Sign in to use this feature.

Years

Between: -

Subjects

remove_circle_outline
remove_circle_outline
remove_circle_outline
remove_circle_outline
remove_circle_outline
remove_circle_outline
remove_circle_outline
remove_circle_outline
remove_circle_outline

Journals

Article Types

Countries / Regions

Search Results (87)

Search Parameters:
Keywords = poly(lactic acid) and composite films

Order results
Result details
Results per page
Select all
Export citation of selected articles as:
11 pages, 1665 KB  
Article
Substitution of Fossil Layers with Biobased Ones in Sustainable Cellulosic Packaging for Dairy Products
by Maria-Beatrice Coltelli, Simone Giangrandi, Vincenzo Tricoli, Luca Panariello and Andrea Lazzeri
Appl. Sci. 2025, 15(17), 9615; https://doi.org/10.3390/app15179615 - 31 Aug 2025
Viewed by 921
Abstract
Home-compostable, biobased films were developed by blending poly(lactic acid) (PLA) with poly(butylene succinate-co-adipate) (PBSA). Among the formulations, the PLA/PBSA 60/40 blend demonstrated strong potential for industrial film production due to its enhanced flexibility and tear resistance. Thanks to their thermoplastic nature, [...] Read more.
Home-compostable, biobased films were developed by blending poly(lactic acid) (PLA) with poly(butylene succinate-co-adipate) (PBSA). Among the formulations, the PLA/PBSA 60/40 blend demonstrated strong potential for industrial film production due to its enhanced flexibility and tear resistance. Thanks to their thermoplastic nature, these films can be applied to various substrates—such as paper or paperboard—and are easily recyclable within industrial processing environments. In this study, nanostructured clay and talc were incorporated into PLA/PBSA 60/40-based films to produce composites, which were evaluated for their effectiveness in limiting the diffusion of moisture from high-humidity soft cheeses. The materials’ melt fluidity and tensile properties were also characterized, and the composite morphology was examined using electron microscopy. The results revealed that the filler type significantly affected both the morphological structure and barrier performance, highlighting the critical role of material composition in the development of effective and environmentally sustainable packaging solutions. The biobased PLA/PBSA (60/40) films, particularly those filled with talc, exhibited high processability, flexibility, and effectiveness as a moisture barrier for dairy packaging. Although not yet feasible as a direct LDPE substitute without increasing their thickness, their low mass loss points to their strong potential for sustainable applications—especially when paired with paperboard in rigid packaging. Full article
(This article belongs to the Special Issue Innovation in Dairy Products)
Show Figures

Figure 1

18 pages, 4336 KB  
Article
Development of an Antibacterial Poly(Lactic Acid)/Poly(ε-Caprolactone)/Tributyl Citrate Film Loaded with Staphylococcus aureus Bacteriophages Using a Sodium Alginate Coating
by Seulgi Imm, Jaewoo Bai and Yoonjee Chang
Int. J. Mol. Sci. 2025, 26(16), 7793; https://doi.org/10.3390/ijms26167793 - 12 Aug 2025
Cited by 3 | Viewed by 962
Abstract
Biodegradable poly(lactic acid) (PLA)/poly(ε-caprolactone) (PCL) composite films were prepared with a compatibilizer (tributyl citrate, TBC) using a solvent casting method. Incorporation of 5% TBC (w/v, of PCL weight) improved tensile strength and elongation at break (21.93 ± 2.33 MPa [...] Read more.
Biodegradable poly(lactic acid) (PLA)/poly(ε-caprolactone) (PCL) composite films were prepared with a compatibilizer (tributyl citrate, TBC) using a solvent casting method. Incorporation of 5% TBC (w/v, of PCL weight) improved tensile strength and elongation at break (21.93 ± 2.33 MPa and 21.02 ± 1.54%, respectively) and reduced water vapor permeability (from 0.12 ± 0.01 to 0.098 ± 0.01 g·mm·m2·h·kPa), indicating improved compatibility between PLA and PCL. Staphylococcus aureus phage PBSA08 demonstrated rapid and persistent bacteriolytic activity for up to 24 h, suggesting its potential as a promising antibacterial biological agent. To impart antibacterial properties to the developed PLA/PCL/TBC film, PBSA08 was loaded into sodium alginate (SA) and coated on the film surface. The optimal composition was 3% (w/v) SA and 3% (w/v) glycerol, which exhibited suitable dynamic behavior as a coating solution and excellent adhesion to the film surface. The phage-coated antibacterial films demonstrated progressive and significant inhibition against S. aureus starting from 10 to 24 h, with controlled phage-release properties. Overall, the developed active film might exert sustained and remarkable antibacterial effects through controlled release of biological agents (phage) under realistic packaging conditions. Full article
Show Figures

Graphical abstract

18 pages, 2848 KB  
Article
Biodegradable Quercetin-Incorporated Poly(Lactic Acid)/Chitosan Functional Films: A Study of the Properties and Application in Enhancing Fish Preservation
by Xiaolu Li, Si Wu, Tao Feng, Shijing Wu, Weiwen Xu, Qingmiao Wang, Yu Wang, Ning Hu and Xiaowen Shi
Foods 2025, 14(16), 2771; https://doi.org/10.3390/foods14162771 - 9 Aug 2025
Cited by 3 | Viewed by 1297
Abstract
Traditional plastic packaging materials have brought serious environmental pollution and a number of health risks; so the development of biodegradable polymers as an alternative has received increasing attention. Here, active packaging materials with antioxidant, antimicrobial, and biodegradable properties were prepared using poly(lactic acid) [...] Read more.
Traditional plastic packaging materials have brought serious environmental pollution and a number of health risks; so the development of biodegradable polymers as an alternative has received increasing attention. Here, active packaging materials with antioxidant, antimicrobial, and biodegradable properties were prepared using poly(lactic acid) (PLA) and chitosan loaded with quercetin. The experimental results demonstrate that the PLA/chitosan/quercetin film achieved an impressive ABTS radical scavenging rate of up to 98.2%, and the inhibition rates against Gram-negative (E. coli) and Gram-positive (S. aureus) bacteria were 87.60% and 80.45%, respectively. Furthermore, the composite film exhibited excellent oxygen barrier properties and biodegradability. Shelf life tests demonstrate that the PLA/chitosan/quercetin film retarded fish spoilage by 2 days compared to commercial polyethylene film. Additionally, the color changes in the film showed significant correlation with fish freshness, serving as an effective freshness indicator. Therefore, the PLA/chitosan composite film containing quercetin has a good application prospect in fish preservation and intelligent monitoring of fish freshness. Full article
(This article belongs to the Section Food Packaging and Preservation)
Show Figures

Graphical abstract

14 pages, 2714 KB  
Article
5-Fluorouracil Encapsulation in PLA Films: The Role of Chitosan Particles in Modulating Drug Release and Film Properties
by Sofia Milenkova and Maria Marudova
Processes 2025, 13(7), 1961; https://doi.org/10.3390/pr13071961 - 21 Jun 2025
Viewed by 3242
Abstract
The development of effective drug delivery systems, in terms of their application route and release profile, is crucial for improving the therapeutic outcomes of all bioactive compounds. In this study, we explored the encapsulation of 5-fluorouracil, a commonly used chemotherapeutic agent, in poly(lactic [...] Read more.
The development of effective drug delivery systems, in terms of their application route and release profile, is crucial for improving the therapeutic outcomes of all bioactive compounds. In this study, we explored the encapsulation of 5-fluorouracil, a commonly used chemotherapeutic agent, in poly(lactic acid) films for the first time and the role of chitosan particles in the structure, as no previous studies have examined their potential for this purpose. The objective is to enhance the sustained release of 5-FU and minimise the burst release step while leveraging the biocompatibility and biodegradability of these polymers. PLA films were fabricated using a solvent casting method, and 5-FU was encapsulated either directly within the PLA matrix or loaded into chitosan particles, which were then incorporated into the film. The physicochemical properties of the films, including morphology, wettability, phase state of the drug, thermal stability, drug loading efficiency, and release kinetics, were evaluated along with their barrier and mechanical properties. The results indicate a change in morphology after the addition of the drug and/or particles compared to the empty film. Additionally, the strain value at break decreased from nearly 400% to below 15%. Young’s modulus also changes from 292 MPa to above 500 MPa. The addition of chitosan particles lowered the permeability and vapour transmission rate slightly, while dissolving 5-FU increased them to 241 g/m2·24 h and 1.56 × 10−13 g·mm/m2·24 h·kPa, respectively. Contact angle and surface energy values went from 71° and 34 mJ/m2 for pure PLA to below 53° and around 58 mJ/m2 for the composite structures, respectively. Drug release tests, conducted for 8 h, indicated a nearly 2-fold decrease in the amount of drug released from the film with particles within this period, from around 45% for bare particles and PLA film to 25% for the combined structure, indicating the potential of this system for sustained release of 5-FU. Full article
(This article belongs to the Special Issue Development and Characterization of Advanced Polymer Nanocomposites)
Show Figures

Graphical abstract

18 pages, 4161 KB  
Article
Development of Poly(L-lactic acid) Films Containing Curcuma lunga L. Extract for Active Cheese Packaging
by Aleksandra Bužarovska, Darko Dimitrovski and Anka Trajkovska Petkoska
Processes 2025, 13(6), 1881; https://doi.org/10.3390/pr13061881 - 13 Jun 2025
Cited by 1 | Viewed by 1268
Abstract
Biobased packaging solutions with active functions for different food categories are a very attractive topic nowadays. This packaging provides suitable preservation of the food quality and extends the shelf life of packed items. In addition, this is a promising pathway to overcome global [...] Read more.
Biobased packaging solutions with active functions for different food categories are a very attractive topic nowadays. This packaging provides suitable preservation of the food quality and extends the shelf life of packed items. In addition, this is a promising pathway to overcome global pollution, to protect human health, as well as to provide a better planetary wellbeing. In this work, a packaging composition based on poly(lactic acid) (PLA) with the addition of Curcuma longa L. (C) extract prepared by the solution casting method is promoted as a potential packaging option for the active food packaging of cheese. The dopant levels of the extract were performed at 0.5%, 1%, 2%, 5%, and 10%, while the neat PLA film was used as a control. The obtained results are promising. By a thermal analysis, it is shown that C-extract has a plasticizing and nucleating effect on PLA molecules, as well as improving the barrier and other film properties. Moreover, this packaging was proven as a potential antimicrobial packaging for white cheese—it enables extending the shelf life by direct contact. This is a simple way of manufacturing biobased packaging doped with natural antimicrobials that could be used for other food categories that are prone to microbiological attack. Full article
(This article belongs to the Special Issue Antimicrobial Food Packaging: Materials and Technologies)
Show Figures

Figure 1

19 pages, 5041 KB  
Article
Biocompatible, Biodegradable, and Antimicrobial Food Packaging Film from Polylactic Acid and Biogenic Vaterite CaCO3-Ag Hybrid
by Mohammad Hossein Azarian, Kitti Yuwawech, Waraporn Tanthanuch, Tiraporn Junyusen, Jatuphorn Wootthikanokkhan and Wimonlak Sutapun
Polymers 2025, 17(10), 1345; https://doi.org/10.3390/polym17101345 - 15 May 2025
Cited by 2 | Viewed by 1631
Abstract
Developing biocompatible and biodegradable materials for food packaging is crucial for addressing environmental concerns and ensuring food safety. In this study, we present a novel food packaging film composed of poly(lactic acid) (PLA) and biogenic vaterite CaCO3-Ag hybrid microspheres. A non-solution [...] Read more.
Developing biocompatible and biodegradable materials for food packaging is crucial for addressing environmental concerns and ensuring food safety. In this study, we present a novel food packaging film composed of poly(lactic acid) (PLA) and biogenic vaterite CaCO3-Ag hybrid microspheres. A non-solution technique was employed to prepare these films, ensuring the sustainability and simplicity of the production process. X-ray diffraction and infrared spectroscopy analyses confirmed the stability and compatibility of the vaterite CaCO3-Ag microspheres within the PLA matrix. Cytotoxicity tests using human dermal fibroblast cells demonstrated complete biocompatibility of the films, even at high concentrations. Antimicrobial efficacy was assessed through minimum inhibitory concentration (MIC) testing, which demonstrated that PLA film containing 7 wt% vaterite CaCO3-Ag hybrids effectively inhibited both gram-positive and gram-negative bacteria at concentrations as low as ≤0.067 g/mL. Mechanical testing showed that the modulus and strength of PLA film increased significantly with the embedding of 5 wt% of vaterite CaCO3-Ag hybrid, reaching a maximum of 5.63 ± 1.51 GPa and 48.07 ± 13.81 MPa, respectively. Thermal analysis indicated improved thermal stability with the addition of the microspheres. Synchrotron X-ray absorption spectroscopy confirmed the stability of the vaterite structure and the presence of both Ag0 and Ag+ species after embedding in PLA matrix. The composite films exhibited improved oxygen and water vapor barrier properties, making them suitable for packaging applications. These findings highlight the potential of PLA-vaterite CaCO3-Ag hybrid films as sustainable and effective food packaging materials. Full article
(This article belongs to the Special Issue Sustainable Polymers for Value Added and Functional Packaging)
Show Figures

Graphical abstract

22 pages, 12271 KB  
Article
Unraveling of Poly(lactic acid) (PLA)/Natural Wax/Titanium Dioxide Nanoparticle Composites for Disposable Plastic Applications
by Jacqueline Guadalupe Bocarando-Chacón, Iván Alziri Estrada-Moreno, Imelda Olivas-Armendáriz, Alejandro Vega-Rios and Mónica Elvira Mendoza-Duarte
Polymers 2025, 17(5), 685; https://doi.org/10.3390/polym17050685 - 4 Mar 2025
Viewed by 1688
Abstract
The present research is a comprehensive study that developed poly(lactic acid) PLA/natural wax (Wx)/non-functionalized titanium dioxide nanoparticles (TiO2-NF) and PLA/Wx/titanium dioxide nanoparticles functionalized with triethoxysilane (TiO2-F) composites by melt blending. This research systematically investigated their hydrolytic degradation, antibacterial properties, [...] Read more.
The present research is a comprehensive study that developed poly(lactic acid) PLA/natural wax (Wx)/non-functionalized titanium dioxide nanoparticles (TiO2-NF) and PLA/Wx/titanium dioxide nanoparticles functionalized with triethoxysilane (TiO2-F) composites by melt blending. This research systematically investigated their hydrolytic degradation, antibacterial properties, oxygen permeability, and optical transparency. The TiO2-NF or TiO2-F (0.1, 0.5, or 1 wt%) were added to a PLA/Wx (85:15) blend using a Brabender internal mixer at 180 °C. Hydrolytic degradation was carried out in distilled water at 50 °C and an initial pH of 6.2 for 9 months. Changes in weight, morphology, and the rheological behavior of the blends were evaluated at different times during the hydrolytic degradation of the PLA/Wx/TiO2-NF and PLA/Wx/TiO2-F composites. The antibacterial properties of PLA/Wx, PLA/Wx/TiO2-0.1-NF, and PLA/Wx/TiO2-0.1-F were assessed by testing them against both E. coli (Gram-negative) and S. aureus (Gram-positive) bacteria. Their oxygen permeability and optical transparency are comparable to those of LDPE films. These composites, produced by melt blending, show potential for application as disposable plastics, which could significantly impact the fields of materials science and polymer engineering. Full article
Show Figures

Graphical abstract

20 pages, 8212 KB  
Article
Extracted Spent Coffee Grounds as a Performance-Enhancing Additive for Poly(Lactic Acid) Biodegradable Nursery Bags in Agriculture
by Amonrut Waisarikit, Nattawut Suadaung, Benjawan Khantho, Bawan Hadad, Gareth M. Ross, Paul D. Topham, Sukunya Ross and Sararat Mahasaranon
Polymers 2025, 17(5), 561; https://doi.org/10.3390/polym17050561 - 20 Feb 2025
Cited by 5 | Viewed by 4090
Abstract
This study introduces biodegradable nursery bags using poly(lactic acid) (PLA), a widely used biodegradable polymer, and spent coffee grounds (SCGs), a byproduct of the brewing process in the coffee industry. SCGs were oil-extracted to produce extracted spent coffee grounds (exSCGs), which were characterized [...] Read more.
This study introduces biodegradable nursery bags using poly(lactic acid) (PLA), a widely used biodegradable polymer, and spent coffee grounds (SCGs), a byproduct of the brewing process in the coffee industry. SCGs were oil-extracted to produce extracted spent coffee grounds (exSCGs), which were characterized by their physical properties, chemical functionality, and thermal behavior. The exSCGs were blended with PLA at loadings of 5, 10, and 15 wt%. Analysis showed that exSCGs retained 3–5 wt% residual coffee oil, exhibiting a lower surface area (1.1163 m2/g) compared to SCGs (1.5010 m2/g), along with a higher pore volume (1.148 × 10−3 cm3/g) and pore size (~410 nm). All PLA/exSCG bio-composite films displayed a light brown color, well-dispersed exSCG particles, and excellent UV light barrier properties, with transmittance reduced to 1–2%. The residual coffee oil acted as a plasticizer, reducing the glass transition temperature, melting temperature, and crystallinity with increasing exSCG content. Mechanical testing revealed enhanced flexibility compared to neat PLA. Soil burial tests showed increased biodegradability with higher exSCG content, supported by SEM analysis revealing cracks around exSCG particles. The PLA/exSCG blend containing 10 wt% exSCGs exhibited optimal performance, with a significant increase in melt flow index (from 4.22 to 8.17 g/10 min) and approximately double the melt strength of neat PLA, balancing processability and mechanical properties. This innovation provides a sustainable alternative to plastic nursery bags, addressing waste valorization and promoting eco-friendly material development for agricultural applications. Full article
(This article belongs to the Section Polymer Processing and Engineering)
Show Figures

Figure 1

17 pages, 11240 KB  
Article
Epoxidized Soybean Oil Toughened Poly(lactic acid)/Lignin-g-Poly(lauryl methacrylate) Bio-Composite Films with Potential Food Packaging Application
by Yingxin Zhou, Kang Shi, Guoshuai Liu, Hui Sun and Yunxuan Weng
Polymers 2024, 16(14), 2025; https://doi.org/10.3390/polym16142025 - 16 Jul 2024
Cited by 4 | Viewed by 3328
Abstract
The application of lignin as a filler for poly (lactic acid) (PLA) is limited by their poor interfacial adhesion. To address this challenge, lignin-graft-poly(lauryl methacrylate) (LG-g-PLMA) was first blended with poly (lactic acid), and then epoxidized soybean oil (ESO) was also added to [...] Read more.
The application of lignin as a filler for poly (lactic acid) (PLA) is limited by their poor interfacial adhesion. To address this challenge, lignin-graft-poly(lauryl methacrylate) (LG-g-PLMA) was first blended with poly (lactic acid), and then epoxidized soybean oil (ESO) was also added to prepare PLA/LG-g-PLMA/ESO composite, which was subsequently hot pressed to prepare the composite films. The effect of ESO as a plasticizer on the thermal, mechanical, and rheological properties, as well as the fracture surface morphology of the PLA/LG-g-PLMA composite films, were investigated. It was found that the compatibility and toughness of the composites were improved by the addition of ESO. The elongation at break of the composites with an ESO content of 5 phr was increased from 5.6% to 104.6%, and the tensile toughness was increased from 4.1 MJ/m3 to 44.7 MJ/m3, as compared with the PLA/LG-g-PLMA composite without ESO addition. The toughening effect of ESO on composites is generally attributed to the plasticization effect of ESO, and the interaction between the epoxy groups of ESO and the terminal carboxyl groups of PLA. Furthermore, PLA/LG-g-PLMA/ESO composite films exhibited excellent UV barrier properties and an overall migration value below the permitted limit (10 mg/dm2), indicating that the thus-prepared biocomposite films might potentially be applied to environmentally friendly food packaging. Full article
Show Figures

Figure 1

21 pages, 6345 KB  
Article
The Development of Sustainable Biocomposite Materials Based on Poly(lactic acid) and Silverskin, a Coffee Industry By-Product, for Food Packaging Applications
by Argyri-Ioanna Petaloti and Dimitris S. Achilias
Sustainability 2024, 16(12), 5075; https://doi.org/10.3390/su16125075 - 14 Jun 2024
Cited by 14 | Viewed by 3302
Abstract
Aligned with the principles of the circular economy and aiming at the production of environmentally friendly materials for food packaging applications, sustainable biocomposite films based on poly(lactic acid) (PLA) and coffee silverskin (SS), were developed. Coffee silverskin is a by-product of the coffee [...] Read more.
Aligned with the principles of the circular economy and aiming at the production of environmentally friendly materials for food packaging applications, sustainable biocomposite films based on poly(lactic acid) (PLA) and coffee silverskin (SS), were developed. Coffee silverskin is a by-product of the coffee roasting process, while PLA is one of the most promising bio-based polymers. Several composites were prepared with different loadings of SS, ranging from 2.5 to 20 wt.%, via the solution casting method. The findings indicated that the effective dispersion of coffee silverskin in PLA was successfully accomplished and that a bleaching treatment of the filler leads to better interfacial interaction. The addition of silverskin, in any proportion, did not affect the melting point and glass transition temperature of the polymer matrix or the oxygen permeability of the film. Moreover, the degree of swelling was increased, more so for the films with modified particles, whereas the water vapor transmission rate and permeability increased only after the addition of high amounts (>10%) of surface-treated silverskin. A gradual decrease in color lightness was measured with the increasing concentration of silverskin, and the color was more intense in the untreated samples. The antioxidant activity of the films increased gradually with increasing additions of coffee silverskin due to the presence of compounds such as polyphenols. The chemical treatment of coffee silverskin resulted in the films having improved mechanical properties, as the chemical treatment facilitated stronger bonding between the base material and the additive. Therefore, sustainable composites with enhanced antioxidant activity can be produced by the incorporation of a food industry by-product into a PLA matrix. Full article
Show Figures

Figure 1

12 pages, 5863 KB  
Article
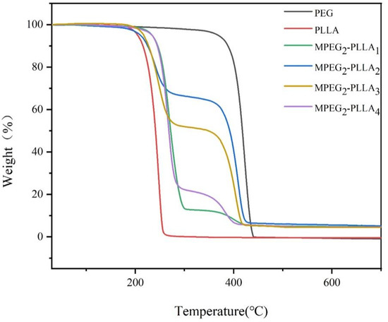
Synthesis of MPEG-b-PLLA Diblock Copolymers and Their Crystallization Performance with PDLA and PLLA Composite Films
by Wenjing Wu, Weixin Wu, Mingwei Guo, Ruizhe Wang, Xuanxuan Wang and Qinwei Gao
Materials 2024, 17(9), 2105; https://doi.org/10.3390/ma17092105 - 29 Apr 2024
Cited by 1 | Viewed by 2442
Abstract
Methoxy poly(ethylene glycol)-block-poly(L-lactide) (MPEG-b-PLLA) has a wide range of applications in pharmaceuticals and biology, and its structure and morphology have been thoroughly studied. In the experiment, we synthesized MPEG-b-PLLA with different block lengths using the principle of ring-opening polymerization by controlling the amount [...] Read more.
Methoxy poly(ethylene glycol)-block-poly(L-lactide) (MPEG-b-PLLA) has a wide range of applications in pharmaceuticals and biology, and its structure and morphology have been thoroughly studied. In the experiment, we synthesized MPEG-b-PLLA with different block lengths using the principle of ring-opening polymerization by controlling the amount of lactic acid added. The thermodynamic properties of copolymers and the crystallization properties of blends were studied separately. The crystallization kinetics of PDLA/MPEG-b-PLA and PLLA/MPEG-b-PLA composite films were studied using differential scanning calorimetry (DSC). The results indicate that the crystallization kinetics of composite films are closely related to the amount of block addition. The crystallinity of the sample first increases and then decreases with an increase in MPEG-b-PLLA content. These results were also confirmed in polarized optical microscope (POM) and wide-angle X-ray diffraction (WAXD) tests. When 3% MPEG-b-PLLA was added to the PDLA matrix, the blend exhibited the strongest crystallization performance. Full article
Show Figures

Figure 1

18 pages, 7243 KB  
Article
Processing of Thin Films Based on Cellulose Nanocrystals and Biodegradable Polymers by Space-Confined Solvent Vapor Annealing and Morphological Characteristics
by Lacrimioara Senila, Ioan Botiz, Cecilia Roman, Dorina Simedru, Monica Dan, Irina Kacso, Marin Senila and Otto Todor-Boer
Materials 2024, 17(7), 1685; https://doi.org/10.3390/ma17071685 - 7 Apr 2024
Cited by 2 | Viewed by 2309
Abstract
L-poly(lactic acid), poly(3-hydroxybutyrate), and poly-hydroxybutyrate-co-hydroxyvalerate are biodegradable polymers that can be obtained from renewable biomass sources. The aim of this study was to develop three types of environmentally friendly film biocomposites of altered microstructure by combining each of the above-mentioned polymers [...] Read more.
L-poly(lactic acid), poly(3-hydroxybutyrate), and poly-hydroxybutyrate-co-hydroxyvalerate are biodegradable polymers that can be obtained from renewable biomass sources. The aim of this study was to develop three types of environmentally friendly film biocomposites of altered microstructure by combining each of the above-mentioned polymers with cellulose nanocrystal fillers and further processing the resulting materials via space-confined solvent vapor annealing. Cellulose was previously obtained from renewable biomass and further converted to cellulose nanocrystals by hydrolysis with the lactic acid. The solutions of biodegradable polymers were spin-coated onto solid substrates before and after the addition of cellulose nanocrystals. The obtained thin film composites were further processed via space-confined solvent vapor annealing to eventually favor their crystallization and, thus, to alter the final microstructure. Indeed, atomic force microscopy studies have revealed that the presence of cellulose nanocrystals within a biodegradable polymer matrix promoted the formation of large crystalline structures exhibiting fractal-, spherulitic- or needle-like morphologies. Full article
(This article belongs to the Special Issue Sustainable Materials from Industrial Waste)
Show Figures

Figure 1

22 pages, 5929 KB  
Article
Development of Polylactic Acid Films with Alkali- and Acetylation-Treated Flax and Hemp Fillers via Solution Casting Technique
by Anamol Pokharel, Kehinde James Falua, Amin Babaei-Ghazvini, Mostafa Nikkhah Dafchahi, Lope G. Tabil, Venkatesh Meda and Bishnu Acharya
Polymers 2024, 16(7), 996; https://doi.org/10.3390/polym16070996 - 5 Apr 2024
Cited by 9 | Viewed by 3405
Abstract
This study aims to enhance value addition to agricultural byproducts to produce composites by the solution casting technique. It is well known that PLA is moisture-sensitive and deforms at high temperatures, which limits its use in some applications. When blending with plant-based fibers, [...] Read more.
This study aims to enhance value addition to agricultural byproducts to produce composites by the solution casting technique. It is well known that PLA is moisture-sensitive and deforms at high temperatures, which limits its use in some applications. When blending with plant-based fibers, the weak point is the poor filler–matrix interface. For this reason, surface modification was carried out on hemp and flax fibers via acetylation and alkaline treatments. The fibers were milled to obtain two particle sizes of <75 μm and 149–210 μm and were blended with poly (lactic) acid at different loadings (0, 2.5%, 5%, 10%, 20%, and 30%) to form a composite film The films were characterized for their spectroscopy, physical, and mechanical properties. All the film specimens showed C–O/O–H groups and the π–π interaction in untreated flax fillers showed lignin phenolic rings in the films. It was noticed that the maximum degradation temperature occurred at 362.5 °C. The highest WVPs for untreated, alkali-treated, and acetylation-treated composites were 20 × 10−7 g·m/m2 Pa·s (PLA/hemp30), 7.0 × 10−7 g·m/m2 Pa·s (PLA/hemp30), and 22 × 10−7 g·m/m2 Pa·s (PLA/hemp30), respectively. Increasing the filler content caused an increase in the color difference of the composite film compared with that of the neat PLA. Alkali-treated PLA/flax composites showed significant improvement in their tensile strength, elongation at break, and Young’s modulus at a 2.5 or 5% filler loading. An increase in the filler loadings caused a significant increase in the moisture absorbed, whereas the water contact angle decreased with an increasing filler concentration. Flax- and hemp-induced PLA-based composite films with 5 wt.% loadings showed a more stable compromise in all the examined properties and are expected to provide unique industrial applications with satisfactory performance. Full article
(This article belongs to the Special Issue Synthesis, Characterization and Applications of Natural Polymers)
Show Figures

Figure 1

29 pages, 8887 KB  
Article
New Functional Bionanocomposites by Combining Hybrid Host-Guest Systems with a Fully Biobased Poly(lactic acid)/Poly(butylene succinate-co-adipate) (PLA/PBSA) Binary Blend
by Francesca Cicogna, Elisa Passaglia, Alice Telleschi, Werner Oberhauser, Maria-Beatrice Coltelli, Luca Panariello, Vito Gigante and Serena Coiai
J. Funct. Biomater. 2023, 14(11), 549; https://doi.org/10.3390/jfb14110549 - 15 Nov 2023
Cited by 4 | Viewed by 2985
Abstract
In this study, we have developed innovative polymer nanocomposites by integrating magnesium-aluminum layered double hydroxide (LDH)-based nanocarriers modified with functional molecules into a fully biobased poly(lactic acid)/poly(butylene succinate-co-adipate) (PLA/PBSA) matrix. These LDH-based hybrid host-guest systems contain bioactive compounds like rosmarinic acid, ferulic acid, [...] Read more.
In this study, we have developed innovative polymer nanocomposites by integrating magnesium-aluminum layered double hydroxide (LDH)-based nanocarriers modified with functional molecules into a fully biobased poly(lactic acid)/poly(butylene succinate-co-adipate) (PLA/PBSA) matrix. These LDH-based hybrid host-guest systems contain bioactive compounds like rosmarinic acid, ferulic acid, and glycyrrhetinic acid, known for their antioxidant, antimicrobial, and anti-inflammatory properties. The bioactive molecules can be gradually released from the nanocarriers over time, allowing for sustained and controlled delivery in various applications, such as active packaging or cosmetics. The morphological analysis of the polymer composites, prepared using a discontinuous mechanical mixer, revealed the presence of macroaggregates and nano-lamellae at the polymer interface. This resulted in an enhanced water vapor permeability compared to the original blend. Furthermore, the migration kinetics of active molecules from the thin films confirmed a controlled release mechanism based on their immobilization within the lamellar system. Scaling-up experiments evaluated the materials’ morphology and mechanical and thermal properties. Remarkably, stretching deformation and a higher shear rate during the mixing process enhanced the dispersion and distribution of the nanocarriers, as confirmed by the favorable mechanical properties of the materials. Full article
(This article belongs to the Special Issue Nanomaterials and Their Biomedical Applications)
Show Figures

Graphical abstract

16 pages, 4523 KB  
Article
Optimizing PCL/PLGA Scaffold Biocompatibility Using Gelatin from Bovine, Porcine, and Fish Origin
by Mina Ghafouri Azar, Lucie Wiesnerova, Jana Dvorakova, Petra Chocholata, Omid Moztarzadeh, Jiri Dejmek and Vaclav Babuska
Gels 2023, 9(11), 900; https://doi.org/10.3390/gels9110900 - 14 Nov 2023
Cited by 8 | Viewed by 3595
Abstract
This research introduces a novel approach by incorporating various types of gelatins, including bovine, porcine, and fish skin, into polycaprolactone and poly (lactic-co-glycolic acid) using a solvent casting method. The films are evaluated for morphology, mechanical properties, thermal stability, biodegradability, hemocompatibility, cell adhesion, [...] Read more.
This research introduces a novel approach by incorporating various types of gelatins, including bovine, porcine, and fish skin, into polycaprolactone and poly (lactic-co-glycolic acid) using a solvent casting method. The films are evaluated for morphology, mechanical properties, thermal stability, biodegradability, hemocompatibility, cell adhesion, proliferation, and cytotoxicity. The results show that the incorporation of gelatins into the films alters their mechanical properties, with a decrease in tensile strength but an increase in elongation at break. This indicates that the films become more flexible with the addition of gelatin. Gelatin incorporation has a limited effect on the thermal stability of the films. The composites with the gelatin show higher biodegradability with the highest weight loss in the case of fish gelatin. The films exhibit high hemocompatibility with minimal hemolysis observed. The gelatin has a dynamic effect on cell behavior and promotes long-term cell proliferation. In addition, all composite films reveal exceptionally low levels of cytotoxicity. The combination of the evaluated parameters shows the appropriate level of biocompatibility for gelatin-based samples. These findings provide valuable insights for future studies involving gelatin incorporation in tissue engineering applications. Full article
(This article belongs to the Special Issue Hydrogel for Tissue Regeneration)
Show Figures

Graphical abstract

Back to TopTop