Sign in to use this feature.

Years

Between: -

Subjects

remove_circle_outline
remove_circle_outline
remove_circle_outline
remove_circle_outline
remove_circle_outline
remove_circle_outline
remove_circle_outline
remove_circle_outline
remove_circle_outline

Journals

Article Types

Countries / Regions

remove_circle_outline
remove_circle_outline
remove_circle_outline
remove_circle_outline
remove_circle_outline

Search Results (294)

Search Parameters:
Keywords = polynomial zeros

Order results
Result details
Results per page
Select all
Export citation of selected articles as:
17 pages, 1612 KB  
Article
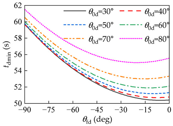
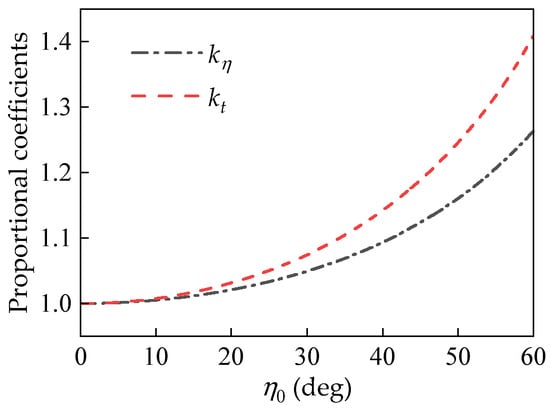
A Flight Path Angle Reconstruction-Based Polynomial Guidance Law with Multiple Constraints
by Hong Liang, Zechen Zhang and Sijiang Chang
Aerospace 2026, 13(4), 386; https://doi.org/10.3390/aerospace13040386 - 20 Apr 2026
Abstract
A novel polynomial guidance law is proposed for flight vehicle terminal guidance, subject to multiple constraints including launch angle, impact angle, impact time, and zero terminal acceleration. This approach reconstructs the flight path angle profile into two components. One component satisfies the constraints. [...] Read more.
A novel polynomial guidance law is proposed for flight vehicle terminal guidance, subject to multiple constraints including launch angle, impact angle, impact time, and zero terminal acceleration. This approach reconstructs the flight path angle profile into two components. One component satisfies the constraints. The other ensures target interception. The constraint-oriented component is formulated as a polynomial function of the relative range-to-go. Based on this reconstruction framework, a new linearization approach is introduced to handle the nonlinear engagement kinematics. A closed-form guidance law is then derived to satisfy multiple constraints, and its convergence is analyzed theoretically. To optimize the control effort, a data-driven method is subsequently incorporated into the framework. Numerical simulation results show that the proposed guidance law achieves multiple constraints with high precision. Compared with existing methods, it also requires less control effort. Specifically, the impact angle error is within 0.02°, and the impact time error is within 0.05 s. Full article
(This article belongs to the Special Issue Flight Guidance and Control)
Show Figures

Figure 1

31 pages, 1361 KB  
Article
Ground User Clustering for Adaptive Multibeam GEO Satellite Networks
by Heba Shehata, Hazer Inaltekin and Iain B. Collings
Sensors 2026, 26(8), 2384; https://doi.org/10.3390/s26082384 - 13 Apr 2026
Viewed by 248
Abstract
This paper considers geometry-aware ground user clustering and Cluster Center Optimization for beam pointing and scheduling in adaptive multibeam Geostationary Earth Orbit (GEO) satellite networks. By grouping ground users, beams can be directed toward user clusters to maximize satellite throughput. We propose GeoClust, [...] Read more.
This paper considers geometry-aware ground user clustering and Cluster Center Optimization for beam pointing and scheduling in adaptive multibeam Geostationary Earth Orbit (GEO) satellite networks. By grouping ground users, beams can be directed toward user clusters to maximize satellite throughput. We propose GeoClust, a polynomial-time geometric user clustering algorithm for adaptive multibeam GEO satellite networks, using a geometric set-cover approach that explicitly balances link signal-to-interference-plus-noise ratio (SINR) and hopping overhead. The algorithm employs a Boyle–Dykstra projection-based cluster center update within an alternating optimization framework, combined with nearest-center membership updates, to enforce the cluster-radius constraint while ensuring feasibility and provable convergence. It also achieves near-linear throughput scaling with increasing number of RF chains. Numerical evaluations on real-world population data show that, under heavy traffic conditions, our approach more than doubles the zero outage and median user rates compared to benchmark schemes. Full article
(This article belongs to the Special Issue Feature Papers in Communications Section 2025–2026)
Show Figures

Figure 1

15 pages, 265 KB  
Article
Zeros of Quaternionic Polynomials with Incomplete Monotonicity Conditions on the Coefficients
by Robert Gardner and Luke Herrell
Mathematics 2026, 14(8), 1279; https://doi.org/10.3390/math14081279 - 12 Apr 2026
Viewed by 163
Abstract
The classical Eneström–Kakeya Theorem restricts the location of the complex zeros of polynomials with real, positive, monotone increasing coefficients. That is, for p(z)=v=0navzv, where [...] Read more.
The classical Eneström–Kakeya Theorem restricts the location of the complex zeros of polynomials with real, positive, monotone increasing coefficients. That is, for p(z)=v=0navzv, where 0a0a1an, the zeros of p lie in the unit disk |z|1 in the complex plane. Following the introduction of an analytic theory of functions of a quaternionic variable, this result was extended to polynomials of a quaternionic variable. Numerous generalizations of both the complex and quaternionic versions of the Eneström–Kakeya Theorem have appeared which modify the monotonicity condition and extend results to complex and quaternionic coefficients. We give a related theorem which generalizes several of the known results and includes them as corollaries. We impose a type-of-monotonicity condition on some of the real and imaginary parts of the coefficients of the polynomial. Full article
7 pages, 1070 KB  
Proceeding Paper
Solving the k-Hitting Set Problem with Dicke State Quantum Search
by Jehn-Ruey Jiang
Eng. Proc. 2026, 134(1), 38; https://doi.org/10.3390/engproc2026134038 - 10 Apr 2026
Viewed by 200
Abstract
An algorithm called Dicke state quantum search for the hitting set problem (DSQS-HSP), generates quantum circuits to solve the k-hitting set problem (k-HSP), by initializing the working qubits in an n-qubit Dicke state Dkn of exactly k [...] Read more.
An algorithm called Dicke state quantum search for the hitting set problem (DSQS-HSP), generates quantum circuits to solve the k-hitting set problem (k-HSP), by initializing the working qubits in an n-qubit Dicke state Dkn of exactly k qubits in 1. The quantum circuit reduces the search space size from 2n to D = nk, the number of symmetric superposition states in Dkn. A quantum-flag oracle checks the hitting condition, and a mirror-readout mechanism projects valid solutions to the output register. The circuit yields two outcome types: the all-zero string with probability (D−M)/D and solution strings, each with probability 1/D, where M is the number of solutions. The resource growth of qubits, gates, circuit depth, and circuit execution repetitions is O(nk), which remains polynomial in the best case for min(k, nk) ≪ n/2. Experimental results using IBM Qiskit Aer Simulator confirm that the DSQS-HSP can produce quantum circuits to successfully solve the k-HSP. Full article
Show Figures

Figure 1

24 pages, 1435 KB  
Article
Fractional Extension of Gould–Hopper–Bell Polynomials Related to Apostol-Type Polynomials and Their Properties
by Rabeb Sidaoui, Abdulghani Muhyi, Khaled Aldwoah, Khidir Shaib Mohamed, Alawia Adam, Manal Y. A. Juma and Amer Alsulami
Fractal Fract. 2026, 10(4), 244; https://doi.org/10.3390/fractalfract10040244 - 7 Apr 2026
Viewed by 217
Abstract
This study uses a fractional operator technique to analyze a novel class of special polynomials. These polynomials are designated as fractional Gould–Hopper–Bell–Apostol-type polynomials. We first define the operational expression of the Apostol-type Gould–Hopper–Bell polynomials and then use a suitable fractional operator to generate [...] Read more.
This study uses a fractional operator technique to analyze a novel class of special polynomials. These polynomials are designated as fractional Gould–Hopper–Bell–Apostol-type polynomials. We first define the operational expression of the Apostol-type Gould–Hopper–Bell polynomials and then use a suitable fractional operator to generate a new fractional version of these polynomials. The accompanying generating function, series definition, and summation formulas are also derived. Furthermore, certain symmetry identities and monomiality results are investigated. The study also identifies specific members of this fractional family, such as fractional Gould–Hopper–Bell–Apostol–Bernoulli polynomials, fractional Gould–Hopper–Bell–Apostol–Euler polynomials, and fractional Gould–Hopper–Bell–Apostol–Genocchi polynomials, and finds similar results for each. The study makes use of Mathematica to display computational results, zero distributions, and graphical demonstrations for a specific case of the established class. Full article
(This article belongs to the Section General Mathematics, Analysis)
Show Figures

Figure 1

11 pages, 243 KB  
Article
Spatial Asymptotics and Polynomial Decay for Nonlinear Parabolic Equations in R3 Exterior Region
by Jincheng Shi and Yiwu Lin
Axioms 2026, 15(3), 234; https://doi.org/10.3390/axioms15030234 - 20 Mar 2026
Viewed by 217
Abstract
This paper investigates the spatial asymptotic behavior of solutions to a class of nonlinear parabolic equations defined on an exterior region in R3. By constructing a suitable weighted energy functional and employing a fractional-order differential inequality technique, we establish a sharp [...] Read more.
This paper investigates the spatial asymptotic behavior of solutions to a class of nonlinear parabolic equations defined on an exterior region in R3. By constructing a suitable weighted energy functional and employing a fractional-order differential inequality technique, we establish a sharp Phragmén–Lindelöf type alternative: the solution either ceases to exist at a finite radial distance or decays to zero as the radial variable r when the power p>2. In the decay case, we derive explicit polynomial type decay estimates. The analysis is conducted in unbounded exterior domains where traditional compactness arguments are not applicable, extending previous studies on semi-infinite cylinders to more complex geometric settings. Our results reveal distinct spatial behaviors compared to those observed in linear or differently nonlinear parabolic problems and can be seen as a version of Saint-Venant principle in exterior regions. Full article
19 pages, 446 KB  
Article
Convergence Analysis of Wang–Zheng-Type Iterative Methods for the Simultaneous Approximation of Multiple Zeros
by Maria T. Vasileva and Slav I. Cholakov
Axioms 2026, 15(3), 232; https://doi.org/10.3390/axioms15030232 - 20 Mar 2026
Viewed by 271
Abstract
This paper studies a new family of iterative methods for the simultaneous approximation of polynomial zeros with known multiplicities. The methods are obtained by combining the Wang–Zheng iteration function with an arbitrary iteration function. This approach leads to a class of methods referred [...] Read more.
This paper studies a new family of iterative methods for the simultaneous approximation of polynomial zeros with known multiplicities. The methods are obtained by combining the Wang–Zheng iteration function with an arbitrary iteration function. This approach leads to a class of methods referred to as Wang–Zheng-type methods with correction for multiple zeros. A local convergence analysis is developed for a wide class of iteration functions. The analysis describes the conditions under which the proposed methods converge locally. Several known iterative methods are examined as special cases of the general results. In particular, the family constructed by Kyurkchiev and Andreev (1990) is included. For every positive integer N, the N-th method of this family has convergence order 3N+1. The main local convergence theorem extends, complements and improves earlier results by Wang and Wu (1987) and by Kyurkchiev and Andreev (1990). Full article
(This article belongs to the Section Mathematical Analysis)
Show Figures

Figure 1

15 pages, 353 KB  
Article
Dynamic Multi-Key Block Binary Ring-Compact Bootstrapping
by Qiwei Xiao and Ruwei Huang
Mathematics 2026, 14(6), 1045; https://doi.org/10.3390/math14061045 - 19 Mar 2026
Viewed by 215
Abstract
Multi-Key Fully Homomorphic Encryption (MK-FHE) is essential for secure multi-party computation but currently faces significant scalability bottlenecks due to linear computational growth and low bootstrapping throughput. To address these limitations, we propose DMBB-RCB, a novel fully homomorphic, bit-wise Dynamic Multi-Key Block-Binary Ring-Compact Bootstrapping [...] Read more.
Multi-Key Fully Homomorphic Encryption (MK-FHE) is essential for secure multi-party computation but currently faces significant scalability bottlenecks due to linear computational growth and low bootstrapping throughput. To address these limitations, we propose DMBB-RCB, a novel fully homomorphic, bit-wise Dynamic Multi-Key Block-Binary Ring-Compact Bootstrapping scheme. Our contribution is threefold. First, we integrate the Block Binary Distribution into the dynamic setting, reducing the complexity of the core blind rotation operation from O(P⋅n) to O(p⋅k) (where k ≪ n) by leveraging key sparsity. Second, we implement an amortized ring packing strategy that aggregates multiple Learning with Errors (LWE) ciphertexts into the coefficients of a single Ring Learning with Errors (RLWE) polynomial, enabling the parallel refreshing of messages. Third, we introduce a Ring-Compact extraction architecture that natively translates RLWE states into Multi-Key Regev–Gentry–Sahai–Waters (RGSW) ciphertexts via scheme switching. Unlike traditional pipelines that suffer from severe network latency due to interactive multi-party key-switching after each bootstrapping, our architecture keeps the data entirely within the ring domain. This completely eliminates intermediate interaction rounds, enabling depth-unbounded homomorphic evaluations with zero interaction between participants during the computation phase (interaction is strictly reserved for the final joint decryption step). The proposed scheme supports the dynamic addition of participants without parameter re-generation. Theoretical analysis confirms that DMBB-RCB significantly reduces latency and enhances throughput compared to existing dynamic MKHE solutions. Full article
(This article belongs to the Section E1: Mathematics and Computer Science)
10 pages, 258 KB  
Article
Analytic Aspects of Weighted Delannoy Numbers
by Lei Chen, Yu-Yang Zhang and Hao Pan
Mathematics 2026, 14(6), 1039; https://doi.org/10.3390/math14061039 - 19 Mar 2026
Viewed by 225
Abstract
The weighted Delannoy number D(a,b,c)(h,k) is a weighted generalization of the Delannoy number. We show that all zeros of the polynomial [...] Read more.
The weighted Delannoy number D(a,b,c)(h,k) is a weighted generalization of the Delannoy number. We show that all zeros of the polynomial dn(a,b,c)(x):=k=0nD(a,b,c)(nk,k)xk are real, distinct and lying in the open interval ((ab+c+c)2b2,(ab+cc)2b2). Using this result, we also discuss the asymptotic normality of D(a,b,c)(nk,k). Full article
13 pages, 280 KB  
Article
More Symmetrical Solutions of Quadratic Equations: The Accompanying Variables Method
by Wolf-Dieter Richter
Symmetry 2026, 18(3), 421; https://doi.org/10.3390/sym18030421 - 28 Feb 2026
Viewed by 293
Abstract
For polynomials of degree two that have no zeros, the method of accompanying variables is developed and zeros of associated vector polynomials are determined. Our flexible method uses a wide variety of possible vector-valued vector squaring methods and can be adopted to a [...] Read more.
For polynomials of degree two that have no zeros, the method of accompanying variables is developed and zeros of associated vector polynomials are determined. Our flexible method uses a wide variety of possible vector-valued vector squaring methods and can be adopted to a wide variety of application situations. Known solutions are made much more precise by replacing the imaginary component and supplemented by introducing a whole class of new symmetric vector solutions. Circular, generalized circular and hyperbolic solutions are considered. As an application, we describe the way from considering complex signals to considering vector signals. Anyone who follows the approach of this work and considers equations of third or higher degree will come across further conclusions for the imaginary numbers usually used there. Full article
15 pages, 330 KB  
Article
The Second Immanantal Polynomial for the Signless Laplacian Matrix of a Graph
by Yafan Geng and Tingzeng Wu
Axioms 2026, 15(2), 153; https://doi.org/10.3390/axioms15020153 - 19 Feb 2026
Viewed by 266
Abstract
The second immanantal polynomial is one of the important directions in algebraic theory. Let M=[mij] be an n×n matrix. The second immanant of matrix M is defined as [...] Read more.
The second immanantal polynomial is one of the important directions in algebraic theory. Let M=[mij] be an n×n matrix. The second immanant of matrix M is defined as d2(M)=σSnχ(σ)i=1nmiσ(i), where χ is the irreducible character of the symmetric group Sn of degree n, corresponding to the partition (21,1n2). Let G be a graph with n vertices. Denote by Q(G) the signless Laplacian matrix of G. The second signless Laplacian immanantal polynomial of G is defined as d2(xIQ(G))=k=0n(1)kck(G)xnk, where ck(G) is the coefficient of this polynomial. This paper investigates fundamental properties of this polynomial. First, we give combinatorial expressions for the first few coefficients of the second signless Laplacian immanantal polynomial. Next, we prove that the polynomial has no zero or negative real roots for connected graphs. Furthermore, we show that there is an equivalence relation among three polynomials for regular graphs, which implies that if two regular graphs share the same characteristic polynomial, then they also share the same second signless Laplacian immanantal polynomial. Finally, we prove that paths and almost complete graphs are determined by their second signless Laplacian immanantal polynomials. Full article
Show Figures

Figure 1

24 pages, 742 KB  
Article
Hybrid Poly Commitments for Scalable Binius Zero-Knowledge Proofs in Federated Learning
by Hasina Andriambelo, Hery Zo Andriamanohisoa and Naghmeh Moradpoor
Electronics 2026, 15(3), 500; https://doi.org/10.3390/electronics15030500 - 23 Jan 2026
Viewed by 369
Abstract
Federated learning enables collaborative model training without sharing raw data, but practical deployments increasingly require verifiable guarantees that clients compute updates correctly. Zero-knowledge proofs can provide such guarantees, yet existing approaches face scalability limits due to the combined cost of polynomial commitments and [...] Read more.
Federated learning enables collaborative model training without sharing raw data, but practical deployments increasingly require verifiable guarantees that clients compute updates correctly. Zero-knowledge proofs can provide such guarantees, yet existing approaches face scalability limits due to the combined cost of polynomial commitments and fast Fourier transform (FFT) intensive verification. Pairing-based schemes offer compact proofs but incur high prover and verifier overhead, while hash-based constructions reduce algebraic cost at the expense of rapidly growing proof sizes. This paper proposes Hybrid-Commit, a polynomial commitment architecture for Binius zero-knowledge proofs that aligns cryptographic primitives with the algebraic structure of federated learning workloads. The scheme separates verification into additive and multiplicative phases: linear aggregation is handled using batched additive commitments optimized for binary fields, while non-linear constraints are verified via hash-based commitments over sparsely selected FFT domains. Proofs from multiple clients are combined through recursive aggregation while preserving non-interactivity. Experiments demonstrate scalability in prover time and proof size (near-constant prover time across 4–11 clients; 160 bytes per client representing 341× and 813× reductions vs. FRI-PCS and Orion), although verification time (762 ms per client) does not scale favorably, making the scheme suitable for bandwidth-constrained scenarios. The scheme achieves under 2% end-to-end training overhead with no impact on model accuracy, indicating that workload-aware commitment design can improve specific scalability dimensions of zero-knowledge verification in federated learning systems. Full article
Show Figures

Figure 1

14 pages, 1255 KB  
Article
Real-Time Control of Six-DOF Serial Manipulators via Learned Spherical Kinematics
by Meher Madhu Dharmana and Pramod Sreedharan
Robotics 2026, 15(1), 27; https://doi.org/10.3390/robotics15010027 - 21 Jan 2026
Viewed by 487
Abstract
Achieving reliable and real-time inverse kinematics (IK) for 6-degree-of-freedom (6-DoF) spherical-wrist manipulators remains a significant challenge. Analytical formulations often struggle with complex geometries and modeling errors, and standard numerical solvers (e.g., Levenberg–Marquardt) can stall near singularities or converge slowly. Purely data-driven approaches may [...] Read more.
Achieving reliable and real-time inverse kinematics (IK) for 6-degree-of-freedom (6-DoF) spherical-wrist manipulators remains a significant challenge. Analytical formulations often struggle with complex geometries and modeling errors, and standard numerical solvers (e.g., Levenberg–Marquardt) can stall near singularities or converge slowly. Purely data-driven approaches may require large networks and struggle with extrapolation. In this paper, we propose a low-latency, polynomial-based IK solution for spherical-wrist robots. The method leverages spherical coordinates and low-degree polynomial fits for the first three (positional) joints, coupled with a closed-form analytical solver for the final three (wrist) joints. An iterative partial-derivative refinement adjusts the polynomial-based angle estimates using spherical-coordinate errors, ensuring near-zero final error without requiring a full Jacobian matrix. The method systematically enumerates up to eight valid IK solutions per target pose. Our experiments against Levenberg–Marquardt, damped least-squares, and an fmincon baseline show an approximate 8.1× speedup over fmincon while retaining higher accuracy and multi-branch coverage. Future extensions include enhancing robustness through uncertainty propagation, adapting the approach to non-spherical wrists, and developing criteria-based automatic solution-branch selection. Full article
(This article belongs to the Section Intelligent Robots and Mechatronics)
Show Figures

Figure 1

16 pages, 291 KB  
Article
Normal Criterion for Families of Meromorphic Functions and Shared Functions
by Ai Huang and Jinhua Yang
Mathematics 2026, 14(2), 353; https://doi.org/10.3390/math14020353 - 20 Jan 2026
Viewed by 333
Abstract
This paper broadens the scope of existing research: the shared value is generalized from a non-zero finite complex number to a non-identically zero holomorphic function, the order of the derivative is extended from the first order to an arbitrary k-th order, and [...] Read more.
This paper broadens the scope of existing research: the shared value is generalized from a non-zero finite complex number to a non-identically zero holomorphic function, the order of the derivative is extended from the first order to an arbitrary k-th order, and the constraint condition on the polynomial H is simplified to degH2. A more general normality criterion for families of meromorphic functions involving the sharing of differential polynomials is proved. Let D be a domain, F be a family of meromorphic functions in D, and P(z) be a non-identically zero holomorphic function in D. If for any f,gF, the differential polynomials H(f)f(k) and H(g)g(k) share P(z) in D, then F is normal in D. Full article
(This article belongs to the Section C4: Complex Analysis)
17 pages, 313 KB  
Article
On the Structure of Weyl-Type, Witt-Type, and Non-Associative Algebras over Expolynomial Rings
by Supriya Sharma, R. S. Raja Durai and Ki-Bong Nam
Mathematics 2026, 14(2), 344; https://doi.org/10.3390/math14020344 - 20 Jan 2026
Viewed by 289
Abstract
This paper introduces a generalized class of Weyl-type, Witt-type, and non-associative algebras constructed over an exponential–polynomial (expolynomial) framework. For fixed scalars ι1,,ιrA and for fixed integers [...] Read more.
This paper introduces a generalized class of Weyl-type, Witt-type, and non-associative algebras constructed over an exponential–polynomial (expolynomial) framework. For fixed scalars ι1,,ιrA and for fixed integers p=(p1,,pn)Nn, we define the F-algebra Fe±xpeιx,eAx,xA, an expolynomial ring over a field F of characteristic zero, where A is an additive subgroup of F containing Z. This formulation extends the classical Weyl algebra through the integer power parameter p, which generates a family of non-isomorphic simple algebras. The corresponding Weyl-type algebra AF[e±xpeιx,eAx,xA], the Witt-type Lie algebra WF[e±xpeιx,eAx,xA], and their non-associative variants are examined in detail. The simplicity, grading, and automorphism structures of these algebras are established, and the dependence of these properties on the deformation parameter p is analyzed. All the constructed Weyl-type algebras, the corresponding Witt-type Lie algebras, and the non-associative algebras are shown to be simple under derivation structures. Many naturally occurring subalgebras, such as the integer-coefficient subalgebra AZ[e±xpeιx,eAx,xA], are also proven to be simple. Our analysis reveals that different choices of p result in non-isomorphic algebraic structures while retaining non-commutativity. The results obtained generalize several existing constructions of Weyl-type algebras and lay the theoretical foundation for further developments in transcendental and non-commutative algebraic frameworks. Full article
(This article belongs to the Section A: Algebra and Logic)
Back to TopTop