Sign in to use this feature.

Years

Between: -

Subjects

remove_circle_outline
remove_circle_outline
remove_circle_outline
remove_circle_outline
remove_circle_outline
remove_circle_outline
remove_circle_outline
remove_circle_outline

Journals

Article Types

Countries / Regions

Search Results (12)

Search Parameters:
Keywords = pavement de-icing agents

Order results
Result details
Results per page
Select all
Export citation of selected articles as:
18 pages, 1922 KB  
Article
Simulation of Snow and Ice Melting on Energy-Efficient and Environmentally Friendly Thermally Conductive Asphalt Pavement
by Wenbo Peng, Yalina Ma, Lei Xi, Hezhou Huang, Lifei Zheng, Zhi Chen and Wentao Li
Sustainability 2025, 17(18), 8190; https://doi.org/10.3390/su17188190 - 11 Sep 2025
Viewed by 371
Abstract
Conventional asphalt pavement snow and ice removal methods suffer from issues such as time-consuming operations, high costs, and pollution from chemical de-icing agents. Commonly used thermally conductive asphalt concrete (TCAC) faces problems including limited filler diversity, high filler content, and elevated costs. To [...] Read more.
Conventional asphalt pavement snow and ice removal methods suffer from issues such as time-consuming operations, high costs, and pollution from chemical de-icing agents. Commonly used thermally conductive asphalt concrete (TCAC) faces problems including limited filler diversity, high filler content, and elevated costs. To address these challenges, this study developed a thermally conductive asphalt concrete incorporating carbon fiber–silicon carbide composite fillers to provide a low-cost, energy-saving winter pavement snow melting solution and enhance eco-friendly de-icing performance. Finite element simulation software was employed to model its snow and ice melting performance, investigating the factors influencing this capability. Thermal conductivity was measured using the transient plane source (TPS) technique. The results show that with 0.3% carbon fiber, thermal conductivity reaches 1.43 W/(m·°C), 72.3% higher than ordinary asphalt concrete. Finite element simulations in finite element simulation software were used to model snow and ice melting, and strong agreement with field test data (correlation coefficients > 0.9) confirmed model reliability. Then, the finite element simulation software was used to study the effects of wind speed, temperature, laying power, and spacing on the snow and ice melting of TCAC. The simulation results show that the heating rate increases with TCAC thermal conductivity. Raising the power of the embedded carbon fiber heating cord reduces de-icing time but shows a threshold effect. In this study, asphalt pavement with high thermal conductivity was prepared using a low content of thermal conductive filler, providing a theoretical basis for sustainable pavement design, reducing energy use and environmental damage. TCAC technology promotes greener winter road maintenance, offering a low-impact alternative to chemical de-icing, and supports long-term infrastructure sustainability. Full article
Show Figures

Figure 1

17 pages, 6386 KB  
Article
Phase-Change/Salt-Based Slow-Release Composite Material for Anti-Icing and Snow-Melting
by Chuanshan Wu, Dongxing Gao, Haonan Shangguan, Renshan Chen and Changlin Hou
Buildings 2024, 14(7), 2177; https://doi.org/10.3390/buildings14072177 - 15 Jul 2024
Cited by 3 | Viewed by 1588
Abstract
Currently, self-desiccating asphalt mixtures on roads mainly incorporate phase-change materials or salt-based slow-release agents individually for de-icing. However, pure phase-change material mixtures have limited anti-freezing efficiency and short heat-release duration, making them impractical for large-scale snow melting; meanwhile, salt-based slow-release agents suffer from [...] Read more.
Currently, self-desiccating asphalt mixtures on roads mainly incorporate phase-change materials or salt-based slow-release agents individually for de-icing. However, pure phase-change material mixtures have limited anti-freezing efficiency and short heat-release duration, making them impractical for large-scale snow melting; meanwhile, salt-based slow-release agents suffer from rapid deterioration in de-icing performance. To address these issues encountered, herein, we introduce the phase-change/salt-based slow-release composite materials via the integration of these two materials and investigate their pavement and de-icing performance with the asphalt mixture. For the pavement performance, the optimal asphalt–aggregate ratio for the anti-icing asphalt mixture was found to be 5.1% For anti-bonding and de-icing performance, the electrical conductivity tests, bonding pull-off tests, and interfacial contact melting experiments were conducted. The results indicate that the latent heat of the TH-ME5 (phase-change material) can delay the decrease in environmental temperature and inhibit salt release from T-SEN (salt-based slow-release material), thereby extending the lifespan of the anti-icing asphalt mixture. These results demonstrate that the synergistic effect between the two components of the composite material not only enhance the snow-melting and de-icing performance of the asphalt pavement but also prolong the snow-melting time of the pavement in a low-temperature environment. Full article
Show Figures

Figure 1

18 pages, 13651 KB  
Article
Study on the Long-Term Salt Release Characteristics of Self-Melting Ice Asphalt Mixtures and Their Impact on Pavement Performance
by Chenyang Liu, Dedong Guo, Xupeng Sun, Xiang Li, Meng Xu, Massimo Losa, Chiara Riccardi, Teng Wang and Augusto Cannone Falchetto
Polymers 2024, 16(10), 1379; https://doi.org/10.3390/polym16101379 - 12 May 2024
Cited by 1 | Viewed by 1600
Abstract
Self-melting ice asphalt pavement materials inhibit pavement freezing and improve driving safety. This paper aims to study the long-term salt release characteristics of self-melting ice asphalt mixtures and the impact on pavement after complete salt release. Firstly, a method to accelerate the rapid [...] Read more.
Self-melting ice asphalt pavement materials inhibit pavement freezing and improve driving safety. This paper aims to study the long-term salt release characteristics of self-melting ice asphalt mixtures and the impact on pavement after complete salt release. Firstly, a method to accelerate the rapid release of salt based on the Los Angeles abrasion tester. Then, long-term salt release patterns were elucidated under the influence of deicing agent dosage, type of asphalt, and type of gradation. Finally, a quantitative analysis of the pavement performance after complete salt release is conducted. The results indicate that the release efficiency of the Los Angeles abrasion tester method has increased by 91 times compared to the magnetic stirrer immersion flushing method and by 114 times compared to the natural soaking method. The SBS-modified self-melting ice asphalt mixture possesses a longer duration of salt release, but the uniformity of salt release is inferior. Salt release duration is directly proportional to the dosage of deicing agents. SMA-13 self-melting ice asphalt mixture exhibits poorer uniformity in salt release. After complete salt release, high-temperature stability of self-melting ice asphalt mixtures decreased by 31.6%, low-temperature performance decreased by 15.4%, water stability decreased by 26.7%, and fatigue life decreased by 35.9%. Full article
(This article belongs to the Special Issue Application of Polymer Materials in Pavement Design: 2nd Edition)
Show Figures

Figure 1

14 pages, 4286 KB  
Article
Petrographic Evaluation of Aggregate from Igneous Rocks: Alkali–Silica Reaction Potential
by Aneta Antolik, Mariusz Dąbrowski and Daria Jóźwiak-Niedźwiedzka
Minerals 2023, 13(8), 1004; https://doi.org/10.3390/min13081004 - 28 Jul 2023
Cited by 6 | Viewed by 2664
Abstract
A thorough petrographic evaluation of aggregates from igneous rocks in terms of their alkali–silica reaction (ASR) potential is crucial in ensuring the durability and long-term performance of concrete structures, especially those where access to additional alkalis is possible, such as from de-icing agents. [...] Read more.
A thorough petrographic evaluation of aggregates from igneous rocks in terms of their alkali–silica reaction (ASR) potential is crucial in ensuring the durability and long-term performance of concrete structures, especially those where access to additional alkalis is possible, such as from de-icing agents. The aim of the research was to assess the potential reactivity of aggregates from igneous rocks, as only such aggregates are used for concrete airport pavements in Poland. Petrographic analysis was conducted to identify the reactive minerals in the aggregate, and it was extended by quantitative image analysis. The strained, microcrystalline and cryptocrystalline quartz were found to be reactive components but significantly differed in content. It was found that aggregates from igneous rocks were characterized by different susceptibility to ASR and that methods to mitigate the occurrence of ASR should be considered to be used in airfield concrete. A relationship between the content of analyzed reactive minerals and the expansion of mortar bars in AMBT, as well as of the concrete prism in the CPT method, was revealed. Full article
Show Figures

Figure 1

15 pages, 3521 KB  
Article
Microwave Sensitivity Enhanced Asphalt Mastic with Magnetite Powder and Its Performance after Microwave Heating
by Weixiao Yu, Letao Zhang, Yinghao Miao, Zhenlong Gong and Sudi Wang
Appl. Sci. 2023, 13(14), 8276; https://doi.org/10.3390/app13148276 - 17 Jul 2023
Cited by 5 | Viewed by 1638
Abstract
Microwave heating technology is a promising method for asphalt pavement maintenance and de-icing; however, it requires the material to have a good microwave-absorbing ability and can also result in asphalt aging. It is therefore important to develop microwave-sensitive materials used for asphalt pavement [...] Read more.
Microwave heating technology is a promising method for asphalt pavement maintenance and de-icing; however, it requires the material to have a good microwave-absorbing ability and can also result in asphalt aging. It is therefore important to develop microwave-sensitive materials used for asphalt pavement maintenance and study the effects of microwave heating on asphalt aging. This study evaluates the electromagnetic characteristics of limestone powder and magnetite powder and explores the influence of microwave heating on the high-temperature rheological and fatigue properties of microwave sensitivity enhanced asphalt mastic with magnetite powder. A vector network analyzer was used to measure the electromagnetic characteristics of limestone powder and magnetite powder. The magnetite filler asphalt mastics were prepared and subjected to microwave heating for 1 h, 2 h, 3 h, and 4 h. Temperature sweep tests, frequency sweep tests, and linear amplitude sweep (LAS) tests were conducted for magnetite filler asphalt mastics before and after microwave heating. LAS experimental results were analyzed based on viscoelastic continuum damage (VECD) theory. The results show that magnetite powders have better electric field energy storage ability, higher dielectric loss and magnetic loss, and better microwave heating efficiency. The complex shear modulus (G*) and rutting factor (G* × (sin δ)−1) rapidly decrease with the increase in temperature, indicating that the mastics’ ability to resist deformation decreases sharply. The longer the microwave heating time for magnetite filler asphalt mastics, the faster the high-temperature rheological properties decreased as the temperature rose. The fatigue life of magnetite filler asphalt mastics significantly decreases with the increase in strain and microwave heating time. It is suggested to add anti-aging agents into asphalt materials to reduce the aging effect in the process of microwave heating. This study provides a reference for the application of microwave heating technology in asphalt pavement maintenance. Full article
(This article belongs to the Special Issue Road Materials and Sustainable Pavement Design)
Show Figures

Figure 1

15 pages, 5268 KB  
Article
Pavement Performance and Ice-Melting Characteristics of Asphalt Mixtures Incorporating Slow-Release Deicing Agent
by Jiaqiang Zhang, Weicheng Wang, Jinzhou Liu, Shuyi Wang, Xiaochun Qin and Bin Yu
Buildings 2023, 13(2), 306; https://doi.org/10.3390/buildings13020306 - 19 Jan 2023
Cited by 10 | Viewed by 3445
Abstract
Icy pavement is one of the primary causes affecting driving safety in winter, and deicing asphalt mixture could effectively resist pavement icing. This study evaluated the effect of a slow-release deicing agent on pavement performance and ice-melting characteristics of the asphalt mixture. The [...] Read more.
Icy pavement is one of the primary causes affecting driving safety in winter, and deicing asphalt mixture could effectively resist pavement icing. This study evaluated the effect of a slow-release deicing agent on pavement performance and ice-melting characteristics of the asphalt mixture. The asphalt mixture containing four different contents (0%, 30%, 50%, and 70% using the internal mixing method) by replacing mineral filler was designed. Pavement performance tests were used to investigate the effect of the deicing agent on the high-temperature stability, cracking resistance, and water stability of the asphalt mixture. Qualitative and quantitative tests were designed to compare the ice-melting characteristics and predict the ice-melting durability with different replacement amounts. The experimental results show that the high-temperature stability, low-temperature cracking resistance, and water stability of the asphalt mixture decrease with the increase inthe deicing agent. The mineral filler with a content of 50% deicing agent will enhance the stability of the mixture in the short term. Deicing asphalt mixture can significantly improve the ice and snow melting ability of the pavement, and the asphalt mixture with a content of 50% deicing agent will reduce the interface adhesion between mixture and ice by more than 55%. The slow-release deicing asphalt mixture can reach the maximum release concentration within two hours under rain and snow. The recommended replacement amount of slow-release deicing agent is 50%, and the predicted durability of deicing asphalt mixture is 5–8 years. Full article
Show Figures

Figure 1

25 pages, 7061 KB  
Article
Research on Performance Deterioration of Internally Cured Pavement Concrete under the Coupling Effect of Salt Freeze–Thaw
by Jieting Xu, Xiao Qin, Yongkang Lin, Chaofeng Cao, Junhong Liu and Qingjian Huang
Polymers 2023, 15(3), 476; https://doi.org/10.3390/polym15030476 - 17 Jan 2023
Cited by 11 | Viewed by 2116
Abstract
This paper aims at solving the material durability problem caused by spraying deicing salt on pavement concrete in the northern winter. Super absorbent polymer (SAP) was adopted as an internal curing agent to enhance the durability of pavement concrete. Curing parameters including particle [...] Read more.
This paper aims at solving the material durability problem caused by spraying deicing salt on pavement concrete in the northern winter. Super absorbent polymer (SAP) was adopted as an internal curing agent to enhance the durability of pavement concrete. Curing parameters including particle size and dosage of SAP and curing condition were optimized based on mortar tests by means of the grey target decision method. The deterioration rule of durability and mechanical properties of pavement concrete internally cured by different SAP dosages after salt freeze–thaw cycles were explored through rapid freeze–thaw test. Combined with the characteristics of pore structure, hydration and microstructure, the influence mechanism of SAP on the salt freeze–thaw resistance of pavement concrete was revealed. The experimental results showed that: (i) The reduction in mass loss rate and relative dynamic modulus was significantly improved by SAP internal curing with moderate dosage; (ii) The more freeze–thaw cycles the specimen underwent, the greater the increase in strength; (iii) After 75 cycles, the chloride ion erosion depth could be decreased by approximately 23.18%. Moreover, the addition of SAP could refine the pore size, inhibit the generation of shrinkage microcracks, and promote the degree of cement hydration in the late stage, which improved the internal density of the cement concrete structure. Therefore, the deterioration of pavement under the coupling effect of salt freeze–thaw was reduced. Full article
Show Figures

Figure 1

19 pages, 2568 KB  
Review
Impact of Freeze–Thaw Cycles on the Long-Term Performance of Concrete Pavement and Related Improvement Measures: A Review
by San Luo, Tianwen Bai, Mingqin Guo, Yi Wei and Wenbo Ma
Materials 2022, 15(13), 4568; https://doi.org/10.3390/ma15134568 - 29 Jun 2022
Cited by 66 | Viewed by 6506
Abstract
Freeze–thaw damage is one of the most severe threats to the long-term performance of concrete pavement in cold regions. Currently, the freeze–thaw deterioration mechanism of concrete pavement has not been fully understood. This study summarizes the significant findings of concrete pavement freeze–thaw durability [...] Read more.
Freeze–thaw damage is one of the most severe threats to the long-term performance of concrete pavement in cold regions. Currently, the freeze–thaw deterioration mechanism of concrete pavement has not been fully understood. This study summarizes the significant findings of concrete pavement freeze–thaw durability performance, identifies existing knowledge gaps, and proposes future research needs. The concrete material deterioration mechanism under freeze–thaw cycles is first critically reviewed. Current deterioration theories mainly include the hydrostatic pressure hypothesis, osmolarity, and salt crystallization pressure hypothesis. The critical saturation degree has been proposed to depict the influence of internal saturation on freeze–thaw damage development. Meanwhile, the influence of pore solution salinity on freeze–thaw damage level has not been widely investigated. Additionally, the deterioration mechanism of the typical D-cracking that occurs in concrete pavement has not been fully understood. Following this, we investigate the coupling effect between freeze–thaw and other loading or environmental factors. It is found that external loading can accelerate the development of freeze–thaw damage, and the acceleration becomes more evident under higher stress levels. Further, deicing salts can interact with concrete during freeze–thaw cycles, generating internal pores or leading to crystalline expansion pressure. Specifically, freeze–thaw development can be mitigated under relatively low ion concentration due to increased frozen points. The interactive mechanism between external loading, environmental ions, and freeze–thaw cycles has not been fully understood. Finally, the mitigation protocols to enhance frost resistance of concrete pavement are reviewed. Besides the widely used air-entraining process, the freeze–thaw durability of concrete can also be enhanced by using fiber reinforcement, pozzolanic materials, surface strengthening, Super Absorbent Polymers (SAPs), and Phase Change Materials. This study serves as a solid base of information to understand how to enhance the freeze–thaw durability of concrete pavement. Full article
Show Figures

Figure 1

15 pages, 3085 KB  
Article
Performance Deterioration of Asphalt Mixture under Chloride Salt Erosion
by Fuyu Wang, Xingyuan Qin, Weichen Pang and Wensheng Wang
Materials 2021, 14(12), 3339; https://doi.org/10.3390/ma14123339 - 17 Jun 2021
Cited by 39 | Viewed by 3251
Abstract
In order to ensure smooth traffic and driving safety, deicing salt or snow melting agents are usually adopted to solve the problem of traffic jams and prevent pavement surfaces from freezing. The objective of this present study is to investigate the performance deterioration [...] Read more.
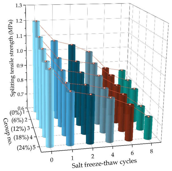
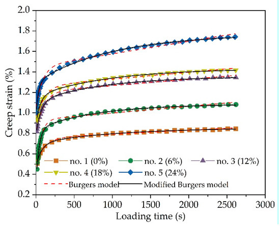
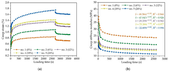
In order to ensure smooth traffic and driving safety, deicing salt or snow melting agents are usually adopted to solve the problem of traffic jams and prevent pavement surfaces from freezing. The objective of this present study is to investigate the performance deterioration evaluation of asphalt mixture under the chloride salt erosion environment. Five chloride salt solution concentrations were designed and the uniaxial static compression creep test, low-temperature IDT test, freeze-thaw splitting test, and freeze-thaw cycle test were carried out for asphalt mixtures (AC-16) soaked in chloride salt solution. Results showed that with the increase in chloride salt solution concentration, the high-temperature stability, low-temperature crack resistance, and water stability of the asphalt mixture decreases. Moreover, the high-temperature stability, low-temperature crack resistance, and water stability of the asphalt mixture show a decreasing trend under different chloride salt solution concentrations following the negative cubic polynomial function. Based on the viscoelastic analysis, chloride salt solution could reduce the ability of the asphalt mixture to resist instantaneous elastic deformation and permanent deformation, and this influence will become more obvious with the increase in chloride salt solution concentration. In addition, the salt freeze-thaw cycle test indicated that in the early stage of freeze-thaw cycles, the splitting tensile strength of the asphalt mixture decreases rapidly, then tends to be flat, and then decreases rapidly. This study explores the performance damage law of asphalt mixture under salt corrosion, and the analysis results of this study could provide some references for the chloride salt dosage in the snow melting project while spreading deicing salt. Full article
(This article belongs to the Section Construction and Building Materials)
Show Figures

Figure 1

25 pages, 16929 KB  
Article
Prediction of Remaining Life for Bridge Decks Considering Deterioration Factors and Propose of Prioritization Process for Bridge Deck Maintenance
by Ki Hwan Kim, Moon S. Nam, Hoon Hee Hwang and Ki Yong Ann
Sustainability 2020, 12(24), 10625; https://doi.org/10.3390/su122410625 - 19 Dec 2020
Cited by 10 | Viewed by 4065
Abstract
Aged highway bridges have become substantially prevalent in recent years. Moreover, combined deterioration, caused by using deicing agents in winter, has led to increased bridge maintenance costs. Accordingly, to extend the service life of bridge decks, this study utilized actual inspection data and [...] Read more.
Aged highway bridges have become substantially prevalent in recent years. Moreover, combined deterioration, caused by using deicing agents in winter, has led to increased bridge maintenance costs. Accordingly, to extend the service life of bridge decks, this study utilized actual inspection data and major deterioration factors to derive the remaining service life of bridge decks. Based on this study, the following three factors are selected: deicing agent exposure grade, pavement condition state, and surface improvement status. Performance degradation curves were derived for 11 cases that considered the representative three deterioration factors, and the performance degradation of decks was examined for each deterioration factor. Additionally, a process to determine maintenance priorities, using the current condition of highway bridges and the deterioration factors of individual bridges, was proposed. The maintenance demand was predicted based on the end of deck life, which indicated that the demand for deck replacement will sharply increase in 15 years, and that the decks of more than 2000 bridges will reach the end of life in 40 years. Furthermore, this paper proposes a process for prioritizing the maintenance of approximately 9000 highway bridge decks. By applying the prioritization process for bridge deck maintenance to the bridge deck, not only can the life of the bridge deck be extended, but also environmental pollution can be minimized. Additionally, an optimizing design for bridge decks, by considering the remaining life and deterioration factors, can be possible. Therefore, it is expected that the sustainability of the bridge deck can be accomplished. Full article
(This article belongs to the Section Sustainable Engineering and Science)
Show Figures

Figure 1

13 pages, 1266 KB  
Article
Treatment of Wastewater Containing Runway De-Icing Agents in Biofilters as a Part of Airport Environment Management System
by Joanna Rodziewicz, Artur Mielcarek, Wojciech Janczukowicz, Kamil Bryszewski and Kamila Ostrowska
Sustainability 2020, 12(9), 3608; https://doi.org/10.3390/su12093608 - 29 Apr 2020
Cited by 4 | Viewed by 4149
Abstract
Large volumes of pavement de-icing and anti-icing fluids, collectively termed de-icing agents, are used at airports to facilitate wintertime safe air travel. After use, most of the them get typically mixed with storm water runoff and may enter soil and waters near the [...] Read more.
Large volumes of pavement de-icing and anti-icing fluids, collectively termed de-icing agents, are used at airports to facilitate wintertime safe air travel. After use, most of the them get typically mixed with storm water runoff and may enter soil and waters near the airports. Wastewater resulting from airports’ winter operations is contaminated mainly with nitrogen and carbon compounds. Previous research results have shown that the use of biofilters filled with lightweight aggregates prepared from fly ash from sewage sludge thermal treatment (FASST LWA) could be an effective method for removing nitrogen and organic compounds at low temperatures, i.e., 0–8 °C. For this to be possible, it is necessary to maintain a proper ratio between the amounts of carbon and nitrogen in the treated wastewater, through the simultaneous application of de-icing agents containing urea and carbon compounds. Biofilter technology is part of the concept of sustainable development. Their filling is made of waste materials and one of the pollutants (organic compounds) present in the wastewater is used to remove other pollutants (nitrogen compounds). In this study, technological systems for the treatment of wastewater containing airport runway de-icing agents with biofilters were proposed, which allow for the treated wastewater to be discharged into natural waters, soil, and sewerage network. Full article
Show Figures

Graphical abstract

17 pages, 1777 KB  
Article
Effectiveness of Nitrification and Denitrification Processes in Biofilters Treating Wastewater from De-Icing Airport Runways
by Joanna Rodziewicz, Kamila Ostrowska, Wojciech Janczukowicz and Artur Mielcarek
Water 2019, 11(3), 630; https://doi.org/10.3390/w11030630 - 26 Mar 2019
Cited by 19 | Viewed by 5627
Abstract
The basic factors determining the efficiency of the removal of nitrogen and carbon compounds from airport wastewater containing de-icing agents are low temperature and the C/N ratio (carbon to nitrogen ratio). Biofilm reactors (biofilters) create better conditions for nitrification and denitrification than suspended [...] Read more.
The basic factors determining the efficiency of the removal of nitrogen and carbon compounds from airport wastewater containing de-icing agents are low temperature and the C/N ratio (carbon to nitrogen ratio). Biofilm reactors (biofilters) create better conditions for nitrification and denitrification than suspended biomass reactors. The scope of the study included determination of the influence of the C/N ratio in the wastewater on nitrification, denitrification and organic compound removal in biofilm reactors depending on the temperature. The experiment was performed in 24 circular laboratory biofilters with LECA (Light Expanded Clay Aggregates) filling. The study was divided into three series differing in organic carbon loading. In each series, carried out at the same hydraulic retention time, biofilters were operated at 25, 8, 4 or 0 °C. The study showed the effective removal of nitrogen compounds across a very wide temperature range. The applied filling and properly selected operating parameters of the reactors resulted in effective simultaneous nitrification and denitrification. The highest efficiency of nitrogen removal at 0 °C (34.57 ± 4.54%) was obtained at the C/N ratio of 0.5 gC/gN. The efficiency of denitrification (the lowest at the temperature of 0 °C) increased as the temperature and C/N ratio increased in the wastewater. Full article
(This article belongs to the Section Wastewater Treatment and Reuse)
Show Figures

Figure 1

Back to TopTop