Sign in to use this feature.

Years

Between: -

Subjects

remove_circle_outline
remove_circle_outline
remove_circle_outline
remove_circle_outline
remove_circle_outline

Journals

Article Types

Countries / Regions

Search Results (12)

Search Parameters:
Keywords = pathloss prediction

Order results
Result details
Results per page
Select all
Export citation of selected articles as:
19 pages, 1032 KB  
Article
A Multi-Modal Benchmark Dataset for UAV Wireless Communication Research
by Najmeh Alibabaie, Antonello Calabrò and Eda Marchetti
Drones 2026, 10(4), 244; https://doi.org/10.3390/drones10040244 - 27 Mar 2026
Viewed by 514
Abstract
Data-centric approaches are increasingly shaping wireless communication research, where the availability and quality of datasets directly influence the reliability of learning-based and model-driven methods. In this context, unmanned aerial vehicle (UAV) communication poses unique challenges, as it requires datasets that jointly capture geometric [...] Read more.
Data-centric approaches are increasingly shaping wireless communication research, where the availability and quality of datasets directly influence the reliability of learning-based and model-driven methods. In this context, unmanned aerial vehicle (UAV) communication poses unique challenges, as it requires datasets that jointly capture geometric information, propagation conditions, and diverse link configurations. This work introduces a geometry-aware UAV communication dataset designed to support research on controlled UAV communication link directions and propagation scenarios. The dataset is generated using standardized 3GPP and ITU-R channel models across multiple urban, suburban, and rural regions, accounting for variations in altitude, carrier frequency, and node distribution. The dataset provides spatially resolved channel parameters along with geometry-rich files containing environmental features, which can be used to extract relevant parameters for UAV communication studies. These data support reproducible research in geometry-aware channel modelling, path-loss prediction, LOS/NLOS analysis, delay-related modelling, and trajectory-conditioned link-quality analysis. Full article
(This article belongs to the Section Drone Communications)
Show Figures

Figure 1

29 pages, 1789 KB  
Article
Pathloss Estimation of Digital Terrestrial Television Communication Link Within the UHF Band
by Abolaji Okikiade Ilori, Kamoli Akinwale Amusa, Tolulope Christiana Erinosho, Agbotiname Lucky Imoize and Olumayowa Ayodeji Idowu
Telecom 2025, 6(4), 97; https://doi.org/10.3390/telecom6040097 - 12 Dec 2025
Cited by 1 | Viewed by 812
Abstract
The global shift to digital terrestrial television broadcasting (DTTB) from the conventional analogue has significantly transformed television culture, necessitating comprehensive technical and infrastructural evaluations. This study addresses the limitations of existing path-loss models for accurately predicting path loss in digital terrestrial television broadcasting [...] Read more.
The global shift to digital terrestrial television broadcasting (DTTB) from the conventional analogue has significantly transformed television culture, necessitating comprehensive technical and infrastructural evaluations. This study addresses the limitations of existing path-loss models for accurately predicting path loss in digital terrestrial television broadcasting in the UHF bands, motivated by the need for reliable, location-specific models that account for seasonal, meteorological, and topographical variations in Abeokuta, Nigeria. The study focuses on path-loss prediction in the UHF band using Ogun State Television (OGTV), Abeokuta, Nigeria, as the transmission source. Eight receiving sites, spaced 2 kilometers apart, were selected along a 16.7 km transmission contour. Daily measurements of received signal strength (RSS) and weather conditions were collected over one year. Seasonal path-loss models PLwet for the wet season and PLdry. For the dry season, models were developed using multiple regression analysis and further optimized using least squares (LS) and gradient descent (GD) techniques, resulting in six refined models: PLwet, PLdry, PLwetLS, PLdryLS, PLwetGD, and PLdryGD. Model performance was evaluated using Mean Absolute Error, Root Mean Square Error, Coefficient of Correlation, and Coefficient of Multiple Determination. Results indicate that the Okumura model provided the closest approximation to measured RSS for all the receiving sites, while the Hata and COST-231 models were unsuitable. Among the developed models, PLwet (RMSE 1.2633, MAE  0.9968, MSE  1.5959, R  0.9935, R2  0.9871) and PLdryLS(RMSE 1.1884, MAE  0.7692, MSE  1.4124, R  0.9942, R2  0.9883) were found to be the most suitable models for the wet and dry seasons, respectively. The major influence of location-based elevation and meteorological data on path-loss prediction over digital terrestrial television broadcasting communication lines in Ultra-High-Frequency bands was evident. Full article
Show Figures

Figure 1

21 pages, 669 KB  
Article
An Elevation-Aware Large-Scale Channel Model for UAV Air-to-Ground Links
by Naier Xia, Yang Liu and Yu Yu
Mathematics 2025, 13(21), 3377; https://doi.org/10.3390/math13213377 - 23 Oct 2025
Cited by 1 | Viewed by 3295
Abstract
This paper addresses the issue of existing research that fails adequately capture the spatiotemporal nonstationarity caused by the building of occlusion and flight dynamics in air-to-ground channels from unmanned aerial vehicles (UAVs) in urban scenarios. This study focuses on the angular-altitude correlations of [...] Read more.
This paper addresses the issue of existing research that fails adequately capture the spatiotemporal nonstationarity caused by the building of occlusion and flight dynamics in air-to-ground channels from unmanned aerial vehicles (UAVs) in urban scenarios. This study focuses on the angular-altitude correlations of three key metrics: path loss (PL), shadow fading, and the Ricean K-factor. A dynamic path-loss model incorporating the look-down angle is proposed, an exponential decay model for the shadow-fading standard deviation is constructed, and a model for the angle-dependent variation of the Ricean K-factor is established based on line-of-sight probability. Simulations were conducted in two urban-geometry scenarios using WinProp to evaluate the combined effects of flight altitude and elevation angle. The results indicate that path loss decreases and subsequently stabilizes with increasing elevation angle, the shadow-fading standard deviation decreases significantly, and the Ricean K-factor increases with angle and saturates at high angles, in agreement with theoretical predictions. These models are more adaptable to UAV mobility scenarios than traditional fixed exponential models and provide a useful basis for UAV link planning and system optimization in urban environments. Full article
(This article belongs to the Section E: Applied Mathematics)
Show Figures

Figure 1

13 pages, 1027 KB  
Article
Vision Transformers for Efficient Indoor Pathloss Radio Map Prediction
by Rafayel Mkrtchyan, Edvard Ghukasyan, Khoren Petrosyan, Hrant Khachatrian and Theofanis P. Raptis
Electronics 2025, 14(10), 1905; https://doi.org/10.3390/electronics14101905 - 8 May 2025
Cited by 4 | Viewed by 1475
Abstract
Indoor pathloss prediction is a fundamental task in wireless network planning, yet it remains challenging due to environmental complexity and data scarcity. In this work, we propose a deep learning-based approach utilizing a vision transformer (ViT) architecture with DINO-v2 pretrained weights to model [...] Read more.
Indoor pathloss prediction is a fundamental task in wireless network planning, yet it remains challenging due to environmental complexity and data scarcity. In this work, we propose a deep learning-based approach utilizing a vision transformer (ViT) architecture with DINO-v2 pretrained weights to model indoor radio propagation. Our method processes a floor map with additional features of the walls to generate indoor pathloss maps. We systematically evaluate the effects of architectural choices, data augmentation strategies, and feature engineering techniques. Our findings indicate that extensive augmentation significantly improves generalization, while feature engineering is crucial in low-data regimes. Through comprehensive experiments, we demonstrate the robustness of our model across different generalization scenarios. Full article
Show Figures

Figure 1

20 pages, 725 KB  
Article
Accurate Path Loss Prediction Using a Neural Network Ensemble Method
by Beom Kwon and Hyukmin Son
Sensors 2024, 24(1), 304; https://doi.org/10.3390/s24010304 - 4 Jan 2024
Cited by 22 | Viewed by 5072
Abstract
Path loss is one of the most important factors affecting base-station positioning in cellular networks. Traditionally, to determine the optimal installation position of a base station, path-loss measurements are conducted through numerous field tests. Disadvantageously, these measurements are time-consuming. To address this problem, [...] Read more.
Path loss is one of the most important factors affecting base-station positioning in cellular networks. Traditionally, to determine the optimal installation position of a base station, path-loss measurements are conducted through numerous field tests. Disadvantageously, these measurements are time-consuming. To address this problem, in this study, we propose a machine learning (ML)-based method for path loss prediction. Specifically, a neural network ensemble learning technique was applied to enhance the accuracy and performance of path loss prediction. To achieve this, an ensemble of neural networks was constructed by selecting the top-ranked networks based on the results of hyperparameter optimization. The performance of the proposed method was compared with that of various ML-based methods on a public dataset. The simulation results showed that the proposed method had clearly outperformed state-of-the-art methods and that it could accurately predict path loss. Full article
(This article belongs to the Section Sensor Networks)
Show Figures

Figure 1

17 pages, 834 KB  
Article
A FL-Based Radio Map Reconstruction Approach for UAV-Aided Wireless Networks
by Zhiqiang Tan, Limin Xiao, Xinyi Tang, Ming Zhao and Yunzhou Li
Electronics 2023, 12(13), 2817; https://doi.org/10.3390/electronics12132817 - 26 Jun 2023
Cited by 4 | Viewed by 3076
Abstract
Radio maps, which can provide metrics for signal strength at any location in a geographic space, are useful for many applications of 6G technologies, including UAV-assisted communication, network planning, and resource allocation. However, current crowd-sourced reconstruction methods necessitate large amounts of privacy-sensitive user [...] Read more.
Radio maps, which can provide metrics for signal strength at any location in a geographic space, are useful for many applications of 6G technologies, including UAV-assisted communication, network planning, and resource allocation. However, current crowd-sourced reconstruction methods necessitate large amounts of privacy-sensitive user data and entail the training of all data with large models, especially in deep learning. This poses a threat to user privacy, reducing the willingness to provide data, and consuming significant server resources, rendering the reconstruction of radio maps on resource-constrained UAVs challenging. To address these limitations, a self-supervised federated learning model called RadioSRCNet is proposed. The model utilizes a super-resolution (SR)-based network and feedback training strategy to predict the pathloss for continuous positioning. In our proposition, users retain the original data locally for training, acting as clients, while the UAV functions as a server to aggregate non-sensitive data for radio map reconstruction in a federated learning (FL) manner. We have employed a feedback training strategy to accelerate convergence and alleviate training difficulty. In addition, we have introduced an arbitrary position prediction (APP) module to decrease resource consumption in clients. This innovative module struck a balance between spatial resolution and computational complexity. Our experimental results highlight the superiority of our proposed framework, as our model achieves higher accuracy while incurring less communication overheads in a computationally and storage-efficient manner as compared to other deep learning methods. Full article
(This article belongs to the Special Issue Hybrid Satellite-UAV-Terrestrial Networks for 6G Ubiquitous Coverage)
Show Figures

Figure 1

26 pages, 5614 KB  
Review
A Survey of Path Loss Prediction and Channel Models for Unmanned Aerial Systems for System-Level Simulations
by Nektarios Moraitis, Konstantinos Psychogios and Athanasios D. Panagopoulos
Sensors 2023, 23(10), 4775; https://doi.org/10.3390/s23104775 - 15 May 2023
Cited by 14 | Viewed by 6894
Abstract
Unmanned aerial systems (UAS) have recently gained popularity, and they are envisioned as an integral parts of the current and future wireless and mobile-radio networks. Despite the exhaustive research on air-to-ground channels, there are insufficient studies, experimental campaigns and general channel models related [...] Read more.
Unmanned aerial systems (UAS) have recently gained popularity, and they are envisioned as an integral parts of the current and future wireless and mobile-radio networks. Despite the exhaustive research on air-to-ground channels, there are insufficient studies, experimental campaigns and general channel models related to air-to-space (A2S) and air-to-air (A2A) wireless links. This paper presents a comprehensive review of the available channel models and path-loss prediction for A2S and A2A communications. Specific case studies attempting to extend current models’ parameters and provide important knowledge of the channel behavior in combination with UAV flight characteristics are also provided. A time-series rain-attenuation synthesizer is also presented that describes quite accurately the impact of the troposphere at frequencies above 10 GHz. This specific model can be also applied to both A2S and A2A wireless links. Finally, scientific challenges and gaps that can be used for future research on the upcoming 6G networks are highlighted. Full article
(This article belongs to the Section Vehicular Sensing)
Show Figures

Figure 1

26 pages, 6498 KB  
Article
Joint Random Forest and Particle Swarm Optimization for Predictive Pathloss Modeling of Wireless Signals from Cellular Networks
by Okiemute Roberts Omasheye, Samuel Azi, Joseph Isabona, Agbotiname Lucky Imoize, Chun-Ta Li and Cheng-Chi Lee
Future Internet 2022, 14(12), 373; https://doi.org/10.3390/fi14120373 - 12 Dec 2022
Cited by 10 | Viewed by 2514
Abstract
The accurate and reliable predictive estimation of signal attenuation loss is of prime importance in radio resource management. During wireless network design and planning, a reliable path loss model is required for optimal predictive estimation of the received signal strength, coverage, quality, and [...] Read more.
The accurate and reliable predictive estimation of signal attenuation loss is of prime importance in radio resource management. During wireless network design and planning, a reliable path loss model is required for optimal predictive estimation of the received signal strength, coverage, quality, and signal interference-to-noise ratio. A set of trees (100) on the target measured data was employed to determine the most informative and important subset of features, which were in turn employed as input data to the Particle Swarm (PS) model for predictive path loss analysis. The proposed Random Forest (RF-PS) based model exhibited optimal precision performance in the real-time prognostic analysis of measured path loss over operational 4G LTE networks in Nigeria. The relative performance of the proposed RF-PS model was compared to the standard PS and hybrid radial basis function-particle swarm optimization (RBF-PS) algorithm for benchmarking. Generally, results indicate that the proposed RF-PS model gave better prediction accuracy than the standard PS and RBF-PS models across the investigated environments. The projected hybrid model would find useful applications in path loss modeling in related wireless propagation environments. Full article
Show Figures

Figure 1

22 pages, 3509 KB  
Article
RSSI Fingerprint Height Based Empirical Model Prediction for Smart Indoor Localization
by Wilford Arigye, Qiaolin Pu, Mu Zhou, Waqas Khalid and Muhammad Junaid Tahir
Sensors 2022, 22(23), 9054; https://doi.org/10.3390/s22239054 - 22 Nov 2022
Cited by 17 | Viewed by 4169
Abstract
Smart indoor living advances in the recent decade, such as home indoor localization and positioning, has seen a significant need for low-cost localization systems based on freely available resources such as Received Signal Strength Indicator by the dense deployment of Wireless Local Area [...] Read more.
Smart indoor living advances in the recent decade, such as home indoor localization and positioning, has seen a significant need for low-cost localization systems based on freely available resources such as Received Signal Strength Indicator by the dense deployment of Wireless Local Area Networks (WLAN). The off-the-shelf user equipment (UE’s) available at an affordable price across the globe are well equipped with the functionality to scan the radio access network for hearable single strength; in complex indoor environments, multiple signals can be received at a particular reference point with no consideration of the height of the transmitter and possible broadcasting coverage. Most effective fingerprinting algorithm solutions require specialized labor, are time-consuming to carry out site surveys, training of the data, big data analysis, and in most cases, additional hardware requirements relatively increase energy consumption and cost, not forgetting that in case of changes in the indoor environment will highly affect the fingerprint due to interferences. This paper experimentally evaluates and proposes a novel technique for Received Signal Indicator (RSSI) distance prediction, leveraging transceiver height, and Fresnel ranging in a complex indoor environment to better suit the path loss of RSSI at a particular Reference Point (RP) and time, which further contributes greatly to indoor localization. The experimentation in different complex indoor environments of the corridor and office lab during work hours to ascertain real-life and time feasibility shows that the technique’s accuracy is greatly improved in the office room and the corridor, achieving lower average prediction errors at low-cost than the comparison prediction algorithms. Compared with the conventional prediction techniques, for example, with Access Point 1 (AP1), the proposed Height Dependence Path–Loss (HEM) model at 0 dBm error attains a confidence probability of 10.98%, higher than the 2.65% for the distance dependence of Path–Loss New Empirical Model (NEM), 4.2% for the Multi-Wall dependence on Path-Loss (MWM) model, and 0% for the Conventional one-slope Path-Loss (OSM) model, respectively. Online localization, amongst the hearable APs, it is seen the proposed HEM fingerprint localization based on the proposed HEM prediction model attains a confidence probability of 31% at 3 m, 55% at 6 m, 78% at 9 m, outperforming the NEM with 26%, 43%, 62%, 62%, the MWM with 23%, 43%, 66%, respectively. The robustness of the HEM fingerprint using diverse predicted test samples by the NEM and MWM models indicates better localization of 13% than comparison fingerprints. Full article
(This article belongs to the Special Issue Feature Papers in Navigation and Positioning)
Show Figures

Figure 1

17 pages, 3550 KB  
Article
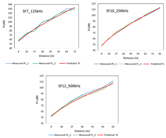
A Multiwall Path-Loss Prediction Model Using 433 MHz LoRa-WAN Frequency to Characterize Foliage’s Influence in a Malaysian Palm Oil Plantation Environment
by Rabeya Anzum, Mohamed Hadi Habaebi, Md Rafiqul Islam, Galang P. N. Hakim, Mayeen Uddin Khandaker, Hamid Osman, Sultan Alamri and Elrashed AbdElrahim
Sensors 2022, 22(14), 5397; https://doi.org/10.3390/s22145397 - 20 Jul 2022
Cited by 30 | Viewed by 5288
Abstract
Palm oil is the main cash crop of tropical Asia, and the implementation of LPWAN (low-power wide-area network) technologies for smart agriculture applications in palm oil plantations will benefit the palm oil industry in terms of making more revenue. This research attempts to [...] Read more.
Palm oil is the main cash crop of tropical Asia, and the implementation of LPWAN (low-power wide-area network) technologies for smart agriculture applications in palm oil plantations will benefit the palm oil industry in terms of making more revenue. This research attempts to characterize the LoRa 433 MHz frequency channels for the available spreading factors (SF7-SF12) and bandwidths (125 kHz, 250 kHz, and 500 kHz) for wireless sensor networks. The LoRa channel modeling in terms of path-loss calculation uses empirical measurements of RSS (received signal strength) in a palm oil plantation located in Selangor, Malaysia. In this research, about 1500 LoS (line-of-sight) and 300 NLoS (non-line-of-sight) propagation measurement data are collected for path-loss prediction modeling. Using the empirical data, a prediction model is constructed. The path-loss exponent for LoS propagation of the proposed prediction model is found to be 2.34 and 2.9 for 125–250 kHz bandwidth and 500 kHz bandwidth, respectively. Again, for the NLoS propagation links, the attenuation per trunk is found to be 7.58 dB, 7.04 dB, 5.35 dB, 5.02 dB, 5.01 dB, and 5 dB for SF7-SF12, and the attenuation per canopy is found to be 9.32 dB, 7.96 dB, 6.2 dB, 5.89 dB, 5.79 dB, and 5.45 dB for SF7-SF12. Moreover, the prediction model is found to be the better choice (mean RMSE 2.74 dB) in comparison to the empirical foliage loss models (Weissberger’s and ITU-R) to predict the path loss in palm oil plantations. Full article
(This article belongs to the Section Physical Sensors)
Show Figures

Figure 1

20 pages, 4060 KB  
Article
A Wireless Underground Sensor Network Field Pilot for Agriculture and Ecology: Soil Moisture Mapping Using Signal Attenuation
by Srinivasa Balivada, Gregory Grant, Xufeng Zhang, Monisha Ghosh, Supratik Guha and Roser Matamala
Sensors 2022, 22(10), 3913; https://doi.org/10.3390/s22103913 - 21 May 2022
Cited by 23 | Viewed by 9285
Abstract
Wireless Underground Sensor Networks (WUSNs) that collect geospatial in situ sensor data are a backbone of internet-of-things (IoT) applications for agriculture and terrestrial ecology. In this paper, we first show how WUSNs can operate reliably under field conditions year-round and at the same [...] Read more.
Wireless Underground Sensor Networks (WUSNs) that collect geospatial in situ sensor data are a backbone of internet-of-things (IoT) applications for agriculture and terrestrial ecology. In this paper, we first show how WUSNs can operate reliably under field conditions year-round and at the same time be used for determining and mapping soil conditions from the buried sensor nodes. We demonstrate the design and deployment of a 23-node WUSN installed at an agricultural field site that covers an area with a 530 m radius. The WUSN has continuously operated since September 2019, enabling real-time monitoring of soil volumetric water content (VWC), soil temperature (ST), and soil electrical conductivity. Secondly, we present data collected over a nine-month period across three seasons. We evaluate the performance of a deep learning algorithm in predicting soil VWC using various combinations of the received signal strength (RSSI) from each buried wireless node, above-ground pathloss, the distance between wireless node and receive antenna (D), ST, air temperature (AT), relative humidity (RH), and precipitation as input parameters to the model. The AT, RH, and precipitation were obtained from a nearby weather station. We find that a model with RSSI, D, AT, ST, and RH as inputs was able to predict soil VWC with an R2 of 0.82 for test datasets, with a Root Mean Square Error of ±0.012 (m3/m3). Hence, a combination of deep learning and other easily available soil and climatic parameters can be a viable candidate for replacing expensive soil VWC sensors in WUSNs. Full article
(This article belongs to the Topic Wireless Sensor Networks)
Show Figures

Figure 1

25 pages, 2491 KB  
Article
Self-Adaptive Filtering Approach for Improved Indoor Localization of a Mobile Node with Zigbee-Based RSSI and Odometry
by Anbalagan Loganathan, Nur Syazreen Ahmad and Patrick Goh
Sensors 2019, 19(21), 4748; https://doi.org/10.3390/s19214748 - 1 Nov 2019
Cited by 36 | Viewed by 4060
Abstract
This study presents a new technique to improve the indoor localization of a mobile node by utilizing a Zigbee-based received-signal-strength indicator (RSSI) and odometry. As both methods suffer from their own limitations, this work contributes to a novel methodological framework in which coordinates [...] Read more.
This study presents a new technique to improve the indoor localization of a mobile node by utilizing a Zigbee-based received-signal-strength indicator (RSSI) and odometry. As both methods suffer from their own limitations, this work contributes to a novel methodological framework in which coordinates of the mobile node can more accurately be predicted by improving the path-loss propagation model and optimizing the weighting parameter for each localization technique via a convex search. A self-adaptive filtering approach is also proposed which autonomously optimizes the weighting parameter during the target node’s translational and rotational motions, thus resulting in an efficient localization scheme with less computational effort. Several real-time experiments consisting of four different trajectories with different number of straight paths and curves were carried out to validate the proposed methods. Both temporal and spatial analyses demonstrate that when odometry data and RSSI values are available, the proposed methods provide significant improvements on localization performance over existing approaches. Full article
Show Figures

Graphical abstract

Back to TopTop