Sign in to use this feature.

Years

Between: -

Subjects

remove_circle_outline
remove_circle_outline
remove_circle_outline
remove_circle_outline
remove_circle_outline
remove_circle_outline
remove_circle_outline
remove_circle_outline
remove_circle_outline

Journals

Article Types

Countries / Regions

Search Results (20)

Search Parameters:
Keywords = passive detection of obstacles

Order results
Result details
Results per page
Select all
Export citation of selected articles as:
20 pages, 7016 KB  
Article
Design, Analysis and Control of Tracked Mobile Robot with Passive Suspension on Rugged Terrain
by Junfeng Gao, Yi Li, Jingfu Jin, Zhicheng Jia and Chao Wei
Actuators 2025, 14(8), 389; https://doi.org/10.3390/act14080389 - 6 Aug 2025
Viewed by 632
Abstract
With the application of tracked mobile robots in detection and rescue, how to improve their stability and trafficability has become the research focus. In order to improve the driving ability and trafficability of tracked mobile robots in rugged terrain, this paper proposes a [...] Read more.
With the application of tracked mobile robots in detection and rescue, how to improve their stability and trafficability has become the research focus. In order to improve the driving ability and trafficability of tracked mobile robots in rugged terrain, this paper proposes a new type of tracked mobile robot using passive suspension. By adding a connecting rod differential mechanism between the left and right track mechanisms, the contact stability between the track and terrain is enhanced. The kinematics model and attitude relationship of the suspension are analyzed and established, and the rationality of the passive suspension scheme is verified by dynamic simulation. The simulation results show that the tracked robot with passive suspension shows good obstacle surmounting performance, but there will be a heading deflection problem. Therefore, a track drive speed of the driving state compensation control is proposed based on the driving scene, which can effectively solve the problem of slip and heading deflection. Through the field test of the robot prototype, the effectiveness of the suspension scheme and control system is verified, which provides a useful reference for the scheme design and performance improvement of the tracked mobile robot in complex field scenes. Full article
(This article belongs to the Section Actuators for Robotics)
Show Figures

Figure 1

20 pages, 2133 KB  
Article
Real-Time Mobile Robot Obstacles Detection and Avoidance Through EEG Signals
by Karameldeen Omer, Francesco Ferracuti, Alessandro Freddi, Sabrina Iarlori, Francesco Vella and Andrea Monteriù
Brain Sci. 2025, 15(4), 359; https://doi.org/10.3390/brainsci15040359 - 30 Mar 2025
Viewed by 2197
Abstract
Background/Objectives: The study explores the integration of human feedback into the control loop of mobile robots for real-time obstacle detection and avoidance using EEG brain–computer interface (BCI) methods. The goal is to assess the possible paradigms applicable to the most current navigation system [...] Read more.
Background/Objectives: The study explores the integration of human feedback into the control loop of mobile robots for real-time obstacle detection and avoidance using EEG brain–computer interface (BCI) methods. The goal is to assess the possible paradigms applicable to the most current navigation system to enhance safety and interaction between humans and robots. Methods: The research explores passive and active brain–computer interface (BCI) technologies to enhance a wheelchair-mobile robot’s navigation. In the passive approach, error-related potentials (ErrPs), neural signals triggered when users comment or perceive errors, enable automatic correction of the robot navigation mistakes without direct input or command from the user. In contrast, the active approach leverages steady-state visually evoked potentials (SSVEPs), where users focus on flickering stimuli to control the robot’s movements directly. This study evaluates both paradigms to determine the most effective method for integrating human feedback into assistive robotic navigation. This study involves experimental setups where participants control a robot through a simulated environment, and their brain signals are recorded and analyzed to measure the system’s responsiveness and the user’s mental workload. Results: The results show that a passive BCI requires lower mental effort but suffers from lower engagement, with a classification accuracy of 72.9%, whereas an active BCI demands more cognitive effort but achieves 84.9% accuracy. Despite this, task achievement accuracy is higher in the passive method (e.g., 71% vs. 43% for subject S2) as a single correct ErrP classification enables autonomous obstacle avoidance, whereas SSVEP requires multiple accurate commands. Conclusions: This research highlights the trade-offs between accuracy, mental load, and engagement in BCI-based robot control. The findings support the development of more intuitive assistive robotics, particularly for disabled and elderly users. Full article
(This article belongs to the Special Issue Multisensory Perception of the Body and Its Movement)
Show Figures

Figure 1

19 pages, 935 KB  
Article
A Secure and Fair Federated Learning Framework Based on Consensus Incentive Mechanism
by Feng Zhu, Feng Hu, Yanchao Zhao, Bing Chen and Xiaoyang Tan
Mathematics 2024, 12(19), 3068; https://doi.org/10.3390/math12193068 - 30 Sep 2024
Cited by 2 | Viewed by 2309
Abstract
Federated learning facilitates collaborative computation among multiple participants while safeguarding user privacy. However, current federated learning algorithms operate under the assumption that all participants are trustworthy and their systems are secure. Nonetheless, real-world scenarios present several challenges: (1) Malicious clients disrupt federated learning [...] Read more.
Federated learning facilitates collaborative computation among multiple participants while safeguarding user privacy. However, current federated learning algorithms operate under the assumption that all participants are trustworthy and their systems are secure. Nonetheless, real-world scenarios present several challenges: (1) Malicious clients disrupt federated learning through model poisoning and data poisoning attacks. Although some research has proposed secure aggregation methods to address this issue, many methods have inherent limitations. (2) Clients may refuse or passively participate in the training process due to considerations of self-interest, and may even interfere with the training process due to competitive relationships. To overcome these obstacles, we have devised a reliable federated framework aimed at ensuring secure computing throughout the entirety of federated task processes. Initially, we propose a method for detecting malicious models to safeguard the integrity of model aggregation. Furthermore, we have proposed a fair contribution assessment method and awarded the right to write blocks to the creator of the optimal model, ensuring the active participation of participants in both local training and model aggregation. Finally, we establish a computational framework grounded in blockchain and smart contracts to uphold the integrity and fairness of federated tasks. To assess the efficacy of our framework, we conduct simulations involving various types of client attacks and contribution assessment scenarios using multiple open-source datasets. Results from these experiments demonstrate that our framework effectively ensures the credibility of federated tasks while achieving impartial evaluation of client contributions. Full article
Show Figures

Figure 1

21 pages, 15449 KB  
Article
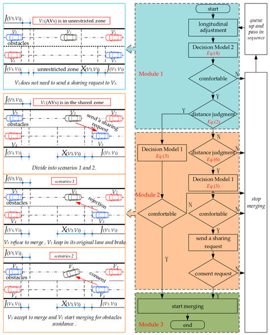
A Shared-Road-Rights Driving Strategy Based on Resolution Guidance for Right-of-Way Conflicts
by Mei Li, Guisheng Li, Chuan Sun, Junru Yang, Haoran Li, Jialin Li and Fei Li
Electronics 2024, 13(16), 3214; https://doi.org/10.3390/electronics13163214 - 14 Aug 2024
Viewed by 1114
Abstract
In addressing the critical issue of right-of-way conflicts in mixed-traffic environments, this paper introduces a novel shared right-of-way driving strategy that encompasses two guiding frameworks for resolution. The first framework applies to active lane changing. Before lane changing occurs, this framework allocates the [...] Read more.
In addressing the critical issue of right-of-way conflicts in mixed-traffic environments, this paper introduces a novel shared right-of-way driving strategy that encompasses two guiding frameworks for resolution. The first framework applies to active lane changing. Before lane changing occurs, this framework allocates the right of way for autonomous vehicles (AVs). Based on the allocated right of way, the AVs decide whether to send a request for a shared right of way to relevant vehicles. To enhance lane-changing comfort, the vehicle assesses whether the variance of roll and lateral acceleration exceeds a preset threshold, ultimately deciding whether to proceed with the lane change. The second framework pertains to passive lane changing. After detecting an obstacle, this framework allocates the right of way. The AVs calculate acceleration based on their speed and distance from the obstacle, using this information to determine whether to change lanes or decelerate in order to avoid the obstacle. If lane changing is chosen, further evaluation is necessary. Based on the allocated right of way, the AVs decide whether to request a shared right of way from relevant vehicles. To improve lane-changing comfort, the AVs compare the variance of roll and lateral acceleration with that of pitch and longitudinal acceleration, and then they decide whether to proceed with the lane change. The proposed strategy has been validated in various scenarios, including high-speed (105 km/h), low speed (13 km/h), and general scenarios with AVs and obstacles at a distance of 125 m. The results show that the strategy effectively functions in both high-speed and low-speed scenarios. Full article
Show Figures

Figure 1

13 pages, 945 KB  
Article
Camera-Based Net Avoidance Controls of Underwater Robots
by Jonghoek Kim
Sensors 2024, 24(2), 674; https://doi.org/10.3390/s24020674 - 21 Jan 2024
Cited by 3 | Viewed by 1751
Abstract
Fishing nets are dangerous obstacles for an underwater robot whose aim is to reach a goal in unknown underwater environments. This paper proposes how to make the robot reach its goal, while avoiding fishing nets that are detected using the robot’s camera sensors. [...] Read more.
Fishing nets are dangerous obstacles for an underwater robot whose aim is to reach a goal in unknown underwater environments. This paper proposes how to make the robot reach its goal, while avoiding fishing nets that are detected using the robot’s camera sensors. For the detection of underwater nets based on camera measurements of the robot, we can use deep neural networks. Passive camera sensors do not provide the distance information between the robot and a net. Camera sensors only provide the bearing angle of a net, with respect to the robot’s camera pose. There may be trailing wires that extend from a net, and the wires can entangle the robot before the robot detects the net. Moreover, light, viewpoint, and sea floor condition can decrease the net detection probability in practice. Therefore, whenever a net is detected by the robot’s camera, we make the robot avoid the detected net by moving away from the net abruptly. For moving away from the net, the robot uses the bounding box for the detected net in the camera image. After the robot moves backward for a certain distance, the robot makes a large circular turn to approach the goal, while avoiding the net. A large circular turn is used, since moving close to a net is too dangerous for the robot. As far as we know, our paper is unique in addressing reactive control laws for approaching the goal, while avoiding fishing nets detected using camera sensors. The effectiveness of the proposed net avoidance controls is verified using simulations. Full article
(This article belongs to the Section Sensors and Robotics)
Show Figures

Figure 1

14 pages, 3615 KB  
Article
Mixed-Cation Halide Perovskite Doped with Rb+ for Highly Efficient Photodetector
by Wei Wu, Yang Liu, Jianxi Yao and Xiaoping Ouyang
Materials 2023, 16(10), 3796; https://doi.org/10.3390/ma16103796 - 17 May 2023
Cited by 5 | Viewed by 2501
Abstract
Photodetectors are widely employed as fundamental devices in optical communication, automatic control, image sensors, night vision, missile guidance, and many other industrial or military fields. Mixed-cation perovskites have emerged as promising optoelectronic materials for application in photodetectors due to their superior compositional flexibility [...] Read more.
Photodetectors are widely employed as fundamental devices in optical communication, automatic control, image sensors, night vision, missile guidance, and many other industrial or military fields. Mixed-cation perovskites have emerged as promising optoelectronic materials for application in photodetectors due to their superior compositional flexibility and photovoltaic performance. However, their application involves obstacles such as phase segregation and poor-quality crystallization, which introduce defects in perovskite films and adversely affect devices’ optoelectronic performance. The application prospects of mixed-cation perovskite technology are significantly constrained by these challenges. Therefore, it is necessary to investigate strategies that combine crystallinity control and defect passivation to obtain high-quality thin films. In this study, we incorporated different Rb+ ratios in triple-cation (CsMAFA) perovskite precursor solutions and studied their effects on crystal growth. Our results show that a small amount of Rb+ was enough to induce the crystallization of the α-FAPbI3 phase and suppress the formation of the yellow non-photoactive phase; the grain size increased, and the product of the carrier mobility and the lifetime (μτ) improved. As a result, the fabricated photodetector exhibited a broad photo-response region, from ultraviolet to near-infrared, with maximum responsivity (R) up to 11.8 mA W−1 and excellent detectivity (D*) values up to 5.33 × 1011 Jones. This work provides a feasible strategy to improve photodetectors’ performance via additive engineering. Full article
Show Figures

Figure 1

13 pages, 4127 KB  
Article
Autonomous Vehicles Management in Agriculture with Bluetooth Low Energy (BLE) and Passive Radio Frequency Identification (RFID) for Obstacle Avoidance
by Danilo Monarca, Pierluigi Rossi, Riccardo Alemanno, Filippo Cossio, Paolo Nepa, Andrea Motroni, Roberto Gabbrielli, Marco Pirozzi, Carla Console and Massimo Cecchini
Sustainability 2022, 14(15), 9393; https://doi.org/10.3390/su14159393 - 1 Aug 2022
Cited by 17 | Viewed by 3435
Abstract
Obstacle avoidance is a key aspect for any autonomous vehicles, and their usage in agriculture must overcome additional challenges such as handling interactions with agricultural workers and other tractors in order to avoid severe accidents. The simultaneous presence of autonomous vehicles and workers [...] Read more.
Obstacle avoidance is a key aspect for any autonomous vehicles, and their usage in agriculture must overcome additional challenges such as handling interactions with agricultural workers and other tractors in order to avoid severe accidents. The simultaneous presence of autonomous vehicles and workers on foot definitely calls for safer designs, vehicle management systems and major developments in personal protective equipment (PPE). To cope with these present and future challenges, the “SMARTGRID” project described in this paper deploys an integrated wireless safety network infrastructure based on the integration of Bluetooth Low Energy (BLE) devices and passive radio frequency identification (RFID) tags designed to identify obstacles, workers, nearby vehicles and check if the right PPE is in use. With the aim of detecting workers at risk by scanning for passive RFID-integrated into PPE in danger areas, transmitting alerts to workers who wear them, tracking of near-misses and activating emergency stops, a deep analysis of the safety requirements of the obstacle detection system is shown in this study. Test programs have also been carried out on an experimental farm with detection ranging from 8 to 12 meters, proving that the system might represent a good solution for collision avoidance between autonomous vehicles and workers on foot. Full article
Show Figures

Figure 1

14 pages, 1526 KB  
Article
An Adaptive Output Feedback Controller for Boost Converter
by Xiaoyu Zhang, Wei He and Yanqin Zhang
Electronics 2022, 11(6), 905; https://doi.org/10.3390/electronics11060905 - 15 Mar 2022
Cited by 9 | Viewed by 2478
Abstract
The main contribution of this paper is to propose an adaptive reduced-order state observer for boost converter to reconstruct the inductor current and load conductance. Note that the unknown parameter appears in the output dynamics, which poses a detectability obstacle, imposing a more [...] Read more.
The main contribution of this paper is to propose an adaptive reduced-order state observer for boost converter to reconstruct the inductor current and load conductance. Note that the unknown parameter appears in the output dynamics, which poses a detectability obstacle, imposing a more stringent requirement on the system behavior. As a result, the design of an adaptive reduced-order state observer is more challenging. In this paper, using the dynamic extension technique, we transform the state observation into the parameter estimation. Constructing the parameter observer, the current and load conductance can be estimated. Introducing the estimated terms to a saturated PI passivity-based control, an adaptive output feedback saturated controller is presented. To assess the control performance, the simulation and experimental results are given. Full article
(This article belongs to the Special Issue Power Electronics Converter Topologies and Control Techniques)
Show Figures

Figure 1

12 pages, 6064 KB  
Communication
Mechanical Durability Assessment of an Energy-Harvesting Piezoelectric Inverted Flag
by Kaidong Yang, Andrea Cioncolini, Mostafa R. A. Nabawy and Alistair Revell
Energies 2022, 15(1), 77; https://doi.org/10.3390/en15010077 - 23 Dec 2021
Cited by 15 | Viewed by 3178
Abstract
This paper presents results from a practical assessment of the endurance of an inverted flag energy harvester, tested over multiple days in a wind tunnel to provide first insights into flapping fatigue and failure. The inverted flag is a composite bimorph, composed of [...] Read more.
This paper presents results from a practical assessment of the endurance of an inverted flag energy harvester, tested over multiple days in a wind tunnel to provide first insights into flapping fatigue and failure. The inverted flag is a composite bimorph, composed of PVDF (polyvinylidene difluoride) strips combined with a passive metallic core to provide sufficient stiffness. The flag, derived from an earlier, more extensive study, flaps with a typical amplitude of ~120 degrees and a frequency of ~2 Hz, generating a constant power of ~0.09 mW in a wind velocity of 6 m/s. The flag was observed to complete ~5×105 cycles before failure, corresponding to ~70 h of operation. The energy generated over this lifespan is estimated to be sufficient to power a standard low-power temperature sensor for several months at a sampling rate of one sample/minute, which would be adequate for applications such as wildfire detection, environmental monitoring, and agriculture management. This study indicates that structural fatigue may present a practical obstacle to the wider development of this technology, particularly in the context of their usual justification as a ‘deploy and forget’ alternative to battery power. Further work is required to improve the fatigue resistance of the flag material. Full article
(This article belongs to the Special Issue Green Energy Harvesting Devices & Technologies)
Show Figures

Figure 1

21 pages, 5587 KB  
Article
SMAP Salinity Retrievals near the Sea-Ice Edge Using Multi-Channel AMSR2 Brightness Temperatures
by Thomas Meissner and Andrew Manaster
Remote Sens. 2021, 13(24), 5120; https://doi.org/10.3390/rs13245120 - 16 Dec 2021
Cited by 9 | Viewed by 3527
Abstract
Sea-ice contamination in the antenna field of view constitutes a large error source in retrieving sea-surface salinity (SSS) with the spaceborne Soil Moisture Active Passive (SMAP) L-band radiometer. This is a major obstacle in the current NASA/Remote Sensing Systems (RSS) SMAP SSS retrieval [...] Read more.
Sea-ice contamination in the antenna field of view constitutes a large error source in retrieving sea-surface salinity (SSS) with the spaceborne Soil Moisture Active Passive (SMAP) L-band radiometer. This is a major obstacle in the current NASA/Remote Sensing Systems (RSS) SMAP SSS retrieval algorithm in regards to obtaining accurate SSS measurements in the polar oceans. Our analysis finds a strong correlation between 8-day averaged SMAP L-band brightness temperature (TB) bias and TB measurements from the Advanced Microwave Scanning Radiometer (AMSR2) in the C-through Ka-band frequency range for sea-ice contaminated ocean scenes. We show how this correlation can be employed to develop: (1) a discriminant analysis that is able to reliably flag the SMAP observations for sea-ice contamination and (2) subsequently remove the sea-ice contamination from the SMAP observations, which results in significantly more accurate SMAP SSS retrievals near the sea-ice edge. We provide a case study that evaluates the performance of the proposed sea-ice flagging and correction algorithm. Our method is also able to detect drifting icebergs, which go often undetected in many available standard sea-ice products and thus result in spurious SMAP SSS retrievals. Full article
(This article belongs to the Special Issue Moving Forward on Remote Sensing of Sea Surface Salinity)
Show Figures

Figure 1

14 pages, 1561 KB  
Review
Sensing Technology Survey for Obstacle Detection in Vegetation
by Shreya Lohar, Lei Zhu, Stanley Young, Peter Graf and Michael Blanton
Future Transp. 2021, 1(3), 672-685; https://doi.org/10.3390/futuretransp1030036 - 8 Nov 2021
Cited by 14 | Viewed by 6566
Abstract
This study reviews obstacle detection technologies in vegetation for autonomous vehicles or robots. Autonomous vehicles used in agriculture and as lawn mowers face many environmental obstacles that are difficult to recognize for the vehicle sensor. This review provides information on choosing appropriate sensors [...] Read more.
This study reviews obstacle detection technologies in vegetation for autonomous vehicles or robots. Autonomous vehicles used in agriculture and as lawn mowers face many environmental obstacles that are difficult to recognize for the vehicle sensor. This review provides information on choosing appropriate sensors to detect obstacles through vegetation, based on experiments carried out in different agricultural fields. The experimental setup from the literature consists of sensors placed in front of obstacles, including a thermal camera; red, green, blue (RGB) camera; 360° camera; light detection and ranging (LiDAR); and radar. These sensors were used either in combination or single-handedly on agricultural vehicles to detect objects hidden inside the agricultural field. The thermal camera successfully detected hidden objects, such as barrels, human mannequins, and humans, as did LiDAR in one experiment. The RGB camera and stereo camera were less efficient at detecting hidden objects compared with protruding objects. Radar detects hidden objects easily but lacks resolution. Hyperspectral sensing systems can identify and classify objects, but they consume a lot of storage. To obtain clearer and more robust data of hidden objects in vegetation and extreme weather conditions, further experiments should be performed for various climatic conditions combining active and passive sensors. Full article
Show Figures

Figure 1

20 pages, 960 KB  
Article
Active Exploration for Obstacle Detection on a Mobile Humanoid Robot
by Luca Nobile, Marco Randazzo, Michele Colledanchise, Luca Monorchio, Wilson Villa, Francesco Puja and Lorenzo Natale
Actuators 2021, 10(9), 205; https://doi.org/10.3390/act10090205 - 25 Aug 2021
Cited by 5 | Viewed by 4455
Abstract
Conventional approaches to robot navigation in unstructured environments rely on information acquired from the LiDAR mounted on the robot base to detect and avoid obstacles. This approach fails to detect obstacles that are too small, or that are invisible because they are outside [...] Read more.
Conventional approaches to robot navigation in unstructured environments rely on information acquired from the LiDAR mounted on the robot base to detect and avoid obstacles. This approach fails to detect obstacles that are too small, or that are invisible because they are outside the LiDAR’s field of view. A possible strategy is to integrate information from other sensors. In this paper, we explore the possibility of using depth information from a movable RGB-D camera mounted on the head of the robot, and investigate, in particular, active control strategies to effectively scan the environment. Existing works combine RGBD-D and 2D LiDAR data passively by fusing the current point-cloud from the RGB-D camera with the occupancy grid computed from the 2D LiDAR data, while the robot follows a given path. In contrast, we propose an optimization strategy that actively changes the position of the robot’s head, where the camera is mounted, at each point of the given navigation path; thus, we can fully exploit the RGB-D camera to detect, and hence avoid, obstacles undetected by the 2D LiDAR, such as overhanging obstacles or obstacles in blind spots. We validate our approach in both simulation environments to gather statistically significant data and real environments to show the applicability of our method to real robots. The platform used is the humanoid robot R1. Full article
(This article belongs to the Special Issue Intelligent Humanoid Mobile Robots)
Show Figures

Figure 1

14 pages, 3189 KB  
Article
Multi-Vortex Regulation for Efficient Fluid and Particle Manipulation in Ultra-Low Aspect Ratio Curved Microchannels
by Shaofei Shen, Xin Wang and Yanbing Niu
Micromachines 2021, 12(7), 758; https://doi.org/10.3390/mi12070758 - 27 Jun 2021
Cited by 11 | Viewed by 3302
Abstract
Inertial microfluidics enables fluid and particle manipulation for biomedical and clinical applications. Herein, we developed a simple semicircular microchannel with an ultra-low aspect ratio to interrogate the unique formations of the helical vortex and Dean vortex by introducing order micro-obstacles. The purposeful and [...] Read more.
Inertial microfluidics enables fluid and particle manipulation for biomedical and clinical applications. Herein, we developed a simple semicircular microchannel with an ultra-low aspect ratio to interrogate the unique formations of the helical vortex and Dean vortex by introducing order micro-obstacles. The purposeful and powerful regulation of dimensional confinement in the microchannel achieved significantly improved fluid mixing effects and fluid and particle manipulation in a high-throughput, highly efficient and easy-to-use way. Together, the results offer insights into the geometry-induced multi-vortex mechanism, which may contribute to simple, passive, continuous operations for biochemical and clinical applications, such as the detection and isolation of circulating tumor cells for cancer diagnostics. Full article
(This article belongs to the Special Issue Microfluidic Tools for Advancing Cancer Research)
Show Figures

Figure 1

15 pages, 300 KB  
Review
How to Improve the Performance of Electrochemical Sensors via Minimization of Electrode Passivation
by Jiri Barek
Chemosensors 2021, 9(1), 12; https://doi.org/10.3390/chemosensors9010012 - 6 Jan 2021
Cited by 48 | Viewed by 6471
Abstract
It follows from critical evaluation of possibilities and limitations of modern voltammetric/amperometric methods that one of the biggest obstacles in their practical applications in real sample analysis is connected with electrode passivation/fouling by electrode reaction products and/or matrix components. This review summarizes possibilities [...] Read more.
It follows from critical evaluation of possibilities and limitations of modern voltammetric/amperometric methods that one of the biggest obstacles in their practical applications in real sample analysis is connected with electrode passivation/fouling by electrode reaction products and/or matrix components. This review summarizes possibilities how to minimise these problems in the field of detection of small organic molecules and critically compares their potential and acceptability in practical laboratories. Attention is focused on simple and fast electrode surface renewal, the use of disposable electrodes just for one and/or few measurements, surface modification minimising electrode fouling, measuring in flowing systems, application of rotating disc electrode, the use of novel separation methods preventing access of passivating particles to electrode surface and the novel electrode materials more resistant toward passivation. An attempt is made to predict further development in this field and to stress the need for more systematic and less random research resulting in new measuring protocols less amenable to complications connected with electrode passivation. Full article
(This article belongs to the Special Issue Feature Papers- Electrochemical Devices and Sensors)
23 pages, 6542 KB  
Review
A Review of Secondary Flow in Inertial Microfluidics
by Qianbin Zhao, Dan Yuan, Jun Zhang and Weihua Li
Micromachines 2020, 11(5), 461; https://doi.org/10.3390/mi11050461 - 28 Apr 2020
Cited by 130 | Viewed by 11515
Abstract
Inertial microfluidic technology, which can manipulate the target particle entirely relying on the microchannel characteristic geometry and intrinsic hydrodynamic effect, has attracted great attention due to its fascinating advantages of high throughput, simplicity, high resolution and low cost. As a passive microfluidic technology, [...] Read more.
Inertial microfluidic technology, which can manipulate the target particle entirely relying on the microchannel characteristic geometry and intrinsic hydrodynamic effect, has attracted great attention due to its fascinating advantages of high throughput, simplicity, high resolution and low cost. As a passive microfluidic technology, inertial microfluidics can precisely focus, separate, mix or trap target particles in a continuous and high-flow-speed manner without any extra external force field. Therefore, it is promising and has great potential for a wide range of industrial, biomedical and clinical applications. In the regime of inertial microfluidics, particle migration due to inertial effects forms multiple equilibrium positions in straight channels. However, this is not promising for particle detection and separation. Secondary flow, which is a relatively minor flow perpendicular to the primary flow, may reduce the number of equilibrium positions as well as modify the location of particles focusing within channel cross sections by applying an additional hydrodynamic drag. For secondary flow, the pattern and magnitude can be controlled by the well-designed channel structure, such as curvature or disturbance obstacle. The magnitude and form of generated secondary flow are greatly dependent on the disturbing microstructure. Therefore, many inventive and delicate applications of secondary flow in inertial microfluidics have been reported. In this review, we comprehensively summarize the usage of the secondary flow in inertial microfluidics. Full article
(This article belongs to the Special Issue 10th Anniversary of Micromachines)
Show Figures

Figure 1

Back to TopTop