The Influence of Land Use on Seasonal Variation in Soil Properties, Microbial Activity, and Bioactive Acid Accumulation in Taraxacum officinale and Plantago major
Abstract
1. Introduction
2. Materials and Methods
2.1. Material
2.2. Study Area
2.3. Element Determination
2.4. Enzymatic and Microbiological Analysis
2.5. Extraction of Organic and Phenolic Acids from Soil
2.6. Extraction of Organic and Phenolic Acids from Plants
2.7. Total Phenolic Content
2.8. Analysis of Organic and Phenolic Acids
2.9. Statistical Analysis
3. Results
3.1. Elemental Content in Soil and Plants, and Soil pH
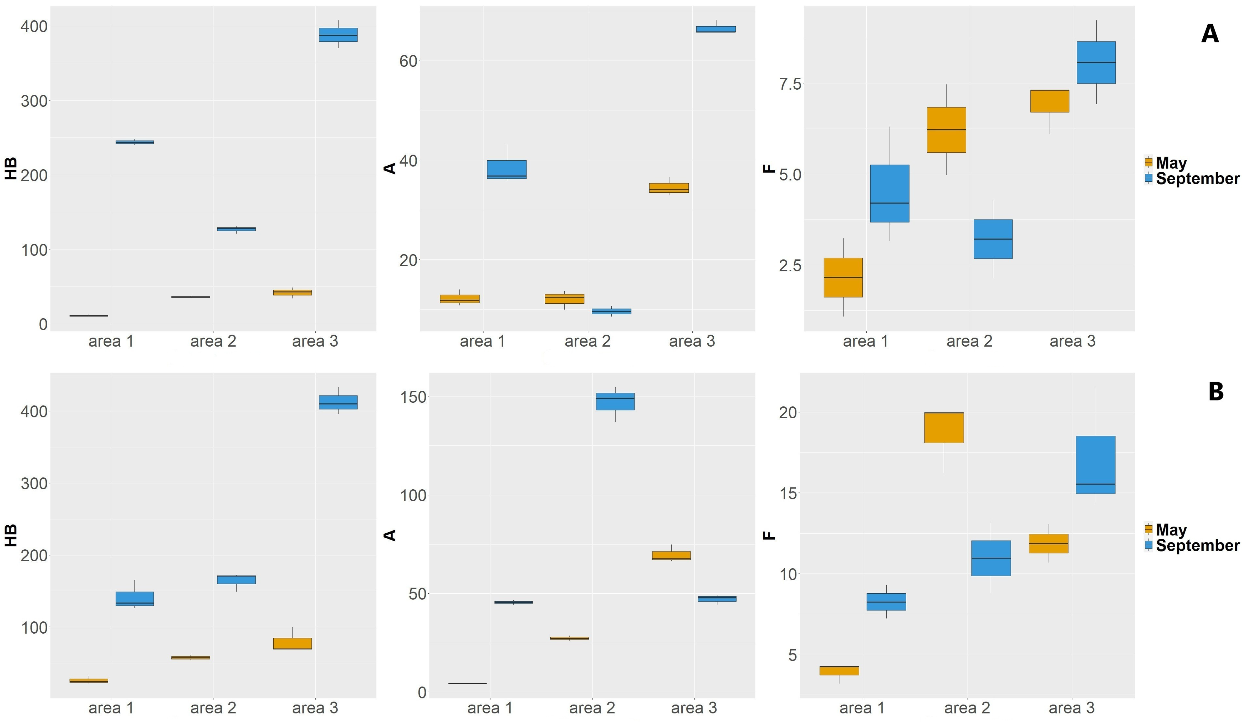
3.2. Enzyme Activity and Microbial Characteristics of the Soil
3.3. Content of Low-Weight Organic Acids in the Soil and Plants
3.4. Phenolic Profile and Content in the Soil and Plants
3.5. Correlations Between Analysed Parameters
4. Discussion
5. Conclusions
Supplementary Materials
Author Contributions
Funding
Institutional Review Board Statement
Informed Consent Statement
Data Availability Statement
Conflicts of Interest
References
- Panchal, P.; Miller, A.J.; Giri, J. Organic acids: Versatile stress-response roles in plants. J. Exp. Bot. 2021, 72, 4038–4052. [Google Scholar] [CrossRef] [PubMed]
- Mohamed, H.I.; Ullah, I.; Toor, M.D.; Tanveer, N.A.; Din, M.M.U.; Basit, A.; Sultan, Y.; Muhammad, M.; Rehman, M.U. Heavy metals toxicity in plants: Understanding mechanisms and developing coping strategies for remediation: A review. Bioresour. Bioprocess 2025, 12, 95. [Google Scholar] [CrossRef] [PubMed]
- Chen, Q.; Song, Y.; An, Y.; Lu, Y.; Zhong, G. Soil Microorganisms: Their role in enhancing crop nutrition and health. Diversity 2024, 16, 734. [Google Scholar] [CrossRef]
- Yusuf, A.; Li, M.; Zhang, S.Y.; Odedishemi-Ajibade, F.; Luo, R.F.; Wu, Y.X.; Zhang, T.T.; Ugya, A.Y.; Zhang, Y.; Duan, S. Harnessing plant–microbe interactions: Strategies for enhancing resilience and nutrient acquisition for sustainable agriculture. Front. Plant Sci. 2025, 16, 1503730. [Google Scholar] [CrossRef]
- Figas, A.; Tomaszewska-Sowa, M.; Siwik-Ziomek, A.; Kobierski, M. Phytoaccumulation of heavy metals in flowers of Tilia cordata Mill. and soil on background enzymatic activity. Forests 2025, 16, 991. [Google Scholar] [CrossRef]
- Boo, A.; Toth, T.; Yu, Q.; Pfotenhauer, A.; Fields, B.D.; Lenaghan, S.C.; Stewart, C.N.; Voigt, C.A. Synthetic microbe-to-plant communication channels. Synthetic microbe-to-plant communication channels. Nat. Commun. 2024, 15, 1817. [Google Scholar] [CrossRef]
- Basílio, F.; Dias, T.; Santana, M.M.; Melo, J.; Carvalho, L.; Correia, P.; Cruz, C. Multiple modes of action are needed to unlock soil phosphorus fractions unavailable for plants: The example of bacteria- and fungi-based biofertilizers. Appl. Soil Ecol. 2022, 178, 104550. [Google Scholar] [CrossRef]
- Daunoras, J.; Kačergius, A.; Gudiukaitė, R. The role of soil microbiota enzymes in soil health and activity changes depending on climate change and the type of soil ecosystem. Biology 2024, 13, 85. [Google Scholar] [CrossRef]
- Sang, Y.; Jin, L.; Zhu, R.; Yu, X.Y.; Hu, S.; Wang, B.T.; Ruan, H.H.; Jin, F.J.; Lee, H.G. Phosphorus-solubilizing capacity of mortierella species isolated from rhizosphere soil of a poplar plantation. Microorganisms 2022, 10, 2361. [Google Scholar] [CrossRef] [PubMed]
- Liu, H.; Wang, C.; Xie, Y.; Luo, Y.; Sheng, M.; Xu, F.; Xu, H. Ecological responses of soil microbial abundance and diversity to cadmium and soil properties in farmland around an enterprise-intensive region. J. Hazard. Mater. 2020, 392, 122478. [Google Scholar] [CrossRef] [PubMed]
- Papa, S.; Alvarez-Romero, M. Biological Activities in artificially heavy-metal-contaminated growing substrates. Soil Syst. 2023, 7, 111. [Google Scholar] [CrossRef]
- Goswami, A.; Adkins-Jablonsky, S.J.; Filho, M.M.B.; Shilling, M.D.; Dawson, A.; Heiser, S.; O’Connor, A.; Walker, M.; Roberts, Q.; Morris, J.J. Heavy metal pollution impacts soil bacterial community structure and antimicrobial resistance at the Birmingham 35th Avenue Superfund Site. Microbiol. Spectr. 2023, 11, e0242622. [Google Scholar] [CrossRef]
- Gillieatt, B.F.; Coleman, N.V. Unravelling the mechanisms of antibiotic and heavy metal resistance co-selection in environmental bacteria. FEMS Microbiol. Rev. 2024, 48, fuae017. [Google Scholar] [CrossRef]
- Opande, T.; Kong, M.; Feng, D.; Wen, Y.H.; Okoth, N.; Yatoo, A.M.; Khalil, F.M.A.; Elrys, A.S.; Meng, L.; Zhang, J. Edaphic factors mediate the response of nitrogen cycling and related enzymatic activities and functional genes to heavy metals: A review. Ecotoxicol. Environl. Saf. 2025, 290, 117766. [Google Scholar] [CrossRef]
- Cakaj, A.; Lisiak-Zielińska, M.; Hanć, A.; Małecka, A.; Borowiak, K.; Drapikowska, M. Common weeds as heavy metal bioindicators: A new approach in biomonitoring. Sci. Rep. 2023, 13, 6926. [Google Scholar] [CrossRef]
- Kano, N.; Hori, T.; Zhang, H.; Miyamoto, N.; Anak, D.E.V.; Mishima, K. Study on the behavior and removal of cadmium and zinc using Taraxacum officinale and Gazania under the application of biodegradable chelating agents. Appl. Sci. 2021, 11, 1557. [Google Scholar] [CrossRef]
- Tinkov, A.A.; Nemereshina, O.N.; Suliburska, J.; Gatiatulina, E.R.; Regula, J.; Nikonorov, A.; Skalny, A.V. Comparative analysis of the trace element content of the leaves and roots of three Plantago species. Biol. Trace Elem. Res. 2016, 173, 225–230. [Google Scholar] [CrossRef] [PubMed]
- Respondek, Z.; Isinkaralar, O.; Świsłowski, P.; Isinkaralar, K.; Rajfur, M. Biomonitoring with the use of the herbal plant Taraxacum officinale as a source of information on environmental contamination. Plants 2024, 13, 1805. [Google Scholar] [CrossRef] [PubMed]
- ISO 10381-1:2002; Soil Quality—Sampling—Part 1: Guidance on the Design of Sampling Programmes. International Organization for Standardization: Geneva, Switzerland, 2002. Available online: https://www.iso.org/standard/32423.html (accessed on 14 March 2025).
- Grabinska-Łoniewska, A. Laboratory Exercises in General Microbiology; Warsaw Technical University: Warsaw, Poland, 1999. [Google Scholar]
- Martin, J.P. Use of acid, rose bengal and streptomycin in the plate method for estimating soil fungi. Soil Sci. 1950, 69, 215–232. [Google Scholar] [CrossRef]
- Thalmann, A. Zur Methodik der Bestimmung der Dehydrogenaseaktivität im Boden mittels Triphenyltetrazoliumchlorid (TTC). Landwirtschaft. Forschung. 1968, 21, 249–258. (In German) [Google Scholar]
- Tabatabai, M.A.; Bremner, J.M. Use of p-nitrophenyl phosphate for assay of soil phosphatase activity. Soil Biol. Biochem. 1969, 1, 301–307. [Google Scholar] [CrossRef]
- Baziramakenga, R.; Simard, R.R.; Leroux, G.D. Determination of organic acids in soil extracts by ion chromatography. Soil Biol. Biochem. 1995, 27, 349–356. [Google Scholar] [CrossRef]
- Gąsecka, M.; Krzymińska-Bródka, A.; Magdziak, Z.; Czuchaj, P.; Bykowska, J. Phenolic compounds and organic acid composition of Syringa vulgaris L. flowers and infusions. Molecules 2023, 28, 5159. [Google Scholar] [CrossRef] [PubMed]
- Zhang, X.; Xiang, D.Q.; Yang, C.; Wu, W.; Liu, H.B. The spatial variability of temporal changes in soil pH affected by topography and fertilization. CATENA 2022, 218, 106586. [Google Scholar] [CrossRef]
- Chen, T.; Cheng, R.; Xiao, W.; Shen, Y.; Wang, L.; Sun, P.; Zhang, M.; Li, J. Nitrogen addition enhances soil nitrogen mineralization through an increase in mineralizable organic nitrogen and the abundance of functional genes. J. Soil Sci. Plant Nutr. 2024, 24, 975–987. [Google Scholar] [CrossRef]
- Li, X.; Wang, A.; Huang, D.; Qian, H.; Luo, X.; Chen, W.; Huang, Q. Patterns and drivers of soil net nitrogen mineralization and its temperature sensitivity across eastern China. Plant Soil 2023, 485, 75–488. [Google Scholar] [CrossRef]
- Yang, G.; Ma, Y.; Ma, X.; Wang, X.; Lu, C.; Xu, W.; Luo, J.; Guo, D. Changes in soil organic carbon components and microbial community following spent mushroom substrate application. Front. Microbiol. 2024, 15, 1351921. [Google Scholar] [CrossRef]
- Shoumik, B.A.; Al Khan, M.Z.; Błońska, E.; Lasota, J. Dynamics of soil organic carbon and total nitrogen in particulate and mineral-associated organic matter fractions under different continuous land use patterns across Europe. Agric. Ecosyst. Environ. 2025, 381, 109411. [Google Scholar] [CrossRef]
- Lyu, S.; Fang, Y.; Zhang, Y.; Liu, Z.; Deng, S. Nickel phytoremediation potential of Plantago major L.: Transcriptome analysis. Environ. Exp. Bot. 2024, 228, 106020. [Google Scholar] [CrossRef]
- Chen, X.; Ren, Y.; Li, C.; Shang, Y.; Ji, R.; Yao, D.; He, Y. Study on Factors Influencing the Migration of Heavy Metals from Soil to Vegetables in a Heavy Industry City. Sustainability 2024, 16, 11084. [Google Scholar] [CrossRef]
- Mencel, J.; Mocek-Płóciniak, A.; Kryszak, A. Soil Microbial Community and Enzymatic Activity of Grasslands under Different Use Practices: A Review. Agronomy 2022, 12, 1136. [Google Scholar] [CrossRef]
- Gomez, E.J.; Delgado, J.A.; Gonzalez, J.M. Influence of water availability and temperature on estimates of microbial extracellular enzyme activity. PeerJ 2021, 9, e10994. [Google Scholar] [CrossRef] [PubMed]
- Bogati, K.; Sewerniak, P.; Walczak, M. Effect of changes in soil moisture on agriculture soils: Response of microbial community, enzymatic and physiological diversity. Ecol. Quest. 2023, 34, 1–33. [Google Scholar] [CrossRef]
- Aponte, H.; Herrera, W.; Cameron, C.; Black, H.; Meier, S.; Paolini, J.; Tapia, Y.; Cornejo, P. Alteration of enzyme activities and functional diversity of a soil contaminated with copper and arsenic. Ecotoxicol. Environ. Saf. 2020, 192, 110264. [Google Scholar] [CrossRef]
- Hassan, W.; Zahra, Q.A.; Attia, K.A.; Bashir, S.; Fiaz, S.; Mohammed, A.A.; Mohy Ud Din, W.; Aslam, Z.; Hafez, Y.M.; Chen, Z. Assessing the impact of copper toxicity on soil ecosystems and barley growth: Identification of robust indicators. Environ. Monit. Assess. 2025, 197, 563. [Google Scholar] [CrossRef]
- Dotaniya, M.L.; Nagar, M.C.; Sharma, A.; Dotaniya, C.K.; Rajendiran, S.; Singh, V.B.; Dountaniya, R.K.; Saha, J.K. Management of acid and alkaline phosphatase, dehydrogenase activities by sugarcane industry waste under lead contamination—A case study of Indian Vertisol. PLoS ONE 2023, 18, e0286223. [Google Scholar] [CrossRef] [PubMed]
- Chaudhary, P.; Xu, M.; Ahamad, L.; Chaudhary, A.; Kumar, G.; Adeleke, B.S.; Verma, K.K.; Hu, D.-M.; Širić, I.; Kumar, P.; et al. Application of synthetic consortia for improvement of soil fertility, pollution remediation, and agricultural productivity: A Review. Agronomy 2023, 13, 643. [Google Scholar] [CrossRef]
- Sazykin, I.; Khmelevtsova, L.; Azhogina, T.; Sazykina, M. Heavy metals influence on the bacterial community of soils: A review. Agriculture 2023, 13, 653. [Google Scholar] [CrossRef]
- Gajewska, J.; Floryszak-Wieczorek, J.; Sobieszczuk-Nowicka, E.; Mattoo, A.; Arasimowicz-Jelonek, M. Fungal and oomycete pathogens and heavy metals: An inglorious couple in the environment. IMA Fungus 2022, 13, 6. [Google Scholar] [CrossRef]
- Woźniak, M.; Gałązka, A.; Siebielec, G.; Frąc, M. Can the biological activity of abandoned soils be changed by the growth of Paulownia elongate × Paulownia fortunei?—Preliminary study on a young tree plantation. Agriculture 2022, 12, 128. [Google Scholar] [CrossRef]
- Kandziora-Ciupa, M.; Nadgórska-Socha, A.; Barczyk, G. The influence of heavy metals on biological soil quality assessments in the Vaccinium myrtillus L. rhizosphere under different field conditions. Ecotoxicology 2021, 30, 292–310. [Google Scholar] [CrossRef]
- Sakin, E.; Yanardağ, İ.H.; Ramazanoğlu, E.; Yalçın, H. Enzyme activities and heavy metal interactions in calcareous soils under different land uses. Int. J. Phytoremediat. 2023, 2, 273–286. [Google Scholar] [CrossRef]
- Mohammad, S.J.; Ling, Y.E.; Halim, K.A.; Sani, B.S.; Abdullahi, N.I. Heavy metal pollution and transformation in soil: A comprehensive review of natural bioremediation strategies. J.Umm Al-Qura Univ. Appll. Sci. 2025, 11, 528–544. [Google Scholar] [CrossRef]
- Li, J.; Ren, T.; Li, Y.; Chen, N.; Yin, Q.; Li, M.; Liu, H.; Liu, G. Organic materials with a high C/N ratio: More beneficial to soil improvement and soil health. Biotechnol. Lett. 2022, 44, 1415–1429. [Google Scholar] [CrossRef]
- Ubeynarayana, N.; Jeyakumar, P.; Bishop, P.; Pereira, R.C.; Anderson, C.W.N. Effect of soil cadmium on root organic acid secretion by forage crops. Environ. Pollut. 2021, 268, 115839. [Google Scholar] [CrossRef]
- Martins, N.; Gonçalves, S.; Andrade, P.B.; Valentão, P.; Romano, A. Changes on organic acid secretion and accumulation in Plantago almogravensis Franco and Plantago algarbiensis Samp. under aluminium stress. Plant Sci. 2013, 198, 1–6. [Google Scholar] [CrossRef] [PubMed]
- De Castro, M.E.G.; Noel, M.A.; Vi, J.S.R.C. The role of organic acids in the uptake and storage of nickel in hyperaccumulator plant, Brackenridgea palustris ssp. foxworthyi (Elm.) PO Karis. J. Degrad. Min. Lands Manag. 2020, 8, 2411. [Google Scholar] [CrossRef]
- Shi, W.; Li, J.; Kan, D.; Yu, W.; Chen, X.; Zhang, Y.; Ma, C.; Deng, S.; Zhou, J.; Fayyaz, P.; et al. Sulfur metabolism, organic acid accumulation and phytohormone regulation are crucial physiological processes modulating the different tolerance to Pb stress of two contrasting poplars. Tree Physiol. 2022, 42, 1799–1811. [Google Scholar] [CrossRef] [PubMed]
- Bölscher, T.; Cardon, Z.G.; Arredondo, M.G.; Grand, S.; Griffen, G.; Hestrin, R.; Imboden, J.; Jamoteau, F.; Lacroix, E.M.; Castro, S.P.; et al. Vulnerability of mineral-organic associations in the rhizosphere. Nat. Commun. 2025, 16, 5527. [Google Scholar] [CrossRef]
- Paul, C.S.; Mercl, F.; Száková, J.; Tejnecký, V.; Tlustoš, P. The role of low molecular weight organic acids in the release of phosphorus from sewage sludge-based biochar. All Life 2021, 14, 599–609. [Google Scholar] [CrossRef]
- Macias-Benitez, S.; Garcia-Martinez, A.M.; Jimenez, P.C.; Gonzalez, J.M.; Moral, M.T.; Rubio, J.P. Rhizospheric organic acids as biostimulants: Monitoring feedbacks on soil microorganisms and biochemical properties. Front. Plant Sci. 2020, 11, 513422. [Google Scholar] [CrossRef]
- Luo, S.Q.; Zhao, C.; Yang, Z.N.; Di, S.J.; Zheng, Z.; Hu, J. Correlation analysis of nutrients, enzymes, and microbial biomass in soils with phenolics of Artemisia annua L. Pak. J. Agric. Sci. 2019, 56, 171–178. [Google Scholar] [CrossRef]
- Betancur, M.; Retamal-Salgado, J.; López, M.D.; Vergara-Retamales, R.; Schoebitz, M. Plant performance and soil microbial responses to irrigation management: A novel study in a calafate orchard. Horticulturae 2022, 8, 1138. [Google Scholar] [CrossRef]
- Soliman, M.A.; Galal, T.M.; Naeim, M.A.; Khalafallah, A.A. Seasonal variation in the secondary metabolites and antimicrobial activity of Plantago major L. from Egyptian heterogenic habitats. Egypt. J. Bot. 2022, 62, 255–273. [Google Scholar] [CrossRef]
- Zhu, Y.; Gu, W.; Tian, R.; Li, C.; Ji, Y.; Li, T. Morphological, physiological, and secondary metabolic responses of Taraxacum officinale to salt stress. Plant Physiol. Biochem. 2022, 189, 71–82. [Google Scholar] [CrossRef] [PubMed]
- Xu, X.; Dodd, A.N. Is there crosstalk between circadian clocks in plants and the rhizomicrobiome? BMC Biol. 2022, 20, 241. [Google Scholar] [CrossRef]
- Wu, H.; Wu, L.; Zhu, Q.; Wang, J.; Qin, X.; Xu, J.; Kong, L.; Chen, J.; Lin, S.; Khan, M.U.; et al. The role of organic acids on microbial deterioration in the Radix pseudostellariae rhizosphere under continuous monoculture regimes. Sci. Rep. 2017, 7, 3497. [Google Scholar] [CrossRef]
- Palermo, J.S.; Palermo, T.B.; Cappellari, L.R.; Balcke, G.U.; Tissier, A.; Giordano, W.; Banchio, E. Influence of plant growth-promoting rhizobacteria (PGPR) inoculation on phenolic content and key biosynthesis-related processes in Ocimum basilicum under Spodoptera frugiperda herbivory. Plants 2025, 14, 857. [Google Scholar] [CrossRef]
- Ziolkowska, A.; Debska, B.; Banach-Szott, M. Transformations of phenolic compounds in meadow soils. Sci. Rep. 2020, 10, 19330. [Google Scholar] [CrossRef] [PubMed]
- Misra, D.; Dutta, W.; Jha, G.; Ray, P. Interactions and regulatory functions of phenolics in soil-plant-climate nexus. Agronomy 2023, 13, 280. [Google Scholar] [CrossRef]
- Chen, Y.; Huang, L.; Liang, X.; Dai, P.; Zhang, Y.; Li, B. Enhancement of polyphenolic metabolism as an adaptive response of lettuce (Lactuca sativa) roots to aluminium stress. Environ. Pollut. 2020, 261, 114230. [Google Scholar] [CrossRef] [PubMed]





| Plant | Site | Term | Soil | Plants | ||||||||||
|---|---|---|---|---|---|---|---|---|---|---|---|---|---|---|
| pH | N | C | C/N | N | C | |||||||||
| P. major | SRA | May | 7.17 c–e ± 0.04 | 0.10 g ± 0.01 | 1.77 h ± 0.04 | 18.38 ± 0.36 | 0.72 e ± 0.03 | 23.14 h ± 0.46 | ||||||
| September | 7.22 b–e ± 0.03 | 0.10 g ± 0.01 | 1.77 h ± 0.07 | 18.92 ± 0.74 | 1.52 c ± 0.06 | 37.68 a ± 1.48 | ||||||||
| PMA | May | 7.10 de ± 0.03 | 0.05 h ± 0.01 | 1.50 h ± 0.02 | 28.73 ± 0.43 | 0.73 e ± 0.05 | 32.06 ef ± 0.48 | |||||||
| September | 7.35 ab ± 0.05 | 0.14 e ± 0.01 | 2.71 g ± 0.07 | 20.56 ± 0.51 | 1.54 c ± 0.04 | 33.06 c–f ± 0.82 | ||||||||
| RA | May | 7.32 ab ± 0.02 | 0.27 d ± 0.01 | 5.21 cd ± 0.16 | 18.95 ± 0.58 | 1.48 c ± 0.05 | 34.63 c–e ± 1.05 | |||||||
| September | 7.38 ab ± 0.06 | 0.58 a ± 0.02 | 9.32 a ± 0.28 | 15.66 ± 0.48 | 1.39 c ± 0.04 | 27.60 g ± 0.84 | ||||||||
| T. officinale | SRA | May | 7.25 a–d ± 0.04 | 0.27 d ± 0.01 | 4.90 de ± 0.10 | 18.67 ± 0.37 | 0.92 e ± 0.04 | 35.63 a–c ± 0.71 | ||||||
| September | 6.89 f ± 0.10 | 0.11 g ± 0.01 | 1.84 h ± 0.06 | 16.47 ± 0.50 | 2.03 b ± 0.06 | 34.62 c–e ± 1.05 | ||||||||
| PMA | May | 7.07 e ± 0.05 | 0.18 e ± 0.01 | 4.54 e ± 0.09 | 25.14 ± 0.50 | 1.34 cd ± 0.17 | 32.79 d–f ± 0.65 | |||||||
| September | 7.38 a ± 0.03 | 0.18 e ± 0.01 | 3.41 f ± 0.10 | 17.81 ± 0.51 | 2.50 a ± 0.08 | 34.91 b–d ± 1.06 | ||||||||
| RA | May | 7.28 a–c ± 0.08 | 0.30 c ± 0.01 | 5.47 c ± 0.05 | 17.96 ± 0.18 | 1.16 d ± 0.06 | 37.33 ab ± 0.38 | |||||||
| September | 7.33 ab ± 0.05 | 0.45 b ± 0.01 | 8.14 b ± 0.25 | 17.47 ± 0.53 | 1.34 cd ± 0.04 | 31.41 f ± 0.96 | ||||||||
| F | p | F | p | F | p | F | p | F | p | F | p | |||
| Plant (P) | 2.00 | 0.17 | 2.39 | 0.13 | 4.41 | 0.05 | 3.94 | 0.06 | 7.63 | 0.01 | 7.17 | 0.01 | ||
| Site (S) | 8.50 | 0.00 | 34.45 | 0.00 | 35.17 | 0.00 | 29.71 | 0.00 | 1.52 | 0.24 | 0.07 | 0.94 | ||
| Term (T) | 2.42 | 0.13 | 4.79 | 0.04 | 1.76 | 0.19 | 29.25 | 0.00 | 33.09 | 0.00 | 0.29 | 0.60 | ||
| P × S × T | 3.72 | 0.04 | 0.10 | 0.82 | 0.24 | 0.79 | 1.58 | 0.22 | 0.01 | 0.99 | 5.79 | 0.01 | ||
| Plant | Site | Term | Al | Cd | Co | Cr | Cu | Fe | K | Mg | Mn | Na | Ni | P | Pb | Zn | |||||||||||||||
|---|---|---|---|---|---|---|---|---|---|---|---|---|---|---|---|---|---|---|---|---|---|---|---|---|---|---|---|---|---|---|---|
| P. major | SRA | May | 5310.30 f ± 105.15 | 0.14 ef ± 0.01 | 1.68 e ± 0.03 | 11.80 gf ± 0.23 | 5.15 d ± 0.10 | 5133.82 fg ± 101.66 | 1373.60 g ± 27.20 | 1476.13 ef ± 29.23 | 159.04 g ± 3.15 | 216.12 f ± 4.28 | 6.01 e ± 0.12 | 209.94 g ± 4.16 | 4.03 g ± 0.08 | 40.23 e± 0.80 | |||||||||||||||
| September | 4152.24 h ± 162.82 | 0.13 ef ± 0.01 | 1.40 f ± 0.05 | 11.58 gf ± 0.45 | 6.99 d ± 0.27 | 4596.03 gh ± 180.23 | 960.10 h ± 37.65 | 1415.13 f ± 55.49 | 117.53 i ± 4.61 | 257.90 e ± 10.11 | 5.50 f ± 0.22 | 237.14 f ± 9.30 | 4.81 fg ± 0.19 | 25.97 f ± 1.02 | |||||||||||||||||
| PMA | May | 6919.26 d ± 103.02 | 0.15 e ± 0.01 | 1.98 d ± 0.03 | 14.56 e ± 0.22 | 5.67 d ± 0.08 | 5768.67 e ± 85.89 | 1748.97 ef ± 26.04 | 2166.68 c ± 32.26 | 140.13 h ± 2.09 | 217.73 f ± 3.24 | 7.82 c ± 0.12 | 204.44 g ± 3.04 | 4.04 g ± 0.06 | 21.49 fg ± 0.32 | ||||||||||||||||
| September | 4510.40 gh ± 111.37 | 0.14 ef ± 0.01 | 1.14 g ± 0.03 | 11.49 gf ± 0.28 | 566.17 a ± 13.98 | 4660.08 gh ± 115.06 | 1619.83 f ± 39.99 | 1605.48 de ± 38.64 | 119.08 i ± 2.94 | 128.71 h ± 3.18 | 5.06 b ± 0.12 | 242.00 f ± 5.98 | 82.25 a ± 2.03 | 48.43 e ± 1.20 | |||||||||||||||||
| RA | May | 8701.17 b ± 265.00 | 0.28 e ± 0.01 | 2.50 b ± 0.08 | 23.54 b ± 0.72 | 10.01 d ± 0.30 | 10,736.36 b ± 326.98 | 2643.10 b ± 80.50 | 2720.72 ab ± 82.86 | 257.03 d ± 7.83 | 212.35 f ± 6.47 | 8.36 b ± 0.25 | 355.71 d ± 10.83 | 11.36 e ± 0.35 | 54.95 d ± 1.67 | ||||||||||||||||
| September | 6531.09 de ± 198.91 | 0.40 b ± 0.01 | 2.03 cd ± 0.06 | 18.15 d ± 0.55 | 45.50 c ± 1.39 | 8081.14 d ± 246.12 | 1719.37 f ± 52.36 | 2188.02 c ± 66.64 | 284.30 c ± 8.66 | 518.63 a ± 15.80 | 7.06 d ± 0.22 | 484.23 a ± 14.75 | 22.22 c ± 0.68 | 95.96 b ± 2.92 | |||||||||||||||||
| T. officinale | SRA | May | 8122.30 c ± 160.84 | 0.42 a ± 0.01 | 2.37 b ± 0.05 | 21.16 c ± 0.42 | 47.84 c ± 0.95 | 8852.20 c ± 175.29 | 2107.59 c ± 41.73 | 2173.90 c ± 43.05 | 307.67 b ± 6.09 | 388.31 c ± 7.69 | 8.38 b ± 0.17 | 381.88 c ± 7.56 | 18.78 d ± 0.37 | 119.43 a ± 2.36 | |||||||||||||||
| September | 4505.58 gh ± 137.22 | 0.09 g ± 0.01 | 1.44 g ± 0.04 | 10.89 g ± 0.33 | 5.41 d ± 0.16 | 4410.98 h ± 134.34 | 1080.91 h ± 32.92 | 1216.76 g ± 37.06 | 109.84 i ± 3.35 | 152.14 gh ± 4.63 | 5.32 b ± 0.16 | 200.46 g ± 6.11 | 3.47 g ± 0.11 | 22.76 fg ± 0.69 | |||||||||||||||||
| PMA | May | 8496.70 bc ± 168.25 | 0.13 f ± 0.01 | 2.16 c ± 0.04 | 20.20 c ± 0.40 | 9.05 d ± 0.18 | 9103.66 c ± 180.27 | 3237.90 a ± 64.12 | 2588.59 b ± 51.26 | 182.40 f ± 3.61 | 358.63 d ± 7.10 | 6.87 b ± 0.14 | 319.71 e ± 6.33 | 6.55 f ± 0.13 | 21.13 g ± 0.49 | ||||||||||||||||
| September | 4919.42 fg ± 149.82 | 0.12 f ± 0.01 | 1.35 g ± 0.04 | 12.43 f ± 0.38 | 213.71 b ± 6.51 | 5549.63 ef ± 169.02 | 1922.16 d ± 58.54 | 1647.57 d ± 50.18 | 174.36 fg ± 5.31 | 165.53 g ± 5.04 | 5.06 b ± 0.15 | 309.19 e ± 9.42 | 40.79 b ± 1.24 | 36.62 e ± 1.11 | |||||||||||||||||
| RA | May | 10,916.11 a ± 109.71 | 0.37 c ± 0.01 | 3.39 a ± 0.03 | 31.25 a ± 0.31 | 13.70 d ± 0.14 | 14,296.08 a ± 143.68 | 3119.60 a ± 31.35 | 2821.60 a ± 28.36 | 334.68 a ± 3.36 | 409.48 c ± 4.12 | 11.76 a ± 0.12 | 391.06 c ± 3.93 | 17.55 d ± 0.18 | 61.46 c ± 0.62 | ||||||||||||||||
| September | 6326.36 e ± 192.67 | 0.35 d ± 0.01 | 2.37 b ± 0.07 | 19.05 cd ± 0.58 | 51.30 c ± 1.56 | 7593.08 d ± 231.25 | 1882.38 de ± 57.33 | 2180.75 c ± 66.42 | 233.70 e ± 7.12 | 480.68 b ± 14.64 | 7.65 c ± 0.23 | 446.14 b ± 13.59 | 23.67 c ± 0.73 | 99.56 b ± 3.03 | |||||||||||||||||
| F | p | F | p | F | p | F | p | F | p | F | p | F | p | F | p | F | p | F | p | F | p | F | p | F | p | F | p | ||||
| Plant (P) | 31.11 | 0.00 | 3.24 | 0.08 | 53.65 | 0.00 | 28.10 | 0.00 | 1.63 | 0.21 | 21.98 | 0.00 | 39.26 | 0.00 | 11.42 | 0.00 | 12.04 | 0.00 | 4.00 | 0.06 | 12.15 | 0.00 | 8.382 | 0.01 | 0.26 | 0.61 | 1.91 | 0.18 | |||
| Site (S) | 52.65 | 0.00 | 26.48 | 0.00 | 121.69 | 0.00 | 60.72 | 0.00 | 9.06 | 0.00 | 52.68 | 0.00 | 44.55 | 0.00 | 101.06 | 0.00 | 36.08 | 0.00 | 11.71 | 0.00 | 43.20 | 0.00 | 33.10 | 0.00 | 6.50 | 0.01 | 8.92 | 0.00 | |||
| Term (T) | 186.28 | 0.00 | 2.97 | 0.10 | 184.74 | 0.00 | 74.82 | 0.00 | 11.65 | 0.00 | 67.65 | 0.00 | 92.60 | 0.00 | 139.48 | 0.00 | 19.99 | 0.00 | 0.24 | 0.63 | 82.39 | 0.00 | 0.27 | 0.61 | 10.8 | 0.00 | 0.04 | 0.84 | |||
| P × S × T | 0.98 | 0.39 | 3.18 | 0.06 | 3.96 | 0.03 | 1.08 | 0.35 | 2.08 | 0.14 | 0.44 | 0.65 | 2.15 | 0.13 | 4.91 | 0.01 | 4.22 | 0.03 | 0.61 | 0.55 | 5.91 | 0.01 | 1.89 | 0.17 | 0.10 | 0.38 | 1.99 | 0.16 | |||
| Plant | Site | Term | Al | Ca | Cd | Co | Cu | Fe | K | Mg | Mn | Na | Ni | P | Pb | Zn | ||||||||||||||
|---|---|---|---|---|---|---|---|---|---|---|---|---|---|---|---|---|---|---|---|---|---|---|---|---|---|---|---|---|---|---|
| P. major | SRA | May | 5196.05 a ± 102.89 | 14,445.09 de ± 286.04 | 0.17 c ± 0.01 | 3.77 a ± 0.07 | 13.23 e ± 0.26 | 4712.00 a ± 93.31 | 9219.45 g ± 182.56 | 2488.11 a ± 49.27 | 108.03 c ± 2.14 | 660.43 d ± 13.08 | 59.12 a ± 1.17 | 1229.77 f ± 24.35 | 8.60 e ± 0.17 | 40.88 f ± 0.81 | ||||||||||||||
| September | 1262.17 g ± 49.49 | 15,358.27 d ± 602.25 | 0.14 def ± 0.01 | 1.88 c ± 0.07 | 13.91 e ± 0.55 | 1881.80 d ± 73.79 | 16,237.52 c ± 636.72 | 1658.61 e ± 65.04 | 49.73 g ± 1.95 | 698.09 d ± 27.37 | 37.97 b ± 1.49 | 2428.60 b ± 95.23 | 3.80 hi ± 0.15 | 34.13 g ± 1.34 | ||||||||||||||||
| PMA | May | 2047.91 c ± 30.49 | 15,028.18 de ± 223.74 | 0.10 g ± 0.01 | 1.40 c ± 0.02 | 64.56 c ± 0.96 | 2522.97 c ± 37.56 | 7293.31 h ± 108.58 | 2201.70 cd ± 32.78 | 87.72 d ± 1.31 | 1310.97 b ± 19.52 | 18.83 g ± 0.28 | 1247.52 f ± 18.57 | 10.35 d ± 0.15 | 34.81 g ± 0.52 | |||||||||||||||
| September | 895.31 h ± 22.11 | 20,473.41 b ± 505.50 | 0.12 f ± 0.01 | 1.12 e ± 0.03 | 99.42 b ± 2.45 | 1215.90 gf ± 30.02 | 14,111.99 d ± 348.44 | 2092.45 e ± 51.66 | 43.77 gh ± 1.08 | 151.73 i ± 3.75 | 21.91 f ± 0.54 | 2788.05 a ± 68.84 | 19.86 b ± 0.49 | 68.87 c ± 1.70 | ||||||||||||||||
| RA | May | 1501.05 e ± 45.72 | 13,889.84 e ± 423.02 | 0.15 d ± 0.01 | 1.08 e ± 0.03 | 12.95 e ± 0.36 | 3055.47 b ± 93.02 | 11,667.85 f ± 355.35 | 2275.35 bc ± 69.30 | 170.14 b ± 5.18 | 574.70 e ± 17.50 | 9.38 i ± 0.29 | 2019.68 cd ± 61.51 | 5.31 g ± 0.16 | 67.38 c ± 2.05 | |||||||||||||||
| September | 3097.68 b ± 94.34 | 24,684.43 a ± 751.78 | 0.27 a ± 0.01 | 2.17 b ± 0.07 | 35.00 d ± 1.07 | 4545.37 a ± 138.43 | 9752.48 g ± 297.02 | 2405.37 ab ± 73.26 | 184.60 a ± 5.62 | 588.68 e ± 17.93 | 26.29 e ± 0.80 | 1974.07 cd ± 60.12 | 17.13 c ± 0.52 | 103.88 a ± 3.16 | ||||||||||||||||
| T. officinale | SRA | May | 1421.56 ef ± 28.15 | 7588.26 g ± 150.26 | 0.13 ef ± 0.01 | 1.02 e ± 0.02 | 10.78 e ± 0.21 | 1422.58 e ± 28.17 | 12,991.40 e ± 257.25 | 1158.87 g ± 22.95 | 42.30 gh ± 0.84 | 311.96 h ± 6.18 | 14.34 h ± 0.28 | 1377.70 ef ± 27.28 | 2.94 ij ± 0.06 | 48.24 e ± 0.96 | ||||||||||||||
| September | 872.20 hi ± 26.56 | 9230.46 f ± 281.12 | 0.15 d ± 0.01 | 0.83 f ± 0.03 | 11.42 e ± 0.35 | 1101.29 g ± 33.15 | 22,181.06 a ± 675.54 | 1676.68 e ± 51.06 | 36.32 h ± 1.11 | 385.60 g ± 11.78 | 14.38 h ± 0.44 | 2123.02 c ± 64.66 | 2.68 j ± 2.08 | 33.37 gh ± 1.02 | ||||||||||||||||
| PMA | May | 1878.07 d ± 37.19 | 17,505.49 c ± 346.64 | 0.13 f ± 0.01 | 1.04 e ± 0.02 | 13.62 e ± 0.27 | 1946.92 d ± 38.55 | 16,582.26 bc ± 328.36 | 1643.44 e ± 32.54 | 77.09 e ± 1.53 | 943.21 c ± 18.68 | 13.16 h ± 0.26 | 1890.3 d ± 37.43 | 4.5 gh ± 0.09 | 27.16 i ± 0.54 | |||||||||||||||
| September | 938.67 h ± 28.59 | 14,413.81 de ± 438.98 | 0.17 c ± 0.01 | 1.37 c ± 0.04 | 137.44 a ± 4.19 | 1339.01 ef ± 40.78 | 11,624.19 f ± 354.02 | 1418.58 f ± 43.20 | 62.70 f ± 1.91 | 282.45 h ± 8.60 | 29.44 d ± 0.90 | 2629.02 a ± 80.07 | 22.17 a ± 0.68 | 91.69 b ± 2.79 | ||||||||||||||||
| RA | May | 735.20 j ± 7.39 | 9790.93 f ± 98.40 | 0.14 de ± 0.01 | 0.39 g ± .01 | 11.93 e ± 0.12 | 1031.62 g ± 10.37 | 17,533.49 b ± 176.22 | 1778.09 e ± 17.87 | 39.87 h ± 0.40 | 1881.56 a ± 18.91 | 4.56 j ± 0.05 | 1430.60 e ± 14.38 | 3.01 ij ± 0.03 | 29.02 hi ± 0.29 | |||||||||||||||
| September | 1338.04 fg ± 40.75 | 9458.96 f ± 288.08 | 0.22 b ± 0.01 | 1.82 c ± 0.06 | 11.71 e ± 0.36 | 2021.62 d ± 61.57 | 12,900.13 e ± 392.88 | 1082.85 g ± 32.98 | 95.02 d ± 2.89 | 477.58 f ± 14.55 | 32.96 c ± 1.00 | 1886.26 d ± 57.47 | 6.93 f ± 0.21 | 60.53 d ± 1.84 | ||||||||||||||||
| F | p | F | p | F | p | F | p | F | p | F | p | F | p | F | p | F | p | F | p | F | p | F | p | F | p | F | p | |||
| Plant (P) | 13.40 | 0.00 | 42.49 | 0.00 | 0.01 | 0.91 | 11.50 | 0.00 | 1.05 | 0.31 | 26.39 | 0.00 | 19.41 | 0.00 | 493.82 | 0.00 | 18.92 | 0.00 | 0.20 | 0.66 | 6.47 | 0.02 | 0.40 | 0.53 | 8.58 | 0.01 | 2.53 | 0.12 | ||
| Site (S) | 2.03 | 0.15 | 10.72 | 0.00 | 16.35 | 0.00 | 2.60 | 0.09 | 38.47 | 0.00 | 3.19 | 0.06 | 3.03 | 0.06 | 6.32 | 0.01 | 12.65 | 0.00 | 3.72 | 0.04 | 3.62 | 0.04 | 5.76 | 0.01 | 19.23 | 0.00 | 5.86 | 0.01 | ||
| Term (T) | 5.52 | 0.03 | 7.79 | 0.01 | 19.34 | 0.00 | 0.12 | 0.73 | 19.51 | 0.00 | 2.15 | 0.15 | 3.95 | 0.06 | 38.04 | 0.00 | 0.63 | 0.43 | 22.00 | 0.00 | 2.93 | 0.10 | 70.24 | 0.00 | 23.64 | 0.00 | 14.78 | 0.00 | ||
| P × S × T | 4.42 | 0.02 | 3.84 | 0.03 | 1.73 | 0.19 | 0.74 | 0.49 | 6.13 | 0.01 | 2.21 | 0.13 | 4.47 | 0.02 | 95.51 | 0.00 | 0.09 | 0.92 | 6.88 | 0.00 | 0.12 | 0.88 | 4.47 | 0.02 | 3.50 | 0.04 | 0.97 | 0.39 | ||
| Plant | Site | Term | OcA | QcA | MaA | LcA | CcA | AcA | McA | ScA | FcA | Sum | ||||||||||
|---|---|---|---|---|---|---|---|---|---|---|---|---|---|---|---|---|---|---|---|---|---|---|
| P. major | SRA | May | BDL | 4.52 f ± 0.26 | BDL | 2.28 f ± 0.13 | 1.73 h ± 0.10 | BDL | 4.60 g ± 0.21 | BDL | 7.11 f ± 0.24 | 20.25 f ± 0.49 | ||||||||||
| September | BDL | 1.82 h ± 0.07 | BDL | 1.94 f ± 0.08 | 3.07 ± 0.12 | BDL | 5.85 ef ± 0.23 | BDL | BDL | 12.70 fg ± 0.49 | ||||||||||||
| PMA | May | 1.09 c ± 0.04 | 16.60 c ± 0.53 | 8.87 a ± 0.28 | 15.07 b ± 0.48 | 33.31 a ± 1.06 | 2.00 c ± 0.06 | 12.72 c ± 0.40 | 22.91 a ± 0.73 | 177.02 a ± 5.63 | 289.61 a ± 9.13 | |||||||||||
| September | 2.84 a ± 0.51 | 3.70 fg ± 0.40 | BDL | 2.44 f ± 0.12 | 4.74 fg ± 0.23 | BDL | BDL | 6.24 c ± 0.30 | BDL | 19.96 f ± 1.14 | ||||||||||||
| RA | May | BDL | 3.88 f ± 0.19 | 2.52 c ± 0.23 | 6.06 d ± 0.54 | 10.80 d ± 0.31 | BDL | 6.61 e ± 0.45 | 4.11 d ± 0.22 | 20.62 c ± 1.14 | 54.62 d ± 0.95 | |||||||||||
| September | 1.24 bc ± 0.08 | 24.36 b ± 0.33 | 9.17 a ± 0.28 | 48.86 a ± 0.17 | 31.05 b ± 1.20 | 4.04 b ± 0.22 | 21.25 a ± 0.08 | 8.85 b ± 0.59 | 122.60 b ± 2.35 | 271.43 b ± 3.24 | ||||||||||||
| T. officinale | SRA | May | BDL | 3.92 f ± 0.76 | BDL | BDL | 0.00 | BDL | BDL | 1.10 f ± 0.05 | BDL | 5.02 g ± 0.71 | ||||||||||
| September | BDL | 10.42 d ± 0.67 | BDL | BDL | 3.89 gh ± 0.11 | 6.53 a ± 0.19 | 9.89 d ± 0.29 | 2.92 e ± 0.08 | 7.63 ef ± 0.22 | 41.27 e ± 1.30 | ||||||||||||
| PMA | May | 1.75 b ± 0.37 | 15.52 c ± 1.02 | BDL | 4.06 e ± 0.16 | 9.29 e ± 0.37 | BDL | 20.84 a ± 0.82 | BDL | BDL | 51.46 d ± 2.68 | |||||||||||
| September | 1.20 bc ± 0.30 | 2.19 gh ± 0.03 | BDL | 4.71 e ± 0.56 | 1.62 h ± 0.03 | BDL | 1.70 h ± 0.03 | BDL | BDL | 11.42 fg ± 0.28 | ||||||||||||
| RA | May | BDL | 7.27 e ± 0.22 | 3.02 b ± 0.09 | 10.92 c ± 0.33 | 5.98 f ± 0.18 | BDL | 5.55 fg ± 0.17 | 1.94 f ± 0.06 | 12.52 de ± 0.37 | 47.21 de ± 1.41 | |||||||||||
| September | BDL | 37.32 a ± 0.93 | BDL | 6.80 d ± 0.17 | 19.90 c ± 0.50 | BDL | 19.54 b ± 0.49 | 3.45 de ± 0.09 | 14.22 d ± 0.36 | 101.23 c ± 2.53 | ||||||||||||
| F | p | F | p | F | p | F | p | F | p | F | p | F | p | F | p | F | p | F | p | |||
| Plant (P) | 6.53 | 0.02 | 1.39 | 0.25 | 22.09 | 0.00 | 10.06 | 0.00 | 6.35 | 0.02 | 0.02 | 0.89 | 0.20 | 0.66 | 10.96 | 0.00 | 13.94 | 0.00 | 7.74 | 0.00 | ||
| Site (S) | 53.05 | 0.00 | 6.21 | 0.01 | 11.81 | 0.00 | 14.61 | 0.00 | 8.92 | 0.00 | 1.37 | 0.27 | 3.80 | 0.03 | 4.89 | 0.01 | 4.10 | 0.03 | 5.79 | 0.01 | ||
| Term (T) | 7.85 | 0.01 | 2.31 | 0.14 | 1.98 | 0.17 | 2.77 | 0.11 | 0.03 | 0.86 | 6.54 | 0.02 | 0.30 | 0.59 | 0.76 | 0.39 | 0.86 | 0.36 | 0.00 | 0.95 | ||
| P × S × T | 5.17 | 0.01 | 0.28 | 0.76 | 18.48 | 0.00 | 12.03 | 0.00 | 1.89 | 0.17 | 7.53 | 0.00 | 0.82 | 0.45 | 3.28 | 0.05 | 9.46 | 0.00 | 5.30 | 0.01 | ||
| Plant | Site | Term | OcA | QcA | LcA | CcA | AcA | McA | ScA | FcA | Sum | |||||||||
|---|---|---|---|---|---|---|---|---|---|---|---|---|---|---|---|---|---|---|---|---|
| P. major | SRA | May | BDL | 43.22 f ± 1.11 | 5.74 f ± 0.30 | 96.13 def ± 5.05 | 47.47 d ± 2.49 | 108.72 d ± 4.23 | 12.67 e ± 0.66 | 166.08 f ± 5.70 | 480.03 hi ± 9.92 | |||||||||
| September | BDL | 71.42 f ± 3.48 | 8.60 f ± 0.42 | 66.63 f ± 3.25 | 8.20 f ± 0.40 | 48.77 f ± 2.38 | 18.66 de ± 0.91 | 392.24 ± 14.88 | 614.52 h ± 25.58 | |||||||||||
| PMA | May | 1.79 de ± 0.06 | 308.02 e ± 4.58 | 66.40 e ± 2.11 | 128.23 de ± 2.00 | 54.75 d ± 1.74 | 67.55 e ± 2.15 | 58.68 c ± 1.87 | 726.20 d ± 10.83 | 1411.62 e ± 22.34 | ||||||||||
| September | 6.34 d ± 0.30 | 1061.44 b ± 17.87 | 38.84 ± 1.84 | 805.88 b ± 13.06 | 223.78 b ± 6.68 | 228.83 c ± 10.84 | 197.83 b ± 6.43 | 971.94 b ± 24.33 | 3534.89 b ± 6253 | |||||||||||
| RA | May | 155.44 b ± 5.18 | 804.74 c ± 6.87 | 243.62 b ± 9.87 | 338.10 c ± 9.53 | 139.14 c ± 8.59 | 59.96 ef ± 3.70 | BDL | 808.77 c ± 25.91 | 2549.77 c ± 50.46 | ||||||||||
| September | BDL | 640.77 d ± 8.58 | 25.40 ± 0.34 | 130.34 de ± 1.75 | BDL | BDL | 20.25 d ± 0.27 | 216.34 e ± 2.90 | 1033.12 g ± 13.83 | |||||||||||
| T. officinale | SRA | May | 42.26 c ± 2.02 | 635.25 d ± 8.87 | 208.96 c ± 7.24 | 787.20 b ± 14.41 | 33.16 e ± 1.58 | 182.41 ± 5.26 | 4.44 f ± 0.21 | 226.84 e ± 4.09 | 2120.53 d ± 32.70 | |||||||||
| September | 194.32 a ± 3.11 | 2305.27 a ± 36.86 | 437.63 a ± 7.00 | 2726.89 a ± 43.60 | 579.93 a ± 9.27 | 472.18 a ± 7.55 | 270.31 a ± 4.32 | 1792.95 a ± 28.67 | 8779.49 a ± 140.38 | |||||||||||
| PMA | May | 2.54 de ± 0.26 | 119.21 e ± 5.52 | 6.34 f ± 0.65 | 137.91 d ± 4.26 | BDL | BDL | 4.36 f ± 0.45 | 96.09 g ± 5.77 | 366.46 ij ± 11.62 | ||||||||||
| September | 1.51 de ± 0.06 | 78.71 ef ± 2.96 | 17.39 ef ± 0.65 | 93.07 ef ± 3.50 | BDL | 53.48 ef ± 2.01 | 18.60 de ± 0.70 | 255.70 e ± 3.81 | 518.45 h ± 13.56 | |||||||||||
| RA | May | 6.75 d ± 0.20 | 777.95 c ± 23.39 | 133.60 d ± 4.02 | 118.37 ± 3.56 | 132.47 c ± 3.98 | 315.79 c ± 9.49 | BDL | BDL | 1484.93 e ± 44.65 | ||||||||||
| September | 3.49 de ± 0.09 | 74.73 f ± 1.86 | 31.17 ± 0.78 | 91.49 ef ± 2.28 | 6.12 f ± 0.15 | 47.91 f ± 1.19 | BDL | BDL | 254.91 j ± 6.35 | |||||||||||
| F | p | F | p | F | p | F | p | F | p | F | p | F | p | F | p | F | p | |||
| Plant (P) | 0.48 | 0.49 | 0.86 | 0.36 | 3.49 | 0.07 | 4.28 | 0.05 | 1.03 | 0.32 | 6.05 | 0.02 | 0.01 | 0.93 | 0.91 | 0.34 | 0.89 | 0.35 | ||
| Site (S) | 2.50 | 0.10 | 1.26 | 0.30 | 3.74 | 0.04 | 5.82 | 0.01 | 2.03 | 0.15 | 3.60 | 0.04 | 4.81 | 0.02 | 2.07 | 0.14 | 2.43 | 0.11 | ||
| Term (T) | 0.00 | 0.98 | 1.81 | 0.19 | 0.20 | 0.66 | 3.99 | 0.05 | 2.25 | 0.14 | 0.27 | 0.61 | 12.75 | 0.00 | 2.85 | 0.10 | 2.35 | 0.14 | ||
| P × S × T | 1.57 | 0.22 | 4.09 | 0.03 | 0.47 | 0.63 | 4.22 | 0.02 | 6.21 | 0.01 | 5.15 | 0.01 | 7.63 | 0.00 | 1.69 | 0.20 | 3.42 | 0.05 | ||
| Plant | Site | Term | PA | VA | SGA | CHA | TP | |||||
|---|---|---|---|---|---|---|---|---|---|---|---|---|
| P. major | SRA | May | 3.30 d ± 0.72 | 18.10 bc ± 2.85 | BDL | BDL | 1.14 b ± 0.12 | |||||
| September | BDL | 5.65 ef ± 0.57 | BDL | BDL | 0.44 ef ± 0.03 | |||||||
| PMA | May | 13.33 b ± 1.60 | 37.08 a ± 3.84 | BDL | BDL | 1.19 b ± 0.07 | ||||||
| September | 2.51 e ± 0.50 | 6.21 ef ± 1.39 | BDL | BDL | 0.68 d ± 0.03 | |||||||
| RA | May | 29.92 a ± 2.09 | 7.44 ef ± 1.29 | BDL | BDL | 0.86 c ± 0.04 | ||||||
| September | 7.54 c ± 0.40 | 3.13 f ± 0.17 | BDL | BDL | 0.46 e ± 0.02 | |||||||
| T. officinale | SRA | May | BDL | 13.57 cd ± 2.10 | BDL | BDL | 0.28 f ± 0.03 | |||||
| September | BDL | 3.91 ef ± 0.30 | BDL | BDL | 0.34 ef ± 0.03 | |||||||
| PMA | May | BDL | 9.19 de ± 1.12 | BDL | BDL | 1.47 a ± 0.07 | ||||||
| September | BDL | 21.63 b ± 2.47 | BDL | BDL | 0.42 ef ± 0.03 | |||||||
| RA | May | 10.06 c ± 1.09 | 36.38 a ± 1.93 | 10.12 a ± 1.10 | BDL | 0.85 c ± 0.05 | ||||||
| September | BDL | 5.26 ef ± 0.95 | 5.20 b ± 1.00 | 7.79 ± 1.02 | 0.82 cd ± 0.02 | |||||||
| F | p | F | p | F | p | F | p | F | p | |||
| Plant (P) | 20.82 | 0.00 | 0.97 | 0.33 | 12.17 | 0.00 | 0.00 | 0.00 | 1.78 | 0.19 | ||
| Site (S) | 14.99 | 0.00 | 5.38 | 0.01 | 12.17 | 0.00 | 0.00 | 0.00 | 9.68 | 0.00 | ||
| Term (T) | 20.83 | 0.00 | 36.95 | 0.00 | 1.25 | 0.27 | 0.00 | 0.00 | 36.65 | 0.00 | ||
| P × S × T | 0.67 | 0.52 | 23.82 | 0.00 | 1.25 | 0.30 | 0.00 | 0.00 | 7.10 | 0.00 | ||
| Plant | Site | Term | PA | 2,5-DHBA | 4-HBA | VA | CHA | CFA | SGA | CRA | FRA | SNA | CNA | TP | ||||||||||||
|---|---|---|---|---|---|---|---|---|---|---|---|---|---|---|---|---|---|---|---|---|---|---|---|---|---|---|
| P. major | SRA | May | 140.95 c ± 12.51 | 357.22 d ± 14.94 | 81.50 e ± 6.69 | 25.07 f ± 4.13 | 343.86 d ± 31.11 | BDL | BDL | BDL | 100.64 c ± 6.24 | 20.10 e ± 2.06 | 33.00 c ± 3.52 | 10.05 cd ± 0.54 | ||||||||||||
| September | BDL | 304.39 d ± 10.27 | 78.60 ef ± 4.33 | 17.58 f ± 2.98 | 118.12 e ± 6.23 | BDL | BDL | BDL | 25.30 e ± 2.43 | 142.92 d ± 20.83 | BDL | 1.22 f ± 0.12 | ||||||||||||||
| PMA | May | 721.06 a ± 78.42 | 902.31 b ± 45.65 | 685.49 a ± 51.54 | 31.40 f ± 5.76 | 1041.69 b ± 67.83 | 100.72 b ± 9.25 | 71.85 de ± 6.42 | 2617.68 a ± 181. | 104.35 c ± 8.38 | 168.80 cd ± 10.55 | 102.99 a ± 9.42 | 25.06 a ± 0.88 | |||||||||||||
| May | BDL | 697.10 c ± 38.64 | 374.21 b ± 20.06 | 181.67 d ± 8.41 | 1149.39 a ± 61.80 | BDL | 128.21 d ± 5.92 | 1451.76 b ± 37.0 | 59.77 d ± 4.03 | 174.92 cd ± 10.83 | 90.27 b ± 9.12 | 10.84 c ± 1.11 | ||||||||||||||
| RA | May | BDL | 991.90 a ± 18.80 | 205.22 d ± 5.97 | 291.81 c ± 12.10 | 20.53 ef ± 3.76 | BDL | 43.18 ef ± 4.30 | 1172.67 c ± 72.2 | 46.71 de ± 3.95 | 199.89 bc ± 20.42 | BDL | 6.16 f ± 0.13 | |||||||||||||
| September | BDL | 926.13 b ± 22.54 | 268.75 c ± 20.04 | 392.62 b ± 8.94 | 35.15 ef ± 2.15 | BDL | 65.59 e ± 2.56 | 1464.68 b ± 38.8 | 40.77 de ± 1.94 | 223.84 b ± 9.64 | BDL | 6.72 ef ± 0.18 | ||||||||||||||
| T. officinale | SRA | May | 253.79 b ± 39.64 | BDL | 203.70 d ± 39.64 | 186.76 d ± 26.33 | 608.43 c ± 52.53 | 184.43 a ± 31.40 | 448.85 a ± 51.27 | 117.24 d ± 5.47 | 39.02 de ± 4.95 | 308.43 a ± 38.06 | BDL | 13.99 b ± 1.128 | ||||||||||||
| May | BDL | BDL | 20.09 f ± 4.10 | 624.32 a ± 18.63 | BDL | BDL | 29.83 ef ± 4.61 | BDL | BDL | BDL | BDL | 1.26 f ± 0.15 | ||||||||||||||
| PMA | May | BDL | BDL | BDL | BDL | 40.17 ef ± 2.34 | BDL | 304.95 b ± 12.09 | BDL | 127.06 b ± 15.96 | 152.35 ± 12.77 | 36.19 c ± 5.02 | 8.47 de ± 0.75 | |||||||||||||
| May | BDL | BDL | BDL | BDL | 74.52 ef ± 7.94 | BDL | 215.63 c ± 28.45 | BDL | BDL | BDL | BDL | 1.86 f ± 0.16 | ||||||||||||||
| RA | May | BDL | BDL | BDL | 103.56 e ± 5.28 | 89.29 ef ± 3.81 | 36.62 c ± 4.44 | 309.42 b ± 31.24 | 85.20 d ± 7.41 | 261.39 a ± 16.57 | 39.78 e ± 6.86 | BDL | 6.79 ef ± 0.40 | |||||||||||||
| September | 15.53 d ± 2.16 | BDL | BDL | 18.95 f ± 2.39 | 77.05 ef ± 4.24 | BDL | 15.57 ef ± 2.77 | BDL | BDL | BDL | BDL | 1.86 f ± 0.27 | ||||||||||||||
| F | p | F | p | F | p | F | p | F | p | F | p | F | p | F | p | F | p | F | p | F | p | F | p | |||
| Plant (P) | 4.04 | 0.05 | 184.48 | 0.00 | 29.03 | 0.00 | 0.00 | 0.98 | 8.18 | 0.01 | 2.36 | 0.14 | 26.09 | 0.00 | 39.80 | 0.00 | 0.29 | 0.59 | 5.78 | 0.02 | 22.45 | 0.00 | 9.66 | 0.00 | ||
| Site (S) | 4.30 | 0.02 | 13.52 | 0.00 | 5.42 | 0.00 | 3.52 | 0.04 | 8.14 | 0.00 | 2.68 | 0.09 | 1.81 | 0.18 | 11.39 | 0.00 | 3.11 | 0.06 | 0.03 | 0.97 | 28.69 | 0.00 | 7.40 | 0.00 | ||
| Term (T) | 13.94 | 0.00 | 1.11 | 0.30 | 2.53 | 0.12 | 3.28 | 0.08 | 1.18 | 0.29 | 16.85 | 0.00 | 13.24 | 0.00 | 1.09 | 0.31 | 35.91 | 0.00 | 3.78 | 0.06 | 4.17 | 0.05 | 31.62 | 0.00 | ||
| P × S × T | 6.97 | 0.00 | 0.23 | 0.80 | 2.66 | 0.09 | 3.47 | 0.04 | 0.28 | 0.76 | 9.93 | 0.00 | 1.45 | 0.25 | 1.93 | 0.16 | 7.57 | 0.00 | 3.41 | 0.05 | 1.50 | 0.24 | 2.22 | 0.13 | ||
Disclaimer/Publisher’s Note: The statements, opinions and data contained in all publications are solely those of the individual author(s) and contributor(s) and not of MDPI and/or the editor(s). MDPI and/or the editor(s) disclaim responsibility for any injury to people or property resulting from any ideas, methods, instructions or products referred to in the content. |
© 2025 by the authors. Licensee MDPI, Basel, Switzerland. This article is an open access article distributed under the terms and conditions of the Creative Commons Attribution (CC BY) license.
Share and Cite
Gąsecka, M.; Magdziak, Z.; Mocek-Płóciniak, A.; Błońska, E.; Lasota, J. The Influence of Land Use on Seasonal Variation in Soil Properties, Microbial Activity, and Bioactive Acid Accumulation in Taraxacum officinale and Plantago major. Sustainability 2026, 18, 129. https://doi.org/10.3390/su18010129
Gąsecka M, Magdziak Z, Mocek-Płóciniak A, Błońska E, Lasota J. The Influence of Land Use on Seasonal Variation in Soil Properties, Microbial Activity, and Bioactive Acid Accumulation in Taraxacum officinale and Plantago major. Sustainability. 2026; 18(1):129. https://doi.org/10.3390/su18010129
Chicago/Turabian StyleGąsecka, Monika, Zuzanna Magdziak, Agnieszka Mocek-Płóciniak, Ewa Błońska, and Jarosław Lasota. 2026. "The Influence of Land Use on Seasonal Variation in Soil Properties, Microbial Activity, and Bioactive Acid Accumulation in Taraxacum officinale and Plantago major" Sustainability 18, no. 1: 129. https://doi.org/10.3390/su18010129
APA StyleGąsecka, M., Magdziak, Z., Mocek-Płóciniak, A., Błońska, E., & Lasota, J. (2026). The Influence of Land Use on Seasonal Variation in Soil Properties, Microbial Activity, and Bioactive Acid Accumulation in Taraxacum officinale and Plantago major. Sustainability, 18(1), 129. https://doi.org/10.3390/su18010129

