, 13566 KB  
Article
Comparative Evaluation of Empirical and Numerical Approaches for Ground Support Design: A Case Study from the Gilar Underground Mine
by Suleyman Ismayilov, Krzysztof Fuławka, Karolina Adach-Pawelus and Anar Valiyev
Geosciences 2026, 16(1), 19; https://doi.org/10.3390/geosciences16010019 - 30 Dec 2025
Viewed by 571
Abstract
The stability of underground excavations is a critical factor in the safety and efficiency of mining operations, particularly in structurally complex and geomechanically variable rock mass. This study presents a comparative evaluation of empirical and numerical methods for the design of tunnel support [...] Read more.
The stability of underground excavations is a critical factor in the safety and efficiency of mining operations, particularly in structurally complex and geomechanically variable rock mass. This study presents a comparative evaluation of empirical and numerical methods for the design of tunnel support systems in the Gilar underground mine, located in the Gedabek Contract Area of Azerbaijan. To validate and optimize the empirical Q-system-based support designs, Finite Element Method (FEM) simulations were conducted using RS2 software. These simulations enabled the modeling of stress distribution, deformation, and support–rock interaction under in situ conditions. Critical sections along the main ramp were analyzed in detail to determine safety factors during excavation and post-support installation. The study reveals that, although the Q-system provides a practical and time-efficient method for support selection, it may underestimate the reinforcement required in highly fractured or low-strength zones. Numerical modeling proved to be essential in identifying zones with low strength factors and in optimizing support configurations by adjusting rockbolt spacing and shotcrete thickness. The hybrid approach adopted in this study—empirical classification followed by numerical verification and optimization—demonstrated significant improvements in long-term tunnel stability. This research highlights the importance of integrating empirical and numerical approaches for robust ground support design in underground mining. The proposed methodology not only enhances the accuracy of support recommendations but also provides a more reliable basis for decision-making in complex geological settings. The results are particularly relevant for deep and geologically active mines requiring long-term stability of access tunnels. Full article
Show Figures

Figure 1

37 pages, 17384 KB  
Review
Remote Sensing in Mining-Related Eco-Environmental Monitoring and Assessment
by He Ren, Yanling Zhao and Tingting He
Remote Sens. 2026, 18(1), 103; https://doi.org/10.3390/rs18010103 - 27 Dec 2025
Viewed by 1214
Abstract
Mining activities exert profound and long-lasting impacts on terrestrial eco-environmental systems, manifesting across multiple spatial and temporal scales throughout the mining lifecycle—from exploration and extraction to post-mining reclamation. Remote sensing technology serves as an advanced monitoring and analysis tool, playing a critical role [...] Read more.
Mining activities exert profound and long-lasting impacts on terrestrial eco-environmental systems, manifesting across multiple spatial and temporal scales throughout the mining lifecycle—from exploration and extraction to post-mining reclamation. Remote sensing technology serves as an advanced monitoring and analysis tool, playing a critical role in the continuous monitoring of mining-related eco-environmental disturbances. This work provides a systematic review of remote sensing applications for mining-related eco-environmental monitoring and assessment. We first outline the importance of mineral resource development and summarize the associated eco-environmental issues. The second section presents an overview of remote sensing platforms and data types currently employed for monitoring in mining areas. The third section systematically summarizes recent research advances in key mining-related eco-environmental dimensions, including spatiotemporal land-use and land-cover analysis, terrain and deformation monitoring, natural environmental factor disturbances assessment, comprehensive ecological-environment quality evaluation, and post-mining reclamation assessment. Finally, we analyze the opportunities, challenges and future perspectives associated with remote sensing applications in mining areas. This review aims to provide reference for advancing remote sensing-based eco-environmental monitoring in mining areas, thereby supporting more effective, long-term monitoring and informed decision-making within the mining sector. Full article
Show Figures

Figure 1

22 pages, 5274 KB  
Article
Mining Remnants Hindering Forest Management Detected Using Digital Elevation Model from the National Airborne Laser Scanning Database (Kłobuck Forest District and Its Environs, Southern Poland)
by Ewa E. Kurowska, Krzysztof Grzyb and Andrzej Czerniak
Forests 2026, 17(1), 37; https://doi.org/10.3390/f17010037 - 26 Dec 2025
Viewed by 327
Abstract
Forested areas in Poland comprise numerous post-mining sites that hinder effective forest management. Such mining remnants may pose a threat to humans, animals, and operating forest machines. This study aimed to determine the feasibility of inventorying such man-made landforms as mining waste heaps, [...] Read more.
Forested areas in Poland comprise numerous post-mining sites that hinder effective forest management. Such mining remnants may pose a threat to humans, animals, and operating forest machines. This study aimed to determine the feasibility of inventorying such man-made landforms as mining waste heaps, excavations, remnants of shallow shafts, adits, etc., using the Digital Elevation Model (DEM) based on Airborne Laser Scanning (ALS) data provided by the national agency (the Head Office of Geodesy and Cartography—HOGC) as open data. The DEM, when combined with other cartographic materials using GIS, accurately reflects the anthropogenic transformation evident in the topography. This paper presents the results of inventorying remnants of iron ore mining in the present-day forested area located between Krzepice, Kłobuck, and Częstochowa in southern Poland. The identification and inventory of post-mining landforms, mainly mounds resulting from shallow shaft mining operations, were supplemented by their digitization, automatically providing information on parameters such as perimeter (ranged in most cases from 24.3 to 159 m), surface area (46.9 to 1656 m2), length and width (7.8 to 59.2 m). The heights of the investigated structures were also read from the DEM, ranging from 0.3 to 4.1 m. Much larger structures were also identified, but they occurred accidentally (up to 23.5 m in height). In this manner, approximately 823 morphological forms were characterized, resulting in a database. Test fieldwork was then conducted to verify the DEM readings. It was proposed to calculate deformation indexes (Id [%]) for forested areas and apply them when estimating the forest management hindrance index used by the State Forests. The studied forest compartments managed by State Forests were characterized by an Id value from 0.1 to 55.5%. This type of measure provides a helpful tool in planning forestry operations in areas with diverse topography, including those transformed by mining activities. The actual environmental impact is highlighted. Forest management practices in the study area must take into consideration, in particular, topography, as well as geology and hydrology. Studies have shown that the DEM based on the ALS data is sufficiently accurate to detect even minor post-mining deformations (which may be important, in particular, in inaccessible areas). The recorded parameters can be considered when planning management, protection interventions, or reclamation activities. Full article
Show Figures

Figure 1

19 pages, 5315 KB  
Article
Failure Mechanism of Steep Rock Slope Under the Mining Activities and Rainfall: A Case Study
by Kai Ning and Zhi-Qiang Li
Water 2026, 18(1), 56; https://doi.org/10.3390/w18010056 - 24 Dec 2025
Viewed by 628
Abstract
In recent years, the increasing frequency of intense rainfall events has led to a surge in landslide occurrences, posing severe threats to human safety and ecological integrity. This study utilizes the Universal Distinct Element Code (UDEC) for discrete element numerical simulations, combined with [...] Read more.
In recent years, the increasing frequency of intense rainfall events has led to a surge in landslide occurrences, posing severe threats to human safety and ecological integrity. This study utilizes the Universal Distinct Element Code (UDEC) for discrete element numerical simulations, combined with field observation-based mechanism analysis, to examine the primary drivers of landslide formation: rainfall and underground mining. Focusing on the Zengziyan landslide in Chongqing as a case study, the research investigates the underlying instability mechanisms. The findings indicate that mining activities primarily compromise slope stability by modifying rock structures, diminishing supporting forces, and creating goaf areas. Notably, these goaf zones generate an overhanging effect on the overlying rock mass, promoting crack initiation and the propagation of structural planes. Under rainfall conditions, groundwater infiltration and elevated pore water pressure exert a more substantial destabilizing influence, markedly accelerating rock mass sliding and collapse. The analysis reveals that rainfall predominantly governs landslide initiation and evolution, particularly during the triggering and rapid acceleration phases of slope instability. The outcomes of this research offer valuable insights for post-mining slope management and monitoring, as well as for developing landslide early warning systems in rainy conditions. Full article
(This article belongs to the Special Issue Hydrogeophysical Methods and Hydrogeological Models)
Show Figures

Figure 1

22 pages, 2878 KB  
Article
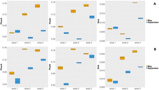
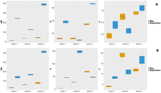
The Influence of Land Use on Seasonal Variation in Soil Properties, Microbial Activity, and Bioactive Acid Accumulation in Taraxacum officinale and Plantago major
by Monika Gąsecka, Zuzanna Magdziak, Agnieszka Mocek-Płóciniak, Ewa Błońska and Jarosław Lasota
Sustainability 2026, 18(1), 129; https://doi.org/10.3390/su18010129 - 22 Dec 2025
Viewed by 305
Abstract
(1) Background: Plantago major and Taraxacum officinale exhibit high tolerance to soil pollution and are recognised as bioindicators of soil quality. The objectives of the study were to investigate (i) the physicochemical and microbiological properties of rhizosphere soil beneath P. major and T. [...] Read more.
(1) Background: Plantago major and Taraxacum officinale exhibit high tolerance to soil pollution and are recognised as bioindicators of soil quality. The objectives of the study were to investigate (i) the physicochemical and microbiological properties of rhizosphere soil beneath P. major and T. officinale in different land uses, (ii) the accumulation of elements, phenolic and organic acids in soil as well as in the plants, and (iii) the relationships between these parameters. (2) Methods: Samples were collected from three locations: the sediment retention area, the post-mining area, and the recreational area in May and September. (3) Results: Significant seasonal differences were observed in soil parameters, enzymatic activity, microbial abundance, and the contents of elements, organic acids, and phenolic acids between plant species and sampling areas, with changes reaching several hundred per cent. Correlations were found between dehydrogenase and organic matter, S, Al, Co, Cr, Fe, K, Mg, Mn, P; and phosphatases and Al, Co, Cr, Fe, Mg, Ni, and Mn; as well as between total phenolic content and phosphatases; syringic acid and dehydrogenase; and alkaline phosphatase and lactic and citric acids. (4) Conclusions: The results suggest that plant–soil interactions, in relation to land use, influence rhizosphere biochemistry, thereby impacting soil health and supporting ecosystem recovery. Full article
(This article belongs to the Special Issue Soil Pollution, Soil Ecology and Sustainable Land Use)
Show Figures

Figure 1

21 pages, 6406 KB  
Article
Sustainable Reclamation of Post-Mining Areas in Poland: The Long-Term Effects of Soil Substitute Covers and Phragmites australis Plantations
by Angelika Więckol-Ryk, Łukasz Pierzchała and Arkadiusz Bauerek
Sustainability 2025, 17(24), 11294; https://doi.org/10.3390/su172411294 - 17 Dec 2025
Viewed by 311
Abstract
Degraded post-mining landscapes require reclamation strategies that ensure soil stability, environmental safety and successful vegetation establishment. This study evaluated two soil cover systems applied between 2020 and 2025 on a mining spoil heap in Libiąż, Poland: a two-layer (TL) cover with a soil [...] Read more.
Degraded post-mining landscapes require reclamation strategies that ensure soil stability, environmental safety and successful vegetation establishment. This study evaluated two soil cover systems applied between 2020 and 2025 on a mining spoil heap in Libiąż, Poland: a two-layer (TL) cover with a soil substitute layer and a multilayer (ML) cover incorporating additional insulating materials. Both covers were non-saline and mildly alkaline. The applied methods supported favorable soil conditions after five years, with stable organic matter (24.48–28.26%), nitrogen (4.5–4.9 g/kg) and phosphorus (1.5–1.6 g/kg) contents, while potassium decreased markedly (from 17.1 to 6.44–6.83 g/kg), likely due to plant uptake or leaching. Leachate analyses showed low concentrations of toxic metals and salinity-related ions, confirming the environmental safety and inert properties of the soil substitute. Vegetation assessments revealed differences between reclamation systems, with Phragmites australis exhibiting greater stalk length, plant density and biomass in the TL cover. Establishment costs were also substantially lower for TL (EUR 1.65/m2) than for ML (EUR 6.14/m2). These results indicate that soil substitute covers provide a safe, cost-effective and functionally efficient reclamation option that supports circular economy principles by reusing mining waste and coal combustion by-products, while Phragmites australis enhances vegetation development and overall reclamation success. Full article
(This article belongs to the Section Sustainable Agriculture)
Show Figures

Figure 1

20 pages, 13967 KB  
Article
Optimization of Start-Extraction Time for Coalbed Methane Well in Mining Area Using Fluid–Solid Coupling Numerical Simulation
by Peiming Zhou, Ang Xu, Xueting Sun, Xiaozhi Zhou, Sijie Han, Jihang Dong, Jie Chen, Wei Gao and Yunfei Feng
Sustainability 2025, 17(23), 10712; https://doi.org/10.3390/su172310712 - 29 Nov 2025
Viewed by 458
Abstract
Optimizing the start-extraction time for coalbed methane (CBM) wells in mining areas remains challenging. This is due to the limited understanding of mining-induced mechanical changes and fluid migration in protected seams, which restricts the development of clean fossil energy. To address this, a [...] Read more.
Optimizing the start-extraction time for coalbed methane (CBM) wells in mining areas remains challenging. This is due to the limited understanding of mining-induced mechanical changes and fluid migration in protected seams, which restricts the development of clean fossil energy. To address this, a geological-engineering model is constructed to investigate the mining-induced zonal evolution of stress, strain, permeability, and gas migration in protected seams, with the goal of optimizing the start-extraction time. The results show that gas production is controlled by the mechanical properties and gas pressure of protected seams near the well. Initially, these seams experience prolonged elastic strain. Plastic compressive strain develops at close-distance protected seams only when the coalface advances to within 5 m of them. Subsequently, rapid stress relief and complex stress directions lead to continuous plastic shear and expansion strains. As the distance from the mining seam increases, the plastic strains delay and diminish, reverting to elastic strain. These transitions collectively characterize the dynamic development of five distinct permeability regimes. Within permeability-reduced zones, an enhanced gas pressure gradient mitigates production declines. As the start-extraction time is progressively delayed, post-initiation gas production manifests in four phases: gradual decline, slow rebound, rapid increase, and surge. The optimal start-extraction time aligns with the rapid increase phase, when the coalface reaches the well, shortening extraction by at least 5.75 days and reducing electricity consumption by more than 2.07 × 104 kWh in the study area. This research provides practical solutions for methane emission reduction and sustainable CBM development in mining areas. Full article
(This article belongs to the Section Resources and Sustainable Utilization)
Show Figures

Figure 1

23 pages, 3768 KB  
Article
Symbiosis of Architecture with Protected Nature–Kielce and the Świętokrzyskie Region
by Małgorzata Doroz-Turek, Jagoda Juruś, Olga Cicha and Anastasiia Dubyna
Sustainability 2025, 17(23), 10557; https://doi.org/10.3390/su172310557 - 25 Nov 2025
Viewed by 722
Abstract
The purpose of the article is to show how a city can develop in symbiosis with its natural environment and protected area, which is in line with the idea of sustainable development. The study examines the role and importance of post-mining land reclamation [...] Read more.
The purpose of the article is to show how a city can develop in symbiosis with its natural environment and protected area, which is in line with the idea of sustainable development. The study examines the role and importance of post-mining land reclamation in restoring the natural values of degraded areas. The authors present the theme of the symbiosis between architecture and unique nature—understood simultaneously as natural and cultural heritage—using the example of the Polish city of Kielce and its surroundings. This is an area rich in green spaces, including protected ones, within and around which urban space is developing and where both historical and contemporary architecture is situated. This study demonstrates that symbiosis, the protection of nature, and cultural heritage are key elements of contemporary design. The city and architecture can thrive in post-mining areas, and the reclamation process, as the research suggests, can catalyse the creation of architecture that is deeply embedded in the landscape, complementing it rather than competing with it. Social surveys conducted for this study indicate that residents of the region recognise and appreciate the need to protect natural resources and integrate architecture with nature, demonstrating the relevance and timeliness of the issues addressed. Full article
Show Figures

Figure 1

42 pages, 24279 KB  
Article
Environmental Impacts of Post-Closure Mine Flooding: An Integrated Remote Sensing and Geospatial Analysis of the Olkusz-Pomorzany Mine, Poland
by Artur Guzy
Water 2025, 17(23), 3337; https://doi.org/10.3390/w17233337 - 21 Nov 2025
Viewed by 1028
Abstract
Mine closure by flooding initiates hydrogeological changes that affect land stability, soil moisture, and surface ecosystems, further shaped by regional climatic trends that increase pressure on water resources. This study examines the Olkusz–Pomorzany mine (Poland), flooded between 2021 and 2022, focusing on the [...] Read more.
Mine closure by flooding initiates hydrogeological changes that affect land stability, soil moisture, and surface ecosystems, further shaped by regional climatic trends that increase pressure on water resources. This study examines the Olkusz–Pomorzany mine (Poland), flooded between 2021 and 2022, focusing on the links between groundwater rebound, land movement, and environmental transformation after closure. This analysis combines EGMS-based land movement (2018–2023), groundwater levels (2022–2024), meteorological records (1981–2024), and Sentinel-2-derived Normalized Difference Vegetation Index, Normalized Difference Water Index, and Moisture Index time series (2016–2024). Land cover changes were assessed using Sentinel-2 data for 2019–2024. Results show climate-driven subsidence of less than 1 mm/year across the area and a shift to uplift within the mining zone, with maximum groundwater rebound of 103 m in the central depression cone and uplift of up to 3.6 mm/year. Climatic water balance remained negative, with Vertical Water Exchange averaging −11.6 mm/month in 2022–2024. Hydrospectral indices indicate seasonal variability and modest increases in vegetation activity and moisture after flooding. Land cover analysis shows an expansion of surface water and wetlands where historical drainage and rebound overlap. These findings confirm that groundwater recovery is already reshaping surface conditions and highlight the need for integrated monitoring in post-mining areas. Full article
Show Figures

Figure 1

23 pages, 3259 KB  
Article
Strength and Strain Properties of Coal Sludge
by Justyna Adamczyk
Appl. Sci. 2025, 15(23), 12360; https://doi.org/10.3390/app152312360 - 21 Nov 2025
Viewed by 339
Abstract
Coal sludge, a fine-grained by-product of hard coal benefit, comprises a mixture of coal particles and mineral and organic matter. Generated during sedimentation and dewatering processes in preparation plants, it is typically recovered as a semi-solid filter cake. The material has potential applications [...] Read more.
Coal sludge, a fine-grained by-product of hard coal benefit, comprises a mixture of coal particles and mineral and organic matter. Generated during sedimentation and dewatering processes in preparation plants, it is typically recovered as a semi-solid filter cake. The material has potential applications in energy production and, with appropriate processing and stabilization, could be utilized in geotechnical facilities. The strength properties defined by the internal friction angle and cohesion, as well as the deformation properties expressed by compressibility, are among the most important mechanical characteristics of soil. This article presents tests of coal sludge, for which the internal friction angle, cohesion, and oedometric primary and secondary moduli were determined. The material was prepared at its optimum moisture content and maximum dry density prior to testing. In the direct shear test, using a shear box of 6 × 6 cm, each sample was consolidated for 24 h under the applied vertical stress, under which it was subsequently sheared. The shear rate was constant at 0.01 mm/min, and the test was conducted up to 10% horizontal deformation. The vertical stresses applied ranged from 50 to 200 kPa. In the oedometer test, samples were prepared to fit the dimensions of the oedometer ring, and each subsequent load stage was applied after 24 h. The range of vertical stresses in this test was from 12.5 to 400 kPa. The results of the direct shear test (φ = 24°, c = 28 kPa) are similar to the strength parameters typically obtained for medium-cohesive soils, such as sandy silt (φ = 22°, c = 25 kPa. The results of the compressibility tests (0.89 MPa < M0 < 6.35 MPa) correspond to values characteristic of organic soils, for example, organic silts (0.5 MPa < M0 < 5 MPa). Moreover, analysis of the consolidation curves showed that up to a vertical stress of 100 kPa, coal sludge does not exhibit rheological behavior. The obtained results indicate that coal sludge, when compacted up to its optimum moisture content and to an adequate dry density, can be effectively utilized for geotechnical applications, such as the construction of isolation barriers, as a component of geotechnical mixtures, or as a sealing material for the reclamation of post-mining areas. Full article
Show Figures

Figure 1

Back to TopTop