Sign in to use this feature.

Years

Between: -

Subjects

remove_circle_outline
remove_circle_outline
remove_circle_outline
remove_circle_outline
remove_circle_outline
remove_circle_outline
remove_circle_outline
remove_circle_outline
remove_circle_outline

Journals

remove_circle_outline
remove_circle_outline
remove_circle_outline
remove_circle_outline
remove_circle_outline
remove_circle_outline
remove_circle_outline
remove_circle_outline
remove_circle_outline
remove_circle_outline
remove_circle_outline
remove_circle_outline
remove_circle_outline
remove_circle_outline
remove_circle_outline
remove_circle_outline
remove_circle_outline

Article Types

Countries / Regions

remove_circle_outline
remove_circle_outline
remove_circle_outline
remove_circle_outline
remove_circle_outline
remove_circle_outline

Search Results (1,160)

Search Parameters:
Keywords = planning and production control

Order results
Result details
Results per page
Select all
Export citation of selected articles as:
24 pages, 7238 KB  
Article
Structural-Functional Suitability Assessment of Yangtze River Waterfront in the Yichang Section: A Three-Zone Spatial and POI-Based Approach
by Xiaofen Li, Fan Qiu, Kai Li, Yichen Jia, Junnan Xia and Jiawuhaier Aishanjian
Land 2026, 15(1), 91; https://doi.org/10.3390/land15010091 (registering DOI) - 1 Jan 2026
Abstract
The Yangtze River Economic Belt is a crucial driver of China’s economy, and its shoreline is a strategic, finite resource vital for ecological security, flood control, navigation, and socioeconomic development. However, intensive development has resulted in functional conflicts and ecological degradation, underscoring the [...] Read more.
The Yangtze River Economic Belt is a crucial driver of China’s economy, and its shoreline is a strategic, finite resource vital for ecological security, flood control, navigation, and socioeconomic development. However, intensive development has resulted in functional conflicts and ecological degradation, underscoring the need for accurate identification and suitability assessment of shoreline functions. Conventional methods, which predominantly rely on land use data and remote sensing imagery, are often limited in their ability to capture dynamic changes in large river systems. This study introduces an integrated framework combining macro-level “Three-Zone Space” (urban, agricultural, ecological) theory with micro-level Point of Interest (POI) data to rapidly identify shoreline functions along the Yichang section of the Yangtze River. We further developed a multi-criteria evaluation system incorporating ecological, production, developmental, and risk constraints, utilizing a combined AHP-Entropy weight method to assess suitability. The results reveal a clear upstream-downstream gradient: ecological functions dominate upstream, while agricultural and urban functions increase downstream. POI data enabled refined classification into five functional types, revealing that ecological conservation shorelines are extensively distributed upstream, port and urban development shorelines concentrate in downstream nodal zones, and agricultural production shorelines are widespread yet exhibit a spatial mismatch with suitability scores. The comprehensive evaluation identified high-suitability units, primarily in downstream urban cores with superior development conditions and lower risks, whereas low-suitability units are constrained by high geological hazards and poor infrastructure. These findings provide a scientific basis for differentiated shoreline management strategies. The proposed framework offers a transferable approach for the sustainable planning of major river corridors, offering insights applicable to similar contexts. Full article
Show Figures

Figure 1

16 pages, 4795 KB  
Article
Foraging Habitat Selection of Shrubland Bird Community During the Dry Season in Tropical Dry Forests
by Anant Deshwal, Pooja Panwar, Brian M. Becker and Steven L. Stephenson
Diversity 2026, 18(1), 25; https://doi.org/10.3390/d18010025 (registering DOI) - 1 Jan 2026
Abstract
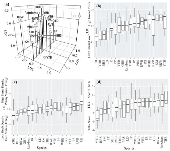
Unmitigated climate change, coupled with habitat loss, has made the grassland and shrubland bird communities particularly vulnerable to extinction. Climate change-induced drought reduces net primary productivity, food availability, habitat quality, and alters vegetation structure. These factors collectively increase mortality in grassland and shrubland [...] Read more.
Unmitigated climate change, coupled with habitat loss, has made the grassland and shrubland bird communities particularly vulnerable to extinction. Climate change-induced drought reduces net primary productivity, food availability, habitat quality, and alters vegetation structure. These factors collectively increase mortality in grassland and shrubland birds. However, limited data on habitat use by tropical birds hampers the development of effective management plans for drought-affected landscapes. We examined the foraging sites of 18 shrubland bird species, including two endemic and four declining species, across three shrubland forest sites in the Eastern Ghats of India during the dry season. We recorded microhabitat features within an 11 m radius of observed foraging points and compared them with random plots. Additionally, we examined the association between bird species and plant species where a bird was observed foraging. Foraging sites differed significantly from random plots, indicating active selection of microhabitats by shrubland birds. Using linear discriminant analysis, we found that the microhabitat features important for the bird species were presence of ground cover, shrub density, vegetational height, and vertical foliage stratification. Our results show that diet guild and foraging strata influence the foraging microhabitat selection of a species. Microhabitat attributes selected by shrubland specialist species differed from those of generalist shrubland users. Thirteen out of 18 focal species showed a significant association with at least one plant species. Birds were often associated with plants that were green during the dry season. Based on habitat selection and plant associations, we identified several habitat attributes that can be actively managed. Despite being classified as wastelands, the heavily degraded shrub forests can be rehabilitated through strategic and selective harvesting of forest products, targeting invasive species, and a spatially and temporally controlled livestock grazing regime. Full article
Show Figures

Figure 1

30 pages, 6385 KB  
Article
A Stochastic Formulation for the Dig-Limit Definition Problem in Short-Term Mine Planning Under Grade Uncertainty
by Gonzalo Nelis, Constanza Aguilera, Arleth Campos, Fabián Manríquez, Rodrigo Estay, Enrique Jelvez and Felipe Muñoz
Mathematics 2026, 14(1), 141; https://doi.org/10.3390/math14010141 - 29 Dec 2025
Viewed by 72
Abstract
Uncertainty in short-term grade estimations can significantly affect destination policies and dig-limit definitions in open-pit mining. However, most dig-limit techniques still rely on deterministic methods and manual procedures. This study proposes a stochastic optimization model for the dig-limit definition problem that incorporates geological [...] Read more.
Uncertainty in short-term grade estimations can significantly affect destination policies and dig-limit definitions in open-pit mining. However, most dig-limit techniques still rely on deterministic methods and manual procedures. This study proposes a stochastic optimization model for the dig-limit definition problem that incorporates geological uncertainty through multiple grade scenarios and explicitly controls deviations from production targets. Two real case studies were evaluated to compare the stochastic formulation against deterministic and manual definitions. Results show that the stochastic model systematically improves economic performance, with profit increases of up to 2.3% over deterministic policies and up to 4.3% when compared against manual solutions. The stochastic solution also reduces deviations from metal and grade targets, producing more stable outcomes across scenarios. The model is computationally efficient, with solution times below 25 s for all case studies, which are compatible with practical short-term planning workflows. Overall, our findings demonstrate that incorporating grade variability into the dig-limit definition improves profitability and reliability in short-term mine planning horizons. Full article
(This article belongs to the Special Issue Advances in Mathematical Optimization in Operational Research)
Show Figures

Figure 1

19 pages, 11752 KB  
Article
Organic Fertilizer Effects on Ecosystem Multifunctionality and Trade-Offs in Alpine Mine Reclamation
by Lili Ma, Fuzhen Jiang, Zhengpeng Li, Kaibin Qi and Yushou Ma
Land 2026, 15(1), 58; https://doi.org/10.3390/land15010058 - 29 Dec 2025
Viewed by 109
Abstract
Reclamation measures are essential tools for enhancing ecosystem functions and promoting ecological sustainability. This study focused on the Jiangnan mining area within the Muli coalfield in Qinghai Province, China. Four organic fertilizer reclamation treatments were established, namely, unfertilized control (CK, 0), low fertilizer [...] Read more.
Reclamation measures are essential tools for enhancing ecosystem functions and promoting ecological sustainability. This study focused on the Jiangnan mining area within the Muli coalfield in Qinghai Province, China. Four organic fertilizer reclamation treatments were established, namely, unfertilized control (CK, 0), low fertilizer (LF, consisting of sheep manure at 165 m3/ha and commercial organic fertilizer at 7.5 t/ha), medium fertilizer (MF, using 330 m3/ha of sheep manure and 15.0 t/ha of commercial organic fertilizer), and high fertilizer (HF, using 495 m3/ha of sheep manure and 22.5 t/ha of commercial organic fertilizer), with a natural meadow near the experimental site selected as a reference for evaluation. Through a field vegetation survey and indoor analysis, the primary productivity, water conservation, carbon cycle, nitrogen cycle, and phosphorus cycle of five ecosystem functions and ecosystem multifunctionality (EMF) were quantified, and the trade-off relationships among ecosystem functions were analyzed. The findings indicate the following: (1) Compared to the unfertilized control, organic fertilizer reclamation significantly enhanced all individual ecosystem functions and EMF, with the EMF value under the high-fertilizer treatment (EMF = 0.69) even exceeding that of the natural grassland (EMF = 0.60). (2) This intervention altered the original trade-off patterns (ERMSD = 0.03), intensifying trade-offs among multiple ecological functions (ERMSD = 0.09), whereas natural grassland exhibited the strongest trade-off intensity (ERMSD = 0.26). In summary, while organic fertilizer reclamation effectively enhances the multifunctionality of alpine mining ecosystems, it also amplifies trade-off effects among ecological functions to varying degrees. Therefore, future long-term positioning observations are required to evaluate the ecological stability and sustainability of this restoration technology under extreme climatic conditions and to further explore reasonable grazing and mowing management plans in order to coordinate multiple ecological functions, thereby promoting the development of the reclamation ecosystem in alpine mining areas toward coordination and health. Full article
(This article belongs to the Section Land Use, Impact Assessment and Sustainability)
Show Figures

Figure 1

25 pages, 103370 KB  
Article
NeRF-Enhanced Visual–Inertial SLAM for Low-Light Underwater Sensing
by Zhe Wang, Qinyue Zhang, Yuqi Hu and Bing Zheng
J. Mar. Sci. Eng. 2026, 14(1), 46; https://doi.org/10.3390/jmse14010046 - 26 Dec 2025
Viewed by 176
Abstract
Marine robots operating in low illumination and turbid waters require reliable measurement and control for surveying, inspection, and monitoring. This paper present a sensor-centric visual–inertial simultaneous localization and mapping (SLAM) pipeline that combines low-light enhancement, learned feature matching, and NeRF-based dense reconstruction to [...] Read more.
Marine robots operating in low illumination and turbid waters require reliable measurement and control for surveying, inspection, and monitoring. This paper present a sensor-centric visual–inertial simultaneous localization and mapping (SLAM) pipeline that combines low-light enhancement, learned feature matching, and NeRF-based dense reconstruction to provide stable navigation states. A lightweight encoder–decoder with global attention improves signal-to-noise ratio and contrast while preserving feature geometry. SuperPoint and LightGlue deliver robust correspondences under severe visual degradation. Visual and inertial data are tightly fused through IMU pre-integration and nonlinear optimization, producing steady pose estimates that sustain downstream guidance and trajectory planning. An accelerated NeRF converts monocular sequences into dense, photorealistic reconstructions that complement sparse SLAM maps and support survey-grade measurement products. Experiments on AQUALOC sequences demonstrate improved localization stability and higher-fidelity reconstructions at competitive runtime, showing robustness to low illumination and turbidity. The results indicate an effective engineering pathway that integrates underwater image enhancement, multi-sensor fusion, and neural scene representations to improve navigation reliability and mission effectiveness in realistic marine environments. Full article
(This article belongs to the Special Issue Intelligent Measurement and Control System of Marine Robots)
Show Figures

Figure 1

19 pages, 1038 KB  
Review
The Current State of Mock Circulatory Loop Applications in Aortic and Cardiovascular Research: A Scoping Review
by Felix E. N. Osinga, Nesar A. Hasami, Jasper F. de Kort, Emma-Lena Maris, Maurizio Domanin, Martina Schembri, Alessandro Caimi, Michele Conti, Constantijn E. V. B. Hazenberg, Ferdinando Auricchio, Jorg L. de Bruin, Joost A. van Herwaarden and Santi Trimarchi
Biomedicines 2026, 14(1), 28; https://doi.org/10.3390/biomedicines14010028 - 22 Dec 2025
Viewed by 395
Abstract
Background: Mock circulatory loops (MCLs) are benchtop experimental platforms that reproduce key features of the human cardiovascular system, providing a safe, controlled, and reproducible environment for haemodynamic investigation. This scoping review aims to systematically map the current landscape of MCLs used for [...] Read more.
Background: Mock circulatory loops (MCLs) are benchtop experimental platforms that reproduce key features of the human cardiovascular system, providing a safe, controlled, and reproducible environment for haemodynamic investigation. This scoping review aims to systematically map the current landscape of MCLs used for aortic simulation and identify major areas of application. Methods: A systematic search of PubMed, Scopus, and Web of Science identified original studies employing MCLs for aortic simulation. Eligible studies were categorized into predefined themes: (I) (bio)mechanical aortic characterization, (II) hemodynamics, (III) device testing, (IV) diagnostics, and (V) training. Data on MCL configurations, aortic models, and study objectives were synthesized narratively. Results: Eighty-four studies met the inclusion criteria. Twenty-five investigated aortic biomechanics, 23 hemodynamics, 22 device or product testing, 13 validated diagnostic imaging techniques, and one training application. Models included porcine (n = 22), human cadaveric (n = 7), canine (n = 1), ovine (n = 1), bovine (n = 1), and 3D-printed or molded aortic phantoms (n = 55). MCLs were employed to study parameters such as aortic stiffness, flow dynamics, dissection propagation, endoleaks, imaging accuracy, and device performance. Conclusions: This review provides a comprehensive overview of MCL applications in aortic research. MCLs represent a versatile pre-clinical platform for studying aortic pathophysiology and testing endovascular therapies under controlled conditions. Standardized reporting frameworks are now required to improve reproducibility and accelerate translation to patient-specific planning. Full article
Show Figures

Figure 1

23 pages, 2581 KB  
Article
A Multistage Manufacturing Process Path Planning Method Based on AEC-FU Hybrid Decision-Making
by Wanlu Chen and Xinqin Gao
Appl. Sci. 2025, 15(24), 13276; https://doi.org/10.3390/app152413276 - 18 Dec 2025
Viewed by 182
Abstract
As product complexity and customization levels continue to rise in high-end manufacturing, optimizing and controlling multistage manufacturing processes (MMPs) presents growing challenges. However, existing MMP research has largely focused on optimizing relatively fixed process routes, while limited attention has been paid to the [...] Read more.
As product complexity and customization levels continue to rise in high-end manufacturing, optimizing and controlling multistage manufacturing processes (MMPs) presents growing challenges. However, existing MMP research has largely focused on optimizing relatively fixed process routes, while limited attention has been paid to the route selection problem itself, particularly the global selection of process routes under real-world conditions where MMPs stages are mutually coupled and characterized by uncertainty. Therefore, the present study focuses on the fundamental challenge of process route decision-making for complex products within MMPs. A hybrid decision model is developed that incorporates expert knowledge and explicitly quantifies uncertainty arising from decision inconsistency and linguistic ambiguity. The proposed model consists of three main components: expert weighting, criterion weighting, and comprehensive ranking of process schemes. Expert and criterion weights are derived using the Enhanced Analytic Hierarchy Process (EAHP) to address inconsistency in expert judgments, while the ranking of alternatives is performed using a novel Combined Compromise Solution (CoCoSo) rule within an Interval Type-2 Fuzzy Sets (IT2FS) linguistic environment. Furthermore, the effectiveness of the proposed framework is validated through a case study on the multistage manufacturing process of compact aerospace heat exchangers. The results demonstrate that the proposed approach provides effective decision support for selecting robust process schemes during the initial planning phase of MMPs. Full article
Show Figures

Figure 1

28 pages, 3587 KB  
Review
A Comprehensive Review of Big Data Intelligent Decision-Making Models for Smart Farms
by Chang Qin, Peiqin Zhao, Ying Qian, Guijun Yang, Xingyao Hao, Xin Mei, Xiaodong Yang and Jin He
Agronomy 2025, 15(12), 2898; https://doi.org/10.3390/agronomy15122898 - 16 Dec 2025
Viewed by 423
Abstract
Big data and artificial intelligence technologies are driving a paradigm shift in smart farming, yet intelligent decision-making faces critical bottlenecks. At the data level, challenges include fragmentation, high acquisition costs, and inadequate secure sharing; at the model level, issues involve regional heterogeneity, weak [...] Read more.
Big data and artificial intelligence technologies are driving a paradigm shift in smart farming, yet intelligent decision-making faces critical bottlenecks. At the data level, challenges include fragmentation, high acquisition costs, and inadequate secure sharing; at the model level, issues involve regional heterogeneity, weak adaptability, and insufficient explainability. To address these, this paper systematically reviews global research to establish a theoretical framework spanning the entire production cycle. Regarding data governance, trends favor federated systems with unified metadata and layered storage, utilizing technologies like federated learning for secure lifecycle management. For decision-making, approaches are evolving from experience-based to data-driven intelligence. Pre-harvest planning now integrates mechanistic models and transfer learning for suitability and variety optimization. In-season management leverages deep reinforcement learning (DRL) and model predictive control (MPC) for precise regulation of seedlings, water, fertilizer, and pests. Post-harvest evaluation strategies utilize spatio-temporal deep learning architectures (e.g., Transformers or LSTMs) and intelligent optimization algorithms for yield prediction and machinery scheduling. Finally, a staged development pathway is proposed: prioritizing standardized data governance and foundation models in the short term; advancing federated learning and human–machine collaboration in the mid-term; and achieving real-time, ethical edge AI in the long term. This framework supports the transition toward precise, transparent, and sustainable smart agriculture. Full article
(This article belongs to the Section Precision and Digital Agriculture)
Show Figures

Figure 1

16 pages, 949 KB  
Study Protocol
Effect of the Consumption of Milk with Beta-Casein A2A2, Milk with Beta-Casein A1A2 and a Plant-Based Drink on Metabolic Health in Adults: Protocol IMPA-CT Study
by Jadwiga Hamulka, Magdalena Górnicka, Anna Berthold-Pluta, Adam Kalinowski, Marta Habanova and Dawid Madej
Nutrients 2025, 17(24), 3922; https://doi.org/10.3390/nu17243922 - 15 Dec 2025
Viewed by 515
Abstract
Background and Objectives: Milk with A2/A2 β-casein (A2 milk) is currently the subject of numerous studies on the effects of its consumption on health. Commonly consumed milk contains a mixture of β-casein of different genetic variants (most often A1 and A2). In the [...] Read more.
Background and Objectives: Milk with A2/A2 β-casein (A2 milk) is currently the subject of numerous studies on the effects of its consumption on health. Commonly consumed milk contains a mixture of β-casein of different genetic variants (most often A1 and A2). In the polypeptide chain of A2/A2 β-casein, proline occurs at position 67, while in β-casein A1/A2, histidine occurs. The main goal of the dietary intervention was to identify and compare the effects of consuming A2 milk, conventional milk (A1) and oat drink on bone health, cardiometabolic health and immune system function in adults. Methods: The controlled IMPA-CT (Investigating Milk and Plant Alternatives Comparative Trial) Study was a randomized study with three groups (A2 Milk group, A1 Milk group, and Oat Drink group). The study included 162 adults with normal and/or overweight, without coexisting chronic diseases, aged 30–60 years. The intervention study consisted of the consumption of 500 mL of an appropriate product (A2 milk/A1 milk/oat drink) daily for 12 weeks. After qualification of the subjects, before the start of the study (T1′), in the 4th week of the study (T2′), in the 8th week of the study (T3′) and at the end of the study, after 12 weeks (T4’), an assessment of the diet and nutritional status was planned. Body composition, bone mineral density (DEXA) and biochemical tests were done. The primary outcome will be the effect of cow’s milk variants and oat drink consumption on bone health. Secondary outcomes will include changes in nutrient intake and cardiometabolic health as well as the immune system in adults. Expected Results and Contributions: The study design, including extensive follow-up and robust endpoint measures, contributed to understanding the therapeutic potential and safety profile or otherwise of β-casein A2/A2 milk and plant-based drinks. Full article
(This article belongs to the Special Issue Nutritional Surveys and Assessment of Unhealthy Eating Behaviors)
Show Figures

Figure 1

21 pages, 3597 KB  
Article
An Integrated IoT- and Machine Learning-Based Smart Management and Decision Support System for Sustainable Oil Palm Production
by Kritsada Puangsuwan, Supattra Puttinaovarat, Natthaseth Sriklin, Weerapat Phutthamongkhon and Siriwan Kajornkasirat
Sustainability 2025, 17(24), 11204; https://doi.org/10.3390/su172411204 - 14 Dec 2025
Viewed by 578
Abstract
Oil palm is an important economic crop that is widely cultivated, especially in Southeast Asia. Thailand is one of the world’s largest producers and exporters of palm oil. Efficient management of oil palm plantations is crucial for increasing yields and minimizing agricultural losses. [...] Read more.
Oil palm is an important economic crop that is widely cultivated, especially in Southeast Asia. Thailand is one of the world’s largest producers and exporters of palm oil. Efficient management of oil palm plantations is crucial for increasing yields and minimizing agricultural losses. This study aimed to develop a smart oil palm plantation and production management system. This system utilizes Internet of Things (IoT) technology and an integrated supervised machine learning model utilizing regression analysis to monitor and control agricultural equipment within the plantation. MySQL database was used for management of sensor data. Python (version 3.9.6) programming and Google Map API were used for data analysis, spatial analysis and data visualization suite in the system. The results showed that the data from the sensors are displayed in real-time, allowing plantation managers to monitor conditions remotely and make informed adjustments as needed. The system also includes data analysis and data visualization tools for decision-making regarding production management. The model attained an accuracy of over 95%, which reflects its reliability in performing the specified prediction task. The system serves as a support tool for automating soil quality monitoring, fertilization, and field maintenance in oil palm plantations. This enhances productivity, reduces operational costs, and improves yield planning. Full article
Show Figures

Figure 1

28 pages, 1854 KB  
Article
Multidimensional Framework of Post-Disaster Resilience in South-Pearl Aquaculture in Guangdong, China: A Grounded Theory Study
by Taohong Zhu, Runa Xu, Yongshan Liao, Jun Du and Qingheng Wang
Fishes 2025, 10(12), 642; https://doi.org/10.3390/fishes10120642 - 12 Dec 2025
Viewed by 384
Abstract
Guangdong south-pearl aquaculture, a cornerstone of China’s marine industry under the Rural Revitalization Strategy, contributes over 70% of national output but faces escalating marine disasters that expose systemic barriers to resilience. This study develops a diagnostic multidimensional framework for post-disaster resilience using a [...] Read more.
Guangdong south-pearl aquaculture, a cornerstone of China’s marine industry under the Rural Revitalization Strategy, contributes over 70% of national output but faces escalating marine disasters that expose systemic barriers to resilience. This study develops a diagnostic multidimensional framework for post-disaster resilience using a Grounded Theory design. We conducted 32 semi-structured interviews with participants from five key enterprises and cooperatives in the core Leizhou production region. Interview transcripts were analyzed in NVivo through open, axial, and selective coding with constant comparison. Open coding generated 136 initial concepts, axial coding consolidated them into 25 categories, and selective coding integrated these into four core dimensions: technological adaptation gaps, institutional trust deficits, human-resource succession ruptures, and ecological path dependence. These dimensions constitute the core phenomenon, termed the four-dimensional synergistic dilemma. Building on this empirically grounded diagnosis, we propose a multidimensional collaborative recovery framework that links each dimension to actionable levers, including stress-tolerant breeding and ecological aquaculture models, targeted policy instruments and adaptive insurance, industry-education pipelines to preserve craftsmanship, and spatial planning with coordinated pollution control. The study provides a theoretically informed and empirically validated model for enhancing industrial resilience, offering actionable insights for the sustainable revitalization of coastal specialty industries. Full article
(This article belongs to the Special Issue Advances in Fisheries Economics)
Show Figures

Figure 1

13 pages, 375 KB  
Article
The Influence of Communication Strategies of Intelligent Agents in Production Systems on the Shift of Sustainable Solutions
by Polina A. Sharko, Zhanna V. Burlutskaya, Aleksei M. Gintciak, Salbek M. Beketov and Karina A. Lundaeva
Sustainability 2025, 17(24), 11130; https://doi.org/10.3390/su172411130 - 12 Dec 2025
Viewed by 196
Abstract
Current decision support systems for recommending labor resource allocation and generating production schedules in the systems with decentralized technological process control often fail to account for the impact of participants’ communication strategies on the shifts in target performance indicators, which depend on the [...] Read more.
Current decision support systems for recommending labor resource allocation and generating production schedules in the systems with decentralized technological process control often fail to account for the impact of participants’ communication strategies on the shifts in target performance indicators, which depend on the alignment between local goals of production units and the global objectives of the system. The goal of the present study is to develop an approach for determining optimal communication parameters among intelligent agents to achieve system-level performance targets using the previously developed multiagent systems (MAS) for optimizing technological processes. The research investigates how agent constraint systems influence both overall system welfare and the individual welfare of agents, considering the shifts in their objective functions driven by preferred communication strategies. A workflow is developed to identify effective constraints. Using this workflow, the study provides recommendations for assigning regional field development plans, accounting for participants’ tendencies toward cooperation. On data where the potential for increasing the region’s flow rate through optimization of labor resource allocation and scheduling of well intervention operations (GTO) does not exceed 6%, the presented solution enabled the development of field plans that result in an additional 1% increase in the predicted oil production region’s flow rate on top of the gain achieved through resource allocation optimization. Full article
Show Figures

Figure 1

26 pages, 10994 KB  
Article
Mass Movement Risk Assessment in the Loess Hilly Region of Northwest China Using a Weighted Information Theoretic Framework
by Zhiyong Hu, Jinkai Yan, Yongfeng Gong, Fangyuan Jiang, Guorui Wang, Hui Wang, Xiaofeng He, Shichang Gao and Zheng He
Geosciences 2025, 15(12), 468; https://doi.org/10.3390/geosciences15120468 - 10 Dec 2025
Viewed by 284
Abstract
Ground instability represents a major environmental hazard in the Loess Hilly region of Northwest China, threatening infrastructure and human safety. This study establishes an integrated information-theoretic framework for evaluating regional instability risk by coupling the information value model with analytic hierarchy process (AHP) [...] Read more.
Ground instability represents a major environmental hazard in the Loess Hilly region of Northwest China, threatening infrastructure and human safety. This study establishes an integrated information-theoretic framework for evaluating regional instability risk by coupling the information value model with analytic hierarchy process (AHP) weighting and subsequent hazard–exposure synthesis. Seven conditioning factors—geomorphic type, slope, aspect, lithology, distance to faults, river system, and NDVI—were analyzed to derive susceptibility, while rainfall, peak ground acceleration, and human engineering activity were incorporated as triggering elements of hazard. Exposure was quantified from population density and infrastructure exposure, and overall risk was defined as the product of hazard and exposure after normalization and calibration. Results indicate that hilly landforms, slopes of 10–20°, and NDVI values between 0.3 and 0.6 are the dominant controls on instability occurrence. Extreme-risk zones are concentrated in central Guyuan and northwest Shizuishan (0.16% of the study area), with high-risk zones covering 21.87%, moderate-risk zones covering 41.65%, and low-risk zones covering 6.32%. Model validation yields an AUC of 0.833 and a consistent increase in observed disaster-point density from low to extreme classes, confirming strong predictive reliability. These results demonstrate that the proposed calibrated framework provides a practical and transferable tool for ground-instability risk assessment and land-use planning in loess terrains. Full article
(This article belongs to the Topic Remote Sensing and Geological Disasters)
Show Figures

Figure 1

27 pages, 12675 KB  
Article
Spatiotemporal Dynamics and Driving Mechanisms of Vegetation Net Primary Productivity in the Giant Panda National Park Under the Context of Ecological Conservation
by Wendou Liu, Shaozhi Chen, Dongyang Han, Jiang Liu, Pengfei Zheng, Xin Huang and Rong Zhao
Land 2025, 14(12), 2394; https://doi.org/10.3390/land14122394 - 10 Dec 2025
Viewed by 329
Abstract
Nature reserves serve as core spatial units for maintaining regional ecological security and biodiversity. Owing to their high ecosystem integrity, extensive vegetation cover, and low levels of disturbance, they play a crucial role in sustaining ecological processes and ensuring functional stability. Taking the [...] Read more.
Nature reserves serve as core spatial units for maintaining regional ecological security and biodiversity. Owing to their high ecosystem integrity, extensive vegetation cover, and low levels of disturbance, they play a crucial role in sustaining ecological processes and ensuring functional stability. Taking the Giant Panda National Park (GPNP), which spans the provinces of Gansu, Sichuan, and Shaanxi in China, as the study region, the vegetation net primary productivity (NPP) during 2001–2023 was simulated using the Carnegie–Ames–Stanford Approach (CASA) model. Spatial and temporal variations in NPP were examined using Moran’s I, Getis-Ord Gi* hotspot analysis, Theil–Sen trend estimation, and the Mann–Kendall test. In addition, the Optimal Parameters-based Geographical Detector (OPGD) model was applied to quantitatively assess the relative contributions of natural and anthropogenic factors to NPP dynamics. The results demonstrated that: (1) The mean annual NPP within the GPNP reached 646.90 gC·m−2·yr−1, exhibiting a fluctuating yet generally upward trajectory, with an average growth rate of approximately 0.65 gC·m−2·yr−1, reflecting the positive ecological outcomes of national park establishment and ecological restoration projects. (2) NPP exhibits significant spatial heterogeneity, with higher NPP values in the northern, while the central and western regions and some high-altitude areas remain at relatively low levels. Across the four major subregions of the GPNP, the Qinling has the highest mean annual NPP at 758.89 gC·m−2·yr−1, whereas the Qionglai–Daxiaoxiangling subregion shows the lowest value at 616.27 gC·m−2·yr−1. (3) Optimal NPP occurred under favorable temperature and precipitation conditions combined with relatively high solar radiation. Low elevations, gentle slopes, south facing aspects, and leached soils facilitated productivity accumulation, whereas areas with high elevation and steep slopes exhibited markedly lower productivity. Moderate human disturbance contributed to sustaining and enhancing NPP. (4) Factor detection results indicated that elevation, mean annual temperature, and land use were the dominant drivers of spatial heterogeneity when considering all natural and anthropogenic variables. Their interactions further enhanced explanatory power, particularly the interaction between elevation and climatic factors. Overall, these findings reveal the complex spatiotemporal characteristics and multi-factorial controls of vegetation productivity in the GPNP and provide scientific guidance for strengthening habitat conservation, improving ecological restoration planning, and supporting adaptive vegetation management within the national park systems. Full article
Show Figures

Figure 1

22 pages, 3542 KB  
Article
Dual Resource Scheduling Method of Production Equipment and Rail-Guided Vehicles Based on Proximal Policy Optimization Algorithm
by Nengqi Zhang, Bo Liu and Jian Zhang
Technologies 2025, 13(12), 573; https://doi.org/10.3390/technologies13120573 - 5 Dec 2025
Viewed by 1558
Abstract
In the context of intelligent manufacturing, the integrated scheduling problem of dual rail-guided vehicles (RGVs) and multiple parallel processing equipment in flexible manufacturing systems has gained increasing importance. This problem exhibits spatiotemporal coupling and dynamic constraint characteristics, making traditional optimization methods ineffective at [...] Read more.
In the context of intelligent manufacturing, the integrated scheduling problem of dual rail-guided vehicles (RGVs) and multiple parallel processing equipment in flexible manufacturing systems has gained increasing importance. This problem exhibits spatiotemporal coupling and dynamic constraint characteristics, making traditional optimization methods ineffective at finding optimal solutions. At the problem formulation level, the dual resource scheduling task is modeled as a mixed-integer optimization problem. An intelligent scheduling framework based on action mask-constrained Proximal Policy Optimization (PPO) deep reinforcement learning is proposed to achieve integrated decision-making for production equipment allocation and RGV path planning. The approach models the scheduling problem as a Markov Decision Process, designing a high-dimensional state space, along with a multi-discrete action space that integrates machine selection and RGV motion control. The framework employs a shared feature extraction layer and dual-head Actor-Critic network architecture, combined with parallel experience collection and synchronous parameter update mechanisms. In computational experiments across different scales, the proposed method achieves an average makespan reduction of 15–20% compared with numerical methods, while exhibiting excellent robustness under uncertain conditions including processing time fluctuations. Full article
(This article belongs to the Section Manufacturing Technology)
Show Figures

Figure 1

Back to TopTop