Sign in to use this feature.

Years

Between: -

Subjects

remove_circle_outline
remove_circle_outline
remove_circle_outline
remove_circle_outline
remove_circle_outline
remove_circle_outline
remove_circle_outline
remove_circle_outline
remove_circle_outline

Journals

remove_circle_outline
remove_circle_outline
remove_circle_outline
remove_circle_outline
remove_circle_outline
remove_circle_outline

Article Types

Countries / Regions

remove_circle_outline
remove_circle_outline
remove_circle_outline
remove_circle_outline
remove_circle_outline

Search Results (497)

Search Parameters:
Keywords = paper subtract

Order results
Result details
Results per page
Select all
Export citation of selected articles as:
20 pages, 8646 KB  
Article
Fine-Grained Multispectral Fusion for Oriented Object Detection in Remote Sensing
by Xin Lan, Shaolin Zhang, Yuhao Bai and Xiaolin Qin
Remote Sens. 2025, 17(22), 3769; https://doi.org/10.3390/rs17223769 - 20 Nov 2025
Viewed by 695
Abstract
Infrared–visible-oriented object detection aims to combine the strengths of both infrared and visible images, overcoming the limitations of a single imaging modality to achieve more robust detection with oriented bounding boxes under diverse environmental conditions. However, current methods often suffer from two issues: [...] Read more.
Infrared–visible-oriented object detection aims to combine the strengths of both infrared and visible images, overcoming the limitations of a single imaging modality to achieve more robust detection with oriented bounding boxes under diverse environmental conditions. However, current methods often suffer from two issues: (1) modality misalignment caused by hardware and annotation errors, leading to inaccurate feature fusion that degrades downstream task performance; and (2) insufficient directional priors in square convolutional kernels, impeding robust object detection with diverse directions, especially in densely packed scenes. To tackle these challenges, in this paper, we propose a novel method, Fine-Grained Multispectral Fusion (FGMF), for oriented object detection in the paired aerial images. Specifically, we design a dual-enhancement and fusion module (DEFM) to obtain the calibrated and complementary features through weighted addition and subtraction-based attention mechanisms. Furthermore, we propose an orientation aggregation module (OAM) that employs large rotated strip convolutions to capture directional context and long-range dependencies. Extensive experiments on the DroneVehicle and VEDAI datasets demonstrate the effectiveness of our proposed method, yielding impressive results with accuracies of 80.2% and 66.3%, respectively. These results highlight the effectiveness of FGMF in oriented object detection within complex remote sensing scenarios. Full article
Show Figures

Figure 1

31 pages, 8938 KB  
Review
A Review of Challenges and Future Perspectives for High-Speed Material Extrusion Technology
by Qi Tao, Boao Fu and Fei Zhong
Appl. Sci. 2025, 15(22), 12176; https://doi.org/10.3390/app152212176 - 17 Nov 2025
Viewed by 1209
Abstract
Additive manufacturing, as an innovative manufacturing technology compared to traditional subtractive manufacturing, offers greater design freedom and rapid prototyping capabilities. Material Extrusion (MEX), the most widely applied branch within additive manufacturing (AM), operates on the core principle of heating thermoplastic polymers or composite [...] Read more.
Additive manufacturing, as an innovative manufacturing technology compared to traditional subtractive manufacturing, offers greater design freedom and rapid prototyping capabilities. Material Extrusion (MEX), the most widely applied branch within additive manufacturing (AM), operates on the core principle of heating thermoplastic polymers or composite materials to a molten state, then depositing them layer by layer through a nozzle to form the final shape. However, the inherent contradiction between printing speed and build quality remains the key bottleneck limiting its widespread adoption. Desktop Material Extrusion techniques like Fused Filament Fabrication (FFF) offer high precision but require extended printing times. Meanwhile, industrial-scale Big Area Additive Manufacturing (BAAM) processes achieve high deposition rates yet suffer from insufficient accuracy. This paper systematically reviews the primary application domains of additive manufacturing technologies, elucidating their process flows and classification systems. Building upon this foundation, it systematically analyzes the contradiction and coupling relationship between high precision and high deposition speed in Material Extrusion technologies from aspects including hot-end flow, system thermal management, vibration, and printing parameters. It provides a reference for the subsequent design and optimization of high-precision, high-speed Material Extrusion (MEX) printers. Full article
(This article belongs to the Special Issue Feature Review Papers in Additive Manufacturing Technologies)
Show Figures

Figure 1

21 pages, 4047 KB  
Article
Natural Frequency and Damping Characterisation of Aerospace Grade Composite Plates
by Rade Vignjevic, Nenad Djordjevic, Javier de Caceres Prieto, Nenad Filipovic, Milos Jovicic and Gordana Jovicic
Vibration 2025, 8(4), 72; https://doi.org/10.3390/vibration8040072 - 13 Nov 2025
Viewed by 439
Abstract
The natural frequencies and damping characterisation of a new aerospace grade composite material were investigated using a modified impulse method combined with the half power bandwidth method, which is applicable to the structures with a low damping. The composite material of interest was [...] Read more.
The natural frequencies and damping characterisation of a new aerospace grade composite material were investigated using a modified impulse method combined with the half power bandwidth method, which is applicable to the structures with a low damping. The composite material of interest was unidirectional carbon fibre reinforced plastic. The tests were carried out with three identical square 4.6 mm thick plates consisting of 24 plies. The composite plates were clamped along one edge in a SignalForce shaker, which applied a sinusoidal signal generated by the signal conditioner exiting the bending modes of the plates. Laser vibrometer measurements were taken at three points on the free end so that different vibrational modes could be obtained: one measurement was taken on the longitudinal symmetry plane with the other two 35 mm on either side of the symmetry plane. The acceleration of the clamp was also recorded and integrated twice to calculate its displacement, which was then subtracted from the free end displacement. Two material orientations were tested, and the first four natural frequencies were obtained in the test. Damping was determined by the half-power bandwidth method. A linear relationship between the loss factors and frequency was observed for the first two modes but not for the other two modes, which may be related to the coupling of the modes of the plate and the shaker. The experiment was also modelled by using the Finite Element Method (FEM) and implicit solver of LS Dyna, where the simulation results for the first two modes were within 15% of the experimental results. The novelty of this paper lies in the presentation of new experimental data for the natural frequencies and damping coefficients of a newly developed composite material intended for the vibration analysis of rotating components. Full article
Show Figures

Figure 1

21 pages, 3303 KB  
Article
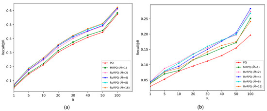
Reference-Vector Removed Product Quantization for Approximate Nearest Neighbor Search
by Yang Wang, Ce Xu and Xueyi Wu
Appl. Sci. 2025, 15(21), 11540; https://doi.org/10.3390/app152111540 - 29 Oct 2025
Viewed by 698
Abstract
This paper proposes a decorrelation scheme based on product quantization, termed Reference-Vector Removed Product Quantization (RvRPQ), for approximate nearest neighbor (ANN) search. The core idea is to capture the redundancy among database vectors by representing them with compactly encoded reference-vectors, which are then [...] Read more.
This paper proposes a decorrelation scheme based on product quantization, termed Reference-Vector Removed Product Quantization (RvRPQ), for approximate nearest neighbor (ANN) search. The core idea is to capture the redundancy among database vectors by representing them with compactly encoded reference-vectors, which are then subtracted from the original vectors to yield residual vectors. We provide a theoretical derivation for obtaining the optimal reference-vectors. This preprocessing step significantly improves the quantization accuracy of the subsequent product quantization applied to the residuals. To maintain low online computational complexity and control memory overhead, we apply vector quantization to the reference-vectors and allocate only a small number of additional bits to store their indices. Experimental results show that RvRPQ substantially outperforms state-of-the-art ANN methods in terms of retrieval accuracy, while preserving high search efficiency. Full article
(This article belongs to the Section Electrical, Electronics and Communications Engineering)
Show Figures

Figure 1

35 pages, 7756 KB  
Article
A Brief Review on Biomimetics 3D Printing Design
by Rúben Couto, Pedro R. Resende, Ricardo Pinto, Ramin Rahmani, João C. C. Abrantes and Iria Feijoo
Biomimetics 2025, 10(10), 647; https://doi.org/10.3390/biomimetics10100647 - 26 Sep 2025
Viewed by 2566
Abstract
Over millions of years of evolution, nature provided tools to optimize different functions in animals and plants. Different strategies observed in nature serve as models for solving complex engineering problems. Additive manufacturing (AM), also known as 3D printing, enables us to produce shapes [...] Read more.
Over millions of years of evolution, nature provided tools to optimize different functions in animals and plants. Different strategies observed in nature serve as models for solving complex engineering problems. Additive manufacturing (AM), also known as 3D printing, enables us to produce shapes that would not be possible with traditional subtractive manufacturing. In this way, it is possible to produce complex detailed shapes using an automatic process. Biomimetics involves drawing inspiration from nature and applying it to solve specific engineering challenges, often with the goal of optimization and enhanced performance. Three-dimensional printing enables the replication of complex natural shapes, opening new avenues for innovation. In this paper, we review the state of the art in biomimetics, including studies on mechanical properties, design strategies, manufacturing techniques, and the use of composites. Full article
(This article belongs to the Section Biomimetic Design, Constructions and Devices)
Show Figures

Figure 1

13 pages, 5006 KB  
Article
Enhancing Heart Rate Detection in Vehicular Settings Using FMCW Radar and SCR-Guided Signal Processing
by Ashwini Kanakapura Sriranga, Qian Lu and Stewart Birrell
Sensors 2025, 25(18), 5885; https://doi.org/10.3390/s25185885 - 20 Sep 2025
Cited by 1 | Viewed by 1054
Abstract
This paper presents an optimised signal processing framework for contactless physiological monitoring using Frequency Modulated Continuous Wave (FMCW) radar within automotive environments. This research focuses on enhancing heart rate (HR) and heart rate variability (HRV) detection from radar signals by integrating radar placement [...] Read more.
This paper presents an optimised signal processing framework for contactless physiological monitoring using Frequency Modulated Continuous Wave (FMCW) radar within automotive environments. This research focuses on enhancing heart rate (HR) and heart rate variability (HRV) detection from radar signals by integrating radar placement optimisation and advanced phase-based processing techniques. Optimal radar placement was evaluated through Signal-to-Clutter Ratio (SCR) analysis, conducted with multiple human participants in both laboratory and dynamic driving simulator experimental conditions, to determine the optimal in-vehicle location for signal acquisition. An effective processing pipeline was developed, incorporating background subtraction, range bin selection, bandpass filtering, and phase unwrapping. These techniques facilitated the reliable extraction of inter-beat intervals and heartbeat peaks from the phase signal without the need for contact-based sensors. The framework was evaluated using a Walabot FMCW radar module against ground truth HR signals, demonstrating consistent and repeatable results under baseline and mild motion conditions. In subsequent work, this framework was extended with deep learning methods, where radar-derived HR and HRV were benchmarked against research-grade ECG and achieved over 90% accuracy, further reinforcing the robustness and reliability of the approach. Together, these findings confirm that carefully guided radar positioning and robust signal processing can enable accurate and practical in-cabin physiological monitoring, offering a scalable solution for integration in future intelligent vehicle and driver monitoring systems. Full article
Show Figures

Figure 1

4 pages, 15624 KB  
Proceeding Paper
Microfabrication of an e-QR Code Sensor Display on a Flexible Substrate
by Asha Elizabeth Raju, Heinrich Edgar Arnold Laue and Trudi-Heleen Joubert
Eng. Proc. 2025, 109(1), 16; https://doi.org/10.3390/engproc2025109016 - 19 Sep 2025
Viewed by 468
Abstract
Electronic quick response (e-QR) codes provide access to real-time sensor data using smartphone readers and internet connectivity. Printed electronics and hybrid integration on flexible substrates is a promising solution for wide-scale and low-cost deployment of sensor systems. This paper presents a 21 × [...] Read more.
Electronic quick response (e-QR) codes provide access to real-time sensor data using smartphone readers and internet connectivity. Printed electronics and hybrid integration on flexible substrates is a promising solution for wide-scale and low-cost deployment of sensor systems. This paper presents a 21 × 21-pixel e-QR display implemented on black Kapton using hybrid additive and subtractive microfabrication techniques. The process flow for the double-sided circuit allows for layer alignment using multiple fiducial markers. The steps include inkjet printing of tracks on both sides of the substrate, laser-cut via holes, stencil-aided via filling, solder paste dispensing, and final integration of discrete surface-mount components by semi-automatic pick-and-place. Full article
(This article belongs to the Proceedings of Micro Manufacturing Convergence Conference)
Show Figures

Figure 1

22 pages, 1510 KB  
Article
Transfer-Efficient Power Allocation for Downlink SWIPT in Massive MIMO Systems
by Wenfeng Sun, Yuanyuan Ma, Xuanhui Wang and Haidong You
Electronics 2025, 14(18), 3679; https://doi.org/10.3390/electronics14183679 - 17 Sep 2025
Viewed by 406
Abstract
The transfer-efficient power allocation problem for downlink simultaneous wireless information and power transfer (SWIPT) is investigated in massive multiple-input multiple-output (MIMO) systems in this paper. In the considered system, the base station (BS) equipped with a large number of antennas simultaneously transmits information [...] Read more.
The transfer-efficient power allocation problem for downlink simultaneous wireless information and power transfer (SWIPT) is investigated in massive multiple-input multiple-output (MIMO) systems in this paper. In the considered system, the base station (BS) equipped with a large number of antennas simultaneously transmits information and sends energy signals to multiple information and energy terminals equipped with a single antenna. The aim is to maximize transfer efficiency while meeting quality-of-service (QoS) requirements for all terminals. First, the closed-form expressions of achievable rates for each information terminal and the harvested energy for each energy terminal are obtained. Then, two optimization problems are formulated according to the obtained expressions, with the purpose of maximizing information transfer efficiency (ITE) and energy transfer efficiency (ETE). The maximizations of ITE and ETE are fractional programming problems and are difficult to solve directly. For this reason, the iterative optimization algorithm is proposed to solve the ITE maximization problem by transforming it into a subtractive form and then utilizing a successive convex approximation (SCA) method. Following a similar approach, another iterative optimization algorithm is proposed to solve the ETE maximization problem by transforming it into a subtractive form and then utilizing a linear programming method. Finally, numerical results demonstrate that the two iterative optimization algorithms can achieve good ITE and ETE, and we also reveal the trade-off between them in this work. Full article
Show Figures

Figure 1

23 pages, 37380 KB  
Article
SAM2MS: An Efficient Framework for HRSI Road Extraction Powered by SAM2
by Pengnian Zhang, Junxiang Li, Chenggang Wang and Yifeng Niu
Remote Sens. 2025, 17(18), 3181; https://doi.org/10.3390/rs17183181 - 14 Sep 2025
Cited by 1 | Viewed by 1302
Abstract
Road extraction from high-resolution remote sensing images (HRSIs) provides critical support for downstream tasks such as autonomous driving path planning and urban planning. Although deep learning-based pixel-level segmentation methods have achieved significant progress, they still face challenges in handling occlusions caused by vegetation [...] Read more.
Road extraction from high-resolution remote sensing images (HRSIs) provides critical support for downstream tasks such as autonomous driving path planning and urban planning. Although deep learning-based pixel-level segmentation methods have achieved significant progress, they still face challenges in handling occlusions caused by vegetation and shadows, and often exhibit limited model robustness and generalization capability. To address these limitations, this paper proposes the SAM2MS model, which leverages the powerful generalization capabilities of the foundational vision model, segment anything model 2 (SAM2). Firstly, an adapter-based fine-tuning strategy is employed to effectively transfer the capabilities of SAM2 to the HRSI road extraction task. Secondly, we subsequently designed a subtraction block (Sub) to process adjacent feature maps, effectively eliminating redundancy during the decoding phase. Multiple Subs are cascaded to form the multi-scale subtraction module (MSSM), which progressively refines local feature representations, thereby enhancing segmentation accuracy. During training, a training-free lossnet module is introduced, establishing a multi-level supervision strategy that encompasses background suppression, contour refinement, and region-of-interest consistency. Extensive experiments on three large-scale and challenging HRSI road datasets, including DeepGlobe, SpaceNet, and Massachusetts, demonstrate that SAM2MS significantly outperforms baseline methods across nearly all evaluation metrics. Furthermore, cross-dataset transfer experiments (from DeepGlobe to SpaceNet and Massachusetts) conducted without any additional training validate the model’s exceptional generalization capability and robustness. Full article
(This article belongs to the Section Remote Sensing Image Processing)
Show Figures

Figure 1

18 pages, 1767 KB  
Article
A Blind Few-Shot Learning for Multimodal-Biological Signals with Fractal Dimension Estimation
by Nadeem Ullah, Seung Gu Kim, Jung Soo Kim, Min Su Jeong and Kang Ryoung Park
Fractal Fract. 2025, 9(9), 585; https://doi.org/10.3390/fractalfract9090585 - 3 Sep 2025
Viewed by 999
Abstract
Improving the decoding accuracy of biological signals has been a research focus for decades to advance health, automation, and robotic industries. However, challenges like inter-subject variability, data scarcity, and multifunctional variability cause low decoding accuracy, thus hindering the practical deployment of biological signal [...] Read more.
Improving the decoding accuracy of biological signals has been a research focus for decades to advance health, automation, and robotic industries. However, challenges like inter-subject variability, data scarcity, and multifunctional variability cause low decoding accuracy, thus hindering the practical deployment of biological signal paradigms. This paper proposes a multifunctional biological signals network (Multi-BioSig-Net) that addresses the aforementioned issues by devising a novel blind few-shot learning (FSL) technique to quickly adapt to multiple target domains without needing a pre-trained model. Specifically, our proposed multimodal similarity extractor (MMSE) and self-multiple domain adaptation (SMDA) modules address data scarcity and inter-subject variability issues by exploiting and enhancing the similarity between multimodal samples and quickly adapting the target domains by adaptively adjusting the parameters’ weights and position, respectively. For multifunctional learning, we proposed inter-function discriminator (IFD) that discriminates the classes by extracting inter-class common features and then subtracts them from both classes to avoid false prediction of the proposed model due to overfitting on the common features. Furthermore, we proposed a holistic-local fusion (HLF) module that exploits contextual-detailed features to adapt the scale-varying features across multiple functions. In addition, fractal dimension estimation (FDE) was employed for the classification of left-hand motor imagery (LMI) and right-hand motor imagery (RMI), confirming that proposed method can effectively extract the discriminative features for this task. The effectiveness of our proposed algorithm was assessed quantitatively and statistically against competent state-of-the-art (SOTA) algorithms utilizing three public datasets, demonstrating that our proposed algorithm outperformed SOTA algorithms. Full article
Show Figures

Figure 1

24 pages, 3694 KB  
Article
Enhancing the Distinguishability of Minor Fluctuations in Time Series Classification Using Graph Representation: The MFSI-TSC Framework
by He Nai, Chunlei Zhang and Xianjun Hu
Sensors 2025, 25(15), 4672; https://doi.org/10.3390/s25154672 - 29 Jul 2025
Cited by 1 | Viewed by 663
Abstract
In industrial systems, sensors often classify collected time series data for incipient fault diagnosis. However, time series data from sensors during the initial stages of a fault often exhibits minor fluctuation characteristics. Existing time series classification (TSC) methods struggle to achieve high classification [...] Read more.
In industrial systems, sensors often classify collected time series data for incipient fault diagnosis. However, time series data from sensors during the initial stages of a fault often exhibits minor fluctuation characteristics. Existing time series classification (TSC) methods struggle to achieve high classification accuracy when these minor fluctuations serve as the primary distinguishing feature. This limitation arises because the low-amplitude variations of these fluctuations, compared with trends, lead the classifier to prioritize and learn trend features while ignoring the minor fluctuations crucial for accurate classification. To address this challenge, this paper proposes a novel graph-based time series classification framework, termed MFSI-TSC. MFSI-TSC first extracts the trend component of the raw time series. Subsequently, both the trend series and the raw series are represented as graphs by extracting the “visible relationship” of the series. By performing a subtraction operation between these graphs, the framework isolates the differential information arising from the minor fluctuations. The subtracted graph effectively captures minor fluctuations by highlighting topological variations, thereby making them more distinguishable. Furthermore, the framework incorporates optimizations to reduce computational complexity, facilitating its deployment in resource-constrained sensor systems. Finally, empirical evaluation of MFSI-TSC on both real-world and publicly available datasets demonstrates its effectiveness. Compared with ten benchmark methods, MFSI-TSC exhibits both high accuracy and computational efficiency, making it more suitable for deployment in sensor systems to complete incipient fault detection tasks. Full article
(This article belongs to the Section Fault Diagnosis & Sensors)
Show Figures

Figure 1

22 pages, 12545 KB  
Article
Denoised Improved Envelope Spectrum for Fault Diagnosis of Aero-Engine Inter-Shaft Bearing
by Danni Li, Longting Chen, Hanbin Zhou, Jinyuan Tang, Xing Zhao and Jingsong Xie
Appl. Sci. 2025, 15(15), 8270; https://doi.org/10.3390/app15158270 - 25 Jul 2025
Viewed by 906
Abstract
The inter-shaft bearing is an important component of aero-engine rotor systems. It works between a high-pressure rotor and a low-pressure rotor. Effective fault diagnosis of it is significant for an aero-engine. The casing vibration signals can promptly and intuitively reflect changes in the [...] Read more.
The inter-shaft bearing is an important component of aero-engine rotor systems. It works between a high-pressure rotor and a low-pressure rotor. Effective fault diagnosis of it is significant for an aero-engine. The casing vibration signals can promptly and intuitively reflect changes in the operational health status of an aero-engine’s support system. However, affected by a complex vibration transmission path and vibration of the dual-rotor, the intrinsic vibration information of the inter-shaft bearing is faced with strong noise and a dual-frequency excitation problem. This excitation is caused by the wide span of vibration source frequency distribution that results from the quite different rotational speeds of the high-pressure rotor and low-pressure rotor. Consequently, most existing fault diagnosis methods cannot effectively extract inter-shaft bearing characteristic frequency information from the casing signal. To solve this problem, this paper proposed the denoised improved envelope spectrum (DIES) method. First, an improved envelope spectrum generated by a spectrum subtraction method is proposed. This method is applied to solve the multi-source interference with wide-band distribution problem under dual-frequency excitation. Then, an improved adaptive-thresholding approach is subsequently applied to the resultant subtracted spectrum, so as to eliminate the influence of random noise in the spectrum. An experiment on a public run-to-failure bearing dataset validates that the proposed method can effectively extract an incipient bearing fault characteristic frequency (FCF) from strong background noise. Furthermore, the experiment on the inter-shaft bearing of an aero-engine test platform validates the effectiveness and superiority of the proposed DIES method. The experimental results demonstrate that this proposed method can clearly extract fault-related information from dual-frequency excitation interference. Even amid strong background noise, it precisely reveals the inter-shaft bearing’s fault-related spectral components. Full article
Show Figures

Figure 1

35 pages, 3157 KB  
Article
Federated Unlearning Framework for Digital Twin–Based Aviation Health Monitoring Under Sensor Drift and Data Corruption
by Igor Kabashkin
Electronics 2025, 14(15), 2968; https://doi.org/10.3390/electronics14152968 - 24 Jul 2025
Cited by 2 | Viewed by 2164
Abstract
Ensuring data integrity and adaptability in aircraft health monitoring (AHM) is vital for safety-critical aviation systems. Traditional digital twin (DT) and federated learning (FL) frameworks, while effective in enabling distributed, privacy-preserving fault detection, lack mechanisms to remove the influence of corrupted or adversarial [...] Read more.
Ensuring data integrity and adaptability in aircraft health monitoring (AHM) is vital for safety-critical aviation systems. Traditional digital twin (DT) and federated learning (FL) frameworks, while effective in enabling distributed, privacy-preserving fault detection, lack mechanisms to remove the influence of corrupted or adversarial data once these have been integrated into global models. This paper proposes a novel FL–DT–FU framework that combines digital twin-based subsystem modeling, federated learning for collaborative training, and federated unlearning (FU) to support the post hoc correction of compromised model contributions. The architecture enables real-time monitoring through local DTs, secure model aggregation via FL, and targeted rollback using gradient subtraction, re-aggregation, or constrained retraining. A comprehensive simulation environment is developed to assess the impact of sensor drift, label noise, and adversarial updates across a federated fleet of aircraft. The experimental results demonstrate that FU methods restore up to 95% of model accuracy degraded by data corruption, significantly reducing false negative rates in early fault detection. The proposed system further supports auditability through cryptographic logging, aligning with aviation regulatory standards. This study establishes federated unlearning as a critical enabler for resilient, correctable, and trustworthy AI in next-generation AHM systems. Full article
(This article belongs to the Special Issue Artificial Intelligence-Driven Emerging Applications)
Show Figures

Graphical abstract

17 pages, 7542 KB  
Article
Accelerated Tensor Robust Principal Component Analysis via Factorized Tensor Norm Minimization
by Geunseop Lee
Appl. Sci. 2025, 15(14), 8114; https://doi.org/10.3390/app15148114 - 21 Jul 2025
Viewed by 933
Abstract
In this paper, we aim to develop an efficient algorithm for the solving Tensor Robust Principal Component Analysis (TRPCA) problem, which focuses on obtaining a low-rank approximation of a tensor by separating sparse and impulse noise. A common approach is to minimize the [...] Read more.
In this paper, we aim to develop an efficient algorithm for the solving Tensor Robust Principal Component Analysis (TRPCA) problem, which focuses on obtaining a low-rank approximation of a tensor by separating sparse and impulse noise. A common approach is to minimize the convex surrogate of the tensor rank by shrinking its singular values. Due to the existence of various definitions of tensor ranks and their corresponding convex surrogates, numerous studies have explored optimal solutions under different formulations. However, many of these approaches suffer from computational inefficiency primarily due to the repeated use of tensor singular value decomposition in each iteration. To address this issue, we propose a novel TRPCA algorithm that introduces a new convex relaxation for the tensor norm and computes low-rank approximation more efficiently. Specifically, we adopt the tensor average rank and tensor nuclear norm, and further relax the tensor nuclear norm into a sum of the tensor Frobenius norms of the factor tensors. By alternating updates of the truncated factor tensors, our algorithm achieves efficient use of computational resources. Experimental results demonstrate that our algorithm achieves significantly faster performance than existing reference methods known for efficient computation while maintaining high accuracy in recovering low-rank tensors for applications such as color image recovery and background subtraction. Full article
Show Figures

Figure 1

17 pages, 7597 KB  
Article
Screen-Printed 1 × 4 Quasi-Yagi-Uda Antenna Array on Highly Flexible Transparent Substrate for the Emerging 5G Applications
by Matthieu Egels, Anton Venouil, Chaouki Hannachi, Philippe Pannier, Mohammed Benwadih and Christophe Serbutoviez
Electronics 2025, 14(14), 2850; https://doi.org/10.3390/electronics14142850 - 16 Jul 2025
Cited by 1 | Viewed by 1060
Abstract
In the Internet of Things (IoT) era, the demand for cost-effective, flexible, wearable antennas and circuits has been growing. Accordingly, screen-printing techniques are becoming more popular due to their lower costs and high-volume manufacturing. This paper presents and investigates a full-screen-printed 1 × [...] Read more.
In the Internet of Things (IoT) era, the demand for cost-effective, flexible, wearable antennas and circuits has been growing. Accordingly, screen-printing techniques are becoming more popular due to their lower costs and high-volume manufacturing. This paper presents and investigates a full-screen-printed 1 × 4 Quasi-Yagi-Uda antenna array on a high-transparency flexible Zeonor thin-film substrate for emerging 26 GHz band (24.25–27.55 GHz) 5G applications. As part of this study, screen-printing implementation rules are developed by properly managing ink layer thickness on a transparent flexible Zeonor thin-film dielectric to achieve a decent antenna array performance. In addition, a screen-printing repeatability study has been carried out through a performance comparison of 24 antenna array samples manufactured by our research partner from CEA-Liten Grenoble. Despite the challenging antenna array screen printing at higher frequencies, the measured results show a good antenna performance as anticipated from the traditional subtractive printed circuit board (PCB) manufacturing process using standard substrates. It shows a wide-band matched input impedance from 22–28 GHz (i.e., 23% of relative band-width) and a maximum realized gain of 12.8 dB at 27 GHz. Full article
Show Figures

Figure 1

Back to TopTop