Sign in to use this feature.

Years

Between: -

Subjects

remove_circle_outline
remove_circle_outline
remove_circle_outline
remove_circle_outline
remove_circle_outline
remove_circle_outline
remove_circle_outline
remove_circle_outline
remove_circle_outline

Journals

remove_circle_outline
remove_circle_outline
remove_circle_outline
remove_circle_outline
remove_circle_outline
remove_circle_outline
remove_circle_outline
remove_circle_outline
remove_circle_outline
remove_circle_outline
remove_circle_outline
remove_circle_outline

Article Types

Countries / Regions

remove_circle_outline
remove_circle_outline
remove_circle_outline
remove_circle_outline
remove_circle_outline

Search Results (650)

Search Parameters:
Keywords = plasma-surface interaction

Order results
Result details
Results per page
Select all
Export citation of selected articles as:
17 pages, 1880 KB  
Article
In Vitro Studies of the Effects of Antithrombotic Zn-Dipicolylamine-Harboring Liposomes (DPALs) on Serum Albumin and Human Umbilical Vein Endothelial Cells
by Michelle Tanujaya, Gianna Cai, Jia Patel, Zana Moldavsky, Yumna Ejaz, Malia Mahazabin Ahmed, SangSang Duong, Lawrence E. Goldfinger, Koon Y. Pak, Brian D. Gray and Parkson Lee-Gau Chong
Int. J. Mol. Sci. 2026, 27(5), 2299; https://doi.org/10.3390/ijms27052299 - 28 Feb 2026
Viewed by 109
Abstract
Thrombosis remains a leading cause of cardiovascular morbidity and mortality. During thrombosis, activated platelets and endothelial cells expose phosphatidylserine (PS) on their outer membranes, creating a surface that accelerates clot formation. Current antithrombotic therapies, such as heparin and warfarin, carry significant bleeding risks, [...] Read more.
Thrombosis remains a leading cause of cardiovascular morbidity and mortality. During thrombosis, activated platelets and endothelial cells expose phosphatidylserine (PS) on their outer membranes, creating a surface that accelerates clot formation. Current antithrombotic therapies, such as heparin and warfarin, carry significant bleeding risks, highlighting the need for safer alternatives. In response, we developed a PS-targeting liposomal formulation composed of Zn-dipicolylamine (DPA)-cyanine-3[22,22] and 1-palmitoyl-2-oleoyl-sn-glycero-3-phosphocholine (molar ratio 3:97). This DPA-harboring liposome (DPAL) binds selectively to PS-rich surfaces such as activated platelets and has demonstrated efficacy in reducing thrombosis in mouse models, with minimal bleeding. In the present study, we examined the interaction of DPAL with albumin, the most abundant plasma protein and a key transporter in the bloodstream, to assess the potential for harmful protein aggregation or structural disruption. Using dynamic light scattering and intrinsic protein fluorescence, we found that, unlike warfarin and heparin, DPAL does not induce any large protein aggregates or cause significant conformational changes near the tryptophan residue when mixed with human serum albumin, suggesting a favorable interaction profile. In addition, we used transwell permeability assays and CyQUANT cell proliferation assays to assess the cytotoxicity of DPAL in cultured human umbilical vein endothelial cells (HUVECs). Our results showed that DPAL does not compromise endothelial barrier integrity in HUVEC monolayers nor the cells’ viability. Our current and previous findings together suggest that DPAL could offer a promising approach to modulate harmful coagulation pathways and provide a new targeted therapeutic strategy for managing thrombotic disorders. Full article
(This article belongs to the Collection Feature Papers in Molecular Biophysics)
Show Figures

Figure 1

18 pages, 2478 KB  
Article
Rapid Detection of Fumonisin B1 Using a Fluorescent Aptasensor with Plasmon-Modified Graphene Oxide as a Quencher
by Yi Jiao, Xiaoqing Yang, Junping Hao, Yuhang Wen, Shanshan Wang, Jingbo Zhang, Hengchao E, Zhiyong Zhao, Jianhua Wang and Xianli Yang
Biosensors 2026, 16(2), 133; https://doi.org/10.3390/bios16020133 - 22 Feb 2026
Viewed by 288
Abstract
Fumonisin B1 (FB1) is a secondary metabolite produced by Fusarium species, exhibiting strong toxicity and classified as a Group 2B carcinogen by the International Agency for Research on Cancer. It poses a significant threat to both human and animal health. Therefore, developing a [...] Read more.
Fumonisin B1 (FB1) is a secondary metabolite produced by Fusarium species, exhibiting strong toxicity and classified as a Group 2B carcinogen by the International Agency for Research on Cancer. It poses a significant threat to both human and animal health. Therefore, developing a simple and reliable method for FB1 detection and analysis is imperative. In this study, a biosensor based on nucleic acid aptamers was developed, utilizing plasma-modified graphene oxide (mGO) as a fluorescence quencher for FB1 detection. This system leverages the interaction between mGO and FAM-APT (a nucleic acid aptamer labeled with 5-carboxyfluorescein, FAM), achieving fluorescence quenching through fluorescence resonance energy transfer (FRET) under excitation at 490 nm and emission at 520 nm. In the presence of FB1, FAM-APT specifically binds to FB1 and dissociates from the mGO surface, resulting in fluorescence recovery. Quantitative detection of FB1 was achieved by measuring the differential fluorescence intensity. The biosensor demonstrated excellent linearity over a concentration range of 10 to 5 × 106 ng/L, with a detection limit (LOD) as low as 0.16 μg/L. Additionally, the sensor exhibited high specificity for FB1 among six common mycotoxins. In practical sample analysis, recovery rates ranged from 95.8% to 104.7% in corn samples and from 89.3% to 94.5% in rice samples. This aptamer-based biosensor features a simple structure, high sensitivity, and a wide detection range, providing important technical support for advancing mycotoxin research. Full article
(This article belongs to the Special Issue Advanced Biosensors Based on Molecular Recognition)
Show Figures

Figure 1

18 pages, 1665 KB  
Article
Response of Bacterial Antioxidant System to Plasma-Activated Water as a Disinfectant
by Gela Gelashvili, David Gelenidze, Marina Abuladze, Nino Asatiani, Tamar Kartvelishvili and Nelly Sapojnikova
Water 2026, 18(4), 509; https://doi.org/10.3390/w18040509 - 20 Feb 2026
Viewed by 252
Abstract
Safe drinking water and microbial inactivation from surfaces and devices are among the World Health Organization’s priorities. Plasma-activated water (PAW) inactivates microorganisms mainly by producing radicals (hydroxyl radicals, superoxide, nitrogen oxide, etc.), which form secondary reactive species like nitrates, nitrites, hydrogen peroxide, etc., [...] Read more.
Safe drinking water and microbial inactivation from surfaces and devices are among the World Health Organization’s priorities. Plasma-activated water (PAW) inactivates microorganisms mainly by producing radicals (hydroxyl radicals, superoxide, nitrogen oxide, etc.), which form secondary reactive species like nitrates, nitrites, hydrogen peroxide, etc., from the air–liquid interface, where the plasma interacts with the water. A plasma arc device for water treatment with enhanced arc length was constructed at the Andronikashvili Institute of Physics (TSU) and used in the study. PAW’s antibacterial efficacy has been evaluated against Gram-negative E. coli and remarkably stress-resistant Gram-positive B. pumilus. This study identifies reactive oxygen (hydrogen peroxide and superoxide anions) and nitrogen species (total nitrate and nitrite ions) in plasma-activated water, analyzing their potential impact on antioxidant enzyme activity and their relationships with bacterial cell viability. B. pumilus exhibits greater resistance to plasma-activated water as a disinfectant compared to E. coli. Catalase is more effective than superoxide dismutase in protecting cells from external oxidative stress, based on the two antioxidant enzymes studied. Full article
(This article belongs to the Section Water Quality and Contamination)
Show Figures

Figure 1

26 pages, 8797 KB  
Article
Plasma-Enhanced Graphene Coatings on Ti-6Al-4V: Insights from Non-Destructive Characterization
by Victor J. Sagrero, Fnu Gorky, Vashanti Storr, Fernando M. de Oliveira, Héctor G. Carreón and María L. Carreón
Materials 2026, 19(4), 774; https://doi.org/10.3390/ma19040774 - 16 Feb 2026
Viewed by 315
Abstract
In this work, the deposition of graphene coatings on substrates of an ELI grade Ti-6Al-4V alloy was carried out using the Plasma Enhanced Chemical Vapor Deposition (PECVD) technique. The purpose of this study was to improve the surface properties of the material. The [...] Read more.
In this work, the deposition of graphene coatings on substrates of an ELI grade Ti-6Al-4V alloy was carried out using the Plasma Enhanced Chemical Vapor Deposition (PECVD) technique. The purpose of this study was to improve the surface properties of the material. The characterization of the material was carried out by non-destructive techniques, such as Raman Spectroscopy and Thermoelectric Potential. A preliminary characterization of Ti substrates was carried out by Raman spectroscopy. Conversely, thermoelectric potential tests were conducted using three distinct tip systems and four different temperature gradients. Lastly, some surface roughness measurements were conducted on all samples, both coated and uncoated. Graphene micro-structured coatings were obtained using a plasma-activated mixture of hydrogen and methane gases with an equimolar feed ratio (1:1 H2:CH4) at a temperature of 850 °C and a plasma exposure of 150 Watts and duration of 15 min. Raman spectra verified the presence of uniform micrometric graphene on the surface of Ti substrates. Graphene-coated Ti-6Al-4V ELI substrates exhibited Seebeck coefficient values indicating metallic-like behavior and suitability for thermoelectric sensing. In the eddy current analyses, it was found that low frequencies provided the highest sensitivity for differentiating between samples. An inverse relationship was identified between substrate thickness and phase angle, and a direct relationship with calculated electrical conductivity was also identified. This direct relation is attributed to penetration depth and interactions due to the chemical nature of the substrate and coating. Despite a slight increase in surface roughness after graphene deposition, values remained comparable to the base alloy, preserving compatibility for biomedical integration. Thermoelectric potential measurements revealed enhanced sensitivity to surface morphology and interfacial effects when high-sensitivity probe configurations were employed. These results support potential applications in implantable or wearable temperature sensors, energy harvesting devices, and smart biomedical interfaces. The thickness of the graphene coating was also characterized by SEM, which showed that the films deposited by PECVD are about 1 micron thick. Full article
(This article belongs to the Section Carbon Materials)
Show Figures

Graphical abstract

10 pages, 2313 KB  
Article
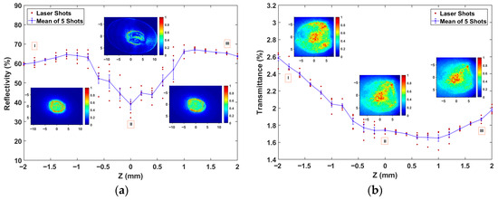
Specular Reflectivity and Diffuse Scattering of Plasma Mirror as a Function of Laser Intensity in Polymer Target
by Imene Benabdelghani, Miklós Ákos Kedves, Ádám Inger and Márk Aladi
Particles 2026, 9(1), 17; https://doi.org/10.3390/particles9010017 - 14 Feb 2026
Viewed by 208
Abstract
We present a systematic study on the optical response of plasma mirrors generated in polymer foils under ultrashort laser pulse irradiation within the non-relativistic intensity regime, reaching up to 2×1017 W/cm2. Using a Ti:sapphire system that delivers 50 [...] Read more.
We present a systematic study on the optical response of plasma mirrors generated in polymer foils under ultrashort laser pulse irradiation within the non-relativistic intensity regime, reaching up to 2×1017 W/cm2. Using a Ti:sapphire system that delivers 50 fs pulses, we simultaneously measured reflection, transmission, and diffuse scattering with three energy meters for single-shot laser energies of 5, 10, 15, and 20 mJ as a function of the laser spot size on the target. The results reveal intensity-dependent variations in reflectivity, accompanied by simultaneous changes in transmission and scattering, allowing to estimate laser energy absorption by the polymer. Morphological analysis of the plasma surface suggests a significant role in modifying energy absorption, with implications for the efficiency of processes such as laser particle acceleration, nuclear fusion, and attosecond pulse generation. These findings provide critical insights into plasma mirror formation, absorption dynamics in polymers, and the potential of nanostructured polymer targets in high-intensity laser–matter interaction applications. Full article
(This article belongs to the Special Issue Particles and Plasmas in Strong Fields)
Show Figures

Figure 1

31 pages, 1336 KB  
Review
UV Radiation: Applications on Surfaces in the Food Industry
by Rita Maioto, Stefanie Santos, Albino A. Dias, Cristina Aires, António Inês, Nabiha Ben Sedrine, Paulo Mendes, Paula Rodrigues and Ana Sampaio
Appl. Sci. 2026, 16(4), 1877; https://doi.org/10.3390/app16041877 - 13 Feb 2026
Viewed by 272
Abstract
Ultraviolet radiation, particularly in the UVC sub-band 200–280 nm, is a non-thermal disinfection technology capable of inactivating a broad spectrum of microorganisms primarily through nucleic acid damage and protein oxidation. Its effectiveness depends on wavelength, irradiance, exposure time, environmental conditions, and microbial characteristics, [...] Read more.
Ultraviolet radiation, particularly in the UVC sub-band 200–280 nm, is a non-thermal disinfection technology capable of inactivating a broad spectrum of microorganisms primarily through nucleic acid damage and protein oxidation. Its effectiveness depends on wavelength, irradiance, exposure time, environmental conditions, and microbial characteristics, such as species and repair capacity. In food processing environments, where equipment surfaces and packaging materials are critical control points for microbial contamination, UVC offers several advantages, including the absence of chemical residues, and compatibility with sustainable sanitization strategies. However, efficacy is strongly influenced by surface properties. Smooth, non-porous, reflective materials (stainless steel, glass), and photocatalytic metal coatings, enhance UVC performance, whereas rough, porous, or fibrous surfaces reduce penetration and create shadowing effects that limit microbial inactivation. This review synthesizes current evidence on UV-based decontamination in the food industry, highlighting both its potential and limitations. The findings emphasize that, although UVC radiation is effective in microbial control, its implementation must consider the complex interactions between surface properties, microorganisms and irradiation parameters, requiring optimization for each environment and application. Further research is therefore needed into: (i) wavelength-tuned systems, (ii) hybrid technologies (UV–plasma or UV-photocatalysis), (iii) material integrity and durability of materials under repeated exposure, and (iv) emerging alternative light sources. Full article
(This article belongs to the Section Chemical and Molecular Sciences)
Show Figures

Figure 1

22 pages, 3279 KB  
Article
Zinc Coordination by Thymosin β4: Structural Determinants and Functional Implications
by Joanna Izabela Lachowicz, Terenzio Congiu, Andrea Salis and Flaminia Cesare Marincola
Int. J. Mol. Sci. 2026, 27(4), 1740; https://doi.org/10.3390/ijms27041740 - 11 Feb 2026
Viewed by 274
Abstract
Thymosin β4 (Tβ4) is a highly acidic, intrinsically disordered 43-amino-acid peptide with diverse biological functions, yet its interactions with metal ions remain poorly understood. In this study, we provide the first experimental demonstration that Tβ4 forms discrete Zn2+-bound adducts and undergoes [...] Read more.
Thymosin β4 (Tβ4) is a highly acidic, intrinsically disordered 43-amino-acid peptide with diverse biological functions, yet its interactions with metal ions remain poorly understood. In this study, we provide the first experimental demonstration that Tβ4 forms discrete Zn2+-bound adducts and undergoes Zn2+-induced aggregation under physiological pH conditions. Combining zeta potential analysis, dynamic light scattering (DLS), electrospray ionization mass spectrometry (ESI-MS), nuclear magnetic resonance (NMR) spectroscopy, and scanning electron microscopy with elemental mapping (SEM/EDS), we show that Zn(II) binding progressively neutralizes Tβ4’s negative surface charge and triggers a sharp aggregation transition. ESI-MS unambiguously identifies Tβ4/Zn(II) complexes of peptide-to-zinc molar ratio 1:3, while DLS and SEM reveal the formation of compact, low-solubility supramolecular assemblies. NMR measurements support a metal-induced aggregation, confirming the absence of folding upon Zn(II) binding. By quantitatively comparing the experimentally determined critical aggregation concentration with physiologically observed extracellular Zn(II) ranges, we demonstrate that aggregation is unlikely in plasma or basal interstitial environments but may become feasible in Zn-rich microdomains, such as the synaptic cleft, where transient Zn(II) levels can exceed 1 μM. These findings introduce a previously unrecognized dimension of Tβ4 chemistry and suggest that a Zn(II)-mediated supramolecular assembly of Tβ4 could influence peptide behavior in neurological or inflammatory conditions characterized by elevated extracellular Zn(II). This work establishes a foundational biochemical framework for future studies aimed at elucidating the biological implications of Tβ4/Zn(II) complexation and aggregation in vivo. Full article
Show Figures

Figure 1

15 pages, 4740 KB  
Article
Do LRG1–SERPINA1 Interactions Modulate Fibrotic and Inflammatory Signatures in Rheumatoid Arthritis? A Proteomic and In Silico Investigation
by Talib Hussain, Monika Verma and Sagarika Biswas
Pathophysiology 2026, 33(1), 16; https://doi.org/10.3390/pathophysiology33010016 - 6 Feb 2026
Viewed by 262
Abstract
Background: Rheumatoid arthritis (RA) is a systemic, pro-inflammatory, autoimmune disease that mainly affects the joints in a symmetrical manner. Differential proteomic profiling through Sequential Window Acquisition of all Theoretical Fragment Ion Mass Spectra (SWATH-MS/MS) helps in a better understanding of the RA pathogenesis. [...] Read more.
Background: Rheumatoid arthritis (RA) is a systemic, pro-inflammatory, autoimmune disease that mainly affects the joints in a symmetrical manner. Differential proteomic profiling through Sequential Window Acquisition of all Theoretical Fragment Ion Mass Spectra (SWATH-MS/MS) helps in a better understanding of the RA pathogenesis. In this study, we compared the differentially upregulated proteins with those associated with fibrosis to gain a deeper understanding of the fibrotic aspect of RA. Methods: We analyzed plasma proteomics data, previously obtained by SWATH-MS/MS. Our focus was on proteins associated with Leucine Rich Alpha2glycoprotein1 (LRG1) and we employed an in silico method. Results: We identified common proteins between RA and fibrosis. Among them, LRG1 and Serine Protease Inhibitor Clade A, Member 1 (SERPINA1) showed a high co-expression score in the gene clusters. LRG1 is both pro-inflammatory and pro-fibrotic, while SERPINA1 is an anti-inflammatory protein that inhibits pro-inflammatory and pro-fibrotic molecules (Elastase). Further, docking studies and a simulation study of the docked complexes with the analysis of Hydrogen bonds, Solvent Accessible Surface Area (SASA), Root Mean Square Deviation (RMSD), Root Mean Square Fluctuation (RMSF) and Radius of gyration (Rg), suggested a strong interaction between the two partners, LRG1 and SERPINA1. Conclusions: Our study suggests that LRG1 may inhibit SERPINA1 and promote inflammation and fibrotic processes by disrupting SERPINA1’s primary function. Full article
Show Figures

Figure 1

16 pages, 3760 KB  
Article
Low-Temperature Plasma Activation of Biomaterials and Its Stability over Time and Post-Sterilisation Effects
by Piotr Trębacz, Mateusz Pawlik, Aleksandra Kurkowska, Karolina Wilk, Agata Piątek and Michał Czopowicz
Materials 2026, 19(3), 643; https://doi.org/10.3390/ma19030643 - 6 Feb 2026
Viewed by 485
Abstract
Low-temperature plasma (LTP) activation is increasingly used as a surface modification technique to enhance the wettability and biological performance of metallic implants. However, the stability of plasma-induced surface changes and their interaction with standard sterilisation procedures remain insufficiently understood. This study aimed to [...] Read more.
Low-temperature plasma (LTP) activation is increasingly used as a surface modification technique to enhance the wettability and biological performance of metallic implants. However, the stability of plasma-induced surface changes and their interaction with standard sterilisation procedures remain insufficiently understood. This study aimed to evaluate the effects of LTP activation, steam sterilisation, and their combination with the wettability of metallic implant materials, as well as the temporal stability of these effects. Samples manufactured from Ti6Al4V sheet, additively manufactured Ti6Al4V, and additively manufactured cobalt–chromium alloy were subjected to low-temperature plasma activation, steam sterilisation, or both procedures. Surface wettability was assessed by measuring the contact angle of canine blood droplets immediately after treatment and over a five-day observation period. Low-temperature plasma activation resulted in a substantial reduction in the contact angle for all tested materials, indicating a pronounced increase in surface wettability. However, this effect gradually diminished over time. Steam sterilisation alone moderately improved wettability and showed relatively stable effects. When steam sterilisation was applied after plasma activation, the plasma-induced enhancement was significantly attenuated and rapidly lost during storage. These findings demonstrate that while LTP activation effectively improves surface wettability, its benefits are highly time-dependent and strongly influenced by subsequent sterilisation. Plasma activation should therefore be performed immediately before implantation or combined with sterilisation and storage strategies that preserve surface modifications. Full article
(This article belongs to the Special Issue Smart Biomaterials in Regenerative Engineering)
Show Figures

Figure 1

21 pages, 5441 KB  
Article
The Role of Plasma-Emitted Photons in Plasma-Catalytic CO2 Splitting over TiO2 Nanotube-Based Electrodes
by Palmarita Demoro, Nima Pourali, Francesco Pio Abramo, Christine Vantomme, Evgeny Rebrov, Gabriele Centi, Siglinda Perathoner, Sammy Verbruggen, Annemie Bogaerts and Salvatore Abate
Catalysts 2026, 16(2), 137; https://doi.org/10.3390/catal16020137 - 2 Feb 2026
Viewed by 467
Abstract
The plasma-catalytic conversion of CO2 is a promising route toward sustainable fuel and chemical production under mild operating conditions. However, many aspects still need to be better understood to improve performance and better understand the catalyst-plasma synergies. Among them, one aspect concerns [...] Read more.
The plasma-catalytic conversion of CO2 is a promising route toward sustainable fuel and chemical production under mild operating conditions. However, many aspects still need to be better understood to improve performance and better understand the catalyst-plasma synergies. Among them, one aspect concerns understanding whether photons emitted by plasma discharges could induce changes in the catalyst, thereby promoting interaction between plasma species and the catalyst. This question was addressed by investigating the CO2 splitting reaction in a planar dielectric barrier discharge (pDBD) reactor using titania-based catalysts that simultaneously act as discharge electrodes. Four systems were examined feeding pure CO2 at different flow rates and applied voltage: bare titanium gauze, anodically formed TiO2 nanotubes (TiNT), TiNT decorated with Ag–Au nanoparticles (TiNTAgAu), and TiNT supporting Ag–Au nanoparticles coated with polyaniline (TiNTAgAu/PANI). The TiNTAgAu exhibited the highest CO2 conversion (35% at 10 mL min−1 and 5.45 kV) and the most intense optical emission, even in the absence of external light irradiation, suggesting that the improvement is primarily attributed to plasma–nanoparticle interactions and self-induced localized surface plasmon resonance (si-LSPR) rather than conventional photocatalytic pathways. SEM analyses indicated severe plasma-induced degradation of TiNT and TiNTAgAu surfaces, leading to performance decay over time. In contrast, the TiNTAgAu/PANI catalyst retained structural integrity, with the polymeric coating mitigating plasma etching while maintaining competitive efficiency. There is thus a complex behavior with catalytic performance governed by nanostructure stability, plasmonic enhancement, and the interfacial protection. The results demonstrate how integrating plasmonic nanoparticles and conductive polymers can enable the rational design of durable and efficient plasma-photocatalysts for CO2 valorization and other plasma-assisted catalytic processes. Full article
Show Figures

Graphical abstract

34 pages, 1859 KB  
Review
Polymeric Fibrous Materials for Procoagulant and Anticoagulant Applications: A Review of Molecular Blood–Material Mechanisms and Strategies
by Marcin H. Kudzin, Monika Sikora, Zdzisława Mrozińska and Jerzy J. Chruściel
Materials 2026, 19(3), 539; https://doi.org/10.3390/ma19030539 - 29 Jan 2026
Viewed by 557
Abstract
Fiber-forming polymers are increasingly used to control blood coagulation, either by accelerating the onset of hemostasis or by limiting thrombogenic events in contact with blood. Despite rapid progress in materials engineering, a unified view linking the molecular mechanisms of the coagulation cascade with [...] Read more.
Fiber-forming polymers are increasingly used to control blood coagulation, either by accelerating the onset of hemostasis or by limiting thrombogenic events in contact with blood. Despite rapid progress in materials engineering, a unified view linking the molecular mechanisms of the coagulation cascade with specific design strategies of procoagulant and anticoagulant polymeric fibers is still missing. In this review, we summarize current knowledge on how natural and synthetic polymers interact with plasma proteins, platelets, and coagulation factors, emphasizing the role of fiber morphology, surface chemistry, charge distribution, and functionalization. Particular attention was paid to systems based on natural polysaccharides (e.g., chitosan, alginate, and cellulose derivatives), as well as synthetic polymers (e.g., PLA, PCL, polyurethanes, and zwitterionic materials). Two possible courses of action were described: their bioactivity may activate the contact pathway and/or support platelet adhesion or their ability to minimize protein adsorption and inhibit thrombin generation. We discuss how metal–polymer coordination, surface immobilization of heparin or nitric oxide donors, and nanoscale texturing modulate coagulation kinetics in opposite directions. Finally, we highlight emerging fiber-based strategies for achieving either rapid hemostasis or long-term hemocompatibility and propose design principles enabling precise tuning of coagulation responses for wound dressings, vascular grafts, and blood-contacting devices. This general compendium of knowledge on blood–material interactions provides a foundation for further design of biomaterials based on fiber-forming polymers and the development of manufacturing processes. Full article
(This article belongs to the Special Issue Materials for Drug Delivery and Medical Engineering)
Show Figures

Figure 1

14 pages, 4282 KB  
Article
Enhancing Plant Fibre-Reinforced Polymer Composites for Biomedical Applications Using Atmospheric Pressure Plasma Treatment
by Cho-Sin Nicole Chan, Wing-Yu Chan, Sun-Pui Ng, Chi-Wai Kan, Wang-Kin Chiu and Cheuk-Him Ng
Materials 2026, 19(3), 504; https://doi.org/10.3390/ma19030504 - 27 Jan 2026
Viewed by 380
Abstract
This research investigates the effects of corona plasma treatment on the mechanical properties of jute/epoxy-reinforced composites, particularly within biomedical application contexts. Plant Fibre Composites (PFCs) are attractive for medical devices and scaffolds due to their environmental friendliness, renewability, cost-effectiveness, low density, and high [...] Read more.
This research investigates the effects of corona plasma treatment on the mechanical properties of jute/epoxy-reinforced composites, particularly within biomedical application contexts. Plant Fibre Composites (PFCs) are attractive for medical devices and scaffolds due to their environmental friendliness, renewability, cost-effectiveness, low density, and high specific strength. However, their applications are often constrained by inferior mechanical performance arising from poor bonding between the plant fibre used as the reinforcement and the synthetic resin or polymer serving as the matrix. This study addresses the challenge of improving the weak interfacial bonding between plant fibre and synthetic resin in a 2/2 twill-weave-woven jute/epoxy composite material. The surface of the jute fibre is modified for better adhesion with the epoxy resin through plasma treatment, which exposes the jute fibre to controlled plasma energy and utilises dry air (plasma only), argon (Ar) (argon gas with plasma), and nitrogen (N2) (nitrogen gas with plasma) at two different distances (25 mm and 35 mm) between the plasma nozzle and the fibre surface. In this context, “equilibrium” refers to the optimal combination of plasma power, treatment distance, and gas environment that collectively determines the degree of fibre surface modification. The results indicate that all plasma treatments improve the interlaminar shear strength in comparison to untreated samples, with treatments at 35 mm using N2 gas showing a 35.4% increase in shear strength. Conversely, plasma treatment using dry air at 25 mm yields an 18.3% increase in tensile strength and a 35.7% increase in Young’s modulus. These findings highlight the importance of achieving an appropriate equilibrium among plasma intensity, treatment distance, and fibre–plasma interaction conditions to maximise the effectiveness of plasma treatment for jute/epoxy composites. This research advances sustainable innovation in biomedical materials, underscoring the potential for improved mechanical properties in environmentally friendly fibre-reinforced composites. Full article
(This article belongs to the Topic Advanced Composite Materials)
Show Figures

Graphical abstract

18 pages, 3825 KB  
Article
Low-Molecular-Weight Sulfated Chitosan Microparticles Efficiently Bind HIV-1 In Vitro: Potential for Microbicide Applications
by Sergio A. Bucarey, Verónica Ramos, Alejandro A. Hidalgo, Victor Neira, Andrónico Neira-Carrillo and Pablo Ferrer
Molecules 2026, 31(3), 395; https://doi.org/10.3390/molecules31030395 - 23 Jan 2026
Viewed by 305
Abstract
Background: Human Immunodeficiency Virus type 1 (HIV-1) remains a major global health challenge. Despite advances in antiretroviral therapy, new prevention strategies are needed, particularly topical microbicides capable of blocking the earliest steps of viral entry. HIV-1 attachment relies on interactions with heparan sulfate [...] Read more.
Background: Human Immunodeficiency Virus type 1 (HIV-1) remains a major global health challenge. Despite advances in antiretroviral therapy, new prevention strategies are needed, particularly topical microbicides capable of blocking the earliest steps of viral entry. HIV-1 attachment relies on interactions with heparan sulfate proteoglycans on host cell surfaces; therefore, sulfated heparan-mimetic polymers have been explored as antiviral agents. In this context, sulfated chitosan microparticles are designed to mimic natural glycosaminoglycan receptors, acting as biomimetic decoys that prevent viral attachment and entry. Methods: Low-molecular-weight sulfated chitosan (LMW Chi-S) microparticles were synthesized and characterized (SEM, EDS, DLS, FTIR) following US Patent No. 11,246,839 B2. Their antiviral activity was evaluated by incubating the microparticles with high-viral-load HIV-1-positive plasma (~3.5 × 106 copies/mL) to enable viral binding and removal by pull-down. The performance of the synthesized Chi-S microparticles was compared with established heparinoid controls, including soluble heparin and heparin microparticles. Results: Chi-S microparticles exhibited stronger virus-binding and neutralizing capacity than all heparinoid comparators, achieving up to 70% reduction in viral load relative to untreated HIV-1 plasma. In comparison, soluble heparin and heparin microparticles reduced viral load by approximately 53% and 60%, respectively. Subsequent evaluation across multiple tested concentrations confirmed a consistent antiviral effect, indicating that the synthesized Chi-S microparticles maintain robust virus–particle interactions throughout the concentration range examined. Conclusions: These findings demonstrate that LMW Chi-S microparticles possess potent antiviral properties and outperform classical heparinoid materials, supporting their potential application as topical microbicides targeting early HIV-1 entry mechanisms. Full article
Show Figures

Figure 1

21 pages, 3425 KB  
Article
Enhanced Cell Adhesion on Biofunctionalized Ti6Al4V Alloy: Immobilization of Proteins and Biomass from Spirulina platensis Microalgae
by Maria Fernanda Hart Orozco, Rosalia Seña, Lily Margareth Arrieta Payares, Alex A. Saez, Arturo Gonzalez-Quiroga and Virginia Paredes
Int. J. Mol. Sci. 2026, 27(2), 1041; https://doi.org/10.3390/ijms27021041 - 20 Jan 2026
Viewed by 419
Abstract
Titanium (Ti) and its alloys are widely used in biomedical applications due to their biocompatibility and corrosion resistance; however, surface modifications are required to enhance biological functionality. Surface functionalization using natural biomolecules has emerged as a promising strategy to improve early cell–surface interactions [...] Read more.
Titanium (Ti) and its alloys are widely used in biomedical applications due to their biocompatibility and corrosion resistance; however, surface modifications are required to enhance biological functionality. Surface functionalization using natural biomolecules has emerged as a promising strategy to improve early cell–surface interactions and biocompatibility of implant materials. In this study, Ti6Al4V alloy surfaces were biofunctionalized using Spirulina platensis (S. platensis) biomass and protein extract to evaluate morphological, chemical, and biological effects. The functionalization process involved activation with piranha solution, silanization with 3-aminopropyltriethoxysilane (APTES), and subsequent biomolecule immobilization. Surface characterization by scanning electron microscopy (SEM), inductively coupled plasma mass spectrometry (ICP-MS), energy-dispersive X-ray spectroscopy (EDS), and Fourier transform infrared spectroscopy (FTIR) confirmed the successful incorporation of microalgal components, including nitrogen-, phosphorus-, and oxygen-rich organic groups. Biomass-functionalized surfaces exhibited higher phosphorus and oxygen content, while protein-coated surfaces showed nitrogen-enrich chemical signatures, reflecting the distinct molecular compositions of the immobilized biomolecules. Cell adhesion assays demonstrated enhanced early cell attachment on biofunctionalized surfaces, particularly in samples functionalized with 5 g/L biomass for three hours, which showed significantly greater cell attachment than both the control and protein-treated samples. These findings highlight the complementary yet distinct roles of S. platensis biomass and protein extract in modulating surface chemistry and cell–material interactions, emphasizing the importance of tailoring biofunctionalization strategies to optimize early biological responses on titanium-based implants. Full article
(This article belongs to the Section Materials Science)
Show Figures

Graphical abstract

16 pages, 4957 KB  
Article
A Comparative Analysis of the Weld Pools Created with DC Single-, DC Double-, and PC Double-Electrode Configurations in Autogenous GTAW
by Shahid Parvez
J. Manuf. Mater. Process. 2026, 10(1), 32; https://doi.org/10.3390/jmmp10010032 - 13 Jan 2026
Viewed by 516
Abstract
Three different Gas Tungsten Arc Welding methods—DC single electrode, DC double electrode, and PC double electrode—were analyzed using SS304 steel as the base material. Numerical models were developed to simulate the arc plasmas and calculate heat flux, current density, and wall shear stress [...] Read more.
Three different Gas Tungsten Arc Welding methods—DC single electrode, DC double electrode, and PC double electrode—were analyzed using SS304 steel as the base material. Numerical models were developed to simulate the arc plasmas and calculate heat flux, current density, and wall shear stress on the surface of the workpiece. These data were used as input to simulate the weld pools across all three configurations. Experimental validation showed a good agreement with the numerical results. In the double-electrode setup, electromagnetic interaction caused the arcs to deflect, resulting in an 8% reduction in the maximum heat flux and a 4% decrease in the maximum current density. Marangoni stress had a notable effect on the weld pool shape, creating a -shaped pool with the stationary single-electrode setup, whereas the double-electrode setup produced a -shaped pool after 2 s. In the moving weld pool configurations, the sizes of the pools were maximum at the trailing electrodes. The pool was 1.7 mm deep and 5.6 mm wide in DC double- and 1.4 mm deep and 5.4 mm wide in PC double-electrode configurations. The pool depth and width were only 1.0 mm and 4.2 mm when a DC single-electrode setup was used. Comparing the three methods, the DC double-electrode setup produced the largest pool size. The findings of this research offer guidance for enhancing different arc settings and electrode arrangements to attain the intended welding quality and performance. Full article
(This article belongs to the Special Issue Innovative Approaches in Metal Forming and Joining Technologies)
Show Figures

Figure 1

Back to TopTop