Sign in to use this feature.

Years

Between: -

Subjects

remove_circle_outline
remove_circle_outline
remove_circle_outline
remove_circle_outline
remove_circle_outline
remove_circle_outline
remove_circle_outline
remove_circle_outline
remove_circle_outline

Journals

remove_circle_outline
remove_circle_outline
remove_circle_outline
remove_circle_outline
remove_circle_outline
remove_circle_outline
remove_circle_outline
remove_circle_outline

Article Types

Countries / Regions

remove_circle_outline
remove_circle_outline

Search Results (227)

Search Parameters:
Keywords = paste tailings

Order results
Result details
Results per page
Select all
Export citation of selected articles as:
17 pages, 8255 KB  
Article
Effect of Synthetic C-S-H Seeds on the Early-Age Hydration and Mechanical Properties of Cement–Titanium Slag Composites
by Weizhe Wu, Lei Yu, Shuang Wang, Yuntao Xin, Shuping Wang, Zhigang Zhang and Guanwu Zeng
Buildings 2026, 16(5), 1081; https://doi.org/10.3390/buildings16051081 - 9 Mar 2026
Viewed by 104
Abstract
The large-scale accumulation of titanium-extraction tailing slag (TS) poses environmental concerns, while its application is constrained by high impurity contents and low hydraulic reactivity, which is further exacerbated by the necessary dechlorination process. This study aims to evaluate the effectiveness of synthetic calcium [...] Read more.
The large-scale accumulation of titanium-extraction tailing slag (TS) poses environmental concerns, while its application is constrained by high impurity contents and low hydraulic reactivity, which is further exacerbated by the necessary dechlorination process. This study aims to evaluate the effectiveness of synthetic calcium silicate hydrate (C-S-H) nanocrystals in improving the performance of cement pastes incorporating deeply dechlorinated TS (DD-TS). To ensure uniform dispersion and activity, C-S-H seeds with varying crystallinities (55–94%) were prepared via a dynamic hydrothermal method (180 °C for 1–3 h) and incorporated into the composite binder in a wet-powder form at dosages of 0.5–2.0%. Results indicate that C-S-H-1, with the lowest crystallinity, offered the highest efficiency. At 1.5% dosage, the 1 d compressive strength increased by 64.6% to 18.6 MPa, while the initial setting time decreased by approximately 40%. Microstructural analyses reveal that poorly crystalline C-S-H provides abundant nucleation sites, accelerating early hydration and densifying the matrix to levels comparable to 7 d control pastes. These findings demonstrate the potential of C-S-H seeding for enhancing the utilization of DD-TS in cement-based materials. Full article
(This article belongs to the Special Issue Application of Nanotechnology in Building Materials)
Show Figures

Figure 1

31 pages, 2803 KB  
Article
Kinglet in the Poultry Court of Russia: Whole-Genome Insights into Ancestry, Genetic Variability, Selection Footprints and Candidate Genes in a Unique Local Chicken Breed Relative to Other Bantam/Dwarf Breeds
by Natalia V. Dementieva, Yuri S. Shcherbakov, Anatoli B. Vakhrameev and Michael N. Romanov
Animals 2026, 16(4), 642; https://doi.org/10.3390/ani16040642 - 17 Feb 2026
Viewed by 289
Abstract
Assessing genetic diversity in various native poultry breeds, including bantam/dwarf ones, is instrumental for their conservation as genetic resources, identifying their specific genetic features, and exploring the history of their genetic divergence. Rare chicken breeds are usually carriers of peculiar phenotypic traits, including [...] Read more.
Assessing genetic diversity in various native poultry breeds, including bantam/dwarf ones, is instrumental for their conservation as genetic resources, identifying their specific genetic features, and exploring the history of their genetic divergence. Rare chicken breeds are usually carriers of peculiar phenotypic traits, including adaptations to local conditions, disease resistance, and unique performance features. Here, we report for the first time SNP-based genetic characterization of the Russian Korolyok, translated as “kinglet,” relative to five other dwarf/small breeds: Cochin Bantam, Hamburg Bantam Silver Spangled, Polish White-crested Black, Red White-tailed Dwarf and Silkie White. We estimated phenotypes, heterozygosity, inbreeding, effective population size, and runs of homozygosity (ROHs). Some breeds had higher genetic diversity and others showed elevated inbreeding rates in their genomes. With lower effective population sizes (both presently and in the past), rare breeds came from a limited number of ancestors or were under strong selection pressure over many generations. Within 22 ROHs, we identified 26 prioritized candidate genes (GRB10, RPRD1A, APOOL, EAF2, SEMA5, HACD2, GALANT1, DACH2, CHM, POF1B, HDX, SLC15A2, PDIA5, SEC22, NR2F2, ARRDC4, IGF1R, SYNM, TMEM263, etc.). Our data offer whole-genome insights into genetic variability, history, phylogeny, selective sweeps, and candidate genes of a distinct indigenous Russian chicken breed and other bantam/dwarf breeds. Full article
(This article belongs to the Special Issue Genetic Diversity and Conservation of Local Poultry Breeds)
Show Figures

Figure 1

23 pages, 10519 KB  
Article
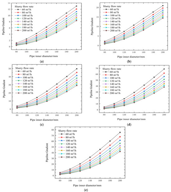
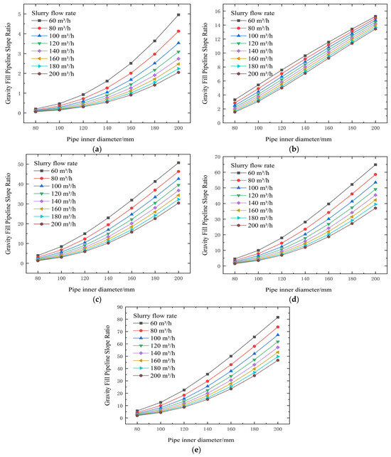
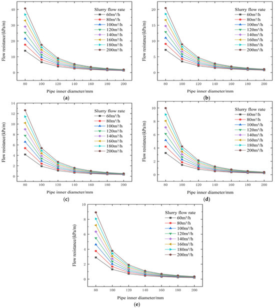
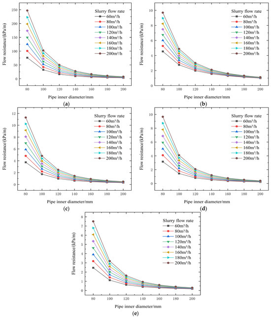
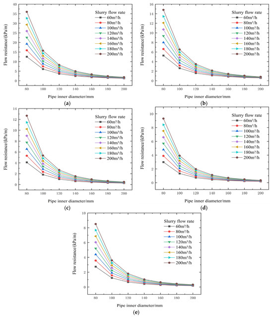
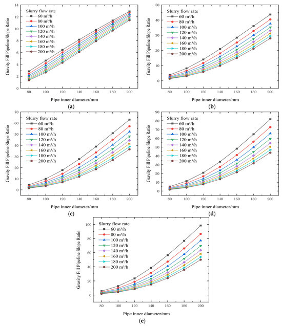
Synergistic Effects of Slurry Concentration and Binder Reactivity on the Hydraulic Transport of Unclassified Tailings Backfill
by Ning Yang, Renze Ou, Zirui Li, Daoyuan Sun, Hongwei Wang, Qi Liu, Mingdong Tang and Xiaohui Li
Materials 2026, 19(4), 768; https://doi.org/10.3390/ma19040768 - 16 Feb 2026
Viewed by 249
Abstract
To address the safety and environmental challenges associated with deep mining, this study investigates the rheological behaviors and pipeline transport characteristics of cemented paste backfill (CPB) using unclassified tailings from a lead–zinc mine. Through the characterization of basic physicochemical properties—including chemical composition, particle [...] Read more.
To address the safety and environmental challenges associated with deep mining, this study investigates the rheological behaviors and pipeline transport characteristics of cemented paste backfill (CPB) using unclassified tailings from a lead–zinc mine. Through the characterization of basic physicochemical properties—including chemical composition, particle size distribution, and specific surface area—combined with L-shaped pipeline simulation tests, the effects of slurry concentration and pipe diameter on rheological parameters and transport resistance were quantitatively analyzed. Furthermore, the mechanical performance and cost-effectiveness of four different cementitious binders were evaluated to identify the optimal material. The results indicate that the unclassified tailings possess a favorable particle size distribution with a significant fine-particle filling effect, making them suitable as backfill aggregates. Slurry concentration was identified as the critical factor influencing rheological performance; a concentration range of 68% to 72% was determined to be optimal, exhibiting superior fluidity and low pipeline resistance conducive to gravity flow. Additionally, increasing the pipe diameter was found to effectively reduce transport difficulty. Based on a comprehensive technical and economic analysis, Kunlun Mountain PO42.5 cement was selected as the optimal binder, achieving the required backfill strength with controlled costs. This study provides a theoretical basis and practical engineering guidance for the design and optimization of deep-well backfill pipeline systems. Full article
(This article belongs to the Special Issue Recent Progress in Sustainable Construction Materials)
Show Figures

Figure 1

23 pages, 7284 KB  
Article
Hydration Capacity and Mechanical Properties of Cement Paste Backfill for Metal Mines on the Qinghai–Tibet Plateau
by Chi Zhang, Pengjin Liu, Jie Wang, Xiaofei Qiao, Weidong Song, Wenhao Xia, Jianxin Fu and Jie Liu
Minerals 2026, 16(1), 62; https://doi.org/10.3390/min16010062 - 7 Jan 2026
Viewed by 405
Abstract
The curing temperature is one of the key factors determining the strength of cement paste backfill (CPB). This study investigates the effects of low curing temperatures (5, 10, 15, and 20 °C) on the hydration performance and hydration products of CPB and analyzes [...] Read more.
The curing temperature is one of the key factors determining the strength of cement paste backfill (CPB). This study investigates the effects of low curing temperatures (5, 10, 15, and 20 °C) on the hydration performance and hydration products of CPB and analyzes their impact on the macroscopic mechanical properties. The experimental results show that when the curing temperature of CPB is low, the reaction activity of cement clinkers such as C2S and C3S decreases, and the number of cement particles participating in the hydration reaction resulting in a reduced quantity of hydration products in CPB. At the same time, low-temperature inhibits the polymerization and connection of silicate chains, and short silicate chains remain stable under low temperature conditions, resulting in a decrease in the polymerization degree of CPB. As the curing temperature increases, CPB gradually transitions to brittle behavior, and the cohesion of CPB shows a linear increase trend, while the internal friction angle shows an exponential increase trend. When the curing temperature is low, there are often one or several cracks around the tailing particles, and these weak bonding surfaces lead to a decrease in the strength of CPB. The results of this study will contribute to a better understanding of the hydration behavior of CPB in low curing temperatures. Full article
Show Figures

Figure 1

21 pages, 5970 KB  
Article
Evaluation of Multiple Influences on the Unconfined Compressive Strength of Fibre-Reinforced Backfill Using a GWO–LGBM Model
by Xin Chen, Yunmin Wang, Shengjun Miao, Shian Zhang, Zhi Yu and Linfeng Du
Materials 2026, 19(1), 200; https://doi.org/10.3390/ma19010200 - 5 Jan 2026
Viewed by 369
Abstract
Fibres can markedly enhance the uniaxial compressive strength (UCS) of cemented paste backfill (CPB). However, previous studies have mainly verified the effectiveness of polypropylene and straw fibres in improving the UCS of CPB experimentally, while systematic multi-factor evaluation remains limited. In this study, [...] Read more.
Fibres can markedly enhance the uniaxial compressive strength (UCS) of cemented paste backfill (CPB). However, previous studies have mainly verified the effectiveness of polypropylene and straw fibres in improving the UCS of CPB experimentally, while systematic multi-factor evaluation remains limited. In this study, laboratory experiments were conducted on polypropylene- and straw fibre-reinforced CPB to construct a reliable dataset. The factors influencing the intensity of uniaxial compressive strength were divided into four aspects (mixture proportions, physical properties of the cement–tailings mixture, chemical characteristics of tailings, and fibre properties), and four intelligent models were developed for effectiveness analysis and UCS prediction. SHapley Additive exPlanations (SHAP) were employed to quantify the contributions of individual features, and the findings were experimentally validated. The GWO–LGBM model outperformed the SVR, ANN, and LGBM models, achieving R2 = 0.907, RMSE = 0.78, MAE = 0.515, and MAPE = 0.157 for the training set, and R2 = 0.949, RMSE = 0.627, MAE = 0.38, and MAPE = 0.115 for the testing set, respectively. Feature analysis reveals that mixture proportions contribute the most to UCS, followed by the tailings’ physical properties, the fibre properties, and the tailings’ chemical characteristics. This study found that cement content and tailings gradation control CPB structural compactness and fibres enhance bonding between hydration products and tailings aggregates, while the chemical composition of the tailings plays an inert role, functioning mainly as an aggregate. Full article
(This article belongs to the Section Construction and Building Materials)
Show Figures

Figure 1

16 pages, 9275 KB  
Article
Competitive Adsorption of Thickeners and Superplasticizers in Cemented Paste Backfill and Synergistic Regulation of Rheology and Strength
by Liuhua Yang, Yongbin Wang, Yunpeng Kou, Zengjia Wang, Teng Li, Quanming Li, Hong Zhang and Shuisheng Chen
Minerals 2026, 16(1), 43; https://doi.org/10.3390/min16010043 - 30 Dec 2025
Viewed by 381
Abstract
Balancing high fluidity and stability is a critical challenge in deep-shaft cemented paste backfill (CPB) with high-concentration tailings. This study investigates the synergistic regulation mechanism of a combined admixture system comprising hydroxypropyl methylcellulose (HPMC) thickener and polycarboxylate (PCE) or Melamine-Formaldehyde Resin (MFR) superplasticizers [...] Read more.
Balancing high fluidity and stability is a critical challenge in deep-shaft cemented paste backfill (CPB) with high-concentration tailings. This study investigates the synergistic regulation mechanism of a combined admixture system comprising hydroxypropyl methylcellulose (HPMC) thickener and polycarboxylate (PCE) or Melamine-Formaldehyde Resin (MFR) superplasticizers on CPB rheology, mechanical strength, and microstructure. Results indicate that HPMC significantly enhanced anti-segregation performance via intermolecular bridging, substantially increasing yield stress and plastic viscosity. Upon PCE introduction, the steric hindrance provided by its side chains effectively disrupted HPMC-induced flocs and released entrapped water. Consequently, yield stress and plastic viscosity were reduced by up to 22.1% and 64.3%, respectively, with PCE exhibiting markedly superior viscosity-reducing efficiency compared to MFR. Mechanical testing revealed that PCE co-addition did not compromise early-age strength but enhanced 3, 7, and 28-day unconfined compressive strength (UCS) by refining pore structures and promoting the uniform distribution of hydration products. Microstructural analysis unveiled a competitive adsorption mechanism: preferential PCE adsorption dispersed particle agglomerates, while non-adsorbed HPMC formed a viscoelastic network within the pore solution, constructing a stable “dispersion-suspension” microstructure. This work provides a theoretical basis for optimizing high-performance backfill formulations. Full article
Show Figures

Figure 1

28 pages, 10229 KB  
Article
Mechanical Properties of Copper Tailings Cemented Paste Backfill Incorporating Thermally and Mechanically Treated Saudi Natural Pozzolan
by Ardhymanto Am Tanjung, Haitham M. Ahmed and Hussin A. M. Ahmed
Appl. Sci. 2025, 15(24), 13205; https://doi.org/10.3390/app152413205 - 17 Dec 2025
Viewed by 460
Abstract
Cemented Paste Backfill (CPB) is a technique that utilizes mine tailings, mining-process water, and a binder, typically Ordinary Portland Cement (OPC), to backfill the opening created in underground mining. However, the use of cement in CPB increases operational costs and has adverse environmental [...] Read more.
Cemented Paste Backfill (CPB) is a technique that utilizes mine tailings, mining-process water, and a binder, typically Ordinary Portland Cement (OPC), to backfill the opening created in underground mining. However, the use of cement in CPB increases operational costs and has adverse environmental effects. To mitigate these effects, eco-friendly natural pozzolan can be used as a partial replacement for OPC, thereby reducing its consumption and environmental impact. The volcanic region of western Saudi Arabia contains extensive deposits of Saudi natural pozzolan (SNP), which is a promising candidate for this purpose. This study evaluates the mechanical performance of CPB under four scenarios: a control mixture (CTRL), a mixture with untreated SNP (UT), and mixtures with activated SNP, specifically heat-treated (HT) and mechanically treated (MT). Each scenario was tested at replacement levels of 5%, 10%, 15%, and 20% of OPC. The performance was assessed using Uniaxial Compressive Strength (UCS) with Elastic Modulus (E), Ultrasonic Pulse Velocity (UPV), and Indirect Tensile Strength (ITS/Brazilian) tests. The results indicate that the HT scenario at a 5% replacement level delivered the highest performance, slightly outperforming the MT scenario. Both activated scenarios (HT and MT) significantly surpassed the untreated mixture (UT). Overall, the HT scenario proved to be the most effective among all CPB mixtures tested. XRD diffractogram analysis supported HT as the material with the highest strength performance due to the occurrence of more strength phases than other CPB materials, including Alite, Quartz, and Calcite. While UCS and UPV showed a positive correlation across all CPB materials, the relationship between UPV and the modulus of elasticity (E) demonstrated a low correlation. The findings suggest that using activated SNP materials can enhance CPB sustainability by lowering cement demand, stabilizing operating costs, and reducing environmental impacts. Full article
(This article belongs to the Special Issue Mining Engineering: Present and Future Prospectives)
Show Figures

Figure 1

24 pages, 625 KB  
Article
The Regress of Uncertainty and the Forecasting Paradox
by Nassim Nicholas Taleb and Pasquale Cirillo
Risks 2025, 13(12), 247; https://doi.org/10.3390/risks13120247 - 10 Dec 2025
Viewed by 3758
Abstract
We show that epistemic uncertainty–our iterated ignorance about our own ignorance–inevitably thickens statistical tails, even under perceived thin-tailed environments from past realizations. Any claim of precise risk carries a margin of error, and that margin itself is uncertain, in an infinite regress of [...] Read more.
We show that epistemic uncertainty–our iterated ignorance about our own ignorance–inevitably thickens statistical tails, even under perceived thin-tailed environments from past realizations. Any claim of precise risk carries a margin of error, and that margin itself is uncertain, in an infinite regress of doubt. This “errors-on-errors” mechanism rules out thin-tailed certainty: predictive laws must be heavier-tailed than their in-sample counterparts. The result is the Forecasting Paradox: the future is structurally more extreme than the past. This insight collapses branching scenarios into a single heavy-tailed forecast, with direct implications for risk management, scientific modeling, and AI safety. Full article
(This article belongs to the Special Issue Innovative Quantitative Methods for Financial Risk Management)
Show Figures

Figure 1

25 pages, 459 KB  
Article
Is Innovation a Driver of Agricultural Sustainability? Evidence from Eastern European Countries Under the SDG 2 Framework
by Nicoleta Mihaela Doran
Agriculture 2025, 15(21), 2282; https://doi.org/10.3390/agriculture15212282 - 1 Nov 2025
Viewed by 840
Abstract
Innovation is central to the Zero Hunger agenda, yet its distributional links to agricultural performance and policy in Eastern Europe remain unclear. This study investigates whether national innovation performance, proxied by the Global Innovation Index, is associated with agriculture’s macroeconomic weight and with [...] Read more.
Innovation is central to the Zero Hunger agenda, yet its distributional links to agricultural performance and policy in Eastern Europe remain unclear. This study investigates whether national innovation performance, proxied by the Global Innovation Index, is associated with agriculture’s macroeconomic weight and with public budget orientation in Bulgaria, Czechia, Hungary, Poland, Romania, and Slovakia across the past decade and a half. Using panel quantile regression with country fixed effects and bootstrapped standard errors, we estimate effects at the lower, median, and upper parts of the outcome distributions for three indicators: agriculture value added share of gross domestic product, the agriculture orientation index for government expenditures, and the agriculture share of government expenditure. Results show a robust negative association between innovation and the agricultural share of gross domestic product that strengthens toward the upper quantiles, consistent with structural transformation that reallocates value added toward higher-productivity sectors. For the orientation index, innovation is unrelated at the lower and median parts but becomes positive in mid–upper regimes, fading again at the extreme upper tail. No systematic relationship emerges for the budget share. Land endowment is positively associated with agricultural weight, while population size is negatively associated. We conclude that economy-wide innovation aligns with structural change, whereas shifting agricultural budget shares requires targeted, sector-specific policy instruments. Full article
(This article belongs to the Section Agricultural Economics, Policies and Rural Management)
Show Figures

Figure 1

14 pages, 3819 KB  
Article
In Vitro Evaluation of Tooth Enamel Abrasion and Roughness Using Toothpaste with and Without Activated Charcoal: An SEM Analysis
by Fiorella Thais Aquino Carmen, Renzo Jesús Pro Romero, Alexander Roger Espinoza Salcedo and Paul Martín Herrera-Plasencia
Dent. J. 2025, 13(10), 482; https://doi.org/10.3390/dj13100482 - 21 Oct 2025
Cited by 1 | Viewed by 3282
Abstract
Background/Objectives: Dental enamel constitutes the first barrier of defense against external factors that constantly generate wear and damage. This study aimed to evaluate in vitro the abrasion and roughness of dental enamel using toothpaste with and without activated charcoal and to analyze this [...] Read more.
Background/Objectives: Dental enamel constitutes the first barrier of defense against external factors that constantly generate wear and damage. This study aimed to evaluate in vitro the abrasion and roughness of dental enamel using toothpaste with and without activated charcoal and to analyze this under scanning electron microscopy (SEM). Materials and methods: The research design was experimental; 10 enamel blocks were randomly assigned to each group to perform brushing cycles with soft- and medium-filament brushes with two types of toothpaste, one with activated charcoal and one without activated charcoal. A pumice stone with etching acid was used as the positive control and artificial saliva served as the negative control; both were analyzed separately. Roughness was evaluated using a roughness meter and abrasion with an analytical balance. The surface of the enamel blocks of each group was randomly analyzed under an SEM. Statistical analysis was performed using the Shapiro–Wilk test and the homogeneity of variances with Bartlett’s test. Student’s t-test (two-tailed) was applied to compare tooth enamel roughness and abrasion. Results: Both enamel roughness (p = 0.0016) and abrasion (p = 0.0001) were significantly higher in the groups using activated charcoal paste and medium-filament brushes. SEM observation revealed greater alteration on the surface of the enamel subjected to brushing cycles with activated charcoal paste and a medium-filament brush. Conclusions: The in vitro study showed that the use of toothpaste with activated charcoal increases the roughness and abrasion of tooth enamel, especially when the medium-filament brush is used. Full article
Show Figures

Graphical abstract

25 pages, 2968 KB  
Article
ECSA: Mitigating Catastrophic Forgetting and Few-Shot Generalization in Medical Visual Question Answering
by Qinhao Jia, Shuxian Liu, Mingliang Chen, Tianyi Li and Jing Yang
Tomography 2025, 11(10), 115; https://doi.org/10.3390/tomography11100115 - 20 Oct 2025
Viewed by 836
Abstract
Objective: Medical Visual Question Answering (Med-VQA), a key technology that integrates computer vision and natural language processing to assist in clinical diagnosis, possesses significant potential for enhancing diagnostic efficiency and accuracy. However, its development is constrained by two major bottlenecks: weak few-shot generalization [...] Read more.
Objective: Medical Visual Question Answering (Med-VQA), a key technology that integrates computer vision and natural language processing to assist in clinical diagnosis, possesses significant potential for enhancing diagnostic efficiency and accuracy. However, its development is constrained by two major bottlenecks: weak few-shot generalization capability stemming from the scarcity of high-quality annotated data and the problem of catastrophic forgetting when continually learning new knowledge. Existing research has largely addressed these two challenges in isolation, lacking a unified framework. Methods: To bridge this gap, this paper proposes a novel Evolvable Clinical-Semantic Alignment (ECSA) framework, designed to synergistically solve these two challenges within a single architecture. ECSA is built upon powerful pre-trained vision (BiomedCLIP) and language (Flan-T5) models, with two innovative modules at its core. First, we design a Clinical-Semantic Disambiguation Module (CSDM), which employs a novel debiased hard negative mining strategy for contrastive learning. This enables the precise discrimination of “hard negatives” that are visually similar but clinically distinct, thereby significantly enhancing the model’s representation ability in few-shot and long-tail scenarios. Second, we introduce a Prompt-based Knowledge Consolidation Module (PKC), which acts as a rehearsal-free non-parametric knowledge store. It consolidates historical knowledge by dynamically accumulating and retrieving task-specific “soft prompts,” thus effectively circumventing catastrophic forgetting without relying on past data. Results: Extensive experimental results on four public benchmark datasets, VQA-RAD, SLAKE, PathVQA, and VQA-Med-2019, demonstrate ECSA’s state-of-the-art or highly competitive performance. Specifically, ECSA achieves excellent overall accuracies of 80.15% on VQA-RAD and 85.10% on SLAKE, while also showing strong generalization with 64.57% on PathVQA and 82.23% on VQA-Med-2019. More critically, in continual learning scenarios, the framework achieves a low forgetting rate of just 13.50%, showcasing its significant advantages in knowledge retention. Conclusions: These findings validate the framework’s substantial potential for building robust and evolvable clinical decision support systems. Full article
Show Figures

Figure 1

17 pages, 840 KB  
Article
Life Cycle Assessment of Portland Cement Alternatives in Mine Paste Backfill
by Martín J. Valenzuela-Díaz, Antonio J. Diosdado-Aragón, José Charango Munizaga-Rosas and Manuel Caraballo
Appl. Sci. 2025, 15(18), 9996; https://doi.org/10.3390/app15189996 - 12 Sep 2025
Viewed by 1488
Abstract
Mining activities generate huge volumes of mine tailings (MTs), which pose huge environmental management challenges. Reuse as cemented paste backfill (CPB), a mixture of tailings with water and a binder—often cementitious or alkaline—is amongst the best methods to reduce surface disposal, and it [...] Read more.
Mining activities generate huge volumes of mine tailings (MTs), which pose huge environmental management challenges. Reuse as cemented paste backfill (CPB), a mixture of tailings with water and a binder—often cementitious or alkaline—is amongst the best methods to reduce surface disposal, and it is used to backfill underground mine voids. Although the most widely used binder in CPB production remains Ordinary Portland Cement (OPC), it is associated with a high carbon footprint and a high economic cost. In this study, both the economic feasibility and the environmental performance of three alkaline activators—sodium hydroxide (NaOH), sodium silicate (Na2SiO3), and a high MgCO3 and MgO content calcined magnesite residue—are evaluated as OPC replacements in CPB products. A gate-to-grave life cycle assessment (LCA) was performed at a CPB plant located in southwestern Spain with the use of tailings from a massive sulfide deposit. The results from the uniaxial compressive strength test and LCA demonstrate that paste formulations using the magnesite residue achieve comparable mechanical performance while significantly reducing both the environmental footprint and total cost relative to OPC-based mixtures. These results support the use of alkaline binders as viable substitutes that enable more sustainable and cost-effective tailings management practices in the mining sector. Full article
Show Figures

Figure 1

18 pages, 684 KB  
Article
A New Topp–Leone Odd Weibull Flexible-G Family of Distributions with Applications
by Fastel Chipepa, Mahmoud M. Abdelwahab, Wellington Fredrick Charumbira and Mustafa M. Hasaballah
Mathematics 2025, 13(17), 2866; https://doi.org/10.3390/math13172866 - 5 Sep 2025
Viewed by 866
Abstract
The acceptance of generalized distributions has significantly improved over the past two decades. In this paper, we introduce a new generalized distribution: Topp–Leone odd Weibull flexible-G family of distributions (FoD). The new FoD is a combination of two FOD; the Topp–Leone-G and odd [...] Read more.
The acceptance of generalized distributions has significantly improved over the past two decades. In this paper, we introduce a new generalized distribution: Topp–Leone odd Weibull flexible-G family of distributions (FoD). The new FoD is a combination of two FOD; the Topp–Leone-G and odd Weibull-flexible-G families. The proposed FoD possesses more flexibility compared to the two individual FoD when considered separately. Some selected statistical properties of this new model are derived. Three special cases from the proposed family are considered. The new model exhibits symmetry and long or short tails, and it also addresses various levels of kurtosis. Monte Carlo simulation studies were conducted to verify the consistency of the maximum likelihood estimators. Two real data examples were used as illustrations on the flexibility of the new model in comparison to other competing models. The developed model proved to perform better than all the selected competing models. Full article
(This article belongs to the Section D1: Probability and Statistics)
Show Figures

Figure 1

19 pages, 594 KB  
Review
Environmental and Public Health Impacts of Mining Tailings in Chañaral, Chile: A Narrative Case-Based Review
by Sandra Cortés, Pablo González, Cinthya Leiva, Yendry Vargas, Alejandra Vega and Pablo Pastén
Sustainability 2025, 17(17), 7732; https://doi.org/10.3390/su17177732 - 27 Aug 2025
Cited by 2 | Viewed by 3709
Abstract
This narrative case-based review describes the environmental and public health impacts in Chañaral, a town in northern Chile affected by the accumulation of copper mining tailings for the past 80 years. The review included 34 scientific articles published between 1978 and 2025. The [...] Read more.
This narrative case-based review describes the environmental and public health impacts in Chañaral, a town in northern Chile affected by the accumulation of copper mining tailings for the past 80 years. The review included 34 scientific articles published between 1978 and 2025. The keywords used were “mining tailings” and “Chañaral”, without year limits, and covering disciplines such as ecology, public health, environmental history, and territorial studies. The scientific evidence demonstrates the negative impacts on the ecosystem and the human population exposed to toxic metals and arsenic. Geomorphological and biogeochemical alterations have been found on the Chañaral coast, affecting marine biodiversity and water quality. In addition, epidemiological studies indicate exposure to toxic metals measured in street dust and urine, raising concerns on respiratory health in children and metabolic conditions in adults. According to the social sciences, the lack of environmental monitoring and human exposure data contributes to the high health risk perception in the population, posing the need to strengthen environmental monitoring, raise awareness on the risks of exposure to toxic metals, and promote mitigation and restoration strategies. These measures will contribute to sustainable conditions for the Chañaral community through the improvement of comprehensive public policies. Full article
(This article belongs to the Special Issue Sustainable Environmental Analysis of Soil and Water)
Show Figures

Figure 1

18 pages, 4424 KB  
Article
Industrial-Scale Application of Polymer Dewatering for Fine Tailings Disposal
by Rubén H. Olcay, Sayra Ordóñez, George E. Valadão, Francisco Patiño, Andréia B. Henriques, Iván A. Reyes, Julio C. Juárez and Mizraim U. Flores
Materials 2025, 18(16), 3872; https://doi.org/10.3390/ma18163872 - 18 Aug 2025
Cited by 1 | Viewed by 1375
Abstract
The treatment and safe disposal of mining tailings represent one of the main technical and environmental challenges in the contemporary mining industry. The present study aims to evaluate, at laboratory scale, three dewatering techniques applied to phosphate tailings: column thickener, hyperbaric filtration (horizontal [...] Read more.
The treatment and safe disposal of mining tailings represent one of the main technical and environmental challenges in the contemporary mining industry. The present study aims to evaluate, at laboratory scale, three dewatering techniques applied to phosphate tailings: column thickener, hyperbaric filtration (horizontal filter press), and the direct application of a dewatering polymer. Based on the results obtained and the comparative analysis of Opex and Capex, the application of the dewatering polymer was selected for industrial-scale validation. The tailings sample presented an initial solids concentration of approximately 8.6% with very fine particle size, less than 70 microns. Under the best operating conditions for the aforementioned dewatering techniques, solids percentages by mass were obtained around ≈52% (thickening), ≈75% (filtration), and ≈40% (dewatering polymer). In all techniques, it was possible to obtain turbidity levels in the recovered water below 100 NTU, and a slight increase in the hardness of the overflows and filtrates was observed. According to the yield stress results, it was evident that the tailings were beginning to present characteristics of high-density slurry, paste, and cake with values of 40%, 48%, and 58% solids by mass, respectively. Full article
(This article belongs to the Section Construction and Building Materials)
Show Figures

Figure 1

Back to TopTop