Influence of pH and Heat Treatment on the Physicochemical, Interfacial, and Emulsifying Properties of Hemp Seed Protein Dispersions
Abstract
1. Introduction
2. Materials and Methods
2.1. Materials
2.2. Preparation of Hemp Seed Protein Isolate (HPI)
2.3. HPI Dispersions Preparation
2.4. Soluble Nitrogen Index
2.5. Surface Charge Density
2.6. Surface Hydrophobicity
2.7. Protein Secondary Structure
2.8. Dispersion Particle Size Distribution
2.9. Interfacial Adsorption
2.10. Interfacial Rheology
2.11. Emulsion Preparation
2.12. Droplet Size Distribution
2.13. Emulsion Stability
2.14. Statistical Analysis
3. Results and Discussion
3.1. Physicochemical Properties of HPI Dispersions
3.1.1. Soluble Nitrogen Index, Zeta Potential, and Hydrophobicity
3.1.2. Protein Secondary Structure
3.1.3. HPI Dispersions Particle Size
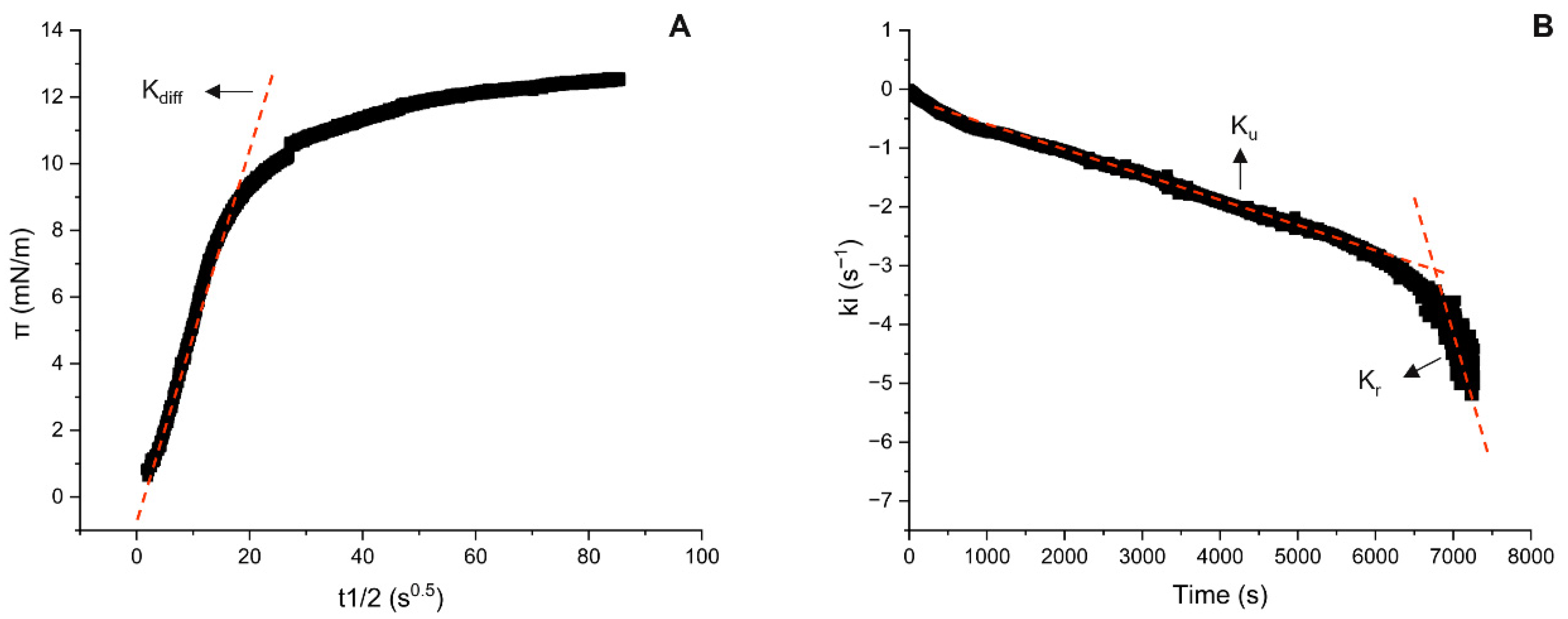
3.2. Interfacial Adsorption and Rearrangement Properties
3.3. Protein Unfolding and Rearrangement at the o/w Interface
3.4. Interfacial Rheology
3.5. Emulsifying Properties and Stability
4. Conclusions
Supplementary Materials
Author Contributions
Funding
Institutional Review Board Statement
Informed Consent Statement
Data Availability Statement
Conflicts of Interest
References
- Loveday, S.M. Plant Protein Ingredients with Food Functionality Potential. Nutr. Bull. 2020, 45, 321–327. [Google Scholar] [CrossRef]
- Chutia, H.; Mahanta, C.L. Clean Label Physical Conjugates of Protein-Based Bio-Emulsifiers for Food Applications. Food Chem. Adv. 2023, 3, 100469. [Google Scholar] [CrossRef]
- Jin, Y.; Adhikari, A. Recent Developments and Applications of Food-Based Emulsifiers from Plant and Animal Sources. Colloids Interfaces 2025, 9, 61. [Google Scholar] [CrossRef]
- Wei, Y.; Tong, Z.; Dai, L.; Ma, P.; Zhang, M.; Liu, J.; Mao, L.; Yuan, F.; Gao, Y. Novel Colloidal Particles and Natural Small Molecular Surfactants Co-Stabilized Pickering Emulsions with Hierarchical Interfacial Structure: Enhanced Stability and Controllable Lipolysis. J. Colloid. Interface Sci. 2020, 563, 291–307. [Google Scholar] [CrossRef]
- McClements, D.J. Protein-Stabilized Emulsions. Curr. Opin. Colloid. Interface Sci. 2004, 9, 305–313. [Google Scholar] [CrossRef]
- Zhou, B.; Tobin, J.T.; Drusch, S.; Hogan, S.A. Dynamic Adsorption and Interfacial Rheology of Whey Protein Isolate at Oil-Water Interfaces: Effects of Protein Concentration, pH and Heat Treatment. Food Hydrocoll. 2021, 116, 106640. [Google Scholar] [CrossRef]
- Crescente, G.; Piccolella, S.; Esposito, A.; Scognamiglio, M.; Fiorentino, A.; Pacifico, S. Chemical Composition and Nutraceutical Properties of Hempseed: An Ancient Food with Actual Functional Value. Phytochem. Rev. 2018, 17, 733–749. [Google Scholar] [CrossRef]
- Tănase Apetroaei, V.; Pricop, E.M.; Istrati, D.I.; Vizireanu, C. Hemp Seeds (Cannabis Sativa L.) as a Valuable Source of Natural Ingredients for Functional Foods—A Review. Molecules 2024, 29, 2097. [Google Scholar] [CrossRef]
- Wang, Q.; Jin, Y.; Xiong, Y.L. Heating-Aided pH Shifting Modifies Hemp Seed Protein Structure, Cross-Linking, and Emulsifying Properties. J. Agric. Food Chem. 2018, 66, 10827–10834. [Google Scholar] [CrossRef]
- Chen, H.; Xu, B.; Wang, Y.; Li, W.; He, D.; Zhang, Y.; Zhang, X.; Xing, X. Emerging Natural Hemp Seed Proteins and Their Functions for Nutraceutical Applications. Food Sci. Hum. Wellness 2023, 12, 929–941. [Google Scholar] [CrossRef]
- Hadnađev, M.; Dapčević-Hadnađev, T.; Lazaridou, A.; Moschakis, T.; Michaelidou, A.-M.; Popović, S.; Biliaderis, C.G. Hempseed Meal Protein Isolates Prepared by Different Isolation Techniques. Part I. Physicochemical Properties. Food Hydrocoll. 2018, 79, 526–533. [Google Scholar] [CrossRef]
- Baldino, N.; Carnevale, I.; Mileti, O.; Aiello, D.; Lupi, F.R.; Napoli, A.; Gabriele, D. Hemp Seed Oil Extraction and Stable Emulsion Formulation with Hemp Protein Isolates. Appl. Sci. 2022, 12, 11921. [Google Scholar] [CrossRef]
- Wang, T.; Wang, N.; Dai, Y.; Yu, D.; Cheng, J. Interfacial Adsorption Properties, Rheological Properties and Oxidation Kinetics of Oleogel-in-Water Emulsion Stabilized by Hemp Seed Protein. Food Hydrocoll. 2023, 137, 108402. [Google Scholar] [CrossRef]
- Ajibola, C.F.; Aluko, R.E. Physicochemical and Functional Properties of 2S, 7S, and 11S Enriched Hemp Seed Protein Fractions. Molecules 2022, 27, 1059. [Google Scholar] [CrossRef]
- Li, N.; Wang, T.; Yang, X.; Qu, J.; Wang, N.; Wang, L.; Yu, D.; Han, C. Effect of High-Intensity Ultrasonic Treatment on the Emulsion of Hemp Seed Oil Stabilized with Hemp Seed Protein. Ultrason. Sonochem. 2022, 86, 106021. [Google Scholar] [CrossRef]
- Sun, Y.; Chai, X.; Han, W.; Farah, Z.; Tian, T.; Xu, Y.-J.; Liu, Y. Pickering Emulsions Stabilized by Hemp Protein Nanoparticles: Tuning the Emulsion Characteristics by Adjusting Anti-Solvent Precipitation. Food Hydrocoll. 2023, 138, 108434. [Google Scholar] [CrossRef]
- Jia, W.; Sethi, D.S.; van der Goot, A.J.; Keppler, J.K. Covalent and Non-Covalent Modification of Sunflower Protein with Chlorogenic Acid: Identifying the Critical Ratios That Affect Techno-Functionality. Food Hydrocoll. 2022, 131, 107800. [Google Scholar] [CrossRef]
- Krul, E.S. Calculation of Nitrogen-to-Protein Conversion Factors: A Review with a Focus on Soy Protein. J. Am. Oil Chem. Soc. 2019, 96, 339–364. [Google Scholar] [CrossRef]
- Kato, A.; Nakai, S. Hydrophobicity Determined by a Fluorescence Probe Method and Its Correlation with Surface Properties of Proteins. Biochim. Biophys. Acta (BBA) Protein Struct. 1980, 624, 13–20. [Google Scholar] [CrossRef]
- Graham, D.E.; Phillips, M.C. Proteins at Liquid Interfaces: I. Kinetics of Adsorption and Surface Denaturation. J. Colloid Interface Sci. 1979, 70, 403–414. [Google Scholar] [CrossRef]
- Beverung, C.J.; Radke, C.J.; Blanch, H.W. Protein Adsorption at the Oil/Water Interface: Characterization of Adsorption Kinetics by Dynamic Interfacial Tension Measurements. Biophys. Chem. 1999, 81, 59–80. [Google Scholar] [CrossRef]
- Ward, A.F.H.; Tordai, L. Time-Dependence of Boundary Tensions of Solutions I. The Role of Diffusion in Time-Effects. J. Chem. Phys. 1946, 14, 453–461. [Google Scholar] [CrossRef]
- Guzey, D.; McClements, D.J.; Weiss, J. Adsorption Kinetics of BSA at Air–Sugar Solution Interfaces as Affected by Sugar Type and Concentration. Food Res. Int. 2003, 36, 649–660. [Google Scholar] [CrossRef]
- Rodríguez Patino, J.M.; Rodríguez Niño, M.R.; Sánchez, C.C. Adsorption of Whey Protein Isolate at the Oil–Water Interface as a Function of Processing Conditions: A Rheokinetic Study. J. Agric. Food Chem. 1999, 47, 2241–2248. [Google Scholar] [CrossRef] [PubMed]
- You, L.; Marcolini, B.; Bour, J.; Grysan, P.; Fleming, Y.; Fischer, P.; Soukoulis, C. Physicochemical, Morphological, and Rheological Properties of Cellulose Nanofibrils Produced via Ultra-High-Pressure Homogenization. Carbohydr. Polym. Technol. Appl. 2025, 9, 100635. [Google Scholar] [CrossRef]
- Liu, M.; Toth, J.A.; Childs, M.; Smart, L.B.; Abbaspourrad, A. Composition and Functional Properties of Hemp Seed Protein Isolates from Various Hemp Cultivars. J. Food Sci. 2023, 88, 942–951. [Google Scholar] [CrossRef]
- Shen, P.; Gao, Z.; Xu, M.; Ohm, J.-B.; Rao, J.; Chen, B. The Impact of Hempseed Dehulling on Chemical Composition, Structure Properties and Aromatic Profile of Hemp Protein Isolate. Food Hydrocoll. 2020, 106, 105889. [Google Scholar] [CrossRef]
- Liu, X.; Xue, F.; Adhikari, B. Recent Advances in Plant Protein Modification: Spotlight on Hemp Protein. Sustain. Food Technol. 2024, 2, 893–907. [Google Scholar] [CrossRef]
- Kramer, R.M.; Shende, V.R.; Motl, N.; Pace, C.N.; Scholtz, J.M. Toward a Molecular Understanding of Protein Solubility: Increased Negative Surface Charge Correlates with Increased Solubility. Biophys. J. 2012, 102, 1907–1915. [Google Scholar] [CrossRef]
- Tang, Q.; Roos, Y.H.; Miao, S. Plant Protein versus Dairy Proteins: A pH-Dependency Investigation on Their Structure and Functional Properties. Foods 2023, 12, 368. [Google Scholar] [CrossRef]
- Alizadeh-Pasdar, N.; Li-Chan, E.C.Y. Comparison of Protein Surface Hydrophobicity Measured at Various pH Values Using Three Different Fluorescent Probes. J. Agric. Food Chem. 2000, 48, 328–334. [Google Scholar] [CrossRef] [PubMed]
- Chang, C.; Tu, S.; Ghosh, S.; Nickerson, M.T. Effect of pH on the Inter-Relationships between the Physicochemical, Interfacial and Emulsifying Properties for Pea, Soy, Lentil and Canola Protein Isolates. Food Res. Int. 2015, 77, 360–367. [Google Scholar] [CrossRef]
- Tang, J.; Wichers, H.J.; Hettinga, K.A. Heat-Induced Unfolding Facilitates Plant Protein Digestibility during in Vitro Static Infant Digestion. Food Chem. 2022, 375, 131878. [Google Scholar] [CrossRef] [PubMed]
- Zhang, Y.; Xiong, W.; Lei, L.; Pei, Y.; He, L.; Ai, T.; Li, Y.; Li, B.; Jiang, Y.; Liu, X.; et al. Influence of Heat Treatment on Structure, Interfacial Rheology and Emulsifying Properties of Peanut Protein Isolate. Czech J. Food Sci. 2019, 37, 212–220. [Google Scholar] [CrossRef]
- Jackson, M.; Mantsch, H.H. The Use and Misuse of FTIR Spectroscopy in the Determination of Protein Structure. Crit. Rev. Biochem. Mol. Biol. 1995, 30, 95–120. [Google Scholar] [CrossRef]
- Fortuin, J.; Hellebois, T.; Iken, M.; Shaplov, A.S.; Fogliano, V.; Soukoulis, C. Stabilising and Functional Effects of Spirulina (Arthrospira platensis) Protein Isolate on Encapsulated Lacticaseibacillus rhamnosus GG during Processing, Storage and Gastrointestinal Digestion. Food Hydrocoll. 2024, 149, 109519. [Google Scholar] [CrossRef]
- Fang, B.; Chang, L.; Ohm, J.-B.; Chen, B.; Rao, J. Structural, Functional Properties, and Volatile Profile of Hemp Protein Isolate as Affected by Extraction Method: Alkaline Extraction–Isoelectric Precipitation vs Salt Extraction. Food Chem. 2023, 405, 135001. [Google Scholar] [CrossRef]
- Limpisophon, K.; Ma, X.; Sagis, L.M.C.; Nonthakaew, A.; Hirunrattana, P. Synergistic Effects of Alkaline and Heat Treatments on Structural and Functional Properties of Mung Bean Protein Isolate: Improving Physicochemical Stability of Plant-Based Emulsions. Int. J. Food Sci. Technol. 2024, 59, 9203–9219. [Google Scholar] [CrossRef]
- Wang, W.; Roberts, C.J. Protein Aggregation—Mechanisms, Detection, and Control. Int. J. Pharm. 2018, 550, 251–268. [Google Scholar] [CrossRef]
- Housmans, J.A.J.; Wu, G.; Schymkowitz, J.; Rousseau, F. A Guide to Studying Protein Aggregation. FEBS J. 2023, 290, 554–583. [Google Scholar] [CrossRef]
- Lam, R.S.H.; Nickerson, M.T. The Effect of pH and Temperature Pre-Treatments on the Physicochemical and Emulsifying Properties of Whey Protein Isolate. LWT Food Sci. Technol. 2015, 60, 427–434. [Google Scholar] [CrossRef]
- Yu, M.; Silva, T.C.; van Opstal, A.; Romeijn, S.; Every, H.A.; Jiskoot, W.; Witkamp, G.-J.; Ottens, M. The Investigation of Protein Diffusion via H-Cell Microfluidics. Biophys. J. 2019, 116, 595–609. [Google Scholar] [CrossRef] [PubMed]
- Kella, N.K.D.; Kinsella, J.E. Enhanced Thermodynamic Stability of β-Lactoglobulin at Low pH. A Possible Mechanism. Biochem. J. 1988, 255, 113–118. [Google Scholar] [CrossRef] [PubMed]
- Wang, J.-M.; Xia, N.; Yang, X.-Q.; Yin, S.-W.; Qi, J.-R.; He, X.-T.; Yuan, D.-B.; Wang, L.-J. Adsorption and Dilatational Rheology of Heat-Treated Soy Protein at the Oil–Water Interface: Relationship to Structural Properties. J. Agric. Food Chem. 2012, 60, 3302–3310. [Google Scholar] [CrossRef]
- Liu, F.; Tang, C.-H. Soy Glycinin as Food-Grade Pickering Stabilizers: Part. I. Structural Characteristics, Emulsifying Properties and Adsorption/Arrangement at Interface. Food Hydrocoll. 2016, 60, 606–619. [Google Scholar] [CrossRef]
- Jahn, T.R.; Radford, S.E. Folding versus Aggregation: Polypeptide Conformations on Competing Pathways. Arch. Biochem. Biophys. 2008, 469, 100–117. [Google Scholar] [CrossRef]
- Bos, M.A.; van Vliet, T. Interfacial Rheological Properties of Adsorbed Protein Layers and Surfactants: A Review. Adv. Colloid Interface Sci. 2001, 91, 437–471. [Google Scholar] [CrossRef]
- Sridharan, S.; Meinders, M.B.J.; Bitter, J.H.; Nikiforidis, C.V. On the Emulsifying Properties of Self-Assembled Pea Protein Particles. Langmuir 2020, 36, 12221–12229. [Google Scholar] [CrossRef]
- Dapčević-Hadnađev, T.; Dizdar, M.; Pojić, M.; Krstonošić, V.; Zychowski, L.M.; Hadnađev, M. Emulsifying Properties of Hemp Proteins: Effect of Isolation Technique. Food Hydrocoll. 2019, 89, 912–920. [Google Scholar] [CrossRef]
- Lam, R.S.H.; Nickerson, M.T. Food Proteins: A Review on Their Emulsifying Properties Using a Structure–Function Approach. Food Chem. 2013, 141, 975–984. [Google Scholar] [CrossRef]








| Sample | Kdiff (mN m−1 s−0.5) | R2 | tdiff (s) |
|---|---|---|---|
| HPI2 | 0.14 ± 0.01 a | 0.99 | 648 ± 20 a |
| HHPI2 | 0.22 ± 0.01 b | 0.99 | 220 ± 07 b |
| HPI7 | 0.14 ± 0.04 a | 0.98 | 618 ± 12 a |
| HHPI7 | 0.16 ± 0.00 a | 0.99 | 625 ± 11 a |
| HPI10 | 0.57 ± 0.06 c | 0.99 | 248 ± 25 b |
| HHPI10 | 0.16 ± 0.05 a | 0.99 | 809 ± 14 c |
| Sample | Ku × 104 (s−1) | R2 | Kr × 104 (s−1) | R2 |
|---|---|---|---|---|
| HPI2 | 5.15 ± 0.65 a | 0.99 | 9.95 ± 1.45 a | 0.96 |
| HHPI2 | 4.7 ± 0.4 a | 0.98 | 4.05 ± 1.55 b | 0.96 |
| HPI7 | 3.95 ± 0.35 a | 0.98 | 14.85 ± 3.65 c | 0.96 |
| HHPI7 | 5.7 ± 0.0 a | 0.96 | 6.5 ± 0.0 ab | 0.96 |
| HPI10 | 4.7 ± 0.2 a | 0.98 | 6.15 ± 0.05 ab | 0.96 |
| HHPI10 | 4.25 ± 0.95 a | 0.98 | 9.9 ± 0.0 a | 0.96 |
| Sample | CIt=600s | CImax,t=∞ | θ | α | R2 |
|---|---|---|---|---|---|
| HPI2 | 0.013 | 0.115 | 2940 | 1.29 | 0.99 |
| HHPI2 | 0.011 | 0.032 | 901.4 | 1.45 | 0.99 |
| HPI7 | 0.707 | 0.746 | 109.8 | 1.82 | 0.99 |
| HHPI7 | 0.239 | nd | nd | nd | nd |
| HPI10 | 0.685 | 0.696 | 89.20 | 1.95 | 0.99 |
| HHPI10 | 0.257 | 0.265 | 304.5 | 2.31 | 0.99 |
Disclaimer/Publisher’s Note: The statements, opinions and data contained in all publications are solely those of the individual author(s) and contributor(s) and not of MDPI and/or the editor(s). MDPI and/or the editor(s) disclaim responsibility for any injury to people or property resulting from any ideas, methods, instructions or products referred to in the content. |
© 2026 by the authors. Licensee MDPI, Basel, Switzerland. This article is an open access article distributed under the terms and conditions of the Creative Commons Attribution (CC BY) license.
Share and Cite
Odelli, D.; You, L.; Fortuin, J.; Bour, J.; Iken, M.; Archaimbault, A.; Soukoulis, C. Influence of pH and Heat Treatment on the Physicochemical, Interfacial, and Emulsifying Properties of Hemp Seed Protein Dispersions. Foods 2026, 15, 257. https://doi.org/10.3390/foods15020257
Odelli D, You L, Fortuin J, Bour J, Iken M, Archaimbault A, Soukoulis C. Influence of pH and Heat Treatment on the Physicochemical, Interfacial, and Emulsifying Properties of Hemp Seed Protein Dispersions. Foods. 2026; 15(2):257. https://doi.org/10.3390/foods15020257
Chicago/Turabian StyleOdelli, Davide, Lingxin You, Jennyfer Fortuin, Jérôme Bour, Marcus Iken, Axel Archaimbault, and Christos Soukoulis. 2026. "Influence of pH and Heat Treatment on the Physicochemical, Interfacial, and Emulsifying Properties of Hemp Seed Protein Dispersions" Foods 15, no. 2: 257. https://doi.org/10.3390/foods15020257
APA StyleOdelli, D., You, L., Fortuin, J., Bour, J., Iken, M., Archaimbault, A., & Soukoulis, C. (2026). Influence of pH and Heat Treatment on the Physicochemical, Interfacial, and Emulsifying Properties of Hemp Seed Protein Dispersions. Foods, 15(2), 257. https://doi.org/10.3390/foods15020257

