Establishment of Shoot Cultures of Nepeta curviflora Boiss., Scale-Up in a Nutrient Sprinkle Bioreactor and Phytochemical Analysis
Abstract
1. Introduction
2. Results and Discussion
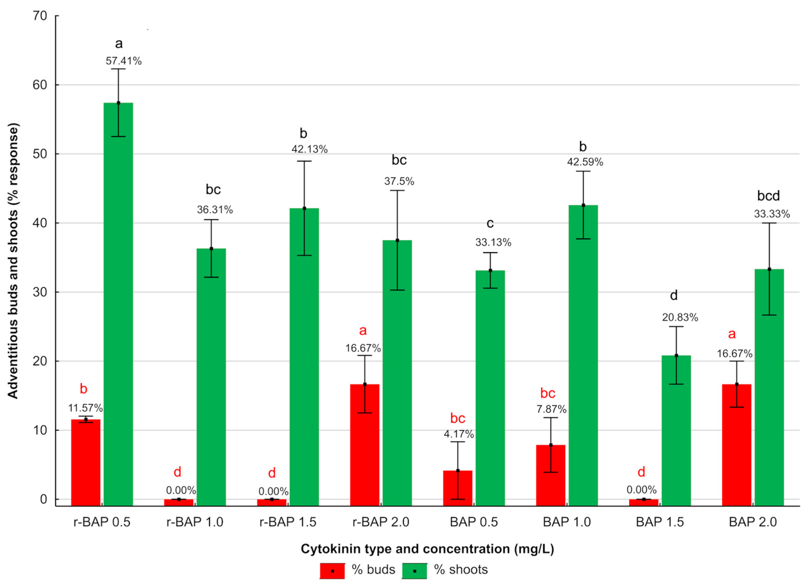
2.1. Effect of Cytokinins on Shoot Multiplication
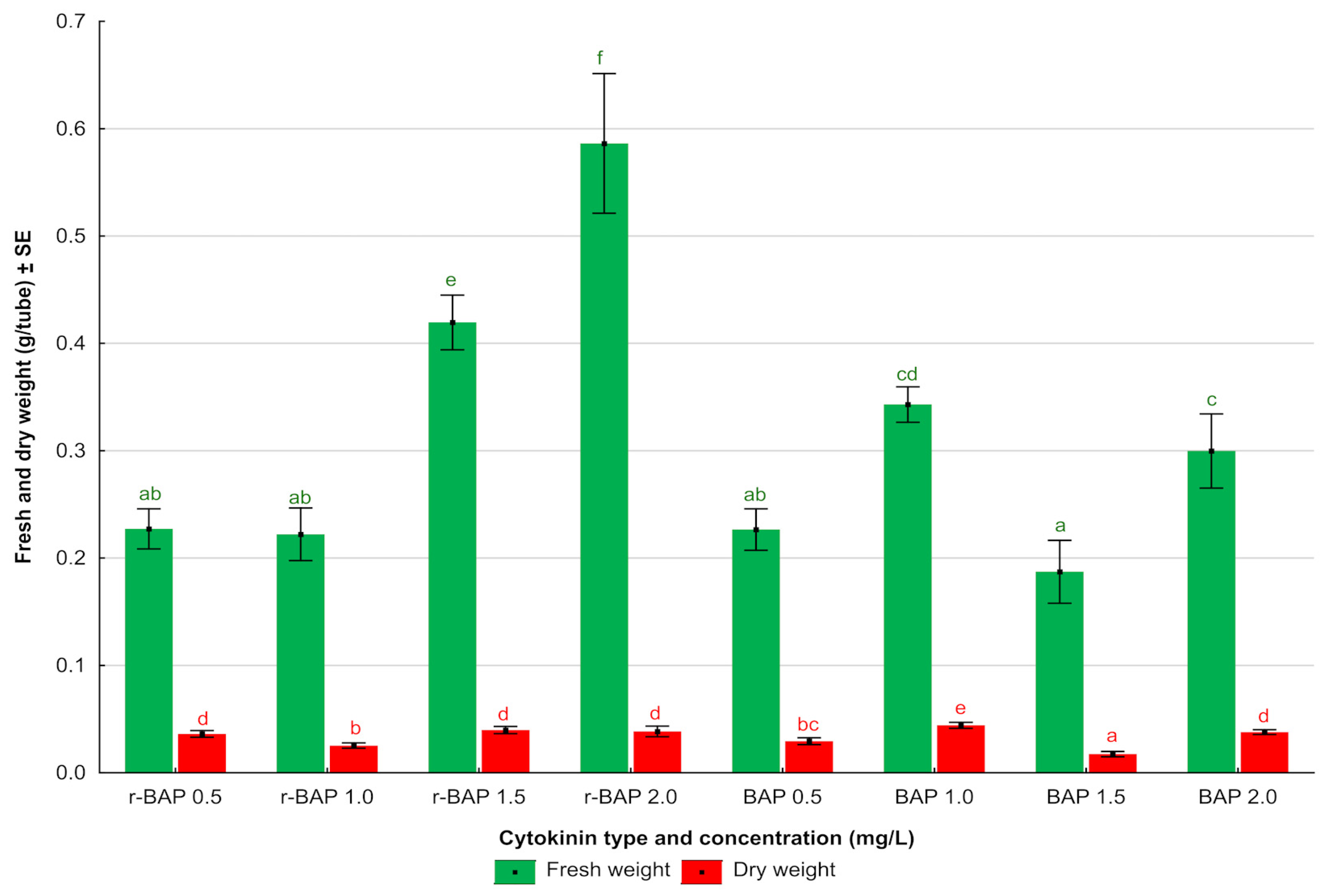
2.2. Fresh (FW) and Dry Weight (DW) Estimations
2.3. Shoot Multiplication in a Nutrient Sprinkle Bioreactor
2.4. Phytochemical Studies
3. Materials and Methods
3.1. Plant Material
3.2. Shoot Proliferation
3.3. Shoot Multiplication in the Nutrient Sprinkle Bioreactor
3.4. Extract Preparation
3.5. Phytochemical Investigations
3.6. Statistical Analysis
4. Conclusions
Supplementary Materials
Author Contributions
Funding
Institutional Review Board Statement
Informed Consent Statement
Data Availability Statement
Conflicts of Interest
References
- Rabee, M.; Andersen, Ø.M.; Fossen, T.; Enerstvedt, K.H.; Abu Ali, H.; Rayyan, S. Acylated flavone o-glucuronides from the aerial parts of Nepeta curviflora. Molecules 2020, 25, 3782. [Google Scholar] [CrossRef] [PubMed]
- Al-Qudah, M.A. Antioxidant activity and chemical composition of essential oils of fresh and dried Jordanian Nepeta curviflora Boiss. J. Biol. Act. Prod. Nat. 2016, 6, 101–111. [Google Scholar]
- Mancini, E.; Arnold, N.A.; Feo, V.D.; Formizano, C.; Rigano, D.; Piozzi, F.; Senatore, F. Phytotoxic effects of essential oils of Nepeta curviflora Boiss. and Nepeta nuda L. subsp. albiflora growing wild in Lebanon. J. Plant Interact. 2009, 4, 253–259. [Google Scholar]
- Musso, L.; Scaglia, B.; Al Haj, G.; Apostolides, N.A.; Adani, F.; Scarì, G.; Dallavalle, S.; Iriti, M. Chemical characterization and nematicidal activity of the essential oil of Nepeta nuda L. ssp. pubescens and Nepeta curviflora Boiss. from Lebanon. J. Essent. Oil Bear. Plants 2017, 20, 1424–1433. [Google Scholar] [CrossRef]
- Barhoumi, L.M.; Al-Jaber, H.I.; Abu Zarga, M.H.; Al-Qudah, M.A. A study of the chemical constituents of Nepeta curviflora from Jordan. Arab. J. Chem. 2023, 16, 1045. [Google Scholar] [CrossRef]
- Jaradat, N.; Al-Maharik, N.; Abdallah, S.; Shawahna, R.; Mousa, A.; Qtishat, A. Nepeta curviflora essential oil: Phytochemical composition, antioxidant, anti-proliferative and anti-migratory efficacy against cervical cancer cells, and α-glucosidase, α-amylase and porcine pancreatic lipase inhibitory activities. Ind. Crops Prod. 2020, 158, 112946. [Google Scholar] [CrossRef]
- Tripathi, L.; Tripathi, J.N. Role of biotechnology in medicinal plants. Trop. J. Pharm. Res. 2003, 2, 243–253. [Google Scholar] [CrossRef]
- Abdalla, N.; El-Ramady, H.; Seliem, M.K.; El-Mahrouk, M.E.; Taha, N.; Bayoumi, Y.; Shalaby, T.A.; Dobránszki, J. An academic and technical overview on plant micropropagation challenges. Horticulturae 2022, 8, 677. [Google Scholar] [CrossRef]
- Murthy, H.N.; Joseph, K.S.; Paek, K.Y.; Park, S.Y. Bioreactor systems for micropropagation of plants: Present scenario and future prospects. Front. Plant Sci. 2023, 14, 1159588. [Google Scholar] [CrossRef] [PubMed]
- Watt, M.P. The status of temporary immersion system (TIS) technology for plant micropropagation. Afr. J. Biotechnol. 2012, 11, 14025–14035. [Google Scholar]
- Kowalczyk, T.; Merecz-Sadowska, A.; Picot, L.; Brčić Karačonji, I.; Wieczfińska, J.; Śliwiński, T.; Sitarek, P. Genetic manipulation and bioreactor culture of plants as a tool for industry and its applications. Molecules 2022, 27, 795. [Google Scholar] [CrossRef]
- Grzegorczyk-Karolak, I.; Wysokińska, H. Antioxidant compounds in Salvia officinalis L. shoot and hairy root cultures in the nutrient sprinkle bioreactor. Acta Soc. Bot. Pol. 2010, 79, 7–10. [Google Scholar] [CrossRef]
- Piątczak, E.; Grzegorczyk-Karolak, I.; Wysokińska, H. Micropropagation of Rehmannia glutinosa Libosch.: Production of phenolics and flavonoids and evaluation of antioxidant activity. Acta Physiol. Plant. 2014, 36, 1693–1702. [Google Scholar] [CrossRef]
- Szopa, A.; Kokotkiewicz, A.; Bednarz, M.; Jafernik, K.; Luczkiewicz, M.; Ekiert, H. Bioreactor type affects the accumulation of phenolic acids and flavonoids in microshoot cultures of Schisandra chinensis (Turcz.) Baill. Plant Cell Tiss. Organ Cult. 2019, 139, 199–206. [Google Scholar] [CrossRef]
- Weremczuk-Jeżyna, I.; Kochan, E.; Szymczyk, P.; Lisiecki, P.; Kuźma, Ł.; Grzegorczyk-Karolak, I. The antioxidant and antimicrobial properties of phenol-rich extracts of Dracocephalum forrestii W. W. Smith shoot cultures grown in the nutrient sprinkle bioreactor. Phytochem. Lett. 2019, 30, 254–260. [Google Scholar] [CrossRef]
- Husain, S.; Nanda, S.; Zhang, J.; Rehmani, M.I.A.; Li, G.; Hou, H. Auxin and cytokinin interplay during leaf morphogenesis and phyllotaxy. Plants 2021, 21, 1732. [Google Scholar] [CrossRef]
- Su, Y.-H.; Liu, Y.-B.; Zhang, X.-S. Auxin-cytokinin interaction regulates meristem development. Mol. Plant 2011, 4, 616–625. [Google Scholar] [CrossRef]
- Weremczuk-Jeżyna, I.; Kuźma, Ł.; Kiss, A.K.; Grzegorczyk-Karolak, I. Effect of cytokinins on shoots proliferation and rosmarinic and salvianolic acid B production in shoot culture of Dracocephalum forrestii W. W. Smith. Acta Physiol. Plant. 2018, 40, 189. [Google Scholar] [CrossRef]
- Grzegorczyk-Karolak, I.; Kuźma, Ł.; Wysokińska, H. The influence of cytokinins on proliferation and polyphenol accumulation in shoot cultures of Scutellaria altissima L. Phytochem. Lett. 2017, 20, 449–455. [Google Scholar] [CrossRef]
- Petrova, M.; Nikolova, M.; Dimitrova, L.; Zayova, E. Micropropagation and evaluation of flavonoid content and antioxidant activity of Salvia officinalis L. Genet. Plant Physiol. 2015, 5, 48–60. [Google Scholar]
- Grzegorczyk-Karolak, I.; Krzemińska, M.; Kiss, A.K.; Owczarek-Januszkiewicz, A.; Olszewska, M.A. Role of phytohormones in biomass and polyphenol accumulation in Salvia bulleyana in vitro culture. Biomolecules 2023, 13, 227. [Google Scholar] [CrossRef]
- Grzegorczyk-Karolak, I.; Hnatuszko-Konka, K.; Zarzycka, M.; Kuźma, Ł. The stimulatory effect of purine-type cytokinins on proliferation and polyphenolic compound accumulation in shoot culture of Salvia viridis. Biomolecules 2020, 10, 178. [Google Scholar] [CrossRef] [PubMed]
- George, E.; Hall, M.; De Klerk, G.J. Plant growth regulators II: Cytokinins, their analogues and antagonists. In Plant Propagation by Tissue Culture, 3rd ed.; Springer: Berlin/Heidelberg, Germany, 2007; p. 205. [Google Scholar]
- Letham, D.S.; Palni, L.M.S. The biosynthesis and metabolism of cytokinins. Annu. Rev. Plant Physiol. 1983, 34, 163–197. [Google Scholar] [CrossRef]
- Mok, D.W.S.; Mok, M.C. Cytokinin metabolism and action. Annu. Rev. Plant Physiol. Plant Mol. Biol. 2001, 52, 89–118. [Google Scholar] [CrossRef] [PubMed]
- Hirose, N.; Takei, K.; Kuroha, T.; Kamada-Nobusada, T.; Hayashi, H.; Sakakibara, H. Regulation of cytokinin biosynthesis, compartmentalization and translocation. J. Exp. Bot. 2008, 59, 75–83. [Google Scholar] [CrossRef]
- Kieber, J.J.; Schaller, G.E. Cytokinin signaling in plant development. Development 2018, 145, dev149344. [Google Scholar] [CrossRef] [PubMed]
- Zamani, M.; Sonboli, A.; Goldansaz, M.; Mirjalili, M.H. In vitro micropropagation and conservation of endangered medicinal plant Nepeta asterotricha Rech.f. (Lamiaceae): Genetic fidelity, phytochemical and biological assessment. Physiol. Mol. Biol. Plants 2024, 30, 67–80. [Google Scholar] [CrossRef] [PubMed]
- Nedelkova, Y.Y.; Dimitrova, M.; Yordanova, Z.P.; Kapchina-Toteva, V. Micropropagation of Nepeta nuda ssp. nuda (Lamiaceae)-Influence of auxins and cytokinins. Acta Hortic. 2012, 955, 269. [Google Scholar] [CrossRef]
- Polivanova, O.B.; Bedarev, V.A. Hyperhydricity in plant tissue culture. Plants 2022, 11, 3313. [Google Scholar] [CrossRef]
- Gantait, S.; Mahanta, M. Hyperhydricity-induced changes among in vitro regenerants of gerbera. S. Afr. J. Bot. 2022, 149, 496–501. [Google Scholar] [CrossRef]
- Sen, A.; Alikamanoglu, S. Antioxidant enzyme activities, malondialdehyde, and total phenolic content of PEG-induced hyperhydric leaves in sugar beet tissue culture. Vitr. Cell. Dev. Biol. Plant 2013, 49, 396–404. [Google Scholar] [CrossRef]
- Sivanesan, I.; Saini, R.K.; Kim, D.H. Bioactive compounds in hyperhydric and normal micropropagated shoots of Aronia melanocarpa. Ind. Crop. Prod. 2016, 83, 31–38. [Google Scholar] [CrossRef]
- Weremczuk-Jeżyna, I.; Lisiecki, P.; Gonciarz, W.; Kuźma, Ł.; Szemraj, M.; Chmiela, M.; Grzegorczyk-Karolak, I. Transformed shoots of Dracocephalum forrestii W.W. Smith from different bioreactor systems as a rich source of natural phenolic compounds. Molecules 2020, 25, 4533. [Google Scholar] [CrossRef] [PubMed]
- Pérez-Magariño, S.; Bueno-Herrera, M.; Asensio-S.-Manzanera, M.C. Characterization of bioactive phenolic compounds extracted from hydro-distillation by-products of spanish Lamiaceae plants. Molecules 2024, 29, 5285. [Google Scholar] [CrossRef] [PubMed]
- Ndhlala, A.R.; Isık, M.; Yüksel, A.K.; Dikici, E. Phenolic content analysis of two species belonging to the Lamiaceae family: Antioxidant, anticholinergic, and antibacterial activities. Molecules 2024, 29, 480. [Google Scholar] [CrossRef]
- MoshariNasirkandi, A.; Alirezalu, A.; Alipour, H.; Amato, J. Screening of 20 species from Lamiaceae family based on phytochemical analysis, antioxidant activity and HPLC profiling. Sci. Rep. 2023, 13, 16987. [Google Scholar] [CrossRef]
- Zengin, G.; Mahomoodally, M.F.; Aktumsek, A.; Jekő, J.; Cziáky, Z.; Rodrigues, M.J.; Custodio, L.; Polat, R.; Cakilcioglu, U.; Ayna, A.; et al. Chemical profiling and biological evaluation of Nepeta baytopii extracts and essential oil: An endemic plant from Turkey. Plants 2021, 10, 1176. [Google Scholar] [CrossRef]
- Mišić, D.; Šiler, B.; Gašić, U.; Avramov, S.; Zivković, S.; Nestorović Živković, J.; Milutinović, M.; Tešić, Z. Simultaneous UHPLC/DAD/(+/−)HESI-MS/MS analysis of phenolic acids and nepetalactones in methanol extracts of Nepeta species: A possible application in chemotaxonomic studies. Phytochem. Anal. 2015, 26, 72–85. [Google Scholar] [CrossRef]
- Petrova, D.; Gašic, U.; Yocheva, L.; Hinkov, A.; Yordanova, Z.; Chaneva, G.; Mantovska, D.; Paunov, M.; Ivanova, L.; Rogova, M.; et al. Catmint (Nepeta nuda L.) Phylogenetics and metabolic responses in variable growth conditions. Front. Plant Sci. 2022, 13, 866777. [Google Scholar] [CrossRef] [PubMed]
- Sharma, Y.; Velamuri, R.; Fagan, J.; Schaefer, J. Full-spectrum analysis of bioactive compounds in rosemary (Rosmarinus officinalis L.) as influenced by different extraction methods. Molecules 2020, 25, 4599. [Google Scholar] [CrossRef]
- Somani, S.; Agarwala, K.P.; Sudheer, W.N.; Nagella, P. Hairy roots as a potential source for the production of rosmarinic acid from genus Salvia. Plant Sci. Today 2023, 10, SP2. [Google Scholar] [CrossRef]
- Bhatt, R.; Mishra, N.; Bamsal, P.K. A review on phytochemical, pharmacological, and pharmacokinetics effects of rosmarinic acid. J. Pharm. Sci. Innov. 2013, 2, 28–34. [Google Scholar] [CrossRef]
- Guan, H.; Luo, W.; Bao, B.; Cao, Y.; Cheng, F.; Yu, S.; Li, Q.F.; Wu, Z.O.; Shan, M. A comprehensive review of rosmarinic acid: From phytochemistry to pharmacology and its new insight. Molecules 2022, 10, 3292. [Google Scholar] [CrossRef]
- Qaralleh, H. Chemical composition and quorum sensing inhibitory effect of Nepeta curviflora methanolic extract against ESBL Pseudomonas aeruginosa. J. Pharmacopunct. 2023, 26, 307–318. [Google Scholar] [CrossRef]
- Petrović, L.; Filipović, B.; Skorić, M.; Šiler, B.; Banjanac, T.; Matekalo, D.; Živković, J.N.; Dmitrović, S.; Anićić, N.; Milutinović, M.; et al. Molecular background of the diverse metabolic profiles in leaves and inflorescences of naked catmint (Nepeta nuda L.). Front. Plant Sci. 2024, 15, 1452804. [Google Scholar] [CrossRef]
- Nestorović-Živković, J.; Živković, S.; Šiler, B.; Aničić, N.; Dmitrović, S.; Divac-Rankov, A.; Giba, Z.; Mišić, D. Differences in bioactivity of three endemic Nepeta species arising from main terpenoid and phenolic constituents. Arch. Biol. Sci. 2018, 70, 63–76. [Google Scholar] [CrossRef]
- Kashchenkoa, N.I.; Olennikov, D.N. Flavonoids and lignans of Nepeta multifida (Lamiaceae) leaves their biological activity. Russ. J. Bioorg. Chem. 2023, 49, 1685–1694. [Google Scholar] [CrossRef]
- Vukić, M.D.; Vuković, N.L.; Mladenović, M.; Tomašević, N.; Matić, S.; Stanić, S.; Sapienza, F.; Ragno, R.; Božović, M.; Kačániová, M. Chemical composition of various Nepeta cataria plant organs’ methanol extracts associated with in vivo hepatoprotective and antigenotoxic features as well as molecular modeling investigations. Plants 2022, 11, 2114. [Google Scholar] [CrossRef] [PubMed]
- Hajmohammadi, M.R.; AsliPashaki, S.N.; Dizavandi, Z.R.; Amiri, A. Ultrasound-assisted vesicle-based microextraction as a novel method for determination of phenolic acid compounds in Nepeta cataria L. samples. J. Iran. Chem. Soc. 2021, 18, 1559–1566. [Google Scholar] [CrossRef]
- Anićić, N.; Gašić, U.; Lu, F.; Ćirić, A.; Ivanov, M.; Jevtić, B.; Dimitrijevic, M.; Andelković, B.; Skorić, M.; Nestorović Živković, J.; et al. Antimicrobial and immunomodulating activities of two endemic Nepeta species and their major iridoids isolated from natural sources. Pharmaceuticals 2021, 14, 414. [Google Scholar] [CrossRef] [PubMed]
- Gašić, U.; Stojković, D.; Ivanov, M.; Miletić Mi Mišić, D.; Veljić, M.; Soković, M. Water soluble biomolecules from Nepeta nuda regulate microbial growth: A case study of apple juice preservation. Lek. Sirovine 2021, 41, 28–34. [Google Scholar] [CrossRef]
- Ortiz-Mendoza, N.; Martínez-Gordillo, M.J.; Martínez-Ambriz, E.; Basurto-Peña, F.A.; González-Trujano, M.E.; Aguirre-Hernández, E. Ethnobotanical, phytochemical, and pharmacological properties of the subfamily Nepetoideae (Lamiaceae) inflammatory diseases. Plants 2023, 12, 3752. [Google Scholar] [CrossRef]
- Kim, M.; Kim, J.Y.; Yang, H.S.; Choe, J.-S.; Hwang, I.G. Nepetoidin B from Salvia plebeia R. Br. inhibits inflammation by modulating the NF-BandNrf2/HO-1signaling pathways in macrophage cells. Antioxidants 2021, 10, 1208. [Google Scholar] [CrossRef]
- Timokhin, V.; Regner, M.; Tsuji, Y.; Grabber, J.; Ralph, J. Synthesis of nepetoidin B. Synlett 2018, 29, 1229–1231. [Google Scholar] [CrossRef]
- Wu, X.; Gao, H.; Sun, W.; Yu, J.; Hu, H.; Xu, Q.; Chen, X. Nepetoidin B, a natural product, inhibits LPS-stimulated nitric oxide production via modulation of iNOS mediated by NF-κB/MKP-5 pathways. Phytother. Res. 2017, 31, 1072–1077. [Google Scholar] [CrossRef]
- Darrag, H.M.; Almuhanna, H.T.; Hakami, E.H. Secondary metabolites in basil, bio-insecticide, inhibition effect, and in silico molecular docking against proteolytic enzymes of te red palm weevil (Rhynchophorus ferrugineus). Plants 2022, 11, 1087. [Google Scholar] [CrossRef]
- Gómez-Betancur, I.; Cortés, N.; Benjumea, D.; Osorio, E.; León, F.; Cutler, S.J. Antinociceptive activity of extracts and secondary metabolites from wild growing and micropropagated plants of Renealmia alpinia. J. Ethnopharmacol. 2015, 165, 191–197. [Google Scholar] [CrossRef] [PubMed]
- Iiyama, C.M.; Sartoratto, A.; Cardoso, J.C. Tissue-specific and novel secondary metabolites identified by SPME/GC-MS in Artemisia annua calli cultured under different wavelength. Ind. Crops Prod. 2024, 208, 117767. [Google Scholar] [CrossRef]
- Thirugnanasambantham, P.; Kalaiselvi, S.; Oh, T.J.; Choi, H.K. Comparative chemometric profiles between leaf tissues of Withania somnifera cultured in vitro and field. Int. J. Pharm. Pharm. Sci. 2015, 7, 66. [Google Scholar]
- Khojasteh, A.; Mirjalili, M.H.; Alcalde, M.A.; Cusido, R.M.; Eibl, R.; Palazon, J. Powerful Plant Antioxidants: A new biosustainable approach to the production of rosmarinic acid. Antioxidants 2020, 9, 1273. [Google Scholar] [CrossRef] [PubMed]
- Park, S.U.; Uddin, M.R.; Xu, H.; Kim, Y.K.; Lee, S.Y. Biotechnological applications for rosmarinic acid production in plant. Afr. J. Biotechnol. 2008, 7, 4959–4965. [Google Scholar]
- Xiao, Y.; Zhang, L.; Gao, S.; Saechao, S.; Di, P.; Chen, J.; Chen, W. The c4h, tat, hppr and hppd genes promoted engineering of rosmarinic acid biosynthetic pathway in Salvia miltiorrhiza hairy root cultures. PLoS ONE 2011, 6, e29713. [Google Scholar] [CrossRef]
- Weremczuk-Jeżyna, I.; Skała, E.; Kuźma, Ł.; Kiss, A.; Grzegorczyk-Karolak, I. The effect of purine-type cytokinin on the proliferation and production of phenolic compounds in transformed shoots of Dracocephalum forrestii. J. Biotechnol. 2019, 306, 125–133. [Google Scholar] [CrossRef]
- Stafiniak, M.; Ślusarczyk, S.; Pencakowski, B.; Matkowski, A.; Rahimmalek, M.; Bielecka, M. Seasonal variations of rosmarinic acid and its glucoside and expression of genes related to their biosynthesis in two medicinal and aromatic species of Salvia subg. Perovskia. Biology 2021, 10, 458. [Google Scholar] [CrossRef]
- Yeddes, W.; Chalghoum, A.; Aidi-Wannes, W.; Ksouri, R.; Saidani Tounsi, M. Effect of bioclimatic area and season on phenolics and antioxidant activities of rosemary (Rosmarinus officinalis L.) leaves. J. Essent. Oil Res. 2019, 31, 432–443. [Google Scholar] [CrossRef]
- Döring, A.S.; Pellegrini, E.; Batola, M.D.; Nali, C.; Lorenzini, G.; Petersen, M. How do background ozone concentrations affect the biosynthesis of rosmarinic acid in Melissa officinalis? J. Plant Physiol. 2014, 171, 35–41. [Google Scholar] [CrossRef]
- Duan, L.; Zeng, Z.; Tang, Y.; Liao, Y.; Lin, K.; Hu, H.; Xu, Z.F.; Ni, J. New insights into the role of cytokinin in regulating anthocyanin biosynthesis and leaf expansion: An integrated transcriptomic, metabolomic, and physiological analysis of Hypericum monogynum. Forests 2025, 16, 465. [Google Scholar] [CrossRef]
- Murashige, T.; Skoog, F. A Revised medium for rapid growth and bio assays with tobacco tissue cultures. Physiol. Plant. 1962, 15, 473–497. [Google Scholar] [CrossRef]
- Piątczak, E.; Owczarek, A.; Lisiecki, P.; Gonciarz, W.; Kozłowska, W.; Szemraj, M.; Chmiela, M.; Kiss, A.K.; Olszewska, M.A.; Grzegorczyk-Karolak, I. Identification and quantification of phenolic compounds in Salvia cadmica Boiss. and their biological potential. Ind. Crops Prod. 2021, 160, 113113. [Google Scholar] [CrossRef]
- Zielińska, S.; Dryś, A.; Piątczak, E.; Kolniak-Ostek, J.; Podgórska, M.; Oszmiański, J.; Matkowski, A. Effect of LED illumination and amino acid supplementation on phenolic compounds profile in Agastache rugosa in vitro cultures. Phytochem. Lett. 2019, 31, 12–19. [Google Scholar] [CrossRef]







| Multiplication Rate ± SE | Fresh Weight (FW) (g/Vessel *) ± SE | Dry Weight (DW) (g/Vessel *) ± SE | FW (g/L) ± SE | DW (g/L) ± SE | Growth Index for FW | Growth Index for DW | Morphological Deformation and Hyperhydricity (%) | |
|---|---|---|---|---|---|---|---|---|
| Bioreactor | 8.13 ± 0.375 | 113.2 ± 7.09 | 13.99 ± 0.045 | 75.47 ± 4.73 | 9.32 ± 0.51 | 78.33 | 86.92 | 44.29 |
| Glass tubes | 8.03 ± 0.257 | 0.42 ± 0.02 | 0.0397 ± 0.0033 | 21.00 ± 1.15 | 1.98 ± 0.083 | 48.58 | 30.34 | 60.00 |
| Peak No. | Rt (min) | MS [M-H]- | MS/MS/Fragmentation Ions [M-H]- | Tentative Identification | r-BAP | BAP | Bioreactor | Field | ||||||
|---|---|---|---|---|---|---|---|---|---|---|---|---|---|---|
| 0.5 | 1 | 1.5 | 2 | 0.5 | 1 | 1.5 | 2 | |||||||
| 1. | 2.06 | 253.1142 | 122 | Benzoyl tartaric acid | + | + | + | + | + | + | + | + | nd | tr |
| 2. | 2.46 | 197.0776 | 179, 135 | Syringic acid | + | + | + | + | + | + | + | + | + | + |
| 3. | 2.60 | 359.1377 | 197, 153, 109 | Epideoxyloganic acid | + | + | + | + | + | + | + | + | + | + |
| 4. | 2.87 | 315.1454 | 153, 109 | Dihydroxybenzoic acid hexoside | + | + | + | + | + | + | + | + | + | + |
| 5. | 3.10 | 299.1160 | 137 | Salicylic acid-O-hexoside | + | + | + | + | + | + | + | + | + | + |
| 6. | 3.47 | 341.1260 | 191,179,161 | Caffeic acid hexoside I | + | + | + | + | + | + | + | + | + | + |
| 7. | 3.54 | 193.0805 | 149, 147 | Ferulic acid | + | + | + | + | + | + | + | + | + | + |
| 8. | 3.91 | 341.1213 | 179 | Caffeic acid hexoside II | + | + | + | + | + | + | + | + | + | + |
| 9. | 4.13 | 385.1527 | 223, 179 | Sinapic acid-O-galactoside | + | + | + | + | + | + | + | + | + | + |
| 10. | 4.32 | 357.1578 | 315, 135 | Prolithospermic acid | + | + | + | + | + | + | + | + | + | + |
| 11. | 4.42 | 179.0633 | 135 | Caffeic acid | + | + | + | + | + | + | + | + | tr | + |
| 12. | 4.80 | 385.1551 | 223, 179 | Sinapic acid-O-glucoside | + | + | + | + | + | + | + | + | + | + |
| 13. | 4.98 | 295.0790 | 179, 135 | Phaselic acid (2-O-caffeoylmalic acid) | + | + | + | + | + | + | + | + | + | + |
| 14. | 5.10 | 207.0973 | 192, 163, 135 | Ethyl caffeate | + | + | + | + | + | + | + | + | nd | + |
| 15. | 5.44 | 357.0998 | 313, 269, 207 | Prolithospermic acid isomer | + | + | + | + | + | + | + | + | + | + |
| 16. | 5.65 | 357.0998 | 313, 269, 203 | Prolithospermic acid isomer | + | + | + | + | + | + | + | + | + | + |
| 17. | 5.80 | 827.2560 | 664, 383, 341, 179 | Tricaffeoyl-glucosyl-glucoside | + | + | + | + | + | + | + | + | + | + |
| 18. | 5.96 | 719.3304 | 359, 197, 153, 135 | Sagerinic acid | + | + | + | + | + | + | + | + | + | + |
| 19. | 6.69 | 521.1690 | 503, 359, 135 | Epideoxyloganic acid hexoside I | + | + | + | + | + | + | + | + | + | + |
| 20. | 6.79 | 521.1730 | 335, 289, 135 | Epideoxyloganic acid hexoside II | + | + | + | + | + | + | + | + | + | + |
| 21. | 7.37 | 717.1961 | 519, 339 | Salvianolic acid B isomer I | + | + | + | + | + | + | + | + | + | + |
| 22. | 7.93 | 537.0245 | 295 | Lithospermic acid isomer | + | + | + | + | + | + | + | + | + | + |
| 23. | 8.09 | 359.1183 | 197, 161, 135 | Rosmarinic acid | + | + | + | + | + | + | + | + | + | + |
| 24. | 8.56 | 567.2520 | 359, 161 | Rosmarinic acid derivative | + | + | + | tr | tr | tr | tr | tr | + | + |
| 25. | 8.86 | 717.1961 | 519, 321, 295 | Salvianolic acid B isomer II | + | + | + | + | + | + | + | + | + | + |
| 26. | 9.17 | 343.1200 | 197, 179, 161, 145, 135 | Clinopodic acid A isomer I | + | + | + | + | + | + | + | + | + | + |
| 26. | 9.17 | 343.1200 | 197, 179, 161, 145, 135 | Clinopodic acid A isomer I | + | + | + | + | + | + | + | + | + | + |
| 27. | 9.23 | 343.1183 | 161, 135 | Clinopodic acid A isomer II | + | + | + | + | + | + | + | + | nd | + |
| 28. | 9.38 | 717.1961 | 519, 321, 295 | Salvianolic acid B isomer III | + | + | + | + | + | + | + | + | + | + |
| 29. | 9.46 | 373.1340 | 197, 175, 135 | Methyl rosmarinate | + | + | + | + | + | + | + | + | + | + |
| 30. | 9.80 | 231.1667 | 163, 119 | p-Coumaric acid isoprenyl ester | + | + | + | + | + | tr | tr | + | tr | + |
| 31. | 10.85 | 313.1052 | 161, 133 | Nepetoidin B1 | + | + | + | + | + | + | + | + | + | + |
| 32. | 11.68 | 313.1088 | 161, 133 | Nepetoidin B2 | + | + | + | + | + | + | + | + | + | tr |
Disclaimer/Publisher’s Note: The statements, opinions and data contained in all publications are solely those of the individual author(s) and contributor(s) and not of MDPI and/or the editor(s). MDPI and/or the editor(s) disclaim responsibility for any injury to people or property resulting from any ideas, methods, instructions or products referred to in the content. |
© 2025 by the authors. Licensee MDPI, Basel, Switzerland. This article is an open access article distributed under the terms and conditions of the Creative Commons Attribution (CC BY) license (https://creativecommons.org/licenses/by/4.0/).
Share and Cite
Piątczak, E.; Okońska, K.; Kolniak-Ostek, J.; Szymańska, G.; Kochan, E. Establishment of Shoot Cultures of Nepeta curviflora Boiss., Scale-Up in a Nutrient Sprinkle Bioreactor and Phytochemical Analysis. Int. J. Mol. Sci. 2025, 26, 11409. https://doi.org/10.3390/ijms262311409
Piątczak E, Okońska K, Kolniak-Ostek J, Szymańska G, Kochan E. Establishment of Shoot Cultures of Nepeta curviflora Boiss., Scale-Up in a Nutrient Sprinkle Bioreactor and Phytochemical Analysis. International Journal of Molecular Sciences. 2025; 26(23):11409. https://doi.org/10.3390/ijms262311409
Chicago/Turabian StylePiątczak, Ewelina, Klaudia Okońska, Joanna Kolniak-Ostek, Grażyna Szymańska, and Ewa Kochan. 2025. "Establishment of Shoot Cultures of Nepeta curviflora Boiss., Scale-Up in a Nutrient Sprinkle Bioreactor and Phytochemical Analysis" International Journal of Molecular Sciences 26, no. 23: 11409. https://doi.org/10.3390/ijms262311409
APA StylePiątczak, E., Okońska, K., Kolniak-Ostek, J., Szymańska, G., & Kochan, E. (2025). Establishment of Shoot Cultures of Nepeta curviflora Boiss., Scale-Up in a Nutrient Sprinkle Bioreactor and Phytochemical Analysis. International Journal of Molecular Sciences, 26(23), 11409. https://doi.org/10.3390/ijms262311409

