Sign in to use this feature.

Years

Between: -

Subjects

remove_circle_outline
remove_circle_outline
remove_circle_outline
remove_circle_outline
remove_circle_outline
remove_circle_outline
remove_circle_outline
remove_circle_outline
remove_circle_outline

Journals

remove_circle_outline
remove_circle_outline
remove_circle_outline
remove_circle_outline
remove_circle_outline
remove_circle_outline
remove_circle_outline
remove_circle_outline
remove_circle_outline
remove_circle_outline
remove_circle_outline
remove_circle_outline
remove_circle_outline
remove_circle_outline
remove_circle_outline
remove_circle_outline
remove_circle_outline
remove_circle_outline
remove_circle_outline
remove_circle_outline
remove_circle_outline
remove_circle_outline
remove_circle_outline
remove_circle_outline
remove_circle_outline
remove_circle_outline
remove_circle_outline
remove_circle_outline
remove_circle_outline
remove_circle_outline
remove_circle_outline
remove_circle_outline
remove_circle_outline
remove_circle_outline
remove_circle_outline
remove_circle_outline

Article Types

Countries / Regions

remove_circle_outline
remove_circle_outline
remove_circle_outline
remove_circle_outline
remove_circle_outline
remove_circle_outline
remove_circle_outline
remove_circle_outline

Search Results (8,019)

Search Parameters:
Keywords = partition

Order results
Result details
Results per page
Select all
Export citation of selected articles as:
16 pages, 1267 KB  
Article
Differentially Private Federated Learning with Adaptive Clipping Thresholds
by Jianhua Liu, Yanglin Zeng, Zhongmei Wang, Weiqing Zhang and Yao Tong
Future Internet 2026, 18(3), 148; https://doi.org/10.3390/fi18030148 (registering DOI) - 14 Mar 2026
Abstract
Under non-independent and identically distributed (Non-IID) conditions, significant variations exist in local model updates across clients and training phases during the collaborative modeling process of differential privacy federated learning (DP-FL). Fixed clipping thresholds and noise scales struggle to accommodate these diverse update differences, [...] Read more.
Under non-independent and identically distributed (Non-IID) conditions, significant variations exist in local model updates across clients and training phases during the collaborative modeling process of differential privacy federated learning (DP-FL). Fixed clipping thresholds and noise scales struggle to accommodate these diverse update differences, leading to mismatches between local update intensity and noise perturbations. This imbalance results in data privacy leaks and suboptimal model accuracy. To address this, we propose a differential privacy federated learning method based on adaptive clipping thresholds. During each communication round, the server adaptively estimates the global clipping threshold for that round using a quantile strategy based on the statistical distribution of client update norms. Simultaneously, clients adaptively adjust their noise scales according to the clipping threshold magnitude, enabling dynamic matching of clipping intensity and noise perturbation across training phases and clients. The novelty of this work lies in a quantile-driven, round-wise global clipping adaptation that synchronizes sensitivity bounding and noise calibration across heterogeneous clients, enabling improved privacy–utility behavior under a fixed privacy accountant. Using experimental results on the rail damage datasets, our proposed method slightly reduces the attacker’s MIA ROC-AUC by 0.0033 and 0.0080 compared with Fed-DPA and DP-FedAvg, respectively, indicating stronger privacy protection, while improving average accuracy by 1.55% and 3.35% and achieving faster, more stable convergence. We further validate its effectiveness on CIFAR-10 under non-IID partitions. Full article
Show Figures

Figure 1

17 pages, 1156 KB  
Article
Study on Flood Season Segmentation and Rationality Examination for Wuluwati Reservoir
by Jun Wang, Runhui Liu, Xiaoliang Luo, Guoqin Yang and Guangdong Xu
Water 2026, 18(6), 681; https://doi.org/10.3390/w18060681 (registering DOI) - 14 Mar 2026
Abstract
Scientific flood season segmentation serves as the foundation for determining the flood-limited operating water levels across different periods, providing crucial support for reservoir flood control safety operations and optimal water resource utilization. Under the background of climate change, the traditional static flood-limited water [...] Read more.
Scientific flood season segmentation serves as the foundation for determining the flood-limited operating water levels across different periods, providing crucial support for reservoir flood control safety operations and optimal water resource utilization. Under the background of climate change, the traditional static flood-limited water level management model based on fixed dates struggles to adapt to variations in flood season patterns. This study aims to establish a scientifically sound flood season segmentation scheme, providing a basis for dynamic control of flood-limited water levels across different periods, thereby improving water resource utilization efficiency while ensuring flood control safety. This study focuses on the Wuluwati Reservoir and employs the circular distribution method and the Fisher optimal partition method to conduct its flood season segmentation calculations. First, the circular distribution method is used to analyse the concentration and periodic characteristics of flood occurrences in the basin. Subsequently, the Fisher optimal partition method is applied to perform statistical segmentation of the historical hydrological series. Based on this analysis, the flood season of the Wuluwati Reservoir is comprehensively determined as: the pre-flood season from 1 June to 2 July, the main flood season from 3 July to 27 August, and the post-flood season from 28 August to 30 September. To objectively evaluate the rationality of the segmentation results, the improved Cunderlik method was employed to examine the rationality of 15 segmentation schemes based on relative superiority degree. The results show that the scheme with the main flood season from 3 July to 23 August achieves the highest relative superiority degree (0.930). The comprehensively determined segmentation of this study (3 July–27 August) encompasses this optimal interval, demonstrating that the flood season segmentation for the Wuluwati Reservoir is reasonable and effective. Full article
(This article belongs to the Section Hydrology)
Show Figures

Figure 1

18 pages, 606 KB  
Article
Light Pretreatment Improves the Heat Tolerance of Pea Plants’ Photosynthetic Apparatus
by Maya Velitchkova and Antoaneta V. Popova
Stresses 2026, 6(1), 14; https://doi.org/10.3390/stresses6010014 - 13 Mar 2026
Abstract
This study investigated the impact of the pretreatment of pea plants (Pisum sativum L. Ran 1) for five days by three times higher light intensity (360 μmol m−2 s−1) than the intensity for their cultivation (120 μmol m−2 [...] Read more.
This study investigated the impact of the pretreatment of pea plants (Pisum sativum L. Ran 1) for five days by three times higher light intensity (360 μmol m−2 s−1) than the intensity for their cultivation (120 μmol m−2 s−1) on the photosynthetic apparatus’s ability to withstand moderately high temperatures. Photosystem II (PSII) performance was assessed by pulse amplitude-modulated (PAM) fluorometry—evaluation of Fv/Fm, Chl fluorescence decrease ratio—RFd, excitation pressure on PSII (1 − qP), non-photochemical quenching (NPQ) analysis, and PsbA (D1) abundance. The redox state of P700 was used to examine photosystem I (PSI), and the redox kinetics of P700 was evaluated as an estimate of cyclic electron flow (CEF). The energy distribution and interaction between the two photosystems were assessed by 77 K chlorophyll fluorescence. Diphenylhexatriene (DPH) fluorescence polarization and PsbS accumulation were followed to estimate alterations in thylakoid membrane characteristics. Our data show that pea plants pretreated with a higher level of light intensity showed higher resistance to temperature increase, maintaining RFd values similar to control plants, and the effect of high temperature on PSII excitation pressure (1 − qP) was mitigated. A significant difference between the two groups of plants was observed in terms of quantum yields in both types of non-photochemical quenching, with light pretreated plants showing no change in the energy partitioning ratio while the exposure of non-high light pretreated plants to elevated temperatures led to a more significant increase in quantum yield of constitutive non-photochemical quenching. When plants were exposed to higher temperature, the accumulation of PsbS, induced by high light treatment, was accelerated, and stabilization of thylakoid membrane also occurred. A complex mechanism behind the enhanced tolerance to higher temperature includes the reorganization of membrane pigment–protein complexes, which is regulated by the buildup of PsbS and the accompanying redistribution of excitation energy. Full article
(This article belongs to the Section Plant and Photoautotrophic Stresses)
Show Figures

Figure 1

24 pages, 4692 KB  
Article
SSTNT: A Spatial–Spectral Similarity Guided Transformer-in-Transformer for Hyperspectral Unmixing
by Xinyu Cui, Xinyue Zhang, Aoran Dai and Da Sun
Photonics 2026, 13(3), 276; https://doi.org/10.3390/photonics13030276 - 13 Mar 2026
Abstract
Vision Transformers (ViTs), owing to their strong capability in modeling global contextual dependencies, have been widely adopted in hyperspectral image unmixing (HU). However, standard ViTs process images by partitioning them into non-overlapping patches, which disrupts spatial continuity at the pixel level and neglects [...] Read more.
Vision Transformers (ViTs), owing to their strong capability in modeling global contextual dependencies, have been widely adopted in hyperspectral image unmixing (HU). However, standard ViTs process images by partitioning them into non-overlapping patches, which disrupts spatial continuity at the pixel level and neglects the fine-grained structural relationships among pixels within local regions. Consequently, effectively capturing the detailed spatial–spectral features required for accurate unmixing remains challenging. Furthermore, the high computational complexity of global self-attention and its sensitivity to noise limit the applicability of conventional Transformers to HU. To address these issues, we propose a spatial–spectral similarity guided Transformer-in-Transformer (SSTNT) framework. The proposed network adopts a modified TNT architecture, in which the inner Transformer employs a linear self-attention (LSA) mechanism to efficiently exploit pixel-level local features within sliding windows, while the outer Transformer preserves global attention to aggregate contextual information, thereby forming a cooperative local–global optimization scheme. Furthermore, a lightweight spatial–spectral similarity module is introduced to enhance the modeling of neighborhood structures. Finally, spectral reconstruction is achieved through a trainable endmember decoder and a normalized abundance estimation module. Extensive experiments conducted on both synthetic and real hyperspectral datasets demonstrate the effectiveness and robustness of the proposed method. Full article
(This article belongs to the Special Issue Computational Optical Imaging: Theories, Algorithms, and Applications)
Show Figures

Figure 1

25 pages, 43519 KB  
Article
High-Precision Indoor VLP Scheme Based on the Synergy of SMO Multipath Suppression and Intelligent Algorithms
by Yucheng Yang, Junyi Zhang and Shaohua Liu
Sensors 2026, 26(6), 1826; https://doi.org/10.3390/s26061826 - 13 Mar 2026
Abstract
To address the issue that multipath effect severely restricts the performance of indoor visible light positioning (VLP) systems and multipath interference intensity varies significantly across different regions, this paper proposes a spatial adaptive multipath suppression scheme for the first time. At the transmitter, [...] Read more.
To address the issue that multipath effect severely restricts the performance of indoor visible light positioning (VLP) systems and multipath interference intensity varies significantly across different regions, this paper proposes a spatial adaptive multipath suppression scheme for the first time. At the transmitter, a hybrid transmission architecture of time division multiplexing (TDM) and direct current biased-orthogonal frequency division multiplexing (DCO-OFDM) is employed, providing ideal observation vectors for sparse channel modeling at the receiver through specialized pilot symbol design. At the receiver, a novel Spatial Adaptive–Main Path Energy Constraint–Orthogonal Matching Pursuit (SA-MPEC-OMP, SMO) algorithm is proposed to adapt to the spatial region characteristics with varying multipath intensities, enabling low-latency and accurate separation of Line-of-Sight (LOS) and Non-Line-of-Sight (NLOS) paths. Simulation results verify that the SMO algorithm achieves high main path extraction accuracy exceeding 90% in all regions, with its LOS energy ratio 2.7 to 3 times higher than that of the traditional OMP algorithm. Based on the results of the multipath suppression scheme, a high-precision 3D VLP scheme is proposed by integrating the SMO multipath suppression with intelligent algorithms. Specifically, a point classification model performs regional partitioning and dynamic threshold matching, while a height estimation model driven by LOS power extracted via SMO estimates the height of the target point. Finally, 3D coordinates are calculated using trilateration. Simulation results indicate that through the synergy of signal design and algorithm optimization, the proposed scheme achieves centimeter-level positioning across the entire space with a single positioning time of less than 18.7 ms, featuring strong multipath robustness and promising engineering application potential. Full article
(This article belongs to the Section Navigation and Positioning)
Show Figures

Figure 1

19 pages, 2755 KB  
Article
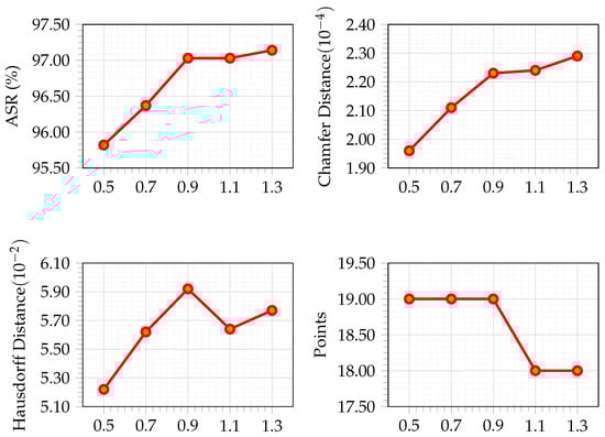
CA-Adv: Curvature-Adaptive Weighted Adversarial 3D Point Cloud Generation Method for Remote Sensing Scenarios
by Yanwen Sun, Shijia Xiao, Weiquan Liu, Min Huang, Chaozhi Cheng, Shiwei Lin, Jinhe Su, Zongyue Wang and Guorong Cai
Remote Sens. 2026, 18(6), 882; https://doi.org/10.3390/rs18060882 - 13 Mar 2026
Abstract
Adversarial robustness in 3D point cloud recognition models is a critical concern in remote sensing applications, such as autonomous driving and infrastructure monitoring. Existing adversarial attack methods can compromise model performance; moreover, they often neglect the intrinsic geometric properties of point clouds, leading [...] Read more.
Adversarial robustness in 3D point cloud recognition models is a critical concern in remote sensing applications, such as autonomous driving and infrastructure monitoring. Existing adversarial attack methods can compromise model performance; moreover, they often neglect the intrinsic geometric properties of point clouds, leading to perceptually unnatural perturbations that limit their practicality for robustness evaluation in real-world scenarios. To address this, we propose CA-Adv, a novel curvature-adaptive weighted adversarial generation method for 3D point clouds. Our approach first employs Shapley values to assess regional sensitivity and identify salient regions. It then adaptively partitions these regions based on local curvature and assigns perturbation weights accordingly, concentrating the attack on geometrically sensitive areas while preserving overall structural consistency through explicit geometric constraints. Extensive experiments on real-world remote sensing data (KITTI) and synthetic benchmarks (ModelNet40, ShapeNet) demonstrate that CA-Adv achieves a high attack success rate with a minimal perturbation budget. The generated adversarial examples maintain superior visual naturalness and geometric fidelity. The method provides a practical tool for evaluating the robustness of 3D recognition models in applications such as autonomous driving, urban-scale LiDAR perception, and remote sensing point cloud analysis. Full article
Show Figures

Figure 1

23 pages, 3712 KB  
Article
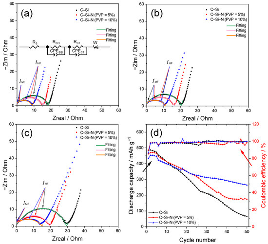
Nitrogen-Enriched Shell Graphite-Core C–Si–N Composite for Reduced Swelling in Si/Graphite Negative Electrodes
by Jeewon Jang, Seongwoo Lee, Sangyup Lee, Paul Maldonado Nogales, Honggeun Lee, Seunga Yang, Minji Kim, Jeonghun Oh and Soon-Ki Jeong
Batteries 2026, 12(3), 98; https://doi.org/10.3390/batteries12030098 - 13 Mar 2026
Abstract
This study reports a graphite-core, multiphase gradient C–Si–N composite architecture for Si-containing graphite-based negative electrodes in lithium-ion batteries. The increase in electrode thickness is used as a practical metric of expansion-driven degradation. The composite is prepared by the simultaneous nitridation and carbonization of [...] Read more.
This study reports a graphite-core, multiphase gradient C–Si–N composite architecture for Si-containing graphite-based negative electrodes in lithium-ion batteries. The increase in electrode thickness is used as a practical metric of expansion-driven degradation. The composite is prepared by the simultaneous nitridation and carbonization of a graphite core–Si precursor using polyvinylpyrrolidone (PVP) as the N source. Scanning electron microscopy coupled with energy-dispersive X-ray spectroscopy indicates a quasi-continuous radial trend in the relative N signal toward the outer shell, consistent with preferential N enrichment near the particle exterior. This spatially distributed N arrangement may spatially separate the Si-rich expansion-prone region from the carbon-rich exterior containing nitrides and other N-bearing species, thereby enabling stress partitioning. The shell architecture is designed to disperse expansion-induced stress and stabilize the electrode–electrolyte interface. During electrochemical cycling, the C–Si–N electrode with 10% PVP preserves its core–shell morphology and exhibits the smallest average electrode thickness expansion (~58% after 40 cycles, based on four independent cells). The reduced thickness growth is discussed in relation to a mechanically robust Si–N matrix (Si3N4-like/SiNx-like), potential Li–N interphase species, and N-containing carbon, together with the post-mortem morphology and electrochemical impedance evolution. This study presents reduced swelling as an electrode-level trend versus nominal PVP addition, along with associated nitride-related signatures, thereby highlighting spatially graded stress buffering as an electrode-level design principle. Full article
(This article belongs to the Special Issue Solid Polymer Electrolytes for Lithium Batteries and Beyond)
Show Figures

Figure 1

17 pages, 857 KB  
Article
Toward Realistic Ship Fuel Consumption Prediction Under Chronological Validation
by Aleksandar Vorkapić
J. Mar. Sci. Eng. 2026, 14(6), 538; https://doi.org/10.3390/jmse14060538 - 13 Mar 2026
Abstract
Accurate prediction of ship propulsion fuel consumption from operational data is important for performance assessment and energy efficiency management. This study examines how temporal structure and validation strategy influence the predictive performance of regression-based fuel consumption models using real operational data from a [...] Read more.
Accurate prediction of ship propulsion fuel consumption from operational data is important for performance assessment and energy efficiency management. This study examines how temporal structure and validation strategy influence the predictive performance of regression-based fuel consumption models using real operational data from a seagoing vessel. A controlled experimental framework is used to isolate the effects of chronological validation, temporal feature augmentation based on operational inputs, and autoregressive target information. Under strict chronological validation, a baseline regression model achieves R2 = 0.788, while temporal feature augmentation improves performance to R2 = 0.845 without using past fuel consumption values. An autoregressive configuration yields R2 = 0.982, reflecting strong short-term persistence in the fuel consumption signal. Additional experiments show that random data partitioning can inflate reported R2 by up to 0.19 compared with chronological evaluation. The results demonstrate that reported predictive accuracy depends strongly on evaluation design and temporal information structure, highlighting the importance of chronological validation for realistic operational prediction. Full article
(This article belongs to the Special Issue Advanced Studies in Marine Data Analysis)
Show Figures

Figure 1

23 pages, 17441 KB  
Article
A Method for Automated Crop Health Monitoring in Large Areas Using Multi-Spectral Images and Deep Convolutional Neural Networks
by Oscar Andrés Martínez, Kevin David Ortega Quiñones and German Andrés Holguin-Londoño
AgriEngineering 2026, 8(3), 109; https://doi.org/10.3390/agriengineering8030109 - 13 Mar 2026
Abstract
Crop monitoring over large land extensions represents a central challenge in precision agriculture, especially in polyculture contexts where species with different nutritional needs are combined. This study presents a methodology to manage and analyze large volumes of multispectral images captured by unmanned aerial [...] Read more.
Crop monitoring over large land extensions represents a central challenge in precision agriculture, especially in polyculture contexts where species with different nutritional needs are combined. This study presents a methodology to manage and analyze large volumes of multispectral images captured by unmanned aerial vehicles (UAVs) in order to identify and monitor crops at the plant level. The images are efficiently stored and retrieved using a Hilbert Curve, which reduces the complexity of the search process from O(n2) to O(log(n)) where n represents the number of indexed data points). The system connects to a distributed Structured Query Language (SQL) database, allowing for fast image retrieval based on GPS coordinates and other metadata. Additionally, the Normalized Difference Vegetation Index (NDVI) is calculated using reflectance data from the red and near-infrared channels, adjusted by semantic segmentation masks generated with a U-Net model, which allows for species-specific evaluations. The methodology was evaluated on a 20,000 m2 polyculture farm with coffee, avocado, and plantain crops, using a dataset of 270 aerial images partitioned into 70% for training and 30% for validation. The results show improvements in retrieval speed and precision with the Hilbert Space-Filling Curve (HSFC) approach, and an accuracy of 82.3% and an the Mean Intersection over Union (MIoU) of 68.4% in species detection with the U-Net model. Overall, this integrated framework demonstrates a scalable potential for precision agriculture in complex polyculture systems, facilitating efficient data management and targeted crop interventions. Full article
Show Figures

Figure 1

24 pages, 3755 KB  
Article
Leakage-Aware Federated Learning for ICU Sepsis Early Warning: Fixed Alert-Rate Evaluation on PhysioNet/CinC 2019 and MIMIC-IV
by Hyejin Jin and Hongchul Lee
Appl. Sci. 2026, 16(6), 2735; https://doi.org/10.3390/app16062735 - 12 Mar 2026
Abstract
Sepsis early warning is hindered by data silos, temporal leakage, and threshold choices that obscure operational performance. We present a leakage-aware federated-learning evaluation pipeline that enforces group/temporal separation and compares models at a fixed alert workload. Stage-1 benchmarks local, FedAvg, and FedProx LSTM/Transformer [...] Read more.
Sepsis early warning is hindered by data silos, temporal leakage, and threshold choices that obscure operational performance. We present a leakage-aware federated-learning evaluation pipeline that enforces group/temporal separation and compares models at a fixed alert workload. Stage-1 benchmarks local, FedAvg, and FedProx LSTM/Transformer models on PhysioNet/CinC 2019 using the official A/B partitions in bidirectional cross-hospital evaluation (A→B/B→A) after removing ICULOS. Stage-2 constructs a Sepsis-3-aligned MIMIC-IV task using full SOFA-component features and simulated clients to emulate institutional heterogeneity. Federated training improves out-of-hospital generalization for LSTM models on PhysioNet, whereas Transformer models remain robust across 3–12 h horizons. On MIMIC-IV, fixed alert-rate evaluation (α = 5%) clarifies workload–timeliness trade-offs, and centralized XGBoost achieves the strongest stay-level detection with clinically meaningful lead times. Supplementary privacy and security stress tests further contextualize residual deployment risks. Overall, leakage control and workload-matched evaluation are essential for trustworthy, operationally actionable sepsis early warning. Full article
Show Figures

Figure 1

28 pages, 22437 KB  
Article
LightGBM–SHAP-Based Study of the Threshold and Synergistic Effects of Physical and Perceptual Scene Elements on Spatial Vitality in Historic Cultural Districts
by Gaojie Zhang and Zhongshan Huang
Sustainability 2026, 18(6), 2778; https://doi.org/10.3390/su18062778 - 12 Mar 2026
Viewed by 26
Abstract
The revitalization of vitality in historic cultural districts can enhance a city’s cultural attractiveness and promote the upgrading of the urban cultural industry and sustainable development. Revealing the threshold and synergistic effects of different districts’ scene elements on district vitality helps to identify [...] Read more.
The revitalization of vitality in historic cultural districts can enhance a city’s cultural attractiveness and promote the upgrading of the urban cultural industry and sustainable development. Revealing the threshold and synergistic effects of different districts’ scene elements on district vitality helps to identify the distribution patterns of district vitality and provides a basis for managerial decision-making. This study first uses a geographic information system (ArcGIS) to overlay Baidu heatmaps with the street-network distribution in order to depict the spatiotemporal heterogeneity of district vitality and to compute vitality values by partitions at the district scale. Subsequently, based on an explanatory framework that integrates the physical space and subjective cognition, multi-source data such as street-view panoramas and points of interest (POIs) are quantified to obtain scene-element values for each unit area. Then, the scene-element values and vitality values are integrated into a consolidated database. Additionally, the LightGBM model and the SHAP method are employed to evaluate each element’s marginal contribution and relative importance to district vitality, thereby screening out the key scene elements. Finally, by means of SHAP dependence plots and interaction-effect analysis, the threshold intervals of the key elements and their synergistic relationships are identified, revealing the nonlinear threshold effects and synergies by which scene elements influence spatial vitality. The results show that during rest days, district vitality exhibits stronger diffusion, and the synergistic effect between Leisure-Facility Attractiveness and Street-Network Accessibility is the most prominent in enhancing vitality. High Exhibition-Facility Attractiveness is difficult to sustain crowds on its own; only when Leisure-Facility Attractiveness is likewise high does its effectiveness increase significantly. When Transport Accessibility is within the 0.20–0.40 interval, the positive effect of Leisure-Facility Attractiveness is significantly amplified. An excessive Traditional–Modern Facility Mix readily leads to homogenization of districts; therefore, when introducing modern business formats, local cultural characteristics must be retained. Overall, the generation of district vitality relies more on the synergy between material factors and subjective cognition than on improvements to any single element. The findings of this study provide suggestions for the planning of scene elements and the enhancement of vitality in historic cultural districts. Full article
Show Figures

Figure 1

21 pages, 4192 KB  
Article
Identification and Drought-Responsive Expression Analysis of the ZmSPS Gene Family in Maize and Preliminary Investigation of the ZmSPS3 Regulatory Network
by Minghao Sun, Wei Zhao, Shuai Hou, Haoxin Meng, Luyao Wang, Erna Wu, Enhao Zhou, Yuyang Duan, Yue Wang, Quan Cai, Baitao Guo, Tao Yu and Jianguo Zhang
Plants 2026, 15(6), 885; https://doi.org/10.3390/plants15060885 - 12 Mar 2026
Viewed by 40
Abstract
Sucrose phosphate synthase (SPS) is a key rate-limiting enzyme that regulates carbon partitioning and stress tolerance in plants. In this study, we systematically characterized the SPS gene family in maize (Zea mays L.) and identified key members and their interaction networks involved [...] Read more.
Sucrose phosphate synthase (SPS) is a key rate-limiting enzyme that regulates carbon partitioning and stress tolerance in plants. In this study, we systematically characterized the SPS gene family in maize (Zea mays L.) and identified key members and their interaction networks involved in drought responses. A total of seven ZmSPS genes were identified through genome-wide bioinformatics analyses. Motif composition, gene structure, phylogenetic relationships, and synteny analyses indicated that the ZmSPS gene family is highly conserved among monocot species. Promoter analysis revealed that the upstream regions of ZmSPS genes are enriched with multiple stress responsive cis-acting elements. Drought stress treatments combined with quantitative real-time PCR (RT-qPCR) analyses showed that the expression of ZmSPS3 was significantly upregulated with increasing stress duration. Furthermore, yeast two-hybrid assays demonstrated that ZmSPS3 physically interacts with protein kinases and F-box proteins. These interactions suggest a potential involvement of ZmSPS3 in post-translational modification and protein stability regulation during osmotic stress. As a potential candidate gene responsive to drought, ZmSPS3 provides a preliminary basis for understanding the complex drought-response networks in maize. Full article
(This article belongs to the Section Plant Genetics, Genomics and Biotechnology)
Show Figures

Figure 1

21 pages, 6001 KB  
Article
An Intelligent Evaluation Method for Slope Stability Based on a Database Integrating Real Cases and Numerical Simulations
by Junyi Jiang, Dong Li, Qingyi Yang, Zhenhua Zhang, Lei Wang, Wenru Zhao and Mingliang Chen
Big Data Cogn. Comput. 2026, 10(3), 87; https://doi.org/10.3390/bdcc10030087 - 12 Mar 2026
Viewed by 39
Abstract
Slope instability can cause severe disasters, making stability prediction essential. Machine learning has become a key tool for this purpose, as it avoids complex mechanical calculations and efficiently handles high-dimensional data. Currently, the data used in machine learning primarily originate from real-world cases. [...] Read more.
Slope instability can cause severe disasters, making stability prediction essential. Machine learning has become a key tool for this purpose, as it avoids complex mechanical calculations and efficiently handles high-dimensional data. Currently, the data used in machine learning primarily originate from real-world cases. However, such cases are inherently limited in quantity and often fail to comprehensively represent all potential slope conditions. To address these limitations, this study proposes a method for constructing numerical simulation databases. Based on this, we develop a model establishment method for rapid evaluation of slope stability integrating numerical simulation with engineering cases. This study uses six characteristic parameters to assess slope stability, including unit weight γ, cohesion c, internal friction angle φ, slope angle α, slope height H, and pore pressure ratio ru. Through extensive literature mining, we established a database of 684 engineering cases. Based on statistical analysis of input parameters, a numerical simulation scheme was designed. Batch calculations were performed using MATLAB to determine simulation results. The engineering case database was then partitioned into training and testing sets for model development and validation. Subsequently, the numerical simulation database was incorporated into the training set for retesting. Results demonstrate that when considering all predictive indicators, the prediction accuracy of the GRNN-based model improved from 85% to 88.3%, while the PNN-based model showed an increase from 69% to 88.3%. This study offers new insights for optimizing numerical simulation design and enhancing machine learning performance in slope stability prediction. Full article
Show Figures

Figure 1

23 pages, 4782 KB  
Article
Development of Simplified Mechanical Model for Welding Deformation in Multi-Pass Welding
by Wenda Wang, Shintaro Maeda, Kazuki Ikushima and Masakazu Shibahara
J. Manuf. Mater. Process. 2026, 10(3), 96; https://doi.org/10.3390/jmmp10030096 - 12 Mar 2026
Viewed by 51
Abstract
This paper proposes a simplified mechanical model to estimate transverse shrinkage and angular distortion in multi-pass butt welding. The simplified mechanical model is first derived for an I-groove joint by representing the heated weld region with one-dimensional bar elements and by enforcing force [...] Read more.
This paper proposes a simplified mechanical model to estimate transverse shrinkage and angular distortion in multi-pass butt welding. The simplified mechanical model is first derived for an I-groove joint by representing the heated weld region with one-dimensional bar elements and by enforcing force equilibrium to obtain closed-form expressions for pass-by-pass deformation increments and cumulative deformation. For non-I-groove joints, the same simplified mechanical model is applied by updating the layer partition and geometric parameters for each pass based on the pass-wise high-temperature region; the inherent shrinkage of each pass is evaluated from the heat input and an equivalent heated-layer thickness. The simplified mechanical model is validated for V-groove multi-pass joints by comparison with thermo-elastic-plastic finite element (FE) analyses and available experimental data, and for X-groove multi-pass joints by comparison with thermo-elastic-plastic FE analyses. In addition, a parametric study on the V-groove angle (40°–70°) for SUS316L demonstrates that the model captures the increasing trend of final transverse shrinkage with groove angle without a pronounced degradation in prediction accuracy. The results show that the simplified mechanical model reproduces both deformation histories and final values with good accuracy while using only a small set of input parameters and negligible computational cost, making it useful for early-stage welding procedure planning and quick parameter studies. Full article
Show Figures

Figure 1

15 pages, 3249 KB  
Article
Graphene as a Soil Amendment for the Mitigation of Fungicide Kresoxim-Methyl Pollution
by Kamyar Shirvanimoghaddam, Agnieszka Krzyszczak-Turczyn, Ilona Sadok, Bożena Czech, Omid Zabihi and Minoo Naebe
Clean Technol. 2026, 8(2), 39; https://doi.org/10.3390/cleantechnol8020039 - 12 Mar 2026
Viewed by 66
Abstract
The global demand for high-quality food is rising due to the increasing population, necessitating intensive farming practices that often involve the extensive use of pesticides, which can accumulate in soils and enter the food chain. This study explores the use of synthesized and [...] Read more.
The global demand for high-quality food is rising due to the increasing population, necessitating intensive farming practices that often involve the extensive use of pesticides, which can accumulate in soils and enter the food chain. This study explores the use of synthesized and commercial graphenes for the removal of kresoxim-methyl (KM), a common strobilurin fungicide, from soil. Adding only 1 wt% of graphene to soil enhanced its partitioning capacity from about 4.77 mg/g for unamended soil to 9.57 mg/g, indicating effective immobilization and reduced environmental risk. The adsorption efficacy was notably higher in materials rich in oxygen-containing functional groups and with a large surface area, highlighting the significance of surface characteristics and porosity. The adsorption followed pseudo-second-order kinetics, underscoring the importance of surface heterogeneity in KM adsorption. Full article
Show Figures

Figure 1

Back to TopTop