Sign in to use this feature.

Years

Between: -

Subjects

remove_circle_outline
remove_circle_outline
remove_circle_outline
remove_circle_outline
remove_circle_outline
remove_circle_outline
remove_circle_outline
remove_circle_outline
remove_circle_outline

Journals

remove_circle_outline
remove_circle_outline
remove_circle_outline
remove_circle_outline
remove_circle_outline
remove_circle_outline
remove_circle_outline
remove_circle_outline
remove_circle_outline
remove_circle_outline
remove_circle_outline
remove_circle_outline
remove_circle_outline

Article Types

Countries / Regions

remove_circle_outline
remove_circle_outline
remove_circle_outline
remove_circle_outline
remove_circle_outline
remove_circle_outline
remove_circle_outline
remove_circle_outline

Search Results (917)

Search Parameters:
Keywords = plant aerial parts

Order results
Result details
Results per page
Select all
Export citation of selected articles as:
18 pages, 1034 KB  
Article
Chemical Composition, Antimicrobial, Antioxidant, and Anticancer Activities of Jacquemontia pentantha Essential Oils
by Noorah A. Alkubaisi, Mashail Fahad Alsayed, Hissah Abdulrahman Alodaini, Fuad Alanazi, Abdulhadi M. Abdulwahed and Ibrahim M. Aziz
Molecules 2026, 31(2), 296; https://doi.org/10.3390/molecules31020296 - 14 Jan 2026
Viewed by 179
Abstract
Jacquemontia pentantha (Jacq.) G. Don. (Convolvulaceae): This is a plant with rich ethnobotanical uses, but its essential oil (EO) composition and overall biological properties remain largely uninvestigated. In this research, the J. pentantha EO (JPEO) is characterized in a thorough manner, [...] Read more.
Jacquemontia pentantha (Jacq.) G. Don. (Convolvulaceae): This is a plant with rich ethnobotanical uses, but its essential oil (EO) composition and overall biological properties remain largely uninvestigated. In this research, the J. pentantha EO (JPEO) is characterized in a thorough manner, with an evaluation of its in vitro antioxidant, antimicrobial, and cytotoxic properties, aiming to provide scientific support for ethnobotanical uses, as well as the definition of new potentialities. The EOs were isolated from the aerial part of the plant via hydrodistillation, and a qualitative analysis of the components was carried out via GC–MS. The biological properties were investigated by means of standard in vitro assays: namely, DPPH and ABTS for the measurement of antioxidant activity, the disk diffusion technique, and the microbroth dilution assay for the evaluation of antimicrobial activity against six bacterial species, as well as for the assessment of the activity against five species of Candida fungi, whereas the cytotoxic activity against MCF-7 and HepG2 cells was assessed using the MTT assay. Preliminary characterization of the EOs via GC/MS revealed a particular “chemical profile” with a high concentration of himachalene-type sesquiterpenes, namely, β-himachalene (6.47%) and (+)-α-himachalene (6.46%), together with phenolic monoterpenoids. The EOs showed significant antioxidant activity (IC50 = 172.41 and 378.94 µg/mL, respectively), high phenolic content (97.34 mg GAE/g), and significant antibacterial activity (MIC = 4.68 µg/mL), especially against Pseudomonas aeruginosa, as well as against Candida albicans (MFC = 3.90 µg/mL), together with dose-dependent cytotoxic effects on the two cell lines, with IC50 = 161.62 and 151.87 µg/mL, respectively. This research indicates that the EO of this plant is a potential source of a certain “chemical profile” with noteworthy antibacterial and cytotoxic properties, thus providing scientific support for its ethnobotanical use and highlighting its particular potential for developing pharmaceutical agents against infections and cancer. Full article
Show Figures

Figure 1

31 pages, 1471 KB  
Article
Seasonal Variation in Wild Rosmarinus officinalis L.: Phytochemicals and Their Multifunctional Potential Against Metabolic Disorders
by Khaled Kherraz, Khalil Guelifet, Mokhtar Benmohamed, Luca Rastrelli, Latifa Khattabi, Afaf Khadra Bendrihem, Abderrazek Ferhat, Mohamed Amine Ferhat, Khaled Aggoun, Duygu Aygünes Jafari, Barbara Sawicka, Lilya Harchaoui, Wafa Zahnit, Azzeddine Zeraib and Mohammed Messaoudi
Molecules 2026, 31(2), 220; https://doi.org/10.3390/molecules31020220 - 8 Jan 2026
Viewed by 324
Abstract
This investigation explored how seasonal variation affects the phytochemical composition and biological potential of Rosmarinus officinalis L., a widely used aromatic and medicinal plant. Aerial parts collected during spring, summer, autumn, and winter were extracted with ethanol and analyzed using LC-ESI-MS/MS, while total [...] Read more.
This investigation explored how seasonal variation affects the phytochemical composition and biological potential of Rosmarinus officinalis L., a widely used aromatic and medicinal plant. Aerial parts collected during spring, summer, autumn, and winter were extracted with ethanol and analyzed using LC-ESI-MS/MS, while total phenolic (TPC) and flavonoid (TFC) contents were determined spectrophotometrically. The extracts were evaluated for antioxidant, anti-inflammatory, enzyme inhibitory, analgesic, antimicrobial, cytotoxic, and photoprotective properties. Major constituents identified in all seasons included luteolin, kaempferol, rutin, and biochanin A. The autumn extract contained the highest phenolic (353.21 ± 4.05 µg GAE/mg) and flavonoid (190.11 ± 5.65 µg QE/mg) levels. Antioxidant assays revealed that the autumn extract had the strongest DPPH radical scavenging activity (IC50 = 24.72 ± 0.16 µg/mL), while the spring extract exhibited the greatest reducing power (A0.5 = 7.62 ± 0.30 µg/mL). The winter extract demonstrated superior anti-inflammatory activity (IC50 = 28.60 ± 2.84 µg/mL), exceeding the reference drug diclofenac. Only the spring extract inhibited urease (IC50 = 62.26 ± 0.58 µg/mL) and moderately inhibited α-amylase. All seasonal extracts showed notable photoprotective potential, with SPF values between 25.18 and 32.46, well above the recommended minimum. The spring extract also presented strong analgesic activity and no acute toxicity up to 2000 mg/kg. Antimicrobial effects were weak, limited to slight inhibition of Staphylococcus aureus, while moderate cytotoxicity was observed against MCF-7 and MDA-MB-231 breast cancer cells. Overall, seasonal variation significantly influenced the chemical profile and bioactivities of R. officinalis, with autumn and spring identified as the most suitable harvesting periods for pharmaceutical and cosmetic applications. Full article
(This article belongs to the Special Issue Phytochemicals as Valuable Tools for Fighting Metabolic Disorders)
Show Figures

Figure 1

14 pages, 4737 KB  
Article
Phytochemical Optimization and Anti-Inflammatory Mechanism of an Aerial-Part Extract from Echinacea purpurea in DSS-Induced Colitis
by Huanhuan Jia, Geng Lu, Sa Huang, Chuangzan Yang, Zhixuan Peng, Junfeng Ban, Huanling Xing and Hong Wu
Pharmaceuticals 2026, 19(1), 109; https://doi.org/10.3390/ph19010109 - 7 Jan 2026
Viewed by 159
Abstract
Objective: Echinacea purpurea, an herb with diverse pharmacological activities, has its roots widely used for anti-inflammatory and immunomodulatory purposes. Interestingly, its aerial parts, which are also rich in bioactive compounds, remain underutilized. This study aims to optimize the extraction and purification [...] Read more.
Objective: Echinacea purpurea, an herb with diverse pharmacological activities, has its roots widely used for anti-inflammatory and immunomodulatory purposes. Interestingly, its aerial parts, which are also rich in bioactive compounds, remain underutilized. This study aims to optimize the extraction and purification processes to obtain the aerial part extract of Echinacea purpurea (APE-EP) to enhance the content of active constituents and improve its anti-inflammatory and immunomodulatory effects. Methods: We analyzed the chemical composition of APE-EP using HPLC-MS. The intestinal absorption characteristics of APE-EP were evaluated using an ex vivo everted gut sac assay. Furthermore, the anti-inflammatory and immunomodulatory effects of APE-EP were validated using a DSS-induced colitis mouse model. Results: Several phenolic acids were identified, including chicoric acid and caffeic acid, which have significant antioxidant and anti-inflammatory activities. The everted gut sac assay revealed concentration-dependent absorption of chicoric acid in the gut. Results from the mouse model showed that APE-EP promoted macrophage polarization from pro-inflammatory M1 to anti-inflammatory M2 macrophages at the lesion sites, effectively suppressing inflammation and alleviating colitis-related pathological damage. Conclusions: This study enhances the medicinal value of the E. purpurea, provides new insights for the efficient utilization of plant resources, and offers a potential natural drug candidate for inflammatory bowel disease treatment. Full article
(This article belongs to the Section Natural Products)
Show Figures

Graphical abstract

16 pages, 1233 KB  
Article
Organ-Based Accumulation, Translocation, and Associated Health Risk of Al, Ni, and Zn in Tomatoes, Peppers, Eggplants, Cucumbers, and Corn from an Industrial Zone in Düzce, Türkiye
by Harun Demirci, Hakan Sevik, Ismail Koc, Handan Ucun Ozel, Ramazan Erdem, Fatih Adiguzel, Erol Imren and Halil Baris Ozel
Foods 2026, 15(2), 196; https://doi.org/10.3390/foods15020196 - 6 Jan 2026
Viewed by 247
Abstract
Heavy metals are among the most hazardous pollutants to human health and can be particularly harmful when inhaled or ingested. Therefore, the concentrations of heavy metals in fruits and vegetables grown in regions with high levels of heavy metal pollution should be carefully [...] Read more.
Heavy metals are among the most hazardous pollutants to human health and can be particularly harmful when inhaled or ingested. Therefore, the concentrations of heavy metals in fruits and vegetables grown in regions with high levels of heavy metal pollution should be carefully examined. This study investigated the variation in aluminum (Al), nickel (Ni), and zinc (Zn) concentrations by species and organ in tomatoes, peppers, eggplants, cucumbers, and corn grown near the industrial zone in Düzce, a heavily polluted city in Europe. We determined bioconcentration factors (BCFs) and translocation factors (TFs) in plant organs and assessed the health risk through the Target Hazard Quotient (THQ) and Hazard Index (HI). The results show that Al pollution in the region significantly exceeded the World Health Organization (WHO) and European Union (EU) limit values, and accumulated in all plant organs, including fruits. Furthermore, high levels of metals were translocated from the soil into the organs of peppers and tomatoes. The HI indicated a potential non-carcinogenic health risk (HI > 1) from the consumption of tomatoes, cucumbers, and peppers, primarily driven by Ni. Based on these results, it is recommended that local authorities address Al pollution in the region, avoiding the cultivation of tomatoes and peppers and instead cultivating corn and eggplant. We also observed that Zn levels were very high in the aerial parts of the plants, reaching up to 90% compared to Ni and Al. This study underscores the need to reduce Zn absorption rates, as dietary intake can pose a significant threat to human health. Full article
(This article belongs to the Section Food Toxicology)
Show Figures

Figure 1

13 pages, 1272 KB  
Article
Organ-Specific Diversity of Secoiridoids in Ligustrum japonicum Thunb.
by Sang Won Yeon, Qing Liu, Hak Hyun Lee, Se Jeong Kim, Su Hyeon Lee, Mun-Ock Kim, Bang Yeon Hwang and Mi Kyeong Lee
Molecules 2026, 31(1), 174; https://doi.org/10.3390/molecules31010174 - 2 Jan 2026
Viewed by 318
Abstract
Ligustrum japonicum Thunb. (Oleaceae) has long been valued for the medicinal properties. Its fruits are traditionally utilized, while the leaves and branches are generally discarded after fruit harvest. These aerial parts therefore represent underutilized by-products whose phytochemical profiles remain insufficiently characterized. To elucidate [...] Read more.
Ligustrum japonicum Thunb. (Oleaceae) has long been valued for the medicinal properties. Its fruits are traditionally utilized, while the leaves and branches are generally discarded after fruit harvest. These aerial parts therefore represent underutilized by-products whose phytochemical profiles remain insufficiently characterized. To elucidate the organ-specific chemical diversity and assess the potential value of these underutilized parts, a comparative analysis of the fruits, leaves, and branches was performed using HPLC–MS/MS combined with GNPS-based molecular networking, with a particular focus on secoiridoids, the characteristic metabolites of the Oleaceae family. This approach revealed substantial overlap as well as distinct variations in secoiridoid profiles among the three plant organs. Chromatographic separation yielded 14 secoiridoid derivatives shared across all organs. In addition, four previously undescribed secoiridoids were isolated and identified through spectroscopic analyses: secoligunosides A (1) and B (2) from the leaves and secoligunosides C (3) and D (4) from the branches. Among the major identified secoiridoids, oleuropein (10), 8Z-nüezhenide (17), and GL-3 (18) exhibited weak proliferative activity, showing an approximately 10–20% increase compared to control, on human dermal papilla cells. Collectively, these findings demonstrate that the leaves and branches not only contain key secoiridoids found in the fruits but also harbor unique metabolites, highlighting their value as alternative or complementary medicinal resources. The underutilized parts of L. japonicum therefore represent promising sources of natural products and warrant further investigation for future therapeutic applications. Full article
Show Figures

Graphical abstract

24 pages, 2822 KB  
Article
Discovering the Anti-Inflammatory Potential of Compounds Isolated from the Aerial Parts of Gelasia tomentosa (L.) Zaika, Sukhor. & N.Kilian (Syn. Scorzonera tomentosa), Through In Vitro Techniques and Advanced In Silico Modeling Approaches
by Özlem Bahadır-Acıkara, Beyzanur Akcan, Sezen Yılmaz-Sarıaltın and Christian Zidorn
Molecules 2026, 31(1), 19; https://doi.org/10.3390/molecules31010019 - 20 Dec 2025
Viewed by 420
Abstract
Gelasia tomentosa (L.) Zaika, Sukhor. & N.Kilian which is known formerly as Scorzonera tomentosa L., a wild edible plant species in Turkey, is traditionally used against rheumatism and for wound healing. In this study, we explore its anti-inflammatory compounds, evaluating effectiveness through human [...] Read more.
Gelasia tomentosa (L.) Zaika, Sukhor. & N.Kilian which is known formerly as Scorzonera tomentosa L., a wild edible plant species in Turkey, is traditionally used against rheumatism and for wound healing. In this study, we explore its anti-inflammatory compounds, evaluating effectiveness through human red blood cell stabilization and in silico models, alongside physico-chemical and pharmacokinetic profiles. In vitro activity-guided fractionation allowed the isolation of sixteen compounds from the aerial parts of G. tomentosa, which were identified as hyperoside (1), isoquercetin (2), quercetin 3-O-β-apiofuranosyl-(1→2)-β-galactopyranoside (3), quercetin 3-O-β-apiofuranosyl-(1→2)-β-glucopyranoside (4), 7-methoxyapigenin-6-C-β-apiofuranosyl-(1→2)-β-glucopyranoside (5), apigenin-6-C-β-apiofuranosyl-(1→2)-β-glucopyranoside (6), dihydrodehydrodiconiferyl-alcohol-4-O-β-glucopyranoside (7), cichoriin (8), 7-O-methylisoorientin (9), isoorientin (10), swertisin (11), 3,5-O-dicaffeoylquinic acid methyl ester (12), 4,5-O-dicaffeoylquinic acid methyl ester (13), staphylinioside E (14), 3,5-O-dicaffeoylquinic acid (15), and 4,5-O-dicaffeoylquinic acid (16). Compound 16 displayed the highest potential anti-inflammatory activity (IC50 = 0.55 ± 0.00 mg/mL). However, the fraction with compounds displayed stronger biological activity than the isolated ones. In silico findings supported the anti-inflammatory potential, enhancing TP53 expression and cell membrane protection. Cichoriin (8) and staphylinioside E (14) are in accordance with Lipinski’s, Pfizer’s, GSK’s, and Golden Triangle rules, indicating a favorable ADME profile as a drug candidate. Further studies are needed to test this potential in specific inflammation models. Full article
(This article belongs to the Special Issue Natural Products with Pharmaceutical Activities, 2nd Edition)
Show Figures

Figure 1

24 pages, 2507 KB  
Article
Equisetum hyemale L. Extracts: Phytochemistry, Biological Performance, ADMET Profiling, and Toxicity Predictions
by Yulianna Minutti-Calva, Karen Schürenkämper-Carrillo, Edwin E. Reza-Zaldívar, Oscar E. Del Razo-Rodríguez, Ian Vitola, Jorge Manuel Silva-Jara, José Daniel Lozada-Ramírez, Daniel A. Jacobo-Velázquez, Diego E. Navarro-López, Marco Chávez-Tinoco, Edgar R. López-Mena, Jorge L. Mejía-Méndez and Eugenio Sánchez-Arreola
Pharmaceuticals 2025, 18(12), 1901; https://doi.org/10.3390/ph18121901 - 17 Dec 2025
Viewed by 453
Abstract
Background: Equisetum hyemale L., commonly known as scouring rush or horsetail, is a perennial plant with significant applications in traditional medicine. Methods: The aerial parts of E. hyemale L. were macerated with hexane, chloroform, and ethyl acetate. The phytochemical profile of the [...] Read more.
Background: Equisetum hyemale L., commonly known as scouring rush or horsetail, is a perennial plant with significant applications in traditional medicine. Methods: The aerial parts of E. hyemale L. were macerated with hexane, chloroform, and ethyl acetate. The phytochemical profile of the extracts was investigated using chromatography approaches. The biological performance of the extracts was determined using antibacterial, antioxidant, anticancer, and toxicity in vitro and in vivo models. Molecular docking and ADMET analyses were employed to determine interactions with structural components of multidrug resistant bacteria and assess potential toxicological risks. Results: The extracts exert high scavenging activity against ABTS radicals (IC50 2.57–2.68 μg/mL), but poor antibacterial activity. It was evidenced that treatment with extracts exerts in moderate cytotoxicity on hepatocellular and colorectal cancer cell lines. Toxicity assays unveiled that the extracts decrease the survival rate of C. elegans nematodes after 2 h of exposure to treatment. In silico studies evidenced a high affinity of campesterol and calcitriol towards the DNA gyrase, and the oral bioavailability of farnesol and limonene. Conclusions: Our findings demonstrated the presence of biologically active secondary metabolites in hexane, chloroform, and ethyl acetate extracts from E. hyemale L. This work also demonstrated the biological performance of these extracts in in vitro and in vivo models, and validated the potential pharmacokinetic and pharmacodynamic profile of their phytoconstituents. Full article
(This article belongs to the Section Natural Products)
Show Figures

Graphical abstract

18 pages, 3642 KB  
Article
Accumulation and Distribution Characteristics of Cd in the Soil-Lilium System and the Remediation Mechanism by Soil Amendments
by Yimin Zhou, Yulang Yan, Jiaxiang Wang, Yayuan Huang, Xinqi Wang, Bingyu Li and Ming Lei
Plants 2025, 14(24), 3798; https://doi.org/10.3390/plants14243798 - 13 Dec 2025
Viewed by 280
Abstract
This study investigated the accumulation and distribution of cadmium (Cd) in the Soil-Lilium system and researched the effects and mechanisms of applying oyster shell powder (OSP) and organic fertilizer (OF) on reducing Cd accumulation and enhancing Lilium yield. The results showed that [...] Read more.
This study investigated the accumulation and distribution of cadmium (Cd) in the Soil-Lilium system and researched the effects and mechanisms of applying oyster shell powder (OSP) and organic fertilizer (OF) on reducing Cd accumulation and enhancing Lilium yield. The results showed that the total Cd content in soils across different planting regions was below 0.3 mg·kg−1, while the Cd content in Lilium bulbs ranged from 0.44 mg·kg−1 to 1.35 mg·kg−1, indicating a consistent trend of Cd accumulation in Lilium bulbs. Cd contents were highest in the leaves and lowest in the bulbs, suggesting a strong translocation of Cd from the roots to the aerial parts. Both OSP and OF treatments improved Lilium growth and reduced Cd accumulation in the bulbs. OF significantly increased bulb yield by 62.5%, while OSP effectively reduced Cd content in the bulbs to 0.30 mg·kg−1, below the regulatory safety threshold. OSP mitigated Cd accumulation by decreasing the availability of Cd in the soil and by competing with Cd for root uptake via its abundant Ca2+ ions. OF reduced Cd accumulation in the bulb by enhancing Cd sequestration in the fibrous roots and promoting its translocation away from the bulb. This study provides new insights into Cd dynamics in the Soil-Lilium system and offers practical strategies for producing Lilium safely. Full article
(This article belongs to the Special Issue Plant Ecotoxicology and Remediation Under Heavy Metal Stress)
Show Figures

Figure 1

18 pages, 828 KB  
Article
Antimicrobial Profile of Moldovan Cynara scolymus L.: Insights into Its Natural Antibiotic Potential
by Cristina Ciobanu, Ludmila Rudi, Laurian Vlase, Greta Balan, Daniela Benedec and Tatiana Calalb
Antibiotics 2025, 14(12), 1258; https://doi.org/10.3390/antibiotics14121258 - 12 Dec 2025
Viewed by 429
Abstract
Background: Artichoke, a medicinal plant with various therapeutic uses, is widely cultivated in many of the world’s geographical areas. The aim of this study was to establish the antimicrobial profile by means of comparative evaluation of the phytochemical constituents, antioxidant, anti-lipid peroxidation, [...] Read more.
Background: Artichoke, a medicinal plant with various therapeutic uses, is widely cultivated in many of the world’s geographical areas. The aim of this study was to establish the antimicrobial profile by means of comparative evaluation of the phytochemical constituents, antioxidant, anti-lipid peroxidation, and antimicrobial activities of the basal and cauline leaves, as well as the following by-products: stems, bracts, and inflorescences, from Cynara scolymus L. cultivated in the Republic of Moldova. Methods: Qualitative and quantitative characterization of the main phenolic compounds from ethanolic extracts was carried out by the HPLC-UV-MS method. The in vitro antioxidant activity was evaluated using DPPH˙, ABTS˙+, FRAP, and NO˙ scavenging methods. The lipid-lowering effect was established with a malonic dialdehyde complex and thiobarbituric acid. Antimicrobial properties were screened using the diffusion method. Results: The HPLC UV-MS analysis highlighted that the green aerial parts of C. scolymus are characterized by the presence of five phenolic acids (kaempferol, gentisic, chlorogenic, p-coumaric, ferulic, and caffeic) and four flavonoid heterosides and aglycones (isoquercitrin, quercitrin, luteolin, and apigenin). Correlation between total polyphenolic content and antioxidant activity was found to be statistically significant (p < 0.01). The extracts of C. scolymus’s aerial parts exhibited significant antibacterial and antifungal activities (p < 0.05) against all tested microorganisms, while no inhibitory effect for inflorescences was observed. Conclusions: Artichoke leaves and by-products may be considered important and promising sources of bioactive compounds for herbal medicinal products, functional foods, and nutraceuticals, due to their antimicrobial properties. This study makes an original contribution to the specialized literature by the detailed characterization of the antimicrobial profile of the extracts obtained from artichoke cultivated in the Republic of Moldova, a species introduced for the first time on the territory of this country. The obtained results highlight the medicinal potential and economic value of the Moldovan artichoke, with particular emphasis on its by-products: stems, bracts, and inflorescences, which less explored so far, as sources of bioactive compounds. Our analyses indicate that the leaves and by-products of the plant represent promising resources for the development of phytopharmaceutical preparations, functional foods, and nutraceuticals, offering new directions for the integral and sustainable valorization of this species acclimatized in Moldova. Full article
Show Figures

Figure 1

19 pages, 2740 KB  
Article
Antiproliferative Effects of Polar Extracts of the Aerial Parts of Fuchsia standishii J. Harrison
by María I. Ramírez, Aday González-Bakker, Adam N. Khan, Adrián Puerta and José M. Padrón
Plants 2025, 14(24), 3779; https://doi.org/10.3390/plants14243779 - 11 Dec 2025
Viewed by 393
Abstract
Fuchsia standishii J.Harrison is a species widely used in traditional medicine in southern Ecuador for treating various ailments, including high blood pressure, as an antacid and a relaxant. The pharmacological basis for these traditional uses is unknown. Given the reported anti-inflammatory and cytotoxic [...] Read more.
Fuchsia standishii J.Harrison is a species widely used in traditional medicine in southern Ecuador for treating various ailments, including high blood pressure, as an antacid and a relaxant. The pharmacological basis for these traditional uses is unknown. Given the reported anti-inflammatory and cytotoxic properties of the Onagraceae family, we investigated the plant’s potential for addressing chronic conditions. This study explored the bioactive potential of polar extracts from the aerial parts of F. standishii, focusing on antiproliferative activity against a panel of human tumor cell lines (A549, HBL-100, HeLa, SW1573, T-47D). The plant material was sequentially extracted and partitioned into nine fractions. All fractions were screened for antiproliferative activity, and the most active fractions were further evaluated for their mechanism of cell death (apoptosis/necrosis), genotoxicity, and induction of oxidative stress. Specialized metabolites in the fractions were characterized using UHPLC-DAD-MS3 analysis. F. standishii extracts showed potent antiproliferative activity. The dichloromethane fraction (MWD) was the most active (GI50 range: 8.5–39 µg/mL), demonstrating the ability to induce apoptosis in tumor cells and cause genotoxic damage linked to oxidative stress. The UHPLC-DAD-MS3 analysis successfully characterized the specialized metabolites present in the active fractions. The initial aqueous extract yielded a total of 47 secondary metabolites, 15 of which remained unassigned. F. standishii possesses a promising pharmacological profile that extends beyond its documented traditional uses. The MWD fraction represents a plausible source of novel anti-cancer agents due to its ability to induce apoptosis, supporting further bioguided investigation of this ethnobotanically relevant species. Full article
Show Figures

Figure 1

14 pages, 1139 KB  
Article
Phytoremediation of Nickel-Contamination Using Helianthus annuus L. in Mediterranean Conditions
by Ada Cristina Ranieri, Luigi Lopopolo, Gianfranco D’Onghia, José Alberto Herrera Melián, Francesca Ranieri, Sarah Gregorio and Ezio Ranieri
Environments 2025, 12(12), 487; https://doi.org/10.3390/environments12120487 - 11 Dec 2025
Viewed by 478
Abstract
Nickel contamination poses a serious risk to ecosystems and human health. Phytoremediation provides a sustainable solution. This study evaluates the ability of Helinathus annuus L. to tolerate and accumulate nickel under simulated Mediterranean and semi-arid conditions, representing a short-term contamination event with nickel-enriched [...] Read more.
Nickel contamination poses a serious risk to ecosystems and human health. Phytoremediation provides a sustainable solution. This study evaluates the ability of Helinathus annuus L. to tolerate and accumulate nickel under simulated Mediterranean and semi-arid conditions, representing a short-term contamination event with nickel-enriched irrigation. Laboratory experiments assessed growth, tolerance, and Ni distribution within plant tissues. Results showed that Ni uptake increased with concentration, mainly in roots, while translocation to aerial parts remained limited. The bioconcentration factors ranged from 1.32 to 2.55, and the translocation factors from 0.46 to 0.60, indicating efficient uptake but restricted metal mobility. Higher water availability enhanced Ni absorption, suggesting that soil moisture facilitates metal transport and root activity. Helinathus annuus L. demonstrated good tolerance at moderate Ni levels but reduced growth and accumulation efficiency at higher concentrations, confirming its potential for phytostabilization in Mediterranean soils affected by metal contamination. Full article
Show Figures

Figure 1

21 pages, 5169 KB  
Article
Pasuchaca (Geranium dielsiaum Knuth): A New Source of Astilbin with Antiglycation Activity
by Guanglei Zuo, Zhaoyang Wu, Hyun-Yong Kim, Jinghui Feng, Soo Kyeong Lee, Yanymee Nimesia Guillen Quispe and Soon Sung Lim
Foods 2025, 14(23), 4167; https://doi.org/10.3390/foods14234167 - 4 Dec 2025
Viewed by 350
Abstract
Pasuchaca (Geranium dielsianum Knuth), a traditional Peruvian medicinal plant from the Geraniaceae family used for diabetes management, was investigated for its antiglycative properties. This study aimed to screen, isolate, and identify the active antiglycative compounds from its aerial parts. By coupling a [...] Read more.
Pasuchaca (Geranium dielsianum Knuth), a traditional Peruvian medicinal plant from the Geraniaceae family used for diabetes management, was investigated for its antiglycative properties. This study aimed to screen, isolate, and identify the active antiglycative compounds from its aerial parts. By coupling a methylglyoxal (MGO)-HPLC screening assay with high-speed counter-current chromatography (HSCCC), seven dihydroflavonol derivatives were separated and identified from the 80% methanol extract. The compounds were identified as 2,3-dihydromyricetin 3-O-α-rhamnopyranoside (1), (+)-taxifolin 3-O-β-D-xylopyranoside (2), astilbin (6), isoastilbin (8), 3″-acetyl astilbin (9), and 2″-acetyl astilbin (11). Astilbin was identified as the major constituent, with remarkably high contents of 252.41 mg/g in the 80% methanol extract and 541.04 mg/g in the partitioned upper layer fraction. Astilbin demonstrated potent antiglycation activity across all stages of protein glycation (early, middle, late, and whole stages), significantly surpassing the positive control aminoguanidine. Furthermore, the formation of MGO-astilbin adducts was confirmed by LC-ESI-MS, validating its role as an effective MGO scavenger. This report is the first to isolate these phytochemicals from Pasuchaca. The findings establish astilbin as the key antiglycative component of Pasuchaca, substantiating its traditional use and highlighting its potential as a source of functional food ingredients or natural therapeutics for mitigating glycative stress. Full article
Show Figures

Figure 1

22 pages, 733 KB  
Article
Seasonal Evaluation and Effects of Poultry Litter-Based Organic Fertilization on Sustainable Production and Secondary Metabolism of Cuphea carthagenensis (Jacq.) J. F. Macbr
by Joice Karina Otênio Ribeiro, Mariana Moraes Pinc, Rosselyn Gimenes Baisch, Marina Pereira da Silva Bocchio Barbosa, Jaqueline Hoscheid, Maiara Kawana Aparecida Rezende, Paula Derksen Macruz, Eduardo Jorge Pilau, Ezilda Jacomassi and Odair Alberton
Sustainability 2025, 17(23), 10801; https://doi.org/10.3390/su172310801 - 2 Dec 2025
Viewed by 308
Abstract
To ensure the quality and efficient access of the population to plant-derived resources, research on the sustainable cultivation of medicinal species is of great importance, and the present study aimed to evaluate the influence of poultry litter-based organic fertilization and seasonality on plant [...] Read more.
To ensure the quality and efficient access of the population to plant-derived resources, research on the sustainable cultivation of medicinal species is of great importance, and the present study aimed to evaluate the influence of poultry litter-based organic fertilization and seasonality on plant growth, soil health (quality), and secondary metabolism of Cuphea carthagenensis. Plants were cultivated during the summer and autumn/winter seasons in a randomized design with five poultry litter application rates (0, 10, 20, 30, and 40 t ha−1) and three replications per plot field (1 × 2 m). The parameters evaluated included soil health, plant biomass, nutrient content, extract yield from the aerial parts, and chemical composition. In the summer, soil bioindicators (microbial biomass carbon and basal respiration) increased with the addition of poultry litter, although plant biomass was not affected by the season. Plant nutrient levels, particularly N and P, increased under poultry litter application rates of 30 t ha−1 and higher. Under these conditions, the highest extract yield from the aerial parts was obtained at a rate of 40 t ha−1. During autumn/winter, poultry litter increased significantly soil microbial biomass carbon, plant biomass, and N and P contents, resulting in an 11.07% increase in extract yield at a rate of 20 t ha−1. Phytochemical analysis of the extracts identified 29 compounds, predominantly quercetin derivatives. Overall, the findings demonstrate that the sustainable cultivation of C. carthagenensis under organic fertilization enhances soil health, plant biomass, and extract yield. These findings highlight the potential of organic nutrient management as a promising strategy for advancing sustainable medicinal plant production and meeting societal demands for natural bioactive resources. Full article
(This article belongs to the Special Issue Soil Pollution, Soil Ecology and Sustainable Land Use)
Show Figures

Figure 1

21 pages, 3368 KB  
Article
Establishment of Shoot Cultures of Nepeta curviflora Boiss., Scale-Up in a Nutrient Sprinkle Bioreactor and Phytochemical Analysis
by Ewelina Piątczak, Klaudia Okońska, Joanna Kolniak-Ostek, Grażyna Szymańska and Ewa Kochan
Int. J. Mol. Sci. 2025, 26(23), 11409; https://doi.org/10.3390/ijms262311409 - 25 Nov 2025
Viewed by 295
Abstract
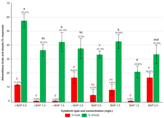
Shoot cultures of Nepeta curviflora were used to test the effect of 6-benzylaminopurine (BAP) and riboside 6-benzylaminopurine (r-BAP) on the growth and production of phenolic compounds. The best multiplication was achieved on agar Murashige and Skoog medium (MS) with r-BAP (1.5 mg/L), where [...] Read more.
Shoot cultures of Nepeta curviflora were used to test the effect of 6-benzylaminopurine (BAP) and riboside 6-benzylaminopurine (r-BAP) on the growth and production of phenolic compounds. The best multiplication was achieved on agar Murashige and Skoog medium (MS) with r-BAP (1.5 mg/L), where 74% of explants produced about eight axillary shoots. The fresh weight (FW) was about 0.6 g/tube (24 g/L) and the dry weight (DW) was about 0.04 g/tube (2 g/L). To scale up the culture, the shoot culture was grown for the first time in a nutrient sprinkle bioreactor. After 4 weeks of culture, the multiplication rate (8.13) was higher than that observed in glass tubes (8.03). The fresh biomass was 113.2 g/bioreactor (75.5 g/L) and the dry mass was 14 g/bioreactor (9.3 g/L). Extracts from obtained plant material were analyzed by the UPLC/DAD/qTOF-MS technique. A total of 32 phenolic compounds were identified and quantified. The total content of compounds ranged from 600 to 1400 mg/100 g of dry weight (DW), depending on the culture conditions. In the profile of shoot cultures, rosmarinic acid was dominant, whereas prolithospermic acid was mostly noted in extract from aerial parts of the plant obtained from the field. Full article
(This article belongs to the Special Issue Latest Molecular Research in Plant Secondary Metabolism)
Show Figures

Graphical abstract

15 pages, 8882 KB  
Article
Ovatifolin Purified from Leptocarpha rivularis Induces Cell Death in A375 and A2058 Melanoma Cancer Cells
by Viviana Burgos, Nicole Cortez, Rocío Aguilera-Paillán, Sofía Bravo-Bouchat, Bernd Schmidt, Eric Sperlich, Rebeca Pérez, Nelia M. Rodriguez, Leandro Ortiz, Jaime R. Cabrera-Pardo, Cecilia Villegas and Cristian Paz
Antioxidants 2025, 14(12), 1392; https://doi.org/10.3390/antiox14121392 - 21 Nov 2025
Viewed by 824
Abstract
Skin cancer is increasing worldwide, with melanoma being its most aggressive and lethal form due to its high metastatic potential. Despite therapeutic advances, drug resistance remains a challenge, highlighting the need to explore new anticancer agents. Leptocarpha rivularis is a native plant of [...] Read more.
Skin cancer is increasing worldwide, with melanoma being its most aggressive and lethal form due to its high metastatic potential. Despite therapeutic advances, drug resistance remains a challenge, highlighting the need to explore new anticancer agents. Leptocarpha rivularis is a native plant of Chile, locally called “Palo negro”, and is traditionally used in medicine by the Mapuche people. L. rivularis produces bioactive germacrene sesquiterpenoids with cytotoxic, antioxidant, anti-inflammatory and anti-angiogenic properties. This study reports for the first time the isolation of ovatifolin from aerial parts of L. rivularis and its identification by NMR and X-ray diffraction, together with its antiproliferative activity against two melanoma cell lines. The results show that ovatifolin has cytotoxic activity against the cell lines A2058 and A375, with an IC50 of 27.6 (90.2 µM) and 18.4 µg/mL (60.1 µM), respectively, evaluated by live-cell IncuCyte® analysis. Moreover, ovatifolin arrests colony formation in a clonogenic assay, with an IC50 of 3.26 (10.6 μM) and 3.65 µg/mL (11.9 μM) in these same cell lines. Therefore, ovatifolin increased intracellular ROS and decreased the mitochondrial membrane potential (ΔΨ m). Cell death studies using Annexin V showed that its cytotoxic activity is partially caused by non-specific apoptosis, which was corroborated by the caspase inhibitor Z-VAD with an incomplete recovery of the cell death process. Full article
Show Figures

Figure 1

Back to TopTop