Sign in to use this feature.

Years

Between: -

Subjects

remove_circle_outline
remove_circle_outline
remove_circle_outline
remove_circle_outline

Journals

Article Types

Countries / Regions

Search Results (27)

Search Parameters:
Keywords = polyhedral oligomeric silsesquioxanes component

Order results
Result details
Results per page
Select all
Export citation of selected articles as:
22 pages, 1029 KB  
Review
Thermo-Oxidative Decomposition and Ageing of Polymer/POSS Hybrids and Nanocomposites—Failure Predictions and Lifetime Design for Circular End-of-Life Planning
by Tomasz M. Majka, Artur Bukowczan, Radosław Piech and Krzysztof Pielichowski
Materials 2026, 19(1), 95; https://doi.org/10.3390/ma19010095 - 26 Dec 2025
Viewed by 185
Abstract
In recent years, hybrid polymer/POSS (Polyhedral Oligomeric Silsesquioxane) systems have attracted particular attention, combining the advantages of organic and inorganic components. This paper reports on the thermal and thermo-oxidative degradation and weathering processes of these materials, as well as their impact on mechanical, [...] Read more.
In recent years, hybrid polymer/POSS (Polyhedral Oligomeric Silsesquioxane) systems have attracted particular attention, combining the advantages of organic and inorganic components. This paper reports on the thermal and thermo-oxidative degradation and weathering processes of these materials, as well as their impact on mechanical, chemical, and morphological properties. The paper discusses the physical and chemical changes occurring during degradation, the mechanisms of autoxidation, and the influence of environmental factors such as UV radiation, temperature, and humidity. Particular attention is paid to the role of POSS nanoparticles in polymer stabilization—their barrier function, free radical scavenging, and oxygen diffusion limitation. Methods for analyzing ageing processes are presented, including thermogravimetry coupled with infra-red spectroscopy (TG-FTIR), mechanical property testing, and yellowness index assessment. Material durability prediction models and their importance in designing composite lifespans in the context of the circular economy are also discussed. It is demonstrated that the appropriate type and concentration of POSS (typically 2–6 wt.%) can significantly improve polymer composites’ resistance to heat, radiation, and oxidizing agents, extending their service life and enabling more sustainable lifecycle management of products. Full article
Show Figures

Figure 1

18 pages, 2191 KB  
Article
Low-Temperature Glass 3D Printing via Two-Photon and Single-Photon Polymerization of Oligo-Silsesquioxanes
by Liyuan Chen, Masaru Mukai, Yuki Hatta, Shoma Miura and Shoji Maruo
Polymers 2025, 17(23), 3204; https://doi.org/10.3390/polym17233204 - 1 Dec 2025
Viewed by 586
Abstract
Recent advances in 3D printing of silica glass have highlighted the limitations of conventional stereolithography (SLA), which requires high-temperature sintering (≈1000 °C) and often uses slurry-based materials. To address these limitations, a sinterless approach using polyhedral oligomeric silsesquioxane (POSS)-based resin has gained attention, [...] Read more.
Recent advances in 3D printing of silica glass have highlighted the limitations of conventional stereolithography (SLA), which requires high-temperature sintering (≈1000 °C) and often uses slurry-based materials. To address these limitations, a sinterless approach using polyhedral oligomeric silsesquioxane (POSS)-based resin has gained attention, as it can form transparent fused silica at only 650 °C. However, previous POSS-based systems suffered from high shrinkage owing to the addition of organic monomers. In this study, a novel low-viscosity polymerizable POSS resin was synthesized without additional monomers, maintaining its sinterless properties while reducing shrinkage. Experimental results showed that our POSS resin has a silica content of 41%, with a shrinkage rate of only 36 ± 1%, which effectively reduced cracking and warping when calcinating large-volume models. It was demonstrated that this resin can be applied not only to high-resolution glass 3D printing with sub-200 nm line widths using two-photon polymerization, but also to low-cost glass 3D printing using single-photon polymerization. The 3D-printed objects can be converted into silica glass structures at significantly lower temperatures than traditional sintering, offering a promising route for efficient and precise glass manufacturing. Potential applications of our POSS resin include the production of multi-scale devices, such as microfluidic devices and optical components, and hybrid processing with semiconductors and MEMS and photonic devices. Full article
(This article belongs to the Special Issue Polymer Microfabrication and 3D/4D Printing)
Show Figures

Graphical abstract

16 pages, 4611 KB  
Article
High-Transparency, Long-Life Fluorinated POSS-Based Liquid-like Coating for Anti-Icing Glass Applications
by Wudi Zhang, Zian Wang, Zhixuan Zhao, Xuan Zhou, Lixin Wu and Zixiang Weng
Coatings 2025, 15(7), 745; https://doi.org/10.3390/coatings15070745 - 23 Jun 2025
Cited by 1 | Viewed by 1016
Abstract
Anti-icing glass is particularly important for applications where ice formation can pose safety risks or impair functionality. The challenge of anti-icing modification for glass lies in maintaining water repellency while addressing the issue of transparency and durability. In this work, leveraging the robustness [...] Read more.
Anti-icing glass is particularly important for applications where ice formation can pose safety risks or impair functionality. The challenge of anti-icing modification for glass lies in maintaining water repellency while addressing the issue of transparency and durability. In this work, leveraging the robustness and wear resistance of inorganic/organic composite materials, a highly transparent coating, with strong adhesive properties to glass substrates and repellency to liquids has been developed. Briefly, 3-glycidoxypropyl polyhedral oligomeric silsesquioxane (GPOSS) is employed as a precursor to fabricate a high-strength, high-transparency coating through modification with acrylic acid and perfluorooctyl acrylate. The inorganic component imparts strength and wear resistance to the coating, while the organic component provides hydrophobic and near oleophobic features. Furthermore, a custom-built mechanical test instrument evaluated the absolute value of the de-icing shear force. The results reveal that at −20 °C, the fluorinated modified coating only exhibit a minimum de-icing pressure of 40.3 kPa, which is 75% lower than the unmodified glass substrate. As-prepared coating exhibits a transmittance of up to 99% and can endure a high-pressure water impact of 30 kPa for 1 min without cracking. Compared to existing anti-icing coating methods, the core innovation of the fluorinated GPOSS-based coating developed in this study lies in its inorganic/organic composite structure, which simultaneously achieves high transparency, mechanical durability, and enhanced anti-icing performance. Full article
(This article belongs to the Section Surface Characterization, Deposition and Modification)
Show Figures

Figure 1

19 pages, 3123 KB  
Article
Giant Chemo-Resistive Response of POSS Nano-Spacers in PS- and PMMA-Based Quantum Resistive Vapour Sensors (vQRS) Used for Cancer Biomarker Analysis
by Abhishek Sachan, Mickaël Castro, Veena Choudhary and Jean-François Feller
Chemosensors 2025, 13(7), 226; https://doi.org/10.3390/chemosensors13070226 - 21 Jun 2025
Cited by 1 | Viewed by 886
Abstract
The detection of volatile organic compound (VOC) biomarkers from the volatolome for the anticipated diagnosis of severe diseases such as cancers is made difficult due to the presence of high quantities of H2O in the collected samples. It has been shown [...] Read more.
The detection of volatile organic compound (VOC) biomarkers from the volatolome for the anticipated diagnosis of severe diseases such as cancers is made difficult due to the presence of high quantities of H2O in the collected samples. It has been shown that water molecules tend to compete or combine themselves with analytes, which requires either their removal or the development of more sensitive and discriminant sensors. In this later prospect, a positive effect of poly(hedral oligomeric silsesquioxanes) (POSS) is sought out to enhance the sensitivity of carbon nanotube-based quantum resistive vapour sensors (vQRS). POSS, once copolymerized with methyl methacrylate or styrene, can be used as nano-spacers amplifying the disconnection of the nano-junctions due to swelling of the polymer upon the diffusion of VOC. The amplitude of this phenomenon, which is at the origin of the chemo-resistive behaviour of vQRS, was compared with that of homologue transducers made of poly(styrene) (PS) and poly(methyl methacrylate) (PMMA)-coated carbon nanotube (CNT) random networks. The presence of POSS in PS-based sensors has enhanced their sensitivity by 213 times for toluene, by 268 times for acetone, by 4 times for ethanol, and by 187 times for cyclohexane. Similarly, the presence of POSS in PMMA chains increases the sensitivity of sensors to cyclohexane by 10 times, to ethanol by 45 times, to toluene by 244 times, and to acetone and butanone by 4 times. All transducers were made by spray layer by layer (sLbL) to obtain a hierarchically structured conducting architecture. The transducers’ surface was characterized by scanning electron microscopy (SEM) and atomic force microscopy (AFM) to observe the CNT coating and dispersion level in the matrix. All sensors were tested with twenty-one VOC part of lung and skin cancer biomarkers by using a dynamic vapour analysis (DVA). The vQRS based on POSS copolymers demonstrated much larger chemo-resistive responses (AR) than the sensors based only on pure polymers and were found to be very selective towards cyclohexane and hexene-1. The PMMA-co-POSS/CNT sensor was able to detect down to 12 ppm of VOC with a very high signal-to-noise ratio (SNR) and to discriminate six VOC among them all with a PCA (principal component analysis) projection. Full article
Show Figures

Figure 1

22 pages, 12585 KB  
Article
Preparation and Characterization of Atomic Oxygen-Resistant, Optically Transparent and Dimensionally Stable Copolyimide Films from Fluorinated Monomers and POSS-Substituted Diamine
by Zhenzhong Wang, Xiaolei Wang, Shunqi Yuan, Xi Ren, Changxu Yang, Shujun Han, Yuexin Qi, Duanyi Li and Jingang Liu
Polymers 2024, 16(19), 2845; https://doi.org/10.3390/polym16192845 - 9 Oct 2024
Cited by 5 | Viewed by 1942
Abstract
Optically transparent polyimide (PI) films with good atomic oxygen (AO) resistance have been paid extensive attention as thermal controls, optical substrates for solar cells or other components for low Earth orbit (LEO) space applications. However, for common PI films, it is usually quite [...] Read more.
Optically transparent polyimide (PI) films with good atomic oxygen (AO) resistance have been paid extensive attention as thermal controls, optical substrates for solar cells or other components for low Earth orbit (LEO) space applications. However, for common PI films, it is usually quite difficult to achieve both high optical transparency and AO resistance and maintain the intrinsic thermal stability of the PI films at the same time. In the current work, we aimed to achieve the target by using the copolymerization methodology using the fluorinated dianhydride 9,9-bis(trifluoromethyl)xanthene-2,3,6,7-tetracarboxylic dianhydride (6FCDA), the fluorinated diamine 2,2-bis [4-(4-aminophenoxy)phenyl]hexafluoropropane (BDAF) and the polyhedral oligomeric silsesquioxane (POSS)-containing diamine N-[(heptaisobutyl-POSS)propyl]-3,5-diaminobenzamide (DABA-POSS) as the starting materials. The fluoro-containing monomers were used to endow the PI films with good optical and thermal properties, while the silicon-containing monomer was used to improve the AO resistance of the afforded PI films. Thus, the 6FCDA-based PI copolymers, including 6FCPI-1, 6FCPI-2 and 6FCPI-3, were prepared using a two-step chemical imidization procedure, respectively. For comparison, the analogous PIs, including 6FPI-1, 6FPI-2 and 6FPI-3, were correspondingly developed according to the same procedure except that 6FCDA was replaced by 4,4′-(hexafluoroisopropylidene)diphthalic anhydride (6FDA). Two referenced PI homopolymers were prepared from BDAF and 6FDA (PI-ref1) and 6FCDA (PI-ref2), respectively. The experimental results indicated that a good balance among thermal stability, optical transparency, and AO resistance was achieved by the 6FCDA-PI films. For example, the 6FCDA-PI films exhibited good thermal stability with glass transition temperatures (Tg) up to 297.3 °C, good optical transparency with an optical transmittance at a wavelength of 450 nm (T450) higher than 62% and good AO resistance with the erosion yield (Ey) as low as 1.7 × 10−25 cm3/atom at an AO irradiation fluence of 5.0 × 1020 atoms/cm2. The developed 6FCDA-PI films might find various applications in aerospace as solar sails, thermal control blankets, optical components and other functional materials. Full article
(This article belongs to the Special Issue Polymer Thin Films and Their Applications)
Show Figures

Figure 1

20 pages, 23984 KB  
Review
Hybrid Perovskite-Based Materials Modified with Polyhedral Silsesquioxanes—Structure and Properties
by Anna Kowalewska and Kamila Majewska-Smolarek
Materials 2023, 16(19), 6531; https://doi.org/10.3390/ma16196531 - 1 Oct 2023
Viewed by 2361
Abstract
Polyhedral oligomeric silsesquioxanes (POSS) and hybrid organo-halide perovskites are two important types of hybrid nanoscale frameworks with great potential in materials chemistry. Both are currently under intensive investigation for a wide range of possible applications. Recent results suggest that POSS can be attractive [...] Read more.
Polyhedral oligomeric silsesquioxanes (POSS) and hybrid organo-halide perovskites are two important types of hybrid nanoscale frameworks with great potential in materials chemistry. Both are currently under intensive investigation for a wide range of possible applications. Recent results suggest that POSS can be attractive passivating and structure-controlling agents for perovskite materials. In this review, we present the importance of POSS in engineering the structures of inorganic cesium-halide perovskites CsPbX3 (X = Cl, Br, I) to create a new class of hybrid derivatives with improved properties. The combination of these two components can be an effective strategy for controlling the perovskite crystallization process. In addition, passivation of surface defects/bulk and the engineering of energy and optoelectronic properties of perovskite-based materials can be achieved following this method. In this minireview, we summarized the existing literature reports on the structural specificity and properties of hybrid POSS perovskites. Full article
Show Figures

Graphical abstract

20 pages, 25193 KB  
Review
A Brief Review on Selected Applications of Hybrid Materials Based on Functionalized Cage-like Silsesquioxanes
by Łukasz John and Jolanta Ejfler
Polymers 2023, 15(6), 1452; https://doi.org/10.3390/polym15061452 - 14 Mar 2023
Cited by 24 | Viewed by 4283
Abstract
Rapid developments in materials engineering are accompanied by the equally rapid development of new technologies, which are now increasingly used in various branches of our life. The current research trend concerns the development of methods for obtaining new materials engineering systems and searching [...] Read more.
Rapid developments in materials engineering are accompanied by the equally rapid development of new technologies, which are now increasingly used in various branches of our life. The current research trend concerns the development of methods for obtaining new materials engineering systems and searching for relationships between the structure and physicochemical properties. A recent increase in the demand for well-defined and thermally stable systems has highlighted the importance of polyhedral oligomeric silsesquioxane (POSS) and double-decker silsesquioxane (DDSQ) architectures. This short review focuses on these two groups of silsesquioxane-based materials and their selected applications. This fascinating field of hybrid species has attracted considerable attention due to their daily applications with unique capabilities and their great potential, among others, in biomaterials as components of hydrogel networks, components in biofabrication techniques, and promising building blocks of DDSQ-based biohybrids. Moreover, they constitute attractive systems applied in materials engineering, including flame retardant nanocomposites and components of the heterogeneous Ziegler-Natta-type catalytic system. Full article
Show Figures

Graphical abstract

25 pages, 2403 KB  
Review
Application of Silsesquioxanes in the Preparation of Polyolefin-Based Materials
by Marzena Białek and Krystyna Czaja
Materials 2023, 16(5), 1876; https://doi.org/10.3390/ma16051876 - 24 Feb 2023
Cited by 6 | Viewed by 2553
Abstract
This paper is a review of studies on the use of the polyhedral oligomeric silsesquioxanes (POSS) of various structures in the synthesis of polyolefins and the modification of their properties, namely: (1) components of organometallic catalytic systems for the polymerization of olefins, (2) [...] Read more.
This paper is a review of studies on the use of the polyhedral oligomeric silsesquioxanes (POSS) of various structures in the synthesis of polyolefins and the modification of their properties, namely: (1) components of organometallic catalytic systems for the polymerization of olefins, (2) comonomers in the copolymerization with ethylene, and (3) fillers in composites based on polyolefins. In addition, studies on the use of new silicon compounds, i.e., siloxane–silsesquioxane resins, as fillers for composites based on polyolefins are presented. The authors dedicate this paper to Professor Bogdan Marciniec on the occasion of his jubilee. Full article
Show Figures

Graphical abstract

9 pages, 1937 KB  
Article
Transparent Superhydrophobic Coatings with Mechanical and Chemical Stability Prepared by Modified Polyhedral Oligosilsesquioxanes via UV-Curable Method
by Weibiao Zhu, Yazhou Xu, Jinxin He and Xia Dong
Coatings 2023, 13(3), 498; https://doi.org/10.3390/coatings13030498 - 24 Feb 2023
Cited by 8 | Viewed by 2955
Abstract
Superhydrophobic coating with applicable transmittance was synthesized by simple UV-curable method which was likely suitable for large-scale production. The super-hydrophobicity was derived from the component containing modified polyhedral oligomeric silsesquioxanes which was chosen for low free energy and the potential to form hierarchical [...] Read more.
Superhydrophobic coating with applicable transmittance was synthesized by simple UV-curable method which was likely suitable for large-scale production. The super-hydrophobicity was derived from the component containing modified polyhedral oligomeric silsesquioxanes which was chosen for low free energy and the potential to form hierarchical structure. The coating adhesion could reach the highest level by strip tape peel test. Compared to the UV-cured commercial coatings, the coating adhesion is enhanced by at least two levels. Super-hydrophobicity was preserved after long duration of water droplet impact, while water contact angle decreased slightly after sand impact due to partial damage of hierarchical structure. The coating can resist chemical corrosion by acid solution (HCl), base solution (NaOH) and salt solution (NaCl). The coating with water repellence function, adequate transmittance, and good mechanical and chemical stability is of great interest for practical outdoor applications. Full article
(This article belongs to the Special Issue Novel Coatings for Preventing Marine Biofouling and Corrosion)
Show Figures

Figure 1

12 pages, 1576 KB  
Article
Investigation on Some Algal Extracts as Appropriate Stabilizers for Radiation-Processed Polymers
by Traian Zaharescu and Carmen Mateescu
Polymers 2022, 14(22), 4971; https://doi.org/10.3390/polym14224971 - 16 Nov 2022
Cited by 5 | Viewed by 1701
Abstract
This study presents the appropriate solution, algal extracts, for the improvement of polymer durability when the material is subjected to acute oxidation damage. The investigated support, styrene–isoprene–styrene (SIS), is modified by three algal extracts: Chlorella vulgaris, Spirulina platensis, and Ascophyllum nodosum [...] Read more.
This study presents the appropriate solution, algal extracts, for the improvement of polymer durability when the material is subjected to acute oxidation damage. The investigated support, styrene–isoprene–styrene (SIS), is modified by three algal extracts: Chlorella vulgaris, Spirulina platensis, and Ascophyllum nodosum (Kelp) with a low concentration (1 wt%). The presence of polyhedral oligomeric silsesquioxane (POSS) ensures the growth of stability with respect to the pristine polymer. The thermal performances of the host polymer, indicated by chemiluminescence, reveal the essential contribution of an additive to the improvement in oxidation strength. The stability of the polymer adjusted by algal extracts is proved by the activation energy values, which increase from 49 kJ mol−1 to 89 kJ mol−1 for the same polymer modified with Ascophyllum nodosum. This main important characteristic is the consequence of the highly efficient activity of the polyphenol components of algal extracts and the effect of the three natural additives on the favorably changed kinetic parameters (oxidation induction time and onset oxidation temperature). The exposure of the polymer matrix to the damaging action of γ-rays does not affect the proper contributions to the fast delay in material ageing. The irradiation of 100 kGy, a usual technological dose, may be successfully applied in the radiation processing of a polymer stabilized with algal extracts due to the efficient protection of the additive as the chain-breaking agents. Full article
(This article belongs to the Special Issue Synthesis and Applications of Polymer-Based Green Composites)
Show Figures

Figure 1

37 pages, 14605 KB  
Review
Self-Healing Silsesquioxane-Based Materials
by Maria Nowacka and Anna Kowalewska
Polymers 2022, 14(9), 1869; https://doi.org/10.3390/polym14091869 - 2 May 2022
Cited by 22 | Viewed by 7630
Abstract
This review is devoted to self-healing materials (SHM) containing polyhedral oligomeric silsesquioxanes (POSS) as building blocks. The synthetic approach can vary depending on the role POSS are expected to play in a given system. POSS (especially double-decker silsesquioxanes) can be grafted in side [...] Read more.
This review is devoted to self-healing materials (SHM) containing polyhedral oligomeric silsesquioxanes (POSS) as building blocks. The synthetic approach can vary depending on the role POSS are expected to play in a given system. POSS (especially double-decker silsesquioxanes) can be grafted in side chains of a polymer backbone or used as segments of the main chain. Appropriate functionalization allows the formation of dynamic bonds with POSS molecules and makes them an active component of SHM, both as crosslinking agents and as factors that enhance the dynamics of macromolecules in the polymer matrix. The latter effect can be achieved by reversible release of bulky POSS cages or by the formation of separated inclusions in the polymer matrix through hydrophobic interactions and POSS aggregation. The unique properties of POSS-based self-healing systems make them interesting and versatile materials for various applications (e.g., repairable coatings, sealants, sensors, soft materials for tissue engineering, drug delivery, and wound healing). Full article
Show Figures

Graphical abstract

17 pages, 2080 KB  
Article
Stability Efficiencies of POSS and Microalgae Extracts on the Durability of Ethylene-Propylene-Diene Monomer Based Hybrids
by Traian Zaharescu and Carmen Mateescu
Polymers 2022, 14(1), 187; https://doi.org/10.3390/polym14010187 - 3 Jan 2022
Cited by 6 | Viewed by 1997
Abstract
The EPDM (ethylene-propylene-diene monomer) hybrids with improved thermal and radiation strengths containing 1 and 5 phr of polyhedral oligomeric silsesquioxane (vinyl-POSS, Ov-POSS) and/or 2 phr of microalgae (Chlorella vulgaris (CV) and Spirulinaplatensis (SP)) powders were investigated in [...] Read more.
The EPDM (ethylene-propylene-diene monomer) hybrids with improved thermal and radiation strengths containing 1 and 5 phr of polyhedral oligomeric silsesquioxane (vinyl-POSS, Ov-POSS) and/or 2 phr of microalgae (Chlorella vulgaris (CV) and Spirulinaplatensis (SP)) powders were investigated in respect to their thermal stability after γ-irradiation. The material durability under accelerated degradation was qualified by chemiluminescence and gelation, which prove the contribution of inorganic filler and microalgae extracts on the increase of hybrid thermal stability, as well as the interaction between added components (POSS and CV or SP). The activation energies and the durabilities under accelerated degradation were calculated, indicating their suitable usage as appropriate materials in various applications. The reported results indicate the improvement effect of both microalgal powders on the oxidation strength, but the contribution of Spirulinaplatensis grabs attention on its efficient effects upon the prevention of degradation under accelerated aging conditions. The thermal performances of the tested EPDM based hybrids are remarkably ameliorated, if the certain formulation includes Ov-POSS (5 phr) and Spirulinaplatensis (2 phr), certifying its suitability for the pertinent applications. Full article
(This article belongs to the Special Issue Polymer Composites in Biomedical Applications)
Show Figures

Figure 1

17 pages, 2386 KB  
Article
Stabilization Effects of Natural Compounds and Polyhedral Oligomeric Silsesquioxane Nanoparticles on the Accelerated Degradation of Ethylene-Propylene-Diene Monomer
by Traian Zaharescu and Ignazio Blanco
Molecules 2021, 26(15), 4390; https://doi.org/10.3390/molecules26154390 - 21 Jul 2021
Cited by 10 | Viewed by 2637
Abstract
In this work the analysis on the stabilization activities of some natural antioxidants (rosemary extract, capsaicin, quercetin or oleanolic acid) is presented. A similar contribution of an inorganic structure—polyhedral oligomeric silsesquioxane (POSS) nanoparticles—is also evaluated. The stabilization effects on the oxidation protection were [...] Read more.
In this work the analysis on the stabilization activities of some natural antioxidants (rosemary extract, capsaicin, quercetin or oleanolic acid) is presented. A similar contribution of an inorganic structure—polyhedral oligomeric silsesquioxane (POSS) nanoparticles—is also evaluated. The stabilization effects on the oxidation protection were investigated for several formulations based on ethylene-propylene-diene-terpolymer (EPDM). The samples were examined in pristine state or after γ-irradiation, when the accelerated degradation scission of polymer macromolecules followed by the mitigation of oxidation. Three evaluation procedures: chemiluminescence, FTIR spectroscopy and thermal analysis were applied for the characterization of stability efficiency. The delaying effect of oxidative aging in EPDM matrix is illustrated by the values of activation energy, which are correlated with the type and concentration of embedded compounds. The durability of studied EPDM formulations is discussed for the assessment of material life. The improved behavior of structured hybrids useful for the optimization application regimes is essentially based on the antioxidant properties of polyphenolic components in the cases of natural antioxidants or on the penetration of free radical intermediates into the free volumes of POSS. Full article
(This article belongs to the Special Issue Measurement of Antioxidant Activity: Advances and Perspectives)
Show Figures

Figure 1

17 pages, 4950 KB  
Article
Polypropylene/Lignin/POSS Nanocomposites: Thermal and Wettability Properties, Application in Water Remediation
by Abeer Alassod, Syed Rashedul Islam, Mina Shahriari Khalaji, Rogers Tusiime, Wanzhen Huang and Guangbiao Xu
Materials 2021, 14(14), 3950; https://doi.org/10.3390/ma14143950 - 15 Jul 2021
Cited by 25 | Viewed by 3538
Abstract
Compositing is an interesting strategy that has always been employed to introduce or enhance desired functionalities in material systems. In this paper, sponges containing polypropylene, lignin, and octavinyl-polyhedral oligomeric silsesquioxane (OV-POSS) were successfully prepared via an easy and elegant strategy called thermally induced [...] Read more.
Compositing is an interesting strategy that has always been employed to introduce or enhance desired functionalities in material systems. In this paper, sponges containing polypropylene, lignin, and octavinyl-polyhedral oligomeric silsesquioxane (OV-POSS) were successfully prepared via an easy and elegant strategy called thermally induced phase separation (TIPS). To fully explore the behaviour of different components of prepared sponges, properties were characterized by a thermogravimetric analyser (TGA), differential scanning calorimetry (DSC), Fourier transform infrared measurement (FTIR), and scanning electron microscopy (SEM). Furthermore, wettability properties toward an organic liquid and oil were investigated. The FTIR analysis confirmed the chemical modification of the components. TGA and DSC measurements revealed thermal stability was much better with an increase in OV-POSS content. OV-POSS modified sponges exhibited ultra-hydrophobicity and high oleophilicity with water contact angles of more than 125°. The SEM revealed that POSS molecules acted as a support for reduced surface roughness. Moreover, OV-POSS-based blend sponges showed higher sorption capacities compared with other blend sponges without OV-POSS. The new blend sponges demonstrated a potential for use as sorbent engineering materials in water remediation. Full article
Show Figures

Figure 1

22 pages, 14019 KB  
Article
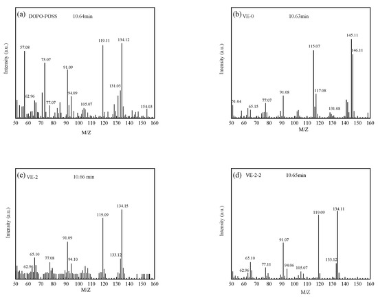
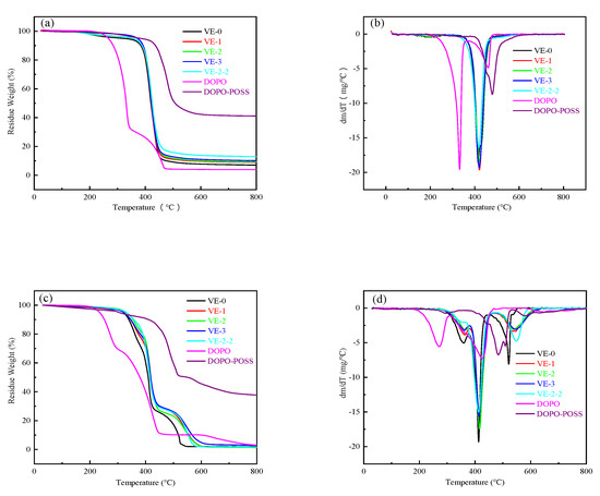
Synergistic Effects of Ladder and Cage Structured Phosphorus-Containing POSS with Tetrabutyl Titanate on Flame Retardancy of Vinyl Epoxy Resins
by Xu Han, Xiaohua Zhang, Ying Guo, Xianyuan Liu, Xiaojuan Zhao, Heng Zhou, Songli Zhang and Tong Zhao
Polymers 2021, 13(9), 1363; https://doi.org/10.3390/polym13091363 - 22 Apr 2021
Cited by 23 | Viewed by 4051
Abstract
The cage and ladder structured phosphorus-containing polyhedral oligomeric silsesquioxanes (DOPO-POSS) have been synthesized through the hydrolytic condensation of 9,10-dihydro-9-oxa-10-phosphenanthrene-10-oxide (DOPO)-vinyl triethoxysilane (VTES). The unique ladder and cage–ladder structured components in DOPO-POSS endowed it with good solubility in vinyl epoxy resin (VE), and it [...] Read more.
The cage and ladder structured phosphorus-containing polyhedral oligomeric silsesquioxanes (DOPO-POSS) have been synthesized through the hydrolytic condensation of 9,10-dihydro-9-oxa-10-phosphenanthrene-10-oxide (DOPO)-vinyl triethoxysilane (VTES). The unique ladder and cage–ladder structured components in DOPO-POSS endowed it with good solubility in vinyl epoxy resin (VE), and it was used with tetrabutyl titanate (TBT) to construct a phosphorus-silicon-titanium synergy system for the flame retardation of VE. Thermal stabilities, mechanical properties, and flame retardancy of the resultant VE composites were investigated by thermal gravimetric analysis (TGA), dynamic mechanical analysis (DMA), three-point bending tests, limiting oxygen index (LOI) measurement, and cone calorimetry. The experimental results showed that with the addition of only 4 wt% DOPO-POSS and 0.5 wt% TBT, the limiting oxygen index value (LOI) increased from 19.5 of pure VE to 24.2. With the addition of DOPO-POSS and TBT, the peak heat release rate (PHRR), total heat release (THR), smoke production rate (SPR), and total smoke production (TSP) were decreased significantly compared to VE-0. In addition, the VE composites showed improved thermal stabilities and mechanical properties comparable to that of the VE-0. The investigations on pyrolysis volatiles of cured VE further revealed that DOPO-POSS and TBT exerted flame retardant effects in gas phase. The results of char residue of the VE composites by SEM and XPS showed that TBT and DOPO-POSS can accelerate the char formation during the combustion, forming an interior char layer with the honeycomb cavity structure and dense exterior char layer, making the char strong with the formation of Si-O-Ti and Ti-O-P structures. Full article
(This article belongs to the Section Polymer Chemistry)
Show Figures

Figure 1

Back to TopTop