Prediction of Winter Wheat Yield and Interpretable Accuracy Under Different Water and Nitrogen Treatments Based on CNNResNet-50
Abstract
1. Introduction
1.1. Challenges of Water–Fertilizer Management in the Context of Food Security
1.2. Comparative Analysis of Major Crop Yield Prediction Methods
1.3. Development and Innovative Applications of CNN in Crop Yield Prediction
2. Materials and Methods
2.1. Field Experimental Condition and Design
2.2. Construction of Experimental Remote Sensing Image Dataset
2.3. Network Structure Design
2.3.1. Experimental Image Dataset
2.3.2. Faster-RCNN Network Structure
2.3.3. Improved CNN Based on ResNet50 Feature Extraction Network
2.3.4. Non-Maximum Suppression Algorithm (NMS)
2.4. Main Evaluation Indicators of Winter Wheat Yield Prediction Model
3. Results
3.1. CNN and YOLO’s Performance Comparison
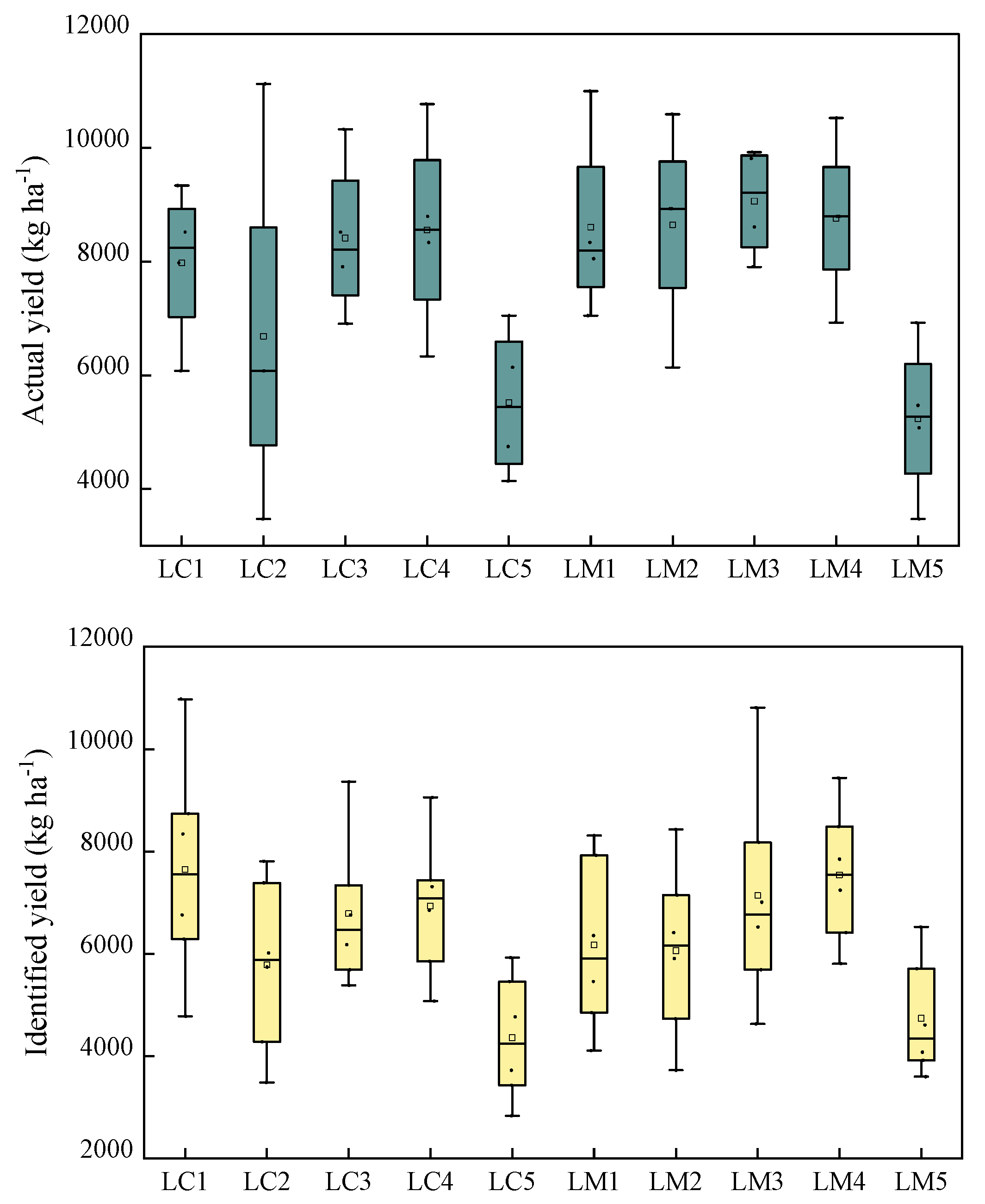
3.2. Influence of Different Water and Nitrogen Treatments on the Yield of Winter Wheat
3.3. CNN Analysis of Production Estimation Accuracy
4. Discussion
4.1. Improving Wheat Ear Recognition Accuracy Using Modified CNN
4.2. Effects of Water–Nitrogen Coupling on Winter Wheat Yield
4.3. Model Recognition Capability and Adaptability
5. Conclusions
Author Contributions
Funding
Data Availability Statement
Acknowledgments
Conflicts of Interest
References
- Xie, J.Y.; Zhang, D.Y.; Jin, N.; Cheng, T.; Zhao, G.; Han, D.; Niu, Z.; Li, W.F. Coupling crop growth models and machine learning for scalable winter wheat yield estimation across major wheat regions in China. Agric. For. Meteorol. 2025, 372, 110687. [Google Scholar] [CrossRef]
- Huang, J.X.; Ma, H.Y. Evaluation of regional estimates of winter wheat yield by assimilating three remotely sensed reflectance datasets into the coupled WOFOST-PROSAIL model. European J. Agron. 2019, 102, 1–13. [Google Scholar] [CrossRef]
- Zhang, L.; Pang, J.X.; Chen, X.P.; Lu, Z. Carbon emissions, energy consumption and economic growth: Evidence from the agricultural sector of China’s main grain-producing areas. Sci. Total Environ. 2019, 665, 1017–1025. [Google Scholar] [CrossRef] [PubMed]
- Ou, J.J.; Ding, B.B.; Feng, P.Y.; Chen, Y.; Yu, L.L.; Liu, D.L.; Srinivasan, R.; Zhang, X.L. How to stop groundwater drawdown in North China Plain? Combining agricultural management strategies and climate change. J. Hydrol. 2025, 647, 132352. [Google Scholar] [CrossRef]
- Hu, S.Y.; Qiao, B.W.; Yang, Y.H.; Rees, R.M.; Huang, W.H.; Zou, J.; Zhang, L.; Zheng, H.Y.; Liu, S.Y.; Shen, S.J.; et al. Optimizing nitrogen rates for synergistically achieving high yield and high nitrogen use efficiency with low environmental risks in wheat production—Evidences from a long-term experiment in the North China Plain. Eur. J. Agron. 2023, 142, 126681. [Google Scholar] [CrossRef]
- Wang, D.L.; Liu, S.B.; Guo, M.J.; Cheng, Y.H.; Shi, L.F.; Li, J.P.; Yu, Y.J.; Wu, S.Y.; Dong, Q.G.; Ge, J.K.; et al. Optimizing Nitrogen Fertilization and Irrigation Practices for Enhanced Winter Wheat Productivity in the North China Plain: A Meta-Analysis. Plants 2025, 14, 1686. [Google Scholar] [CrossRef] [PubMed]
- Cui, Z.K.; Yu, Z.W.; Shi, Y.; Zhang, Y.L.; Zhang, Z. Effects of water and nitrogen management on photosynthetic matter production and yield of wheat. Chin. J. Appl. Ecol. 2024, 35, 1564–1572. [Google Scholar] [CrossRef]
- Zhu, Y.G.; Liu, J.; Li, J.Q.; Xian, L.S.; Chu, J.P.; Liu, H.; Song, J.; Sun, Y.H.; Dai, Z.M. Delayed sowing increased dry matter accumulation during stem elongation in winter wheat by improving photosynthetic yield and nitrogen accumulation. Eur. J. Agron. 2023, 151, 127004. [Google Scholar] [CrossRef]
- Wang, Y.X.; Xu, Y.R.; Guo, Q.; Li, H.; Zhang, P.; Cai, T.; Jia, Z.K. Increasing winter wheat yield and nitrogen utilization, and reducing residual soil nitrogen in semi-humid areas: A study matching deep fertilizer application with regional water scenarios. Eur. J. Agron. 2024, 153, 127065. [Google Scholar] [CrossRef]
- Xing, S.L.; Zhang, G.L. The Current Application Status and Prospect of Agricultural Remote Sensing in China. Trans. CSAE 2003, 19, 174–178. [Google Scholar] [CrossRef]
- Weiss, M.; Jacob, F.; Duveiller, G. Remote sensing for agricultural applications: A meta-review. Remote Sens. Environ. 2020, 236, 111402. [Google Scholar] [CrossRef]
- Zhao, L.C.; Li, F.L.; Chang, Q.R. A Review of Remote Sensing Identification and Yield Estimation of Crops. Trans. Chin. Soc. Agric. Mach. 2023, 54, 1–19. [Google Scholar] [CrossRef]
- Wu, B.F.; Zhang, M.; Zeng, H.W. 20 years of Global Agricultural Situation Remote Sensing Rapid Reporting System. Natl. Remote Sens. Bull. 2019, 23, 1053–1063. [Google Scholar] [CrossRef]
- Chen, Z.X.; Ren, J.Q.; Tang, H.J. Progress and Prospect of Agricultural Remote Sensing Research and Application. Natl. Remote Sens. Bull. 2016, 20, 748–767. [Google Scholar] [CrossRef]
- Ma, Z.L.; Wen, F.; Zhou, Y.J. Regional Winter-wheat Yield Estimation Based on Coupling of Machine Learning Algorithm and Crop Growth Model. Trans. Chin. Soc. Agric. Mach. 2023, 54, 136–147. [Google Scholar] [CrossRef]
- Zhu, Z.C.; Chen, L.J.; Zhang, J.S. Winter wheat yield model based on information diffusion and key remote sensing data. Trans. CSAE 2011, 27, 187–193. [Google Scholar] [CrossRef]
- Ren, J.Q.; Chen, Z.X.; Tang, H.J. Regional crop yield simulation based on remote sensing information and crop growth models. Trans. CSAE 2011, 27, 257–264. [Google Scholar] [CrossRef]
- Li, R.; Li, C.J.; Xv, X.G. Estimation of winter wheat yield based on Support Vector Regression (SVR) and multi-temporal remote sensing data. Trans. CSAE 2009, 25, 114–117. [Google Scholar] [CrossRef]
- Wang, J.J.; Li, C.S.; Zhuo, Y. Estimation of winter wheat yield based on the optimal growth period of multi-temporal unmanned aerial vehicle remote sensing. Trans. Chin. Soc. Agric. Mach. 2022, 53, 197–206. [Google Scholar] [CrossRef]
- Wang, P.X.; Tian, H.R.; Zhang, Y. Research Progress on Crop Growth Monitoring and Yield Estimation Based on Deep Learning. Trans. Chin. Soc. Agric. Mach. 2022, 53, 1–14. [Google Scholar] [CrossRef]
- Ren, S.; He, K.; Girshick, R. Faster R-CNN: Towards Real-Time Object Detection with Region Proposal Networks. IEEE Trans. Pattern Anal. Mach. Intell. 2016, 39, 1137–1149. [Google Scholar] [CrossRef] [PubMed]
- Redmon, J.; Divvala, S.; Girshick, R. You Only Look Once: Unified, Real-Time Object Detection. In Proceedings of the IEEE Conference on Computer Vision and Pattern Recognition (CVPR), Las Vegas, NV, USA, 27–30 June 2016; pp. 779–788. [Google Scholar] [CrossRef]
- Xu, L.; Wang, Y.; Shi, X. Real-time and accurate detection of citrus in complex scenes based on HPL-YOLOv4. Comput. Electron. Agric. 2023, 205, 107590. [Google Scholar] [CrossRef]
- Wang, D.Y.; Fu, Y.Y.; Yang, G.J. Combined Use of FNC and Harris Corner Detection for Counting Wheat Ears in Field Conditions. IEEE Access 2019, 7, 178930–178941. [Google Scholar] [CrossRef]
- Shelhamer, E.; Long, J.; Darrell, T. Fully Convolutional Networks for Semantic Segmentation. IEEE Trans. Pattern Anal. Mach. Intell. 2015, 39, 640–651. [Google Scholar] [CrossRef] [PubMed]
- Zhang, L.X.; Chen, Y.Q.; Li, Y.X. Winter wheat ear Detection and Counting System based on convolutional Neural Network. Trans. Chin. Soc. Agric. Mach. 2019, 50, 144–150. [Google Scholar] [CrossRef]
- Neubeck, A.; Van Gool, L. Efficient non-maximum suppression. In Proceedings of the 18th International Conference on Pattern Recognition (ICPR’06), Hong Kong, China, 22–24 August 2006; pp. 850–855. [Google Scholar] [CrossRef]
- Patel, J.; Ruparelia, A.; Tanwar, S. Deep Learning-Based Model for Detection of Brinjal Weed in the Era of Precision Agriculture; Tech Science Press: Henderson, NV, USA, 2023. [Google Scholar] [CrossRef]
- Chen, S.; Xv, W.F.; Wang, H.T. Wheat ear detection algorithm based on the improved YOLO v7. J. Jilin Univ. 2024, 62, 0886–09. [Google Scholar] [CrossRef]
- Quan, Y.; Zhang, D.; Zhang, L.Y. Centralized Feature Pyramid for Object Detection. IEEE Trans. Image Process. 2023, 32, 4341–4354. [Google Scholar] [CrossRef] [PubMed]
- Liu, S.; Qi, L.; Qin, H.F. Path Aggregation Network for Instance Segmentation. In Proceedings of the IEEE Conference on Computer Vision and Pattern Recognition, Salt Lake City, UT, USA, 18–23 June 2018; IEEE: Piscataway, NJ, USA, 2018; pp. 8759–8768. [Google Scholar] [CrossRef]
- Wang, X.; Lu, H.; Li, J. Influence of Time-Series Length and Hyperparameters on Temporal Convolutional Neural Network Training in Low-Power Battery SOC Estimation. Appl. Sci. 2023, 13, 134–147. [Google Scholar] [CrossRef]
- Milioto, A.; Lottes, P.; Stachniss, C. Real-time Semantic Segmentation of Crop and Weed for Precision Agriculture Robots Leveraging Background Knowledge in CNNs. In Proceedings of the 2018 IEEE International Conference on Robotics and Automation (ICRA), Brisbane, Australia, 21–25 May 2018. [Google Scholar] [CrossRef]
- Zhou, L.; Mu, H.W.; Ma, H.J. Dry yield estimation of winter wheat in northern China based on convolutional neural networks. Trans. CSAE 2019, 35, 119–128. [Google Scholar]
- Liu, L.B.; Wang, T.; Zhang, P. Hyperspectral image yield estimation method of Ningxia Wolfberry based on CNN-S-GPR. Trans. Chin. Soc. Agric. Mach. 2022, 53, 1000–1298. [Google Scholar] [CrossRef]
- Theckedath, D.; Sedamkar, R.R. Detecting Affect States Using VGG16, ResNet50 and SE-ResNet50 Networks. SN Comput. Sci. 2020, 1, 79. [Google Scholar] [CrossRef]
- Qassim, H.; Verma, A.; Feinzimer, D. Compressed residual-VGG16 CNN model for big data places image recognition. In Proceedings of the 2018 IEEE 8th Annual Computing and Communication Workshop and Conference (CCWC), Las Vegas, NV, USA, 8–10 January 2018; pp. 169–175. [Google Scholar] [CrossRef]
- Zhang, Y.L.; Lu, H. Zero-watermarking algorithm for vector maps based on the ResNet50 model. Geogr. Geo-Inf. Sci. 2024, 40, 1672-0504. [Google Scholar] [CrossRef]
- Bengio, Y.; Simard, P.; Frascon, P. Learning long-term dependencies with gradient descent is difficult. IEEE Trans. Neural Netw. 1994, 5, 157–166. [Google Scholar] [CrossRef] [PubMed]
- Gong, R.; Liu, X.; Jiang, S. Differentiable soft quantization: Bridging full-precision and low-bit neural networks. In Proceedings of the IEEE/CVF International Conference on Computer Vision, Seoul, Republic of Korea, 27 October–2 November 2019; pp. 4852–4861. [Google Scholar] [CrossRef]
- He, K.; Zhang, X.; Ren, S.; Sun, J. Deep Residual Learning for Image Recognition. In Proceedings of the IEEE Conference on Computer Vision and Pattern Recognition (CVPR), Las Vegas, NV, USA, 27–30 June 2016; pp. 770–778. [Google Scholar] [CrossRef]
- Lin, Y.H.; Lv, Z.L.; Yang, C.C. Identification and Experimentation of Overlapping Pomelos in Natural Scene Images. Trans. CSAE 2021, 37, 158–167. [Google Scholar] [CrossRef]
- Mebatsion, H.K.; Paliwal, J. A Fourier analysis based algorithm to separate touching kernels in digital images. Biosyst. Eng. 2011, 108, 66–74. [Google Scholar] [CrossRef]
- Xun, Y.; Bao, G.J.; Yang, Q.H. Automatic segmentation method for images of adhered corn kernels. Trans. Chin. Soc. Agric. Mach. 2010, 41, 163–167. [Google Scholar] [CrossRef]
- Visen, N.S.; Shashidhar, N.S.; Paliwal, J. AE—Automation and Emerging Technologies: Identification and Segmentation of Occluding Groups of Grain Kernels in a Grain Sample Image. J. Agric. Eng. Res. 2001, 79, 159–166. [Google Scholar] [CrossRef]
- Cao, T.C.; He, X.H.; Dong, D.L. Wheat imperfect grain recognition based on CNN deep model. Mod. Comput. 2017, 36, 9–14. [Google Scholar] [CrossRef]
- Li, Y.X.; Ma, J.C.; Liu, H.J. Field growth parameter estimation system of winter wheat using RGB digital images and deep learning. Trans. CSAE 2021, 37, 189–198. [Google Scholar] [CrossRef]
- Zhu, S.P.; Zhuo, J.X.; Huang, H. Wheat Grain Integrity Image Detection System Based on CNN. Trans. Chin. Soc. Agric. Mach. 2020, 51, 36–42. [Google Scholar] [CrossRef]
- Liu, L.; Yang, Z.H.; Zhao, W.Q.; Ding, C.H.; Hu, W.; Du, K.; Wang, S.S.; Zhou, Z.G. Partial root-zone drying enhances cotton fiber elongation by boosting the production of root-source jasmonates to counter drought stress. Ind. Crops Prod. 2024, 222, 120088. [Google Scholar] [CrossRef]
- Mehrabi, F.; Ali Reza Sepaskhah, A.R. Partial root zone drying irrigation, planting methods and nitrogen fertilization influence on physiologic and agronomic parameters of winter wheat. Agric. Water Manag. 2019, 223, 105688. [Google Scholar] [CrossRef]
- Chu, G.H.; Yang, L.X. Research on the Effects of Insufficient Irrigation on Winter Wheat Yield and Water Use Efficiency. Water Sav. Irrig. 2016, 2016, 1007–4929. [Google Scholar] [CrossRef]
- Luan, Q.H.; Bi, H.K.; Zhang, C.H. Research on Optimization of Irrigation Nodes for Winter Wheat in Irrigation Areas and Simulation of Yield Effects[J/OL]. South-to-North Water Transfers and Water Science & Technology. Available online: https://link.cnki.net/urlid/13.1430.TV.20250124.1628.006 (accessed on 28 May 2025).
- Wang, Z.Y.; Li, X.Q.; Zhang, J.Q. Effects of water-saving irrigation on photosynthetic and cell protection system parameters and yield traits of winter wheat/summer maize double cropping crops. Highlights Sci. Online 2023, 9, 343–354. [Google Scholar] [CrossRef]
- Xing, S.L.; Wang, J.X.; Yang, J.F. Effects of fertilizer management on wheat yield, carbon and nitrogen footprint under drip irrigation. Trans. CSAE 2025, 41, 103–111. [Google Scholar] [CrossRef]
- Bao, W.X.; Yang, X.H.; Liang, D. Lightweight convolutional neural network model for field wheat ear disease identification. Comput. Electron. Agric. 2021, 189, 106367. [Google Scholar] [CrossRef]
- Li, L.; Hassan, M.A.; Yang, S.R.; Jing, F.R. Development of image-based wheat spike counter through a Faster R-CNN algorithm and application for genetic studies. Crop J. 2022, 10, 1303–1311. [Google Scholar] [CrossRef]
- Mahalakshmi, S.; Anand, A.J.; Partheeban, P. Soil and crop interaction analysis for yield prediction with satellite imagery and deep learning techniques for the coastal regions. J. Environ. Manag. 2025, 380, 125095. [Google Scholar] [CrossRef] [PubMed]
- Zhu, G.C.; Zhao, C.X.; Zhou, L.L.; Li, Z.H.; Zhu, H.C. Winter wheat yield prediction at a county scale using time series variation features of remote sensing spectra and machine learning. Eur. J. Agron. 2025, 170, 127751. [Google Scholar] [CrossRef]
- Zaji, A.; Liu, Z.; Xiao, G.Z. Wheat spike localization and counting via hybrid UNet architectures. Comput. Electron. Agric. 2022, 203, 107439. [Google Scholar] [CrossRef]
- Fan, M.Y.; Ma, Q.; Liu, J.M. Wheat ear counting method in field environment based on machine vision. Trans. Chin. Soc. Agric. Mach. 2015, 46 (Suppl. S1), 234–239. [Google Scholar] [CrossRef]
- Luo, H.T. Research on Winter Wheat Yield Prediction Method Based on Hybrid Neural Network. Master’s Thesis, Zhengzhou University, Zhengzhou, China, 2022. [Google Scholar]
- Jin, J.X.; Ding, Y.M.; Sun, Z.Y. Numerical simulation of spring wheat growth and yield in arid areas based on SWAP-IES. Trans. Chin. Soc. Agric. Eng. (Trans. CSAE) 2023, 39, 66–76. [Google Scholar] [CrossRef]
- Jin, H. Research on Recognition and Counting of Mature Wheat Ears Based on Deep Learning. Doctoral Dissertation, Shandong Agricultural University, Tai’an, China, 2023. [Google Scholar]











| Soil Depth (cm) | Volume Mass (g/cm3) | Field Water Capacity (cm3/cm3) | Nitrate Nitrogen Content (mg/cm3) | Ammonia Nitrogen (mg/cm3) | Organic Matter (g/kg) | Total Nitrogen (g/kg) |
|---|---|---|---|---|---|---|
| 0–20 | 1.35 | 32 | 0.0368 | 0.0104 | 9.16 | 0.5665 |
| 20–40 | 1.56 | 34 | 0.0204 | 0.0033 | 6.67 | 0.3635 |
| 40–60 | 1.41 | 34 | 0.0132 | 0.0018 | 2.79 | 0.1945 |
| Fertilizer Blend Ratios | Single Organic Fertilizer (1) | Organic Fertilizer: Inorganic Fertilizer 7:3 (2) | Organic Fertilizer: Inorganic Fertilizer 3:7 (3) | Full Chemical Fertilizer (4) | No Fertilizer (5) |
|---|---|---|---|---|---|
| Sufficient irrigation (C) | LC1 | LC2 | LC3 | LC4 | LC5 |
| Deficit irrigation (M) | LM1 | LM2 | LM3 | LM4 | LM5 |
| Model | Training Dataset | Precision (map) | Batch Size | Inference GFLOPs | Training Time (min) | Epochs | Train GFLOPs | Loss |
|---|---|---|---|---|---|---|---|---|
| YOLOv8 | wheat-detection | 89.1 ± 0.015 ab | 4 | 0.7 | 53 | 100 | 0.9 | 0.629 |
| CNN | wheat-detection | 92.1 ± 0.012 a | 4 | 1.7 | 714 | 100 | 6.5 | 0.630 |
| Treatment | Grains Per Spike n (grain) | Effective Panicles N (pieces) | Thousand Seed Weight G (g) | Actual Yield M (kg/ha) | Number of Samples |
|---|---|---|---|---|---|
| LC1 | 35 ± 2 a | 580 ± 29 a | 42.33 ± 2.11 a | 7976.23 ± 398.81 a | 18 |
| LC2 | 26 ± 1 ab | 547 ± 27 ab | 43.10 ± 2.16 a | 8185.54 ± 409.28 ab | 18 |
| LC3 | 26 ± 1 ab | 660 ± 33 a | 45.37 ± 2.27 a | 9363.38 ± 468.17 a | 18 |
| LC4 | 31 ± 2 a | 650 ± 33 a | 41.13 ± 2.06 ab | 9057.62 ± 452.88 a | 18 |
| LC5 | 20 ± 1 c | 378 ± 19 c | 42.23 ± 2.11 a | 4767.23 ± 238.36 b | 18 |
| LM1 | 29 ± 2 a | 566 ± 28 bc | 42.53 ± 2.13 a | 8357.53 ± 417.88 ab | 18 |
| LM2 | 28 ± 1 ab | 724 ± 36 ab | 44.00 ± 2.20 ab | 10,146.77 ± 507.34 ab | 18 |
| LM3 | 31 ± 2 a | 760 ± 38 a | 42.07 ± 2.10 a | 9811.28 ± 490.56 a | 18 |
| LM4 | 28 ± 1 ab | 739 ± 37 ab | 42.20 ± 2.11 a | 10,485.51 ± 524.28 a | 18 |
| LM5 | 21 ± 1 c | 407 ± 20 c | 41.13 ± 2.06 a | 4077.69 ± 203.88 b | 18 |
Disclaimer/Publisher’s Note: The statements, opinions and data contained in all publications are solely those of the individual author(s) and contributor(s) and not of MDPI and/or the editor(s). MDPI and/or the editor(s) disclaim responsibility for any injury to people or property resulting from any ideas, methods, instructions or products referred to in the content. |
© 2025 by the authors. Licensee MDPI, Basel, Switzerland. This article is an open access article distributed under the terms and conditions of the Creative Commons Attribution (CC BY) license (https://creativecommons.org/licenses/by/4.0/).
Share and Cite
Wang, D.; Cheng, Y.; Shi, L.; Yin, H.; Yang, G.; Liu, S.; Dong, Q.; Ge, J. Prediction of Winter Wheat Yield and Interpretable Accuracy Under Different Water and Nitrogen Treatments Based on CNNResNet-50. Agronomy 2025, 15, 1755. https://doi.org/10.3390/agronomy15071755
Wang D, Cheng Y, Shi L, Yin H, Yang G, Liu S, Dong Q, Ge J. Prediction of Winter Wheat Yield and Interpretable Accuracy Under Different Water and Nitrogen Treatments Based on CNNResNet-50. Agronomy. 2025; 15(7):1755. https://doi.org/10.3390/agronomy15071755
Chicago/Turabian StyleWang, Donglin, Yuhan Cheng, Longfei Shi, Huiqing Yin, Guangguang Yang, Shaobo Liu, Qinge Dong, and Jiankun Ge. 2025. "Prediction of Winter Wheat Yield and Interpretable Accuracy Under Different Water and Nitrogen Treatments Based on CNNResNet-50" Agronomy 15, no. 7: 1755. https://doi.org/10.3390/agronomy15071755
APA StyleWang, D., Cheng, Y., Shi, L., Yin, H., Yang, G., Liu, S., Dong, Q., & Ge, J. (2025). Prediction of Winter Wheat Yield and Interpretable Accuracy Under Different Water and Nitrogen Treatments Based on CNNResNet-50. Agronomy, 15(7), 1755. https://doi.org/10.3390/agronomy15071755

