Sign in to use this feature.

Years

Between: -

Subjects

remove_circle_outline
remove_circle_outline
remove_circle_outline
remove_circle_outline
remove_circle_outline
remove_circle_outline
remove_circle_outline
remove_circle_outline
remove_circle_outline

Journals

remove_circle_outline
remove_circle_outline
remove_circle_outline
remove_circle_outline
remove_circle_outline
remove_circle_outline
remove_circle_outline
remove_circle_outline
remove_circle_outline
remove_circle_outline
remove_circle_outline
remove_circle_outline
remove_circle_outline
remove_circle_outline
remove_circle_outline

Article Types

Countries / Regions

remove_circle_outline
remove_circle_outline
remove_circle_outline
remove_circle_outline
remove_circle_outline
remove_circle_outline
remove_circle_outline
remove_circle_outline

Search Results (3,766)

Search Parameters:
Keywords = plant disease control

Order results
Result details
Results per page
Select all
Export citation of selected articles as:
19 pages, 1142 KB  
Article
Impact of Lignite Combustion Air Pollution on Acute Coronary Syndrome and Atrial Fibrillation Incidence in Western Macedonia, Greece
by Vasileios Vasilakopoulos, Ioannis Kanonidis, Christina-Ioanna Papadopoulou, George Fragulis and Stergios Ganatsios
Int. J. Environ. Res. Public Health 2026, 23(1), 113; https://doi.org/10.3390/ijerph23010113 - 16 Jan 2026
Abstract
Air pollution from lignite combustion represents a major environmental and public health concern, particularly for cardiovascular disease. This study investigated the relationship between ambient air pollution and hospital admissions for Acute Coronary Syndromes (ACS) and Atrial Fibrillation (AF) in Western Macedonia, Greece—a region [...] Read more.
Air pollution from lignite combustion represents a major environmental and public health concern, particularly for cardiovascular disease. This study investigated the relationship between ambient air pollution and hospital admissions for Acute Coronary Syndromes (ACS) and Atrial Fibrillation (AF) in Western Macedonia, Greece—a region historically dominated by lignite mining and power generation. Air quality data for PM10, SO2, and NOx from 2011–2014 and 2021 were analyzed alongside hospital admission records from four regional hospitals (Kozani, Ptolemaida, Florina, Grevena). Spatial analyses revealed significantly higher pollutant concentrations and cardiovascular admissions in high-exposure areas near power plants compared with the control area. Temporal analyses demonstrated a pronounced decline in pollutant levels between 2014 and 2021, coinciding with lignite phase-out and accompanied by a marked reduction in ACS and AF hospitalizations, particularly in the high-exposure areas of Ptolemaida and Florina. Correlation analyses indicated modest but significant positive associations between monthly pollutant concentrations and cardiovascular admissions. These findings provide real-world evidence that reductions in air pollution following lignite decommissioning were associated with improved cardiovascular outcomes. The study underscores the medical importance of air quality improvement and highlights emission reduction as a critical strategy for cardiovascular disease prevention in transitioning energy regions. Full article
Show Figures

Figure 1

17 pages, 2852 KB  
Article
A Lightweight Edge-AI System for Disease Detection and Three-Level Leaf Spot Severity Assessment in Strawberry Using YOLOv10n and MobileViT-S
by Raikhan Amanova, Baurzhan Belgibayev, Madina Mansurova, Madina Suleimenova, Gulshat Amirkhanova and Gulnur Tyulepberdinova
Computers 2026, 15(1), 63; https://doi.org/10.3390/computers15010063 - 16 Jan 2026
Abstract
Mobile edge-AI plant monitoring systems enable automated disease control in greenhouses and open fields, reducing dependence on manual inspection and the variability of visual diagnostics. This paper proposes a lightweight two-stage edge-AI system for strawberries, in which a YOLOv10n detector on board a [...] Read more.
Mobile edge-AI plant monitoring systems enable automated disease control in greenhouses and open fields, reducing dependence on manual inspection and the variability of visual diagnostics. This paper proposes a lightweight two-stage edge-AI system for strawberries, in which a YOLOv10n detector on board a mobile agricultural robot locates leaves affected by seven common diseases (including Leaf Spot) with real-time capability on an embedded platform. Patches are then automatically extracted for leaves classified as Leaf Spot and transmitted to the second module—a compact MobileViT-S-based classifier with ordinal output that assesses the severity of Leaf Spot on three levels (S1—mild, S2—moderate, S3—severe) on a specialised set of 373 manually labelled leaf patches. In a comparative experiment with lightweight architectures ResNet-18, EfficientNet-B0, MobileNetV3-Small and Swin-Tiny, the proposed Ordinal MobileViT-S demonstrated the highest accuracy in assessing the severity of Leaf Spot (accuracy ≈ 0.97 with 4.9 million parameters), surpassing both the baseline models and the standard MobileViT-S with a cross-entropy loss function. On the original image set, the YOLOv10n detector achieves an mAP@0.5 of 0.960, an F1 score of 0.93 and a recall of 0.917, ensuring reliable detection of affected leaves for subsequent Leaf Spot severity assessment. The results show that the “YOLOv10n + Ordinal MobileViT-S” cascade provides practical severity-aware Leaf Spot diagnosis on a mobile agricultural robot and can serve as the basis for real-time strawberry crop health monitoring systems. Full article
Show Figures

Figure 1

25 pages, 5247 KB  
Article
Transcriptome-Wide Profiling of RNA M6A Modifications in Soybean Reveals Shared and Specific Mechanisms of Resistance to Viral and Bacterial Infections
by Guoqing Peng, Jianan Zou, Honghao Dong, Jing Wang, Qiuyu Wang, Dawei Xin, Qingshan Chen and Zhaoming Qi
Agronomy 2026, 16(2), 208; https://doi.org/10.3390/agronomy16020208 - 15 Jan 2026
Viewed by 38
Abstract
Bacterial and viral diseases significantly reduce soybean (Glycine max) yield and quality. RNA modifications, particularly N6-methyladenosine (m6A), are increasingly recognized as having a regulatory role in plant–pathogen interactions, but the m6A methylome of soybean during [...] Read more.
Bacterial and viral diseases significantly reduce soybean (Glycine max) yield and quality. RNA modifications, particularly N6-methyladenosine (m6A), are increasingly recognized as having a regulatory role in plant–pathogen interactions, but the m6A methylome of soybean during viral and bacterial infection has not yet been characterized. Here, we performed transcriptome sequencing and MeRIP-seq (methylated RNA immunoprecipitation followed by high-throughput sequencing) of soybean leaves infected with Soybean mosaic virus (SMV) and/or Pseudomonas syringae pv. glycinea (Psg). In general, m6A peaks were highly enriched near stop codons and in 3′-UTR regions of soybean transcripts, and m6A methylation was negatively correlated with transcript abundance. Multiple genes showed differential methylation between infected and control plants: 1122 in Psg-infected plants, 539 in SMV-infected plants, and 2269 in co-infected plants; 195 (Psg), 84 (SMV), and 354 (Psg + SMV) of these transcripts were both differentially methylated and differentially expressed. Interestingly, viral infection was predominantly associated with hypermethylation and downregulation, whereas bacterial infection was predominantly associated with hypomethylation and upregulation. GO and KEGG enrichment analysis revealed shared processes likely affected by changes in m6A methylation during bacterial and viral infection, including ATP-dependent RNA helicase activity, RNA binding, and endonuclease activity, as well as specific processes affected by only one pathogen. Our findings shed light on the role of m6A modifications during pathogen infection and highlight potential targets for epigenetic editing to increase the broad-spectrum disease resistance of soybean. Full article
(This article belongs to the Section Pest and Disease Management)
Show Figures

Figure 1

16 pages, 1795 KB  
Article
ΔFW-NPS6-Dependent Transcriptome Profiling Reveals Putative Pathogenicity Genes in Fusarium oxysporum
by Xuhong Ye, Li Zhang, Jianjie Zhang, Haozhe Lu, Jiaqi Li and Hongtao Zou
Int. J. Mol. Sci. 2026, 27(2), 830; https://doi.org/10.3390/ijms27020830 - 14 Jan 2026
Viewed by 66
Abstract
Fusarium oxysporum f. sp. niveum is an increasingly threatening fungal pathogen that systemically colonizes watermelon plants and severely compromises their productivity by causing destructive vascular wilt disease. While its nonribosomal peptide synthetase NPS6 has been identified as a key virulence factor, the regulatory [...] Read more.
Fusarium oxysporum f. sp. niveum is an increasingly threatening fungal pathogen that systemically colonizes watermelon plants and severely compromises their productivity by causing destructive vascular wilt disease. While its nonribosomal peptide synthetase NPS6 has been identified as a key virulence factor, the regulatory mechanisms through which it controls downstream gene networks to cause disease remain unclear. To elucidate this regulatory pathway, we constructed a ΔFW-NPS6 knockout mutant and conducted a comparative genome-wide analysis using RNA sequencing, with the wild-type strain as a control. The results revealed 66 NPS6-dependent differentially expressed genes, which were primarily associated with secondary-metabolite biosynthesis (e.g., genes encoding nonribosomal peptide synthetases like NPS2) and pathogen–host interactions (e.g., components of the MAPK signaling pathway), and were enriched in key pathogenic pathways. This finding reveals the virulence regulatory network mediated by NPS6, providing a direct theoretical foundation and crucial molecular targets for developing novel control strategies, such as targeted fungicides or genetic interventions, against Fusarium wilt in watermelon by highlighting NPS6 itself as a potential fungicide target and its downstream pathways (e.g., siderophore biosynthesis) as points for intervention. Full article
Show Figures

Figure 1

22 pages, 2424 KB  
Article
Efficacy of Slow Sand Filtration Enriched with Trichoderma atroviride in the Control of Fusarium oxysporum in Soilless Cultivation Systems
by Pedro Matias, Luísa Coelho and Mário Reis
Pathogens 2026, 15(1), 91; https://doi.org/10.3390/pathogens15010091 - 14 Jan 2026
Viewed by 60
Abstract
On a planet intending to move toward carbon neutrality while ensuring food security, maximizing water and nutrient use efficiency in agriculture is essential. Soilless cultivation offers a promising solution for food production, yet in substrate-based systems, excess nutrient solution (drainage) is often discarded [...] Read more.
On a planet intending to move toward carbon neutrality while ensuring food security, maximizing water and nutrient use efficiency in agriculture is essential. Soilless cultivation offers a promising solution for food production, yet in substrate-based systems, excess nutrient solution (drainage) is often discarded to maintain phytosanitary safety, resulting in considerable water and nutrient waste. Reusing this drainage requires disinfection to eliminate pathogens. Among available methods, slow sand filtration (SSF) is ecological, economical, and simple, showing strong biological control potential, though not always fully effective against Fusarium oxysporum. Trichoderma atroviride, an antagonistic fungus, may enhance SSF performance. Its antagonistic capacity was evaluated in vitro via direct confrontation assays and in vivo using a closed-loop soilless cucumber cultivation system with eight treatment combinations of SSF, T. atroviride, and F. oxysporum. SSF reduced F. oxysporum incidence by approximately 48%, T. atroviride in irrigation by 44%, and SSF enriched with T. atroviride reached 58% disease incidence reduction, though this increase was not statistically significant. These results confirm that both SSF and T. atroviride can partially suppress F. oxysporum, but further optimization is needed for consistent and complete pathogen control. Full article
(This article belongs to the Special Issue Current Research in the Control of Plant Pathogenic Fusarium Species)
Show Figures

Figure 1

26 pages, 4529 KB  
Review
Key Technologies for Intelligent Operation of Plant Protection UAVs in Hilly and Mountainous Areas: Progress, Challenges, and Prospects
by Yali Zhang, Zhilei Sun, Wanhang Peng, Yeqing Lin, Xinting Li, Kangting Yan and Pengchao Chen
Agronomy 2026, 16(2), 193; https://doi.org/10.3390/agronomy16020193 - 13 Jan 2026
Viewed by 125
Abstract
Hilly and mountainous areas are important agricultural production regions globally. Their dramatic topography, dense fruit tree planting, and steep slopes severely restrict the application of traditional plant protection machinery. Pest and disease control has long relied on manual spraying, resulting in high labor [...] Read more.
Hilly and mountainous areas are important agricultural production regions globally. Their dramatic topography, dense fruit tree planting, and steep slopes severely restrict the application of traditional plant protection machinery. Pest and disease control has long relied on manual spraying, resulting in high labor intensity, low efficiency, and pesticide utilization rates of less than 30%. Plant protection UAVs, with their advantages of flexibility, high efficiency, and precise application, provide a feasible technical approach for plant protection operations in hilly and mountainous areas. However, steep slopes and dense orchard environments place higher demands on key technologies such as drone positioning and navigation, attitude control, trajectory planning, and terrain following. Achieving accurate identification and adaptive following of the undulating fruit tree canopy while maintaining a constant spraying distance to ensure uniform pesticide coverage has become a core technological bottleneck. This paper systematically reviews the key technologies and research progress of plant protection UAVs in hilly and mountainous operations, focusing on the principles, advantages, and limitations of core methods such as multi-sensor fusion positioning, intelligent SLAM navigation, nonlinear attitude control and intelligent control, three-dimensional trajectory planning, and multimodal terrain following. It also discusses the challenges currently faced by these technologies in practical applications. Finally, this paper discusses and envisions the future of plant protection UAVs in achieving intelligent, collaborative, and precise operations on steep slopes and in dense orchards, providing theoretical reference and technical support for promoting the mechanization and intelligentization of mountain agriculture. Full article
(This article belongs to the Section Precision and Digital Agriculture)
Show Figures

Figure 1

14 pages, 2262 KB  
Article
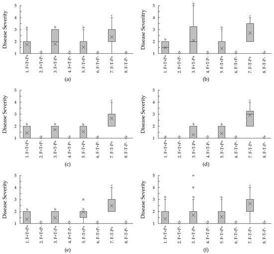
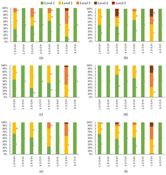
Improved Biological Control of Bacterial Leaf Blight Using a Surfactant Complex of CO2 Micro-Nanobubbles Coated with Crude Ethyl Acetate Extract of Trichoderma polyalthiae UBZSN2-1
by Wasan Seemakram, Thanapat Suebrasri, Saranya Chantawong, Sornamol Traiphop, Sriprajak Krongsuk, Jirawat Sanitchon, Thanawan Gateta and Sophon Boonlue
Plants 2026, 15(2), 245; https://doi.org/10.3390/plants15020245 - 13 Jan 2026
Viewed by 125
Abstract
The bacterium Xanthomonas oryzae pv. oryzae is an important pathogen that causes wilt leaf blight disease in rice (Oryza sativa L.), leading to a reduction in rice yield. Therefore, this study aimed to investigate the potential of a surfactant complex composed of [...] Read more.
The bacterium Xanthomonas oryzae pv. oryzae is an important pathogen that causes wilt leaf blight disease in rice (Oryza sativa L.), leading to a reduction in rice yield. Therefore, this study aimed to investigate the potential of a surfactant complex composed of CO2 nanobubbles (CO2-NBs) coated with sorbitan monostearate (Sp60) and a crude extract of Trichoderma polyalthiae as active ingredient delivery agents for controlling leaf blight under both laboratory and greenhouse conditions. The addition of Sp60 and crude extract as surfactants significantly influenced the size uniformity and stability of CO2-NBs at the nano level, with the nanobubbles remaining intact in water for up to 14 days. In addition, CO2-NBs with crude extract and Sp60 reduced the severity of wilt, with an minimum inhibitory concentration (MIC) value of 64 µg/mL and an minimum bactericidal concentration (MBC) value of 128 µg/mL, and inhibited the disease by more than 50% in greenhouse conditions. Therefore, this study presents a creative and eco-friendly approach to managing bacterial leaf blight in rice that is innovative and relevant to sustainable plant protection. Full article
Show Figures

Graphical abstract

22 pages, 1609 KB  
Review
An Overview of the Alternaria Genus: Ecology, Pathogenicity and Importance for Agriculture and Human Health
by Stanislava A. Vinogradova, Konstantin V. Kiselev and Andrey R. Suprun
J. Fungi 2026, 12(1), 64; https://doi.org/10.3390/jof12010064 - 13 Jan 2026
Viewed by 235
Abstract
Alternaria is a widespread genus and a diverse taxonomic group of fungi, whose members exhibit a wide range of ecological roles, from endophytes and saprophytes to potent plant pathogens, and in some cases, to opportunistic pathogens or allergens affecting humans. Their high adaptability [...] Read more.
Alternaria is a widespread genus and a diverse taxonomic group of fungi, whose members exhibit a wide range of ecological roles, from endophytes and saprophytes to potent plant pathogens, and in some cases, to opportunistic pathogens or allergens affecting humans. Their high adaptability to various environmental conditions determines their widespread distribution and resilience. A key feature of the genus Alternaria is its substantial species diversity. According to the Species Fungorum database, it currently comprises 792 registered species, which are grouped into 29 sections. It should be noted that this number reflects the current state of taxonomic classification and is subject to ongoing revision. The ecological role of representatives of this genus is particularly relevant in the context of agriculture, as many species are pathogens and causative agents of Alternaria leaf spot in important agricultural plants such as tomatoes, potatoes, apples, wheat, and others. This disease causes significant economic losses. At the same time, some strains demonstrate potential for use in biotechnology due to their ability to produce biologically active metabolites. This review examines the taxonomy, morphological characteristics, ecological role, pathogenicity, and control methods of fungi of the genus Alternaria, as well as their biotechnological potential. Full article
(This article belongs to the Section Fungi in Agriculture and Biotechnology)
Show Figures

Figure 1

30 pages, 1366 KB  
Review
Verticillium Wilt of Cotton: Identification and Detection of the Causal Pathogen and Its Control
by Duy P. Le, Carlos Trapero, Chi P. T. Nguyen, Thao T. Tran, Donald Gardiner and Andrew Chen
Plants 2026, 15(2), 239; https://doi.org/10.3390/plants15020239 - 13 Jan 2026
Viewed by 357
Abstract
Verticillium wilt (VW) of cotton caused by the soilborne pathogen Verticillium dahliae is a major disease across cotton production worldwide. The disease can result in yield reductions up to 80% on some occasions. V. dahliae is an asexual fungus and belongs to a [...] Read more.
Verticillium wilt (VW) of cotton caused by the soilborne pathogen Verticillium dahliae is a major disease across cotton production worldwide. The disease can result in yield reductions up to 80% on some occasions. V. dahliae is an asexual fungus and belongs to a relatively small Verticillium genus in the Ascomycota, though both of the mating type idiomorphs are present within some populations. The diversity of V. dahliae is widely associated with vegetative compatibility groups (VCGs), of which six different VCGs are recognised. Of these, isolates belonging to VCGs 1, 2, and 4 are globally distributed and associated with a broad host range, including cotton. Approximately 400 plant species have been recorded as hosts of V. dahliae. The pathogenicity and virulence of V. dahliae in many cases are correlated with VCG designations and hosts of origin. Disease management of VW of cotton still relies on accurate, rapid detection and quantification of V. dahliae using both conventional and molecular approaches. The use of resistant cultivars is the most effective and economical control strategy; however, no cultivars confer complete resistance to the disease. Control strategies including cultural, biological, chemical, and induced-resistance approaches have indicated certain degrees of success in minimising disease damage and diminishing the build-up of pathogen inoculum. In this review, we discuss insights into the VW disease of cotton, and the associated pathogen and current control approaches, as well as future research perspectives. Full article
(This article belongs to the Special Issue Mycology and Plant Pathology—2nd Edition)
Show Figures

Figure 1

16 pages, 2951 KB  
Article
Antioxidant and Anti-Inflammatory Constituents from the Roots of Anodendron affine: Inhibition of the fMLP-Induced Superoxide Anion Generation and Molecular Docking Studies
by Shih-Jung Cheng, Yuen-Sing Lee, Lin-Yang Cheng, Sin-Min Li and Jih-Jung Chen
Antioxidants 2026, 15(1), 97; https://doi.org/10.3390/antiox15010097 - 12 Jan 2026
Viewed by 174
Abstract
Oxidative stress is a key driver of chronic inflammatory diseases. Anodendron affine is a native Formosan plant species in Taiwan that remains largely underexplored phytochemically and bioactivity. To reveal the bioactive constituents and assess its potential as a source of anti-inflammatory antioxidants, we [...] Read more.
Oxidative stress is a key driver of chronic inflammatory diseases. Anodendron affine is a native Formosan plant species in Taiwan that remains largely underexplored phytochemically and bioactivity. To reveal the bioactive constituents and assess its potential as a source of anti-inflammatory antioxidants, we performed bioactivity-guided fractionation and evaluated the inhibition of superoxide anion (O2•−) generation in formyl-L-methionyl-L-leucyl-L-phenylalanine-stimulated human neutrophils. Molecular docking simulations were employed to model interactions with Formyl peptide receptor 1 (FPR1) and the Nicotinamide adenine dinucleotide phosphate (NADPH) oxidase complex, including neutrophil cytosol factor 1 (p47phox) and NADPH oxidase 2 (NOX2), to propose a theoretical mechanism of action. Phytochemical investigation led to the isolation of two new compounds, methyl 4,5-O-diferuloyl-3-methoxyquinate (1) and 16-pregnen-3,12,20-trione (2), together with four known compounds. Notably, 4-hydroxy-3-prenylbenzoic acid (5) exhibited potent inhibitory activity (IC50 = 17.65 ± 0.97 μM), surpassing the activity of the positive control, ibuprofen (IC50 = 27.85 ± 3.56 μM). Docking studies suggested that anodendrosin H (4) and 4-hydroxy-3-prenylbenzoic acid (5) exhibit high predicted binding affinity to p47phox and NOX2. Based on these results, compounds 1, 4, and 5 from A. affine were identified as potential lead candidates for the development of novel anti-inflammatory therapeutics. Full article
(This article belongs to the Special Issue Plant Materials and Their Antioxidant Potential, 3rd Edition)
Show Figures

Figure 1

18 pages, 2552 KB  
Article
Transgenic Citrus sinensis Expressing the Pepper Bs2 R-Gene Shows Broad Transcriptional Activation of Defense Responses to Citrus Canker
by Lorena Noelia Sendín, Verónica Andrea Ledesma, Rocío Liliana Gómez, Qibin Yu, Frederick G. Gmitter, Patricia Albornoz, Esteban Mariano Pardo, Ramón Enrique, Atilio Pedro Castagnaro and María Paula Filippone
Agronomy 2026, 16(2), 187; https://doi.org/10.3390/agronomy16020187 - 12 Jan 2026
Viewed by 161
Abstract
The pepper Bs2 resistance gene confers resistance to susceptible Solanaceae plants against pathogenic strains of Xanthomonas campestris pv. vesicatoria carrying the avrBs2 avirulence gene. Previously, we generated Bs2-transgenic Citrus sinensis plants that exhibited enhanced resistance to citrus canker caused by Xanthomonas citri [...] Read more.
The pepper Bs2 resistance gene confers resistance to susceptible Solanaceae plants against pathogenic strains of Xanthomonas campestris pv. vesicatoria carrying the avrBs2 avirulence gene. Previously, we generated Bs2-transgenic Citrus sinensis plants that exhibited enhanced resistance to citrus canker caused by Xanthomonas citri subsp. citri (Xcc), although the underlying mechanisms remained unknown. To elucidate the molecular basis of the early defense response, we performed a comparative transcriptomic analysis of Bs2-expressing and non-transgenic plants 48 h after Xcc inoculation. A total of 2022 differentially expressed genes (DEGs) were identified, including 1356 up-regulated and 666 down-regulated genes. In Bs2-plants, 36.8% of the up-regulated DEGs were associated with defense responses and biotic stress. Functional annotation revealed major changes in genes encoding receptor-like kinases, transcription factors, hormone biosynthesis enzymes, pathogenesis-related proteins, secondary metabolism, and cell wall modification. Among hormone-related pathways, genes linked to ethylene biosynthesis and signaling were the most strongly regulated. Consistently, endogenous ethylene levels increased in Bs2-plants following Xcc infection, and treatment with an ethylene-releasing compound enhanced resistance in non-transgenic plants. Overall, our results indicate the Bs2 expression activates a complex defense network in citrus and may represent a valuable strategy for controlling canker and other Xanthomonas-induced diseases. Full article
(This article belongs to the Section Pest and Disease Management)
Show Figures

Figure 1

18 pages, 7749 KB  
Article
From Early Signals to Systemic Decline: Physiological Defense Landscape of Agave tequilana in the Fusarium oxysporum Pathosystem
by Diego E. Navarro-López, Julio César López-Velázquez, Antonia Gutiérrez-Mora, Mayra Itzcalotzin Montero-Cortés, Martin Eduardo Avila-Miranda, Norma Alejandra Mancilla-Margalli, Elizabeth Sánchez-Jiménez, Miriam Irene Jiménez-Pérez, Jorge L. Mejía-Méndez and Joaquín Alejandro Qui-Zapata
Plants 2026, 15(2), 233; https://doi.org/10.3390/plants15020233 - 12 Jan 2026
Viewed by 215
Abstract
The agave wilt associated with Fusarium oxysporum (Fox) is a major disease of blue agave (Agave tequilana Weber var. azul), used to produce “Tequila” in Mexico. Little is known about the A. tequilana-F. oxysporum interaction yet understanding defense mechanisms [...] Read more.
The agave wilt associated with Fusarium oxysporum (Fox) is a major disease of blue agave (Agave tequilana Weber var. azul), used to produce “Tequila” in Mexico. Little is known about the A. tequilana-F. oxysporum interaction yet understanding defense mechanisms against the pathogen is necessary for control strategies. During early Fox infection, plants trigger defense mechanisms to interrupt the compatible interaction, while Fox’s pathogenesis mechanism interacts with plant response. This study evaluated plant defense mechanisms induced by Fox in A. tequilana and their interaction with fungal pathogenesis. For this, an A. tequilana pathogenic strain (FPA), and the non-A. tequilana pathogenic strains FNPA and FOL were utilized. Early defense mechanisms evaluated were hypersensitive response (HR) and cell wall strengthening in agave roots. Resistance mechanisms evaluated included pathogenesis-related proteins (PR proteins), phytoanticipins and phytoalexins. For early defense, induced HR was greater with FPA than other strains. Cell wall strengthening was found in agave roots, plants responded differentially to different strains. Initial response to FPA and FOL was similar in PR proteins, phytoalexins and phytoanticipins production. However, the response differentiated with FOL over time, indicating an incompatible interaction. The study identified effective and ineffective defense responses of A. tequilana to Fox infection, where FPA exhibited compatibility and caused unregulated ROS and PCD, early inhibition of PR activity, extensive lignification, and saponin detoxification. In contrast, this study unveiled incompatible interactions (FNPA and FOL) because of limited colonization, localized HR with suppressed ROS, early and sustained POX activation, significant callose accumulation, moderate lignification, and phenol–saponin dynamics that help in tissue containment and recovery. Full article
Show Figures

Figure 1

17 pages, 4129 KB  
Article
Development and Comparison of Visual Colorimetric Endpoint LAMP and Real-Time LAMP-SYBR Green I Assays for Alternaria alternata (Fr.) Keissl in European Plum
by Hongyue Li, Canpeng Fu, Pan Xie, Wenwen Gao, Zhiqiang Mu, Lingkai Xu, Qiuyan Han and Shuaishuai Sha
J. Fungi 2026, 12(1), 56; https://doi.org/10.3390/jof12010056 - 12 Jan 2026
Viewed by 233
Abstract
European plum (Prunus domestica L.) is widely cultivated worldwide, with China producing 6.8 million t annually (55% of the global total output). However, the Kashgar region of Xinjiang, China’s primary production area, has experienced outbreaks of brown spot disease caused by Alternaria [...] Read more.
European plum (Prunus domestica L.) is widely cultivated worldwide, with China producing 6.8 million t annually (55% of the global total output). However, the Kashgar region of Xinjiang, China’s primary production area, has experienced outbreaks of brown spot disease caused by Alternaria alternata (Fr.) Keissl. Outbreaks of this disease severely hinder both domestic and global development of the European plum industry. Because this pathogen has a strong latent infection capability during the early stages of disease development, its early detection is important. We develop two detection methods targeting the ITS sequence of A. alternata: LAMP-Cresol Red chromogenic visible endpoint detection and LAMP-SYBR Green I real-time fluorescent detection. Both methods demonstrate high specificity for A. alternata, enabling stable detection of the pathogen in various plant samples; detection limits reach the femtogram (fg) level, significantly surpassing conventional PCR detection capabilities. Development of these highly efficient and precise early detection methods provides a solid foundation for sustainable development of China as a global hub of the European plum industry, and contributes significantly to global disease prevention, control, and industrial stability for this crop. Full article
(This article belongs to the Section Fungal Genomics, Genetics and Molecular Biology)
Show Figures

Figure 1

24 pages, 4743 KB  
Article
Antifungal Potential of Diaporthe sp. Endophytes from Antillean Avocado Against Fusarium spp.: From Organic Extracts to In Silico Chitin Synthase Inhibition
by Angie T. Robayo-Medina, Katheryn Michell Camargo-Jimenez, Felipe Victoria-Muñoz, Wilman Delgado-Avila, Luis Enrique Cuca and Mónica Ávila-Murillo
J. Fungi 2026, 12(1), 52; https://doi.org/10.3390/jof12010052 - 11 Jan 2026
Viewed by 182
Abstract
Fungal endophytes have emerged as a promising source of bioactive compounds with potent antifungal properties for plant disease management. This study aimed to isolate and characterize fungal endophytes from Antillean avocado (Persea americana var. americana) trees in the Colombian Caribbean, capable [...] Read more.
Fungal endophytes have emerged as a promising source of bioactive compounds with potent antifungal properties for plant disease management. This study aimed to isolate and characterize fungal endophytes from Antillean avocado (Persea americana var. americana) trees in the Colombian Caribbean, capable of producing bio-fungicide metabolites against Fusarium solani and Fusarium equiseti. For this, dual culture assays, liquid-state fermentation of endophytic isolates, and metabolite extractions were conducted. From 88 isolates recovered from leaves and roots, those classified within the Diaporthe genus exhibited the most significant antifungal activity. Some of their organic extracts displayed median inhibitory concentrations (IC50) approaching 200 μg/mL. To investigate the mechanism of action, in silico studies targeting chitin synthase (CS) were performed, including homology models of the pathogens’ CS generated using Robetta, followed by molecular docking with Vina and interaction fingerprint similarity analysis of 15 antifungal metabolites produced by Diaporthe species using PROLIF. A consensus scoring strategy identified diaporxanthone A (12) and diaporxanthone B (13) as the most promising candidates, achieving scores up to 0.73 against F. equiseti, comparable to the control Nikkomycin Z (0.82). These results suggest that Antillean avocado endophytes produce bioactive metabolites that may inhibit fungal cell wall synthesis, offering a sustainable alternative for disease management. Full article
(This article belongs to the Special Issue Biological Control of Fungal Plant Pathogens)
Show Figures

Figure 1

23 pages, 19213 KB  
Article
From Wide-Area Screening to Precise Diagnosis: A Two-Step Air-Ground Collaborative Approach for the Detection of Citrus Huanglongbing
by Shiqing Dou, Shixin Yuan, Xiaoyu Zhang, Yichang Hou, Guichuan Wu, Zhengmin Mei, Yaqin Song and Genhong Qi
Agriculture 2026, 16(2), 180; https://doi.org/10.3390/agriculture16020180 - 11 Jan 2026
Viewed by 238
Abstract
In response to the urgent need for efficient, precise and low-cost monitoring of Huanglongbing in large-scale citrus orchards, this study explored a two-step technical framework of “wide-area screening to precise diagnosis” for the aerial-ground collaboration. In the wide-area screening stage of the drone, [...] Read more.
In response to the urgent need for efficient, precise and low-cost monitoring of Huanglongbing in large-scale citrus orchards, this study explored a two-step technical framework of “wide-area screening to precise diagnosis” for the aerial-ground collaboration. In the wide-area screening stage of the drone, a lightweight YOLOv8-SNNL new model was constructed, which significantly reduced the number of parameters while enhancing the ability to capture subtle symptoms of the canopy. This model achieved an accuracy rate of 90.6%, a recall rate of 93.3%, and an mAP50 of 96.6% on the independent test set, enabling efficient and reliable positioning of suspected diseased plants. Then, the ground operators reached the corresponding locations based on the geographic coordinate position information output by the drone. Using the constructed SRSA-YOLO-World model for ground precise diagnosis, the constructed model achieved an identification accuracy of 99.5% for diseased leaves in complex field environments. Based on the positioning and diagnosis results output by both models, managers were provided with a decision-making basis. The aerial-ground collaboration strategy integrates the efficiency of drone “wide-area screening” and the precision of ground equipment “precise diagnosis”, providing a new solution for replacing the traditional manual inspection mode and achieving precise prevention and control in large-scale orchards. Full article
(This article belongs to the Section Artificial Intelligence and Digital Agriculture)
Show Figures

Figure 1

Back to TopTop