Abstract
The curing temperature is one of the key factors determining the strength of cement paste backfill (CPB). This study investigates the effects of low curing temperatures (5, 10, 15, and 20 °C) on the hydration performance and hydration products of CPB and analyzes their impact on the macroscopic mechanical properties. The experimental results show that when the curing temperature of CPB is low, the reaction activity of cement clinkers such as C2S and C3S decreases, and the number of cement particles participating in the hydration reaction resulting in a reduced quantity of hydration products in CPB. At the same time, low-temperature inhibits the polymerization and connection of silicate chains, and short silicate chains remain stable under low temperature conditions, resulting in a decrease in the polymerization degree of CPB. As the curing temperature increases, CPB gradually transitions to brittle behavior, and the cohesion of CPB shows a linear increase trend, while the internal friction angle shows an exponential increase trend. When the curing temperature is low, there are often one or several cracks around the tailing particles, and these weak bonding surfaces lead to a decrease in the strength of CPB. The results of this study will contribute to a better understanding of the hydration behavior of CPB in low curing temperatures.
1. Introduction
Due to the high-intensity mining of mineral resources in recent decades, most shallow-buried resources in mines in various countries are increasingly depleted, and mining is gradually developing towards cold and permafrost regions [1,2,3]. The significant feature of these regions is that their temperatures are generally below 10 °C. Consequently, mining activities in high-altitude regions are expected to increase [4,5,6]. Due to their unique geographical location, these high-altitude areas often have fragile ecosystems [7,8]. In order to reduce the damage to the natural environment caused by mining activities, back-filling method is the preferred mining method for mining in cold regions [9,10]. The tailings from mineral processing are mixed with cement and water in a certain proportion and pumped to the goaf for backfilling. This not only reduces the discharge of tailings from the mine but also treats the goaf, preventing surface collapse and ensuring the safety of underground mining [11,12,13,14].
As is well known, the curing temperature is one of the key factors determining the strength of cement paste backfill (CPB) [15,16]. In the traditional design of CPB strength, the experiments are conducted under indoor standard constant temperature and humidity curing conditions (curing temperature of 20 ± 2 °C, curing humidity of 90% RH) [14,17]. This is mainly due to the general maintenance conditions obtained by shallow-buried mines in most plain areas. The main problem faced by mining in high-altitude areas is the low-temperature natural environment. Generally speaking, for every 100 m increase in altitude, the temperature drops by about 0.6 °C. The altitude of polymetallic deposits in cold regions of China is generally between 4000 and 5000 m, and the annual average temperature is between −5 and 5 °C [18].
Regarding the behavior of CPB under low curing temperature, E. G. Thomas [19] investigated the relationship between curing temperature and the strength of CPB as early as 1969. When the temperature is below 10 °C, the curing temperature has a great impact on the strength of CPB, and low temperature will affect the hydration reaction of cement in CPB slurry. Fall et al. [20,21,22] conducted extensive experimental studies on the curing temperature and CPB strength. The effect of low curing temperature on hydration reaction led to a decrease in the hydration product content and strength of CPB. Reasonably increasing the curing temperature is beneficial for enhancing the strength characteristics of CPB. Wang et al. [23] conducted a series of uniaxial compression tests and microstructure tests on CPB under low curing temperature (5, 10, and 20 °C), and concluded that the reduction in the amount of hydration products and the formation of more loose structures in CPB are the fundamental reasons for the low strength of CPB under low curing temperature conditions. Xu et al. [24,25] investigated the time-dependent rheological behavior of fresh CPB under different curing temperatures (−12, −1, 6, and 20 °C) for 240 min. The results showed that low temperature weakened the cohesion between particles and reduced the yield stress of CPB. Han et al. [26] conducted mechanical tests on CPB with different mix proportions (cement content and solid content) under low curing temperatures, using tailings from Jinying Gold Mine. The results showed that the strength of CPB decreased with the decrease in curing temperature; temperature had a significant impact on the early strength of CPB. After taking corresponding measures at Jinying Gold Mine, the strength of CPB increased by 129.9%, which effectively controlled the collapse of CPB structure.
It is noteworthy that recent advances in microstructural characterization techniques have provided powerful tools for revealing the intrinsic mechanisms through which low curing temperatures affect CPB performance. For instance, studies utilizing 29Si Nuclear Magnetic Resonance (NMR) have confirmed that low temperatures significantly inhibit the polymerization process of silicate chains in calcium silicate hydrate (C-S-H) gel, leading to a shorter mean chain length (MCL) and a predominance of low-polymerization states such as dimers [27,28]. X-ray Photoelectron Spectroscopy (XPS) analysis also indicates a decrease in the ratio of bridging oxygen atoms (BOs) to nonbridging oxygen atoms (NBOs) in C-S-H at low temperatures, further corroborating the reduction in its polymerization degree [29]. More critically, low temperatures not only retard hydration but also directly damage the material’s microstructure. A review by Wang et al. [30] clearly states that low-temperature curing inhibits the sufficient development of the matrix, leading to C-S-H gel with reduced polymerization, high porosity, and increased connectivity, thereby forming inherent micro-defects. Concurrently, under freeze–thaw or low-temperature shrinkage stress, these initial defects can propagate and coalesce into microcracks [31]. This low-temperature-induced underdevelopment of the hydration product matrix and accumulation of micro-damage can be summarized as the “cold shrinkage” phenomenon, which fundamentally compromises the integrity of CPB. However, microscopic characterization techniques are predominantly based on indirect measurements, requiring comprehensive microscopic probes for a holistic assessment of the microstructural damage in CPB under low-temperature conditions.
Therefore, this study aims to address the aforementioned gaps. The core innovation of this work lies in its systematic coupling of micro-scale characterization (X-ray diffraction (XRD), fourier transform infrared spectroscopy (FT-IR), XPS, TG-DTG, 29Si NMR) with macro-scale mechanical testing (direct shear tests combined with DIC). Focusing on the curing temperature range of 5–20 °C, it not only elucidates the composition and chain structure evolution of C-S-H gel in CPB but also places particular emphasis on revealing the initiation mechanisms of microstructural defects (e.g., low polymerization, high porosity, microcracking) induced by low temperatures. The research objective is to better understand the impact of low curing temperature on the hydration performance and hydration products of CPB, and to analyze its influence on macroscopic mechanical properties.
2. Materials and Methods
2.1. Raw Materials
Tailings from a copper molybdenum rhenium polymetallic mine in Xizang Autonomous Region of China were used in this study. Table 1 summarizes the chemical composition of tailings determined by X-ray fluorescence (XRF). Figure 1 shows the particle size distribution and the XRD results of tailings. The main component of tailings is crystalline quartz with extremely low reactivity, and the median particle size of tailings is 21.44 μm, which is considered fine-grained. The bonding agent used in the study is 42.5 ordinary Portland cement (OPC 42.5R) and its chemical composition is shown in Table 2.
Table 1.
Chemical composition of tailings.
Figure 1.
(a) Particle size distribution and (b) XRD spectrum of tailings.
Table 2.
Chemical composition of OPC 42.5R.
2.2. Sample Preparation
Tailings, cement, and water were mixed at a solid content of 70% and a c/t (cement/tailings) ratio of 1:8 to prepare fresh CPB slurry. After thorough mixing with a blender (about 10–15 min), it was poured into a cube mold with a size of 50 mm × 50 mm × 100 mm, and the mold was shaken to eliminate bubbles in CPB slurry. Finally, the mold was placed in a curing chamber with a set temperature (5, 10, 15, and 20 °C) for 7 days and macroscopic mechanical tests were conducted after reaching the specified curing time. The 7-day curing age was selected as the primary evaluation point because it represents a critical early-age strength benchmark for mining cycle efficiency in the field; it allows for the isolation of the most pronounced effects of low temperature on the initial hydration and microstructure formation processes.
The samples used for microscopic tests was prepared separately and opened along the center of the samples after reaching the curing time. Block: Processed the central part of the samples into small blocks of 2 cm × 2 cm × 1 cm. The upper surface was a relatively flat surface for scanning electron microscopy (SEM) observation. After polishing the other surfaces flat, we wrapped them with copper foil paper and sprayed gold on the observation surface. Powder: Ground the central part of CPB manually with a mortar and pestle, soaked it in ethanol for 3 days, then dried it in a 40 °C oven for 36 h, and filtered it through a 75 μm sieve after dried.
Block samples were prepared for SEM, and powder samples were used for XRD, XRF, FT-IR, XPS, TG-DTG, and 29Si NMR. For each curing temperature condition, three parallel specimens were independently prepared and tested for both macroscopic mechanical tests and microscopic analyses to ensure the repeatability and reliability of the results. The sample preparation and experimental procedures are shown in Figure 2.
Figure 2.
The sample preparation and experimental procedures of this study.
2.3. Microstructure Test Methods
XRD: X-ray diffraction test was used to determine mineralogical phases. The instrument used was a Rigaku Ultima-IV diffractometer (Rigaku Corporation, Tokyo, Japan). The test used a Cu-Kα-ray target (λ = 1.5406 Å), with a scanning current of 40 mA, a scanning range of 10~90°, and a scanning speed of 20°/min.
FT-IR: Fourier transform infrared spectroscopy was used to analyze molecular structure and chemical bonds, and to identify compound types using the characteristic wavenumbers of chemical bonds. FT-IR spectra was collected by Thermo Fisher Scientific Nicolet iS20 FT-IR spectrometer (Thermo Fisher Scientific, Waltham, MA, USA) and KBr particle technology. The spectral analysis range was 400–4000 cm−1, with a resolution of 4 cm−1, and 32 spectral scans were performed.
XPS: The elemental composition and surface binding energy of the samples were obtained using X-ray photoelectron spectroscopy. The instrument used was Thermo Scientific K-Alpha X-ray photoelectron spectrometer (Thermo Fisher Scientific, Waltham, MA, USA). Data was extracted from spectral peak fitting using Advantage software (v6.6.0) and charge effect correction was performed on the XPS spectrum using the 284.8 eV alkyl carbon C1s peak.
TG-DTG: The thermogravimetric analysis of samples was performed using TGA55 thermal analyzer (TA Instruments, New Castle, DE, USA). Measurement was carried out by heating from 30 °C to 900 °C at a heating rate of 10 °C/min in N2 atmosphere. The hydration products of CPB were quantitatively analyzed by measuring the mass loss (thermogravimetric method, TG, %mass) and differential mass loss rate (Differential thermogravimetric method, DTG, %mass/min) of the sample during the heating process.
XRF: Using X-ray fluorescence to detect the chemical composition of the samples, the equipment used was the LAB CENTER XRF-1800 (Shimadzu) spectrometer (Shimadzu Corporation, Kyoto, Japan), which measures using the tablet method. The elemental testing range is O-U.
29Si NMR: The 29Si NMR experiment was conducted using Bruker Avance Neo 400 WB (Bruker BioSpin AG, Billerica, MA, USA) and the atomic structure information of the silicate chains in samples was recorded using a 7 mm CP/MAS probe. The nuclear magnetic resonance (NMR) spectrum was deconvolved and MestReNova (v15) software was used to calculate the relative proportions of each Qn unit.
SEM: Characterized the morphology and pore structure characteristics of hydration products of CPB using SEM. The experimental equipment was Carl Zeiss tungsten filament SEM Evo 18 (Carl Zeiss AG, Jena, Thuringia, Germany) and the image size was 1024 × 768 pixels with an acceleration voltage of 20 kV.
2.4. Macro Performance Test Methods
Direct shear test: The TFD-20H/50J shear testing machine (Changchun Keyi Test Instruments Co., Ltd., Changchun, China) was used for direct shear test, with maximum tangential and normal test forces of 50 kN and 20 kN, respectively. The normal load was increased to the preset value at a speed of 0.2 kN/s and the normal force was maintained for 60 s to ensure that the normal displacement would no longer change due to the closure of pores. The tangential force loading speed was 0.5 mm/min and the end condition was that the tangential displacement reaches 8 mm.
Digital image correlation (DIC): A two-dimensional DIC device (Shenzhen Haytham Technology Co., Ltd., Shenzhen, China) was used to measure the surface deformation of samples during the shearing process. Before the direct shear test, high contrast speckle (white paint as the background, black paint as the speckle) was applied on one side of samples. The high-speed camera was placed horizontally, focused on the speckle of the sample, and the deformation images of the speckle was captured until the end of direct shear test. Finally, based on the image processing algorithm of VIC-2D (v7) software, the full field strain of samples was measured by calculating the correlation difference between the surface deformation images and the reference image (initial image at the beginning of loading).
3. Results and Discussion
3.1. Analysis of Hydration Products of CPBs
3.1.1. Phase Analysis
Figure 3 shows the XRD spectra of CPBs with different curing temperatures. There are obvious quartz peaks in CPBs with all curing temperatures, which is due to the fact that the main component of CPBs is tailings. In addition to quartz phase, C-S-H phase, gismondine phase, calcite phase, anorterite phase, aragonite phase, ettringite phase, and porlandite phase were also observed. As the curing temperature decreases, the diffraction peaks of C2S and C3S in CPB gradually increase, indicating that the reaction between cement clinker and water is suppressed under low curing temperatures. At the same time, the enhancement of C-S-H diffraction peaks also confirms this viewpoint. The characteristic peak of C-S-H is mainly around 21° of 2θ [32,33]. Under low curing temperature conditions, the crystallization of C-S-H is poor. When the curing temperature is reduced from 20 °C to 5 °C, the crystallinity of the C-S-H characteristic peak is 92.74%, 93.10%, 90.77%, and 89.36%, respectively, with a standard deviation of less than ±1.2% from triplicate measurements. And under room temperature curing conditions, in addition to C-S-H phase, the diffraction peaks of the ettringite phase and porlandite phase are also found in the XRD pattern. Overall, with the increase in curing temperature, the contours of each diffraction peak in CPBs become clear, the peak width becomes narrower and the peak shape becomes sharper, indicating an increase in the crystallinity of hydration products inside CPBs [34]. The overall crystallinity of CPBs is calculated using the ratio of diffraction peak intensity to total intensity, which are 41.99%, 43.06%, 43.85%, and 45.60%, respectively, with a standard deviation of less than ±1.5% from triplicate measurements.
Figure 3.
XRD spectra of CPBs under different curing temperatures. (The red and blue dashed boxes indicate the regions that are magnified in the corresponding panels on the right).
3.1.2. Group Properties
Figure 4 shows the FT-IR spectra of CPBs under different curing temperatures. It can be seen that the FT-IR spectra of hydration products of CPBs under different curing temperatures are basically the same. A clear absorption peak appeared at 3590–3650 cm−1, which is the stretching vibration of O-H bonds in Ca(OH)2. Weak bands around 3430 cm−1 and 1650 cm−1 are observed in all samples, which are related to the stretching and bending vibrations of the H-O-H bonds in the adsorbed water molecules in the hydration products. Under low curing temperatures, the spectral bands of H-O-H bonds in CPBs were significantly enhanced, which is explained by the stronger binding between water molecules and the main structure, i.e., the hydrophilicity of C-S-H is slightly enhanced under low curing temperature. In addition, the absorption peak at 530 cm−1 corresponds to the bending vibration of SO42− in the molecular structure of ettringite, and there is a weak absorption peak at 1030 cm−1 corresponding to the asymmetric stretching vibration of SO42− in the molecular structure of ettringite. The absorption peak at 1420 cm−1 corresponds to the asymmetric stretching vibration of CO32−; the weak absorption peak at 875 cm−1 corresponds to the out of plane bending vibration of CO32−, which is related to the carbonization of the sample exposed to air [35,36].
Figure 4.
FT-IR spectra of CPBs under different curing temperatures.
The main stretching and vibration characteristic bands generated by silicate chains are in the range of 1300–400 cm−1. The silicate tetrahedra in the silicate chain are represented by Qn and the parameter “n” represents the number of oxygen atoms shared by the silicate tetrahedra and their adjacent tetrahedra [37]. The spectral bands near 460 cm−1 and 670 cm−1 are generated by in-plane bending vibrations of O-Si-O bonds and out of plane bending vibrations of Si-O-Si bonds, respectively, which are observed in all spectra. The stretching and vibration bands appearing near 780 cm−1, 1010 cm−1, and 1080 cm−1 correspond to the stretching vibration of Si-O bonds in Q1, the stretching vibration of Si-O bonds in Q2, and the stretching vibration of Si-O bonds in Q3, respectively [38]. As the curing temperature decreases, the tensile vibration of Si-O bonds in Q1 changes more significantly, and the strength of the bands increases with the decrease in curing temperature. This suggests that under lower curing temperatures, the silicon oxygen tetrahedra in the silicate chains tend to exist more independently, with fewer connections between each other and a lower degree of polymerization. The stretching vibration of Si-O bonds in Q2 shifts towards lower frequencies under low curing temperature, which is consistent with a lower degree of polymerization of polymer chains. The frequency of Si-O bonds stretching is positively correlated with the degree of polymerization of polymer chains. In addition, the observed stretching vibration of Si-O bonds in Q3 is relatively weak, and the change in different curing temperature is not significant. Collectively, the changes observed in the FT-IR spectra for the Q1 and Q2 sites indicate that low curing temperature leads to a reduced degree of polymerization of silicate chains.
3.1.3. Elemental Composition
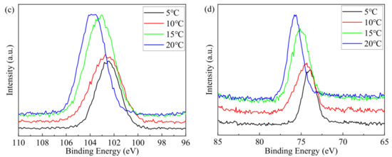
Using XPS test to determine the changes in the binding energies of O, Ca, Si, and Al elements in the secondary outer layer of CPBs under different curing temperature conditions. Figure 5 shows the XPS spectra of the main elements in CPBs under different curing temperatures. Due to the different chemical environments of atoms, the binding energy of electrons change, resulting in shifts in the spectral peaks on the spectrum. Further analysis of the chemical valence states of O and Ca elements was conducted by peak separation fitting of XPS spectra [36,37]. The BO/NBO and Ca 2p1/2/Ca 2p2/3 ratios presented here are the median values derived from peak-fitting analysis of three independent XPS measurements on parallel specimens. The relative standard deviation for these ratio determinations across the replicate measurements is within ±3.5%.

Figure 5.
XPS spectra of (a) O; (b) Ca; (c) Si; (d) Al elements of CPBs under different curing temperatures.
The Si-O bond length of BOs is greater than that of NBOs. According to the literature [29], the binding energy of NBOs is 530–530.5 eV and the range of BOs is 531.5–532.7 eV. Figure 5a shows the peak splitting results of O1s and the proportion of BOs and NBOs in CPBs shows significant changes under different curing temperatures. With the increase in curing temperature, the peak position gradually shifts to the high field, the proportion of Bos increases, and the proportion of NBOs decreases, indicating that the polymerization degree of C-S-H gel under low curing temperature is low, which is consistent with the results of FT-IR and XRD.
The binding energy of Ca 2p orbitals contains two characteristic peaks. According to the XPS principle, under X-ray excitation, 2p layer electrons undergo energy level splitting due to spin–orbit coupling. Therefore, the two peaks in the XPS spectra belong to Ca 2p3/2 orbitals and Ca 2pl/2 orbitals, respectively. According to the literature [39], the XPS binding energy centers of Ca 2p in dicalcium silicate and tricalcium silicate are located at 346.87 eV and 346.55 eV, respectively, similar to the Ca 2p3/2 peak with lower binding energy. The Ca 2p binding energy of C-A-S-H formed after hydration is higher, similar to the Ca 2p1/2 peak. Compared to the result under room temperature curing conditions, the binding energy of Ca 2p orbitals is lower at lower curing temperatures, and the proportion of Ca 2p3/2 peak is larger, while the proportion of Ca 2p1/2 peak is smaller.
Dicalcium silicate and tricalcium silicate tend to have low Si 2p binding energies, while the Si 2p binding energy of C-A-S-H is higher. At lower curing temperatures, the hydration reaction inside CPBs is incomplete, resulting in a lower degree of polymerization of the chain silicate formed, leading to a lower binding energy of Si 2p orbitals. As shown in Figure 5d, with the increase in curing temperature, the main peak of Al 2p binding energy gradually shifts towards higher fields. Aluminum oxygen tetrahedra [AlO4] and silicon oxygen tetrahedra [SiO4] have similar structures, with binding energies ranging from 73.40 to 74.55 eV and 74.10–75.00 eV for [AlO4] and [AlO6], respectively. When the aluminum content is high, due to the stronger negative charge carried by the aluminum oxygen tetrahedra [AlO4], the balance of the [SiO4] network itself deteriorates. In order to maintain the balance of the system, some aluminum becomes six-coordinated. The observed shift in the Al 2p peak to higher binding energy could be interpreted as more aluminosilicates undergoing depolymerization during the hydration reaction to form [Al(OH)6]3− groups, which combine with Ca2+ and SO42− to form complex salt minerals such as ettringite.
The observed shifts in XPS binding energies are not merely spectral features but carry direct chemical significance regarding the evolution of the C-S-H gel under different curing temperatures. The increase in the BO/NBO ratio of O 1s with rising temperature provides direct evidence at the electronic level for the enhanced polymerization and cross-linking of the silicate chains, leading to a more continuous and robust gel network [29]. This is corroborated by the shift in the Si 2p peak to higher binding energy, characteristic of a more polymerized silicate environment in C-S-H, as opposed to the lower binding energy of unreacted clinker phases. Concurrently, the increase in the proportion of the higher binding energy Ca 2p component indicates a greater abundance of calcium in hydrated products like C-A-S-H, rather than in pristine C2S/C3S. These coordinated changes clearly depict a temperature-driven transition from a system rich in discrete, weakly connected units (low BOs, clinker-like Si/Ca states) to one dominated by a highly polymerized, interconnected matrix. This evolution at the microscale directly underpins the macroscopic observations: a more polymerized and continuous gel network enhances the cohesion but also facilitates more brittle fracture by allowing cracks to propagate through the now-continuous, but less ductile, silicate structure.
3.1.4. Material Composition
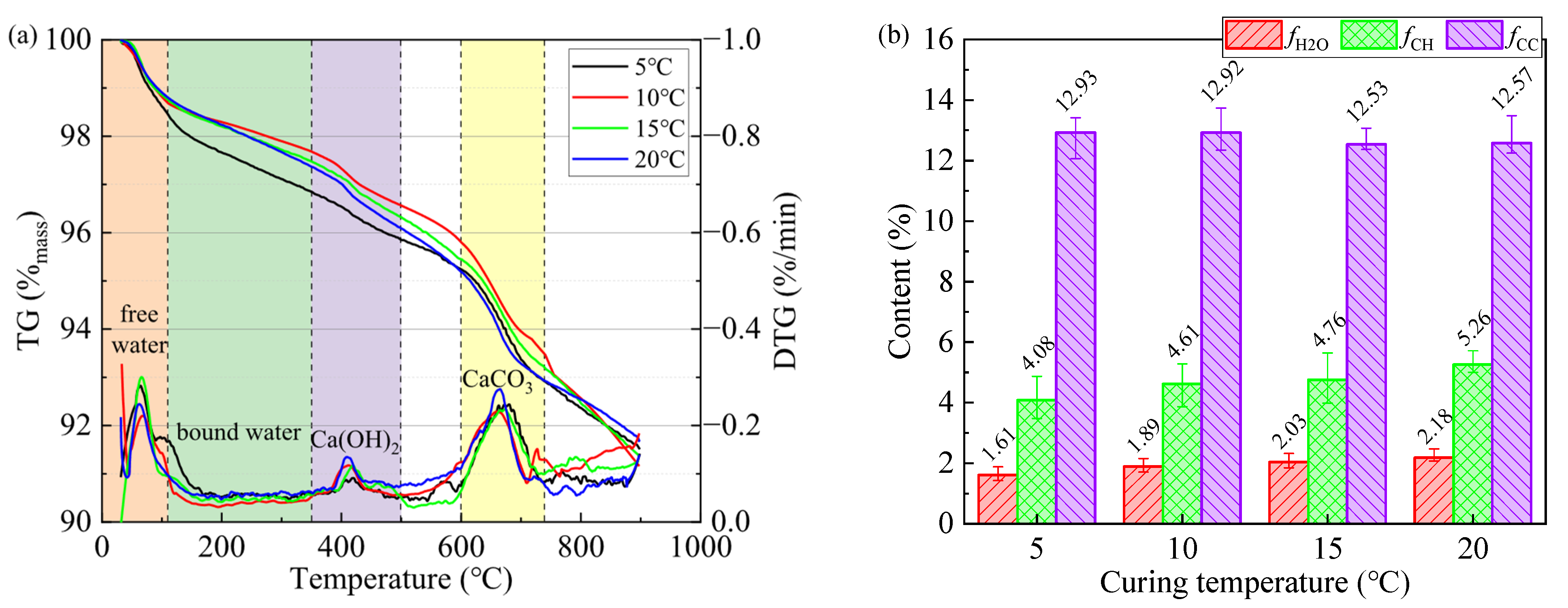
Figure 6a shows the TG-DTG curves of CPBs under different curing temperatures. According to observations, all samples have three main weight loss peaks between 30 and 900 °C [40,41]. Based on the existing experience of thermogravimetric analysis of cement hydration products, it is concluded that the loss of bound water in cement-based materials is between 110 and 600 °C [42,43,44], with a mass loss recorded as %mL1. The loss of loose bound water in Ca(OH)2 occurs between 350 and 500 °C [45,46], with a mass loss recorded as %mL2. The decomposition of CaCO3 generally occurs between 600 and 740 °C [47,48], with a mass loss recorded as %mL3. In addition, the mass loss between 30 and 110 °C is believed to come from free water and evaporated water in the material [49]. The formula provided in the literature [50] can be used to calculate the content of bound water, Ca(OH)2, and CaCO3:
where MH2O, MCH, and MCC represent the molar masses of bound water, Ca(OH)2, and CaCO3, respectively. Figure 6b shows the content of bound water, Ca(OH)2, and CaCO3 in CPBs under different curing temperatures. The internal bound water content and CH content of CPBs are closely related to the curing temperature. As the curing temperature increases, the hydration degree of cement in CPBs increases, producing more hydration products such as C-S-H and Ca(OH)2. More free water is converted into bound water in the hydration products. The mass loss of CPBs at 30–110 °C for the four curing temperatures is 1.55%, 1.32%, 1.24%, and 1.26%, respectively. As the curing temperature increased from 5 °C to 20 °C, the content of free water inside CPBs decreased by 18.84%, the content of bound water increased by 35.49%, and the content of Ca(OH)2 increased by 28.86%. In addition, a large amount of CaCO3 is found in the TG results, which is due to the inevitable carbonization during the curing process of CPBs and the preparation process of TG test samples.
Figure 6.
(a) TG-DTG curves and (b) quantitative analysis results of CPBs under different curing temperatures.
After obtaining the content of Ca(OH)2 and CaCO3, the remaining bound water is considered to come from C-S-H. The stoichiometric formula for C-S-H is (CaO)C/S∙(SiO2)∙(H2O)x, where C/S and x are determined according to Equations (4) and (5) [38,51]:
where represents the volume C/S molar ratio of CPB, determined by XRF results (Table 3). Based on the above rules, we calculated the parameters of the C-S-H stoichiometric formula and presented them in Table 4. From the calculation results, it can be seen that the C/S ratio of all samples is at a very low level, which is due to the high tailings content in CPBs, and the actual C/S ratio of CPB is smaller than its ratio. As a whole, with the increase in curing temperature, the C/S of CPBs slightly increases, indicating the inhibitory effect of low temperature on hydration process. In this study, the stoichiometric formulas for C-S-H in CPBs at four curing temperatures are approximately C0.25SH0.07, C0.26SH0.09, C0.27SH0.10, and C0.28SH0.11, respectively.
Table 3.
XRF results of CPBs under different curing temperatures.
Table 4.
TGA results of C-S-H stoichiometry in CPBs under different curing temperatures.
The calculated C/S ratios in all samples are notably low (0.25–0.29), which is a direct consequence of the high proportion of inert tailings (c/t = 1:8) that dilutes the cementitious components. Such low C/S ratios fall well below the typical range for conventional C-S-H in pure Portland cement systems (often 1.2–1.7) [52]. C-S-H with low C/S is reported to have a lower intrinsic density, reduced chemical stability in aggressive environments, and potentially higher long-term solubility, which could affect durability [53]. Therefore, the performance and aging behavior of CPB with low-C/S may not be fully predictable by conventional models, highlighting a unique aspect of heavily tailings-loaded backfill systems.
3.1.5. Qn Distribution
29Si NMR can provide quantitative information on silicon components in different Si-O tetrahedral environments, and the Qn distribution of silicate chains in samples can be obtained through peak fitting, where Q is the silicate tetrahedron and n represents the amount of oxygen in the adjacent bridged tetrahedrons (0 ≤ n ≤ 4) [45]. Q0 exhibits typical characteristics of cement clinker such as C3S and C2S in OPC [54]. Q1 is a terminal silicate tetrahedron and dimer and C-S-H in fresh slurry is mainly composed of dimer silicate chains [28,55]. Q2 is a tetrahedral silicate in the middle of the chain, connected to two other tetrahedral silicates, and can be divided into bridging units and pairing units [56,57]. It is widely regarded as the main contributor to the layered structure. Q3 is a layer and chain branching silicate tetrahedron, which refers to the Si-O tetrahedron at the junction of two silicate chains [58,59]. Q4 represents highly polymerized amorphous silica gel [60]. Figure 7 shows the 29Si NMR spectra and corresponding deconvolution fitting results of CPBs under different curing temperatures. The chemical shift distributions of the five silicate tetrahedra are as follows: Q0 is about 71.0 ppm, Q1 is about 80.0 ppm, Q2 is about 86.3 ppm, Q3 is about 92.0 ppm, and Q4 is about 107.0 ppm. Usually, MCL can be calculated based on the ratio of Qn and Equation (6) [57,58], and the average polymerization degree (nc) can be calculated from Equation (7) [59,60,61].
Figure 7.
29Si NMR spectra and deconvolution results of CPB under different curing temperatures: (a) 5 °C; (b) 10 °C; (c) 15 °C; (d) 20 °C.
Table 5 presents the deconvolution results of 29Si NMR spectra. The percentages are derived from the deconvolution of NMR spectra, and the variation across three measurements is within ±1.5% for major Qn components. Under low curing temperature conditions, the proportion of unreacted cement clinker in CPBs increases, further indicating the inhibitory effect of low-temperature on the hydration of CPBs. For all samples, Q2 accounts for the largest proportion, approximately 40–50%, followed by Q1. These two components constitute the main part of C-S-H, with Q1 and Q2 together comprising about 60% of the total. And as the curing temperature increases, the proportion of Q2 increases and Q1 decreases, indicating that more dimers form pentamers and higher polymers through bridging tetrahedral connections and that the chain length and polymerization degree of CPB increase. The calculated MCL and nc also prove this phenomenon. As the curing temperature increased from 5 °C to 20 °C, the MCL increased from 9.29 to 13.40, the number of short silicate chains decreased, the number of long silicate chains increased, and nc increased from 2.08 to 2.13, indicating that high curing temperature promoted the polymerization connection between short silicate chains, while short silicate chains are generally stable at low temperature conditions, indicating low reaction activity.
Table 5.
The percentage of silicate tetrahedra with different states and MCL and nc calculation results obtained from the deconvolution results of 29Si NMR spectra.
3.2. Analysis of Macroscopic Shear Performance of CPBs
3.2.1. Macroscopic Shear Behavior and Failure Mode
Figure 8 shows the shear stress-shear displacement curves of CPBs under different curing temperatures. The curves of different curing temperatures and normal stresses exhibit similar evolution patterns. As the shear displacement increases, the shear stress of CPBs continues to increase. Before reaching the peak shear stress, the curve can be divided into two stages: the elastic stage and the yield stage. The yielding stage mainly occurs in samples under low curing temperature conditions, where the slope of the shear stress-shear displacement curve shows a significant decrease before the peak. Under higher curing temperatures, the yielding stage of CPBs is not obvious. This is because CPB under low curing temperatures has certain plastic characteristics, and as the curing temperature increases, the CPB gradually transitions to brittleness [61]. After reaching the peak stress, the curve first enters the post-peak decline stage, and the shear stress of CPB gradually decreases with the increase in shear displacement. After a certain distance of shear, the shear stress tends to be stable, and CPB enters the post-peak stable stage.
Figure 8.
Shear stress-shear displacement curves of CPBs under different curing temperatures: (a) 5 °C; (b) 10 °C; (c) 15 °C; (d) 20 °C.
The distinct characteristics of the shear stress-displacement curves under different curing temperatures can be interpreted through the evolution of the internal microstructure, as detailed in Section 3.1 and Section 3.3. At low temperatures (5–10 °C), the inhibited hydration results in a porous, defective matrix with weak interfacial bonding. During shearing, these pre-existing micro-defects and microcracks undergo gradual activation, closure, and frictional slip before reaching the peak stress. This process dissipates energy and accounts for the pronounced yield stage observed in the curves, where the slope decreases significantly. The overall lower peak strength and the more gradual post-peak decline reflect the material’s ability to undergo distributed, plastic-like damage. In contrast, at higher temperatures (15–20 °C), the formation of a more continuous, polymerized, and denser C-S-H gel matrix creates stronger cohesive bonds. This leads to a higher elasticity modulus and peak shear strength. However, this homogeneous and strong matrix stores greater elastic energy with limited ductile mechanisms for energy dissipation. Consequently, once the peak strength is exceeded, failure localizes rapidly along a dominant shear plane, resulting in an abrupt post-peak stress drop and a less obvious yield stage, which are hallmark features of a brittle transition.
The shear strain characteristics of CPBs perpendicular to the shear direction surface were obtained using DIC technology, as shown in Table 6. The development law of shear cracks in CPBs during direct shear process is complex. When the curing temperature is low and the normal stress is low, the number of shear cracks in CPBs is high, and they mainly occur in the upper half of the shear box. As the curing temperature and normal stress increase, the main shear crack gradually approaches the experimental shear plane, transforming from an inclined crack to a horizontal crack. At the same time, the number of shear cracks decreases and the CPB basically only fails along the shear direction.
Table 6.
Shear strain characteristics of CPBs.
3.2.2. Macroscopic Shear Parameters
As shown in Figure 9a, the peak shear strength of CPBs increases with the increase in normal stress under the same curing temperature. The Mohr–Coulomb failure criterion was used to fit the relationship between the peak shear strength and normal stress of CPBs under different curing temperatures. The fitting result is shown in Equation (8), the macroscopic shear performance of CPBs conforms to the Mohr–Coulomb failure criterion.
where τp is the peak shear strength, kPa; σn is the normal stress, kPa; R2 is the correlation coefficient. According to Equation (8), the cohesion and internal friction angle of CPBs under different curing temperatures are obtained, as shown in Figure 9b. When the curing temperature increases from 5 °C to 20 °C, the cohesion of CPBs are 163.83 kPa, 193.82 kPa, 267.74 kPa, and 300.55 kPa, respectively, and the internal friction angles are 63.21°, 67.58°, 67.90°, and 68.76°, respectively. As the curing temperature increases, the cohesion of CPBs shows a linear increase trend and the internal friction angle shows an exponential increase trend.
Figure 9.
(a) peak shear stress, (b) cohesion and internal friction angle of CPBs.
3.3. Analysis of Microstructure of CPBs
The microstructure of CPBs under different curing temperatures is shown in Figure 10. This image includes SEM images, 3D pseudo-color enhancement map, 2D grayscale profile lines, and macro and micro parameters of CPBs obtained from previous analysis. To enhance the contrast and quantitative perception of surface topography and pore distribution in the SEM images, 3D pseudo-color maps were generated using ImageJ (v1.52p) software. The process involved: (1) importing the original 8-bit grayscale SEM image; (2) applying a consistent noise reduction filter (e.g., Gaussian blur, σ = 2); (3) converting the 2D grayscale image into a 3D surface plot, where the grayscale intensity (0–255) was directly mapped to the Z-axis height (darker pixels representing lower regions like pores/cracks, and brighter pixels representing higher regions like C-S-H gel); and (4) applying a standardized color lookup table to the height map to produce the final pseudo-color visualization. This process does not alter the relative structural information but provides an intuitive representation of surface roughness and defect distribution.

Figure 10.
Microstructure and grayscale of CPBs under different curing temperatures: (a) 5 °C; (b) 10 °C; (c) 15 °C; (d) 20 °C.
SEM images revealed that the hydration products in CPBs are mainly clustered C-S-H gel. These hydration products attach to the surface of the tailing particles and the discrete tailings can be cemented together to form a macro strength. When the curing temperature is low, it can be clearly observed that there are often one or several cracks around the tailing particles, with a width of about 1–2 μm and a length that varies with the surface distribution of the tailing particles. The incomplete contact between the tailings and C-S-H gel forms weak planes at the micrometer level and these weak planes with poor bonding lead to a decrease in the strength of CPB. At the same time, according to the grayscale image, it can be seen that there are more pores present in CPBs under low curing temperature environment and that the density of CPBs decreases.
The microstructural observations provide direct evidence for the evolution of macroscopic mechanical properties. At lower curing temperatures (e.g., 5 °C), the prevalent microcracks and incomplete C-S-H coating around tailings particles create numerous weak interfaces and defects. This discontinuous matrix leads to poor stress transfer, resulting in lower cohesive strength and allowing for more plastic deformation as cracks navigate around these defects. In contrast, at higher temperatures (e.g., 20 °C), the more complete and densely packed C-S-H gel forms a continuous matrix that effectively bonds the tailings particles. This enhances the cohesion by improving the interfacial bonding strength. However, this homogeneity also means that once a crack initiates, it can propagate through the uniformly strong but less ductile gel phase with minimal obstruction, leading to the more brittle failure mode observed.
3.4. The Influence of Low Curing Temperature on CPB
Based on the comprehensive experimental results, it can be concluded that low curing temperatures not only retard the hydration process of cement-based materials but also fundamentally alter the microstructural evolution and integrity of the hydration products, leading to the degradation of macroscopic mechanical properties. To visually illustrate the effect of curing temperature on the hydration products of CPB (particularly the C-S-H gel), Figure 11 depicts the formation process and structural evolution of the C-S-H gel under different curing temperatures.
Figure 11.
Schematic diagram of the performance evolution of hydration products inside CPB under different curing temperatures.
- (1)
- Microstructural conditioning under low curing temperatures
Low curing temperatures (5–10 °C) reduce the reactivity of cement clinker in CPB. This inhibitory effect has two direct consequences at the micro-scale: inhibiting hydration and forming a defective matrix.
Reduced quantity and altered quality of C-S-H gel: According to 29Si NMR and FT-IR/XPS analyses, the silicate chains within the C-S-H gel under low curing temperatures exhibit a lower degree of polymerization and a shorter mean chain length [27]. The silicate chains in the C-S-H gel predominantly exist in the form of dimers and cannot polymerize and connect into polymers, resulting in gel with more amorphous structural characteristics at the molecular level [62]. This leads to C-S-H gel with lower intrinsic cohesive strength and stiffness.
Increased porosity and micro-defects: TG results indicate that low curing temperatures lead to an insufficient volume of hydration products and poorly polymerized gel within the CPB, directly resulting in a higher porosity and coarsened pore structure with increased connectivity. SEM observations reveal that the weak, underdeveloped C-S-H gel fails to form a continuous, dense coating around the abundant tailings particles. Micrometer-scale gaps and interfacial cracks (1–2 μm in width) are frequently observed at the tailings-C-S-H interface.
- (2)
- Genesis of “cold shrinkage” and microcracking
The microcracks around tailings particles are the macroscopic manifestation of low curing temperature conditioning processes and their formation is influenced by multiple phenomena [30]:
Thermophysical shrinkage and tensile stress: According to hydration kinetics studies [63], cement-based materials release a significant amount of heat during the early stages of hydration. This heat subsequently dissipates rapidly, returning the material to ambient temperature. The hydration product components contract upon cooling, generating internal tensile stress.
Hydration inhibits shrinkage and moisture stress: Retarded hydration affects pore water distribution and phase stability [64]. The migration of unfrozen water and moisture consumption during the hydration process can induce localized crystallization pressure.
Stress concentration on a weakened matrix: The aforementioned tensile and moisture stresses act upon a microstructure that is already weak, discontinuous, and rich in pre-existing flaws. This defective matrix has low fracture toughness, causing these stresses to readily concentrate at the weak tailings-C-S-H interfaces and initiate the observed microcracks, rather than being accommodated elastically.
Therefore, the term “cold shrinkage” is introduced to describe this macroscopic outcome of physical stresses acting on a temperature-conditioned, vulnerable microstructure.
- (3)
- Linking microstructure to macroscopic performance
Low cohesion and quasi ductile response (5–10 °C): The porous matrix, poor interfacial bonding, and distributed microcracks create numerous weak links. During shear, stress cannot be effectively transferred, leading to low cohesion. Failure requires the progressive activation, friction, and interconnection of these distributed defects, which dissipates energy and results in a prolonged yield stage and gradual post-peak softening in the stress-displacement curve.
High cohesion and brittle fracture (15–20 °C): Enhanced hydration produces a more continuous, polymerized, and denser C-S-H network, which strongly bonds the tailings particles, leading to a sharp increase in cohesion. However, this homogeneous, strong matrix stores high elastic energy with minimal plastic dissipation mechanisms. Consequently, upon reaching peak stress, failure develops rapidly along a dominant plane, resulting in a sudden stress drop and brittle behavior. The transition from a diffuse damage mode to a localized fracture mode explains the shift from a quasi-ductile to a brittle response with increasing temperature.
4. Conclusions
This study systematically investigated the influence mechanisms of curing temperatures (5–20 °C) on the properties of CPB through multi-scale characterization and mechanical testing. The main conclusions are as follows:
- Inhibition of hydration and microstructural degradation under low curing temperatures: Low temperatures (5–10 °C) significantly reduce the reactivity of cement clinker (C3S, C2S) and the polymerization degree of silicate chains. This results in a reduced quantity of C-S-H gel with shorter chain structures, a high-porosity matrix, and the formation of microcracks at the tailings interface, creating inherent structural defects.
- Response mechanism of macroscopic mechanical properties: The defective microstructure formed at low temperatures leads to low cohesion in CPB and demonstrates a certain capacity for plastic deformation during shear. As temperature increases, a more continuous and denser C-S-H matrix causes cohesion to increase linearly. However, this homogeneous and strong network also promotes a transition to a brittle failure mode, with the internal friction angle showing an exponential growth trend.
- Mechanistic explanation of “cold shrinkage”: The study clarifies that “cold shrinkage” is the synergistic result of thermal contraction, moisture stress induced by hydration inhibition, and a vulnerable microstructure. Low temperatures weaken the matrix’s ability to resist stress, causing microcracks to preferentially initiate and propagate at weak interfaces.
The findings of this study provide direct guidance for the engineering design and construction of CPB in high-altitude cold regions:
- Strength design: The significant reduction in early-age strength under low-temperature conditions must be fully considered and strength development models based on standard temperature (20 °C) should not be directly applied. It is recommended to ensure early strength by adjusting the mix proportion (e.g., appropriately increasing the binder content).
- Stability assessment: The microstructural heterogeneity and high porosity caused by low curing temperature may affect the long-term permeability and weathering resistance of the CPB mass. When evaluating the long-term stability of backfill in cold regions, the “low-temperature curing history” should be incorporated as a key factor.
While this study focused on the decisive early-age (7-day) mechanisms and properties critical for operational planning, the long-term evolution of CPB performance under sustained low temperatures remains an essential topic for assessing in-service durability and is a clear priority for future investigation.
Author Contributions
Conceptualization, P.L.; methodology, J.W.; software, W.X. and X.Q.; validation, W.X.; formal analysis, C.Z. and J.F.; investigation, C.Z. and W.X.; resources, J.F.; data curation, P.L.; writing—original draft preparation, C.Z.; writing—review and editing, J.W. and J.L.; visualization, X.Q.; supervision, W.S. and J.W.; project administration, W.S. All authors have read and agreed to the published version of the manuscript.
Funding
This experimental work was financially supported by the National Natural Science Foundation of China (52304120) and the National Key Research and Development Program of China (2022YFC2905003) for financial support.
Data Availability Statement
The raw data supporting the conclusions of this article will be made available by the authors on request.
Acknowledgments
The experimental works described in this study were conducted at the Key Laboratory of High-Efficient Mining and Safety of Metal Mines of the Ministry of Education in the University of Science and Technology Beijing. The authors gratefully acknowledge the staff and students at the laboratory for technical help during testing.
Conflicts of Interest
Authors Pengjin Liu and Xiaofei Qiao were employed by the Shandong Gold Group Co., Ltd. The remaining authors declare that the research was conducted in the absence of any commercial or financial relationships that could be construed as a potential conflict of interest.
References
- Falmagne, V.; St-Onge, N. Ground support challenges in arctic mining conditions. In Proceedings of the Ninth International Symposium on Ground Support in Mining and Underground Construction, Sudbury, ON, Canada, 23–25 October 2019; Australian Centre for Geomechanics: Perth, Australia, 2019; pp. 139–154. [Google Scholar] [CrossRef][Green Version]
- Zhou, Y.; Fall, M. Strength, Deformation Behavior, and Microstructure of Cement Paste Backfill with Calcium Chloride in Subzero Environments. J. Cold Reg. Eng. 2023, 37, 04023005. [Google Scholar] [CrossRef]
- Wang, B.; Li, Q.; Wang, R.; Wang, D.; Dong, P. Mechanical strength and hydration exothermic behavior of cemented paste backfill with early-strength agent under low temperature. Int. J. Min. Reclam. Environ. 2022, 36, 710–723. [Google Scholar] [CrossRef]
- Nasir, O.; Fall, M. Coupling binder hydration, temperature and compressive strength development of underground cemented paste backfill at early ages. Tunn. Undergr. Space Technol. 2010, 25, 9–20. [Google Scholar] [CrossRef]
- Cui, L.; Fall, M. Multiphysics Modeling and Simulation of Strength Development and Distribution in Cemented Tailings Backfill Structures. Int. J. Concr. Struct. Mater. 2018, 12, 25. [Google Scholar] [CrossRef]
- Hou, C.; Zhu, W.; Yan, B.; Guan, K.; Du, J. The effects of temperature and binder content on the behavior of frozen cemented tailings backfill at early ages. Constr. Build. Mater. 2020, 239, 117752. [Google Scholar] [CrossRef]
- Cao, W.; Sheng, Y.; Qin, Y.; Li, J.; Wu, J. An application of a new method in permafrost environment assessment of Muli mining area in Qinghai-Tibet Plateau, China. Environ. Earth Sci. 2011, 63, 609–616. [Google Scholar] [CrossRef]
- Wu, J.; Wang, G.; Chen, W.; Pan, S.; Zeng, J. Terrain gradient variations in the ecosystem services value of the qinghai-tibet plateau, China. Glob. Ecol. Conserv. 2022, 34, e02008. [Google Scholar] [CrossRef]
- Liu, L.; Fang, Z.; Wang, M.; Qi, C.; Zhao, Y.; Huan, C. Experimental and numerical study on rheological properties of ice-containing cement paste backfill slurry. Powder Technol. 2020, 370, 206–214. [Google Scholar] [CrossRef]
- Zhou, Y.; Fall, M.; Haruna, S. Flow ability of cemented paste backfill with chloride-free antifreeze additives in sub-zero environments. Cem. Concr. Compos. 2022, 126, 104359. [Google Scholar] [CrossRef]
- Wu, A.; Wang, Y.; Ruan, Z.; Xiao, B.; Wang, J.; Wang, L. Key theory and technology of cemented paste backfill for green mining of metal mines. Green Smart Min. Eng. 2024, 1, 27–39. [Google Scholar] [CrossRef]
- Jiskani, I.M.; Cai, Q.; Zhou, W.; Ali Shah, S.A. Green and climate-smart mining: A framework to analyze open-pit mines for cleaner mineral production. Resour. Policy 2021, 71, 102007. [Google Scholar] [CrossRef]
- Zheng, J.; Zhu, Y.; Zhao, Z. Utilization of limestone powder and water-reducing admixture in cemented paste backfill of coarse copper mine tailings. Constr. Build. Mater. 2016, 124, 31–36. [Google Scholar] [CrossRef]
- Sari, M.; Yilmaz, E.; Kasap, T. Long-term ageing characteristics of cemented paste backfill: Usability of sand as a partial substitute of hazardous tailings. J. Clean. Prod. 2023, 401, 136723. [Google Scholar] [CrossRef]
- Lu, J.; Tan, L.; Pei, W.; Gao, J.; Deng, F.; Zhou, X.; Zhang, Z. Shear behavior of cement-stabilized silty clay exposed to low-temperature curing. Cold Reg. Sci. Technol. 2024, 223, 104215. [Google Scholar] [CrossRef]
- Jiang, H.; Fall, M. Yield stress and strength of saline cemented tailings in sub-zero environments: Portland cement paste backfill. Int. J. Miner. Process. 2017, 160, 68–75. [Google Scholar] [CrossRef]
- Benzaazoua, M.; Bussière, B.; Demers, I.; Aubertin, M.; Fried, É.; Blier, A. Integrated mine tailings management by combining environmental desulphurization and cemented paste backfill: Application to mine Doyon, Quebec, Canada. Miner. Eng. 2008, 21, 330–340. [Google Scholar] [CrossRef]
- Jiang, H.; Fall, M.; Cui, L. Freezing behaviour of cemented paste backfill material in column experiments. Constr. Build. Mater. 2017, 147, 837–846. [Google Scholar] [CrossRef]
- Thomas, G. Characteristics and Behaviour of Hydraulic Fill Material. Ph.D. Thesis, University of Queensland, Brisbane, Australia, 1969. [Google Scholar]
- Fall, M.; Célestin, J.C.; Pokharel, M.; Touré, M. A contribution to understanding the effects of curing temperature on the mechanical properties of mine cemented tailings backfill. Eng. Geol. 2010, 114, 397–413. [Google Scholar] [CrossRef]
- Pokharel, M.; Fall, M. Combined influence of sulphate and temperature on the saturated hydraulic conductivity of hardened cemented paste backfill. Cem. Concr. Compos. 2013, 38, 21–28. [Google Scholar] [CrossRef]
- Fall, M.; Benzaazoua, M.; Saa, E.G. Mix proportioning of underground cemented tailings backfill. Tunn. Undergr. Space Technol. 2008, 23, 80–90. [Google Scholar] [CrossRef]
- Wang, B.; Li, Q.; Dong, P.; Gan, S.; Yang, L.; Wang, R. Performance investigation of blast furnace slag based cemented paste backfill under low temperature and low atmospheric pressure. Constr. Build. Mater. 2023, 363, 129744. [Google Scholar] [CrossRef]
- Xu, W.; Zhang, Y.; Liu, B. Influence of silica fume and low curing temperature on mechanical property of cemented paste backfill. Constr. Build. Mater. 2020, 254, 119305. [Google Scholar] [CrossRef]
- Xu, W.; Zhang, Y.; Zuo, X.; Hong, M. Time-dependent rheological and mechanical properties of silica fume modified cemented tailings backfill in low temperature environment. Cem. Concr. Compos. 2020, 114, 103804. [Google Scholar] [CrossRef]
- Han, B.; Zhang, S.; Sun, W. Impact of Temperature on the Strength Development of the Tailing-Waste Rock Backfill of a Gold Mine. Adv. Civ. Eng. 2019, 2019, 4379606. [Google Scholar] [CrossRef]
- Gallucci, E.; Zhang, X.; Scrivener, K.L. Effect of temperature on the microstructure of calcium silicate hydrate (C-S-H). Cem. Concr. Res. 2013, 53, 185–195. [Google Scholar] [CrossRef]
- Chiang, Y.; Chang, S.-W. Bridging the gap between NMR measured mean silicate chain length and nano-scale silicate polymorphism of calcium silicate hydrates. Cem. Concr. Res. 2021, 140, 106268. [Google Scholar] [CrossRef]
- Black, L.; Garbev, K.; Stemmermann, P.; Hallam, K.R.; Allen, G.C. Characterisation of crystalline C-S-H phases by X-ray photoelectron spectroscopy. Cem. Concr. Res. 2003, 33, 899–911. [Google Scholar] [CrossRef]
- Wang, Y.; Wu, Z.; Teng, L.; Zheng, X.; Li, K.; Zhang, Y. A review of concrete exposed to low-temperature environments at early ages: Fresh properties and microstructure. J. Build. Eng. 2026, 118, 115014. [Google Scholar] [CrossRef]
- Asadizadeh, M.; Hedayat, A.; Tunstall, L.; Gonzalez, J.A.V.; Alvarado, J.W.V.; Neira, M.T. The impact of slag on the process of geopolymerization and the mechanical performance of mine-tailings-based alkali-activated lightweight aggregates. Constr. Build. Mater. 2024, 411, 134347. [Google Scholar] [CrossRef]
- Mondal, S.K.; Okoronkwo, M.U. Seeding effects of submicron CaAl-NO3 LDH particles on the hydration and properties of Portland cement and sulfoaluminate cement pastes. Constr. Build. Mater. 2024, 423, 135870. [Google Scholar] [CrossRef]
- Wang, D.; Sun, Z.; Lu, Z.; Zhang, T.; Yang, J.; Ji, Y. Hydration characteristics and mechanism analysis of β-calcium sulfate hemihydrate based on low-field NMR. J. Build. Eng. 2023, 80, 108077. [Google Scholar] [CrossRef]
- Bergold, S.T.; Goetz-Neunhoeffer, F.; Neubauer, J. Quantitative analysis of C–S–H in hydrating alite pastes by in-situ XRD. Cem. Concr. Res. 2013, 53, 119–126. [Google Scholar] [CrossRef]
- Li, Q.; Wang, B.; Yang, L.; Kang, M. Recycling multisource industrial waste residues as green binder for cemented ultrafine tailings backfill: Hydration kinetics, mechanical properties, and solidification mechanism. Powder Technol. 2024, 441, 119799. [Google Scholar] [CrossRef]
- Li, X.; Gu, X.; Liu, B.; Li, Z.; Zhang, W.; Liu, J.; Nehdi, M.L. Evaluation of waste powder from open pit mines as supplementary cementitious material: Crystal structure and hydration characteristics. J. Build. Eng. 2023, 71, 106514. [Google Scholar] [CrossRef]
- Shen, Y.; Li, Q.; Xu, S. Microwave absorption properties of cementitious composites containing carbonyl iron powder (CIP) and fly ash: Formation and effect of CIP core–shell structure. Cem. Concr. Compos. 2022, 131, 104559. [Google Scholar] [CrossRef]
- Zhu, X.; Qian, C.; He, B.; Chen, Q.; Jiang, Z. Experimental study on the stability of C-S-H nanostructures with varying bulk CaO/SiO2 ratios under cryogenic attack. Cem. Concr. Res. 2020, 135, 106114. [Google Scholar] [CrossRef]
- Huang, H.; Peng, C.; Luo, J.; Sun, T.; Deng, T.; Hu, J.; He, Z.; Wei, J.; Yu, Q.; Anvarovna, K.G.; et al. Micromechanical properties of interfacial transition zone between carbon fibers and UHPC matrix based on nano-scratching tests. Cem. Concr. Compos. 2023, 139, 105014. [Google Scholar] [CrossRef]
- Liang, G.; Liu, T.; Li, H.; Wu, K. Shrinkage mitigation, strength enhancement and microstructure improvement of alkali-activated slag/fly ash binders by ultrafine waste concrete powder. Compos. Part B Eng. 2022, 231, 109570. [Google Scholar] [CrossRef]
- Yeşilmen, S.; Al-Najjar, Y.; Balav, M.H.; Şahmaran, M.; Yıldırım, G.; Lachemi, M. Nano-modification to improve the ductility of cementitious composites. Cem. Concr. Res. 2015, 76, 170–179. [Google Scholar] [CrossRef]
- Ma, S.; Zhang, Z.; Liu, X.; Han, F. Quantitative characterization of the early hydration of magnesium potassium phosphate cement: In-situ experiment with low field NMR. Constr. Build. Mater. 2023, 377, 131066. [Google Scholar] [CrossRef]
- Hou, X.; Ma, S.; Wang, X.; Ou, Y.; Liu, R. Transformation of fly ash into a fluffy C-S-H material: Enhancing chemical properties and advancing the utilization of portland cement. Constr. Build. Mater. 2024, 416, 135198. [Google Scholar] [CrossRef]
- Zhu, X.; Jiang, Z.; He, B.; Qian, C. Investigation on the physical stability of calcium-silicate-hydrate with varying CaO/SiO2 ratios under cryogenic attack. Constr. Build. Mater. 2020, 252, 119103. [Google Scholar] [CrossRef]
- Li, K.; Zhu, H.; Zhang, Z.; Zhu, Z.; Yin, Z.; Wu, Q.; Li, Z. Effect of microscale C–S–H on the properties of Portland cement and hydration kinetics analysis at different curing temperatures. Compos. Part B Eng. 2024, 280, 111461. [Google Scholar] [CrossRef]
- Jia, Z.; Zhang, Z.; Jia, L.; Cao, R.; Yu, C.; Yu, J.; Gao, Y.; Zhang, Y. Effect of different expansive agents on the early age structural build-up process of cement paste. Cem. Concr. Compos. 2023, 144, 105282. [Google Scholar] [CrossRef]
- Peng, L.; Jiang, Y.; Ban, J.; Shen, Y.; Ma, Z.; Zhao, Y.; Shen, P.; Poon, C.-S. Mechanism underlying early hydration kinetics of carbonated recycled concrete fines-ordinary portland cement (CRCF-OPC) paste. Cem. Concr. Compos. 2023, 144, 105275. [Google Scholar] [CrossRef]
- Yang, S.; He, S.; Liu, S. Effect of different curing temperatures on the hydration of polyacrylate emulsion polymer-modified cement. J. Build. Eng. 2024, 94, 109938. [Google Scholar] [CrossRef]
- Qu, Z.; Yan, Y.; Pel, L.; Ong, G.P.; Geng, G. Quantifying early age hydration and micro-structure evolution of fast setting binder using 1H NMR. Cem. Concr. Res. 2023, 174, 107343. [Google Scholar] [CrossRef]
- Cheng, Y.; Huang, F.; Li, W.; Liu, R.; Li, G.; Wei, J. Test research on the effects of mechanochemically activated iron tailings on the compressive strength of concrete. Constr. Build. Mater. 2016, 118, 164–170. [Google Scholar] [CrossRef]
- Kim, J.J.; Foley, E.M.; Reda Taha, M.M. Nano-mechanical characterization of synthetic calcium–silicate–hydrate (C–S–H) with varying CaO/SiO2 mixture ratios. Cem. Concr. Compos. 2013, 36, 65–70. [Google Scholar] [CrossRef]
- Lecomte, I.; Henrist, C.; Liégeois, M.; Maseri, F.; Rulmont, A.; Cloots, R. (Micro)-structural comparison between geopolymers, alkali-activated slag cement and portland cement. J. Eur. Ceram. Soc. 2006, 26, 3789–3797. [Google Scholar] [CrossRef]
- Tang, S.; Wang, Y.; Geng, Z.; Xu, X.; Yu, W.; A, H.; Chen, J. Structure, fractality, mechanics and durability of calcium silicate hydrates. Fractal Fract. 2021, 5, 47–81. [Google Scholar] [CrossRef]
- Zhou, Y.; Wang, Z.; Zhu, Z.; Chen, Y.; Zhou, L.; Xu, L.; Wu, K. Time-varying structure evolution and mechanism analysis of alite particles hydrated in restricted space. Constr. Build. Mater. 2022, 341, 127829. [Google Scholar] [CrossRef]
- Basquiroto De Souza, F.; Sagoe-Crentsil, K.; Duan, W. A century of research on calcium silicate hydrate (C–S–H): Leaping from structural characterization to nanoengineering. J. Am. Ceram. Soc. 2022, 105, 3081–3099. [Google Scholar] [CrossRef]
- Peyvandi, A.; Holmes, D.; Soroushian, P.; Balachandra, A.M. Monitoring of sulfate attack in concrete by 27Al and 29Si MAS NMR spectroscopy. J. Mater. Civ. Eng. 2015, 27, 04014226. [Google Scholar] [CrossRef]
- Zhu, Z.; Wang, Z.; Zhou, Y.; Wei, Y.; She, A. Synthesis and structure of calcium silicate hydrate (C-S-H) modified by hydroxyl-terminated polydimethylsiloxane (PDMS). Constr. Build. Mater. 2021, 267, 120731. [Google Scholar] [CrossRef]
- Richardson, I.G.; Groves, G.W. The structure of the calcium silicate hydrate phases present in hardened pastes of white Portland cement/blast-furnace slag blends. J. Mater. Sci. 1997, 32, 4793–4802. [Google Scholar] [CrossRef]
- Matsushita, F.; Aono, Y.; Shibata, S. Calcium silicate structure and carbonation shrinkage of a tobermorite-based material. Cem. Concr. Res. 2004, 34, 1251–1257. [Google Scholar] [CrossRef]
- Jiang, Y.; Shen, P.; Poon, C.S. Improving the bonding capacity of recycled concrete aggregate by creating a reactive shell with aqueous carbonation. Constr. Build. Mater. 2022, 315, 125733. [Google Scholar] [CrossRef]
- Sarker, P.K.; Haque, R.; Ramgolam, K.V. Fracture behaviour of heat cured fly ash based geopolymer concrete. Mater. Des. 2013, 44, 580–586. [Google Scholar] [CrossRef]
- Han, F.; Wang, J.; Ji, X.; Chen, S.; Liu, J.; Wu, M.; Liu, J. Insights into the hydration kinetics and microstructural evolution of ultra-high performance cementitious composite at mid-to-low curing temperatures. Constr. Build. Mater. 2025, 468, 140403. [Google Scholar] [CrossRef]
- Zhang, C.; Song, W.; Guo, J.; Taheri, A.; Wang, Y.; Wang, X. Hydration behavior, microstructural characteristics, and kinetic analysis of cemented tailings backfill under temperature effect. Case Stud. Constr. Mater. 2025, 23, e05081. [Google Scholar] [CrossRef]
- Zhang, C.; Song, W.; Taheri, A.; Fu, J.; Zhao, T.; Tan, Y. Hydration mechanism and mechanical-thermal correlation of cemented paste backfill under different curing temperatures. J. Build. Eng. 2024, 85, 108691. [Google Scholar] [CrossRef]
Disclaimer/Publisher’s Note: The statements, opinions and data contained in all publications are solely those of the individual author(s) and contributor(s) and not of MDPI and/or the editor(s). MDPI and/or the editor(s) disclaim responsibility for any injury to people or property resulting from any ideas, methods, instructions or products referred to in the content. |
© 2026 by the authors. Licensee MDPI, Basel, Switzerland. This article is an open access article distributed under the terms and conditions of the Creative Commons Attribution (CC BY) license.
























