Transfer-Efficient Power Allocation for Downlink SWIPT in Massive MIMO Systems
Abstract
1. Introduction
- The massive MIMO downlink system with hybrid signal transfer of information and energy is investigated in the paper. The closed-form expression of achievable rate is obtained for each information terminal based on maximum-ratio (MR) precoding. The closed-form expression of harvested energy is also obtained for each energy terminal based on energy beamforming.
- The ITE maximization problem under the achievable rate requirement at each information terminal and limited power budget for information terminals is formulated. The ETE maximization problem under the harvested energy requirement at each energy terminal and limited power budget for energy terminals is formulated. The two problems are fractional programming problems and are very difficult to solve directly. To provide solutions, two corresponding algorithms for the two problems are respectively proposed by a series of mathematical analyses.
- The effectiveness of two algorithms is demonstrated by numerical results. The ITE maximization algorithm indicates that ITE first increases and reaches a maximum value with power budget for information terminals in the low-power domain, and then it decreases slowly in the high-power domain. The ETE maximization algorithm reveals that ETE first increases slowly and then rises rapidly with power budget for energy terminals in the low-power domain, however, ETE saturates gradually in the high-power domain. In addition, the trade-off between ITE and ETE is also shown.
2. System Model
2.1. Uplink Channel Estimation
2.2. Downlink SWIPT
3. Transfer Efficiency Problem Formulations
3.1. ITE Problem Formulation
3.2. ETE Problem Formulation
4. Power Allocation Optimizations
4.1. Power Allocation for Maximizing ITE
| Algorithm 1 ITEM algorithm to obtain optimal power allocation for information terminals. |
| Input: maximum tolerance for bisection method, SCA, and Lagrangian dual method, respectively, maximum number of iterations for SCA and Lagrangian dual method, respectively, and ITE search interval . Output: and . while ; Initialize and ; ; ; while or ; calculate via (36) using fixed point iterations; update and via (30) and (31); calculate ; end while calculate via (16) with ; update and via (30) and (31), respectively. calculate ; end while calculate via (25); If , let , otherwise, let ; end while Denote and . |
4.2. Power Allocation for Maximizing ETE
| Algorithm 2 ETEM algorithm to obtain optimal power allocation for energy terminals. |
| Input: maximum tolerance , power allocation for information terminals , and ETE search interval . Output: and . while ; calculate via linear programming based on (39); calculate ; If , let , otherwise, let ; end while Denote and . |
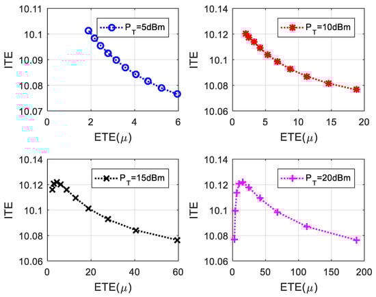
5. Numerical Results
6. Conclusions
Author Contributions
Funding
Data Availability Statement
Conflicts of Interest
Correction Statement
Appendix A
Appendix B
References
- Morocho-Cayamcela, M.E.; Lee, H.; Lim, W. Machine Learning for 5G/B5G Mobile and Wireless Communications: Potential, Limitations, and Future Directions. IEEE Access 2019, 7, 137184–137206. [Google Scholar] [CrossRef]
- Zhang, J.; Bjrnson, E.; Matthaiou, M.; Ng, D.W.K.; Yang, H.; Love, D.J. Prospective Multiple Antenna Technologies for Beyond 5G. IEEE J. Sel. Areas Commun. 2020, 38, 1637–1660. [Google Scholar] [CrossRef]
- Rusek, F.; Persson, D.; Lau, B.K.; Larsson, E.G.; Marzetta, T.L.; Edfors, O.; Tufvesson, F.F. Scaling up MIMO: Opportunities and Challenges with Very Large Arrays. IEEE Signal Process. Mag. 2013, 30, 40–60. [Google Scholar] [CrossRef]
- Ngo, H.Q.; Larsson, E.G.; Marzetta, T.L. Energy and Spectral Efficiency of Very Large Multiuser MIMO Systems. IEEE Trans. Commun. 2013, 61, 1436–1449. [Google Scholar] [CrossRef]
- Interdonato, G.; Karlsson, M.; Bjornson, E.; Larsson, E.G. Local Partial Zero-Forcing Precoding for Cell-Free Massive MIMO. IEEE Trans. Wirel. Commun. 2020, 19, 4758–4774. [Google Scholar] [CrossRef]
- Buzzi, S.; Chih-Lin, I.; Klein, T.E.; Poor, H.V.; Yang, C.; Zappone, A. A Survey of Energy-Efficient Techniques for 5G Networks and Challenges Ahead. IEEE J. Sel. Areas Commun. 2016, 34, 697–709. [Google Scholar] [CrossRef]
- Zappone, A.; Sanguinetti, L.; Bacci, G.; Jorswieck, E.; Debbah, M. Energy-Efficient Power Control: A Look at 5G Wireless Technologies. IEEE Trans. Signal Process. 2016, 7, 1668–1683. [Google Scholar] [CrossRef]
- Wang, X.; Zhai, C. Simultaneous Wireless Information and Power Transfer for Downlink Multi-User Massive Antenna-Array Systems. IEEE Trans. Commun. 2017, 65, 4039–4048. [Google Scholar] [CrossRef]
- Dong, G.; Zhang, H.; Jin, S.; Yuan, D. Energy Efficiency-Oriented Joint User Association and Power Allocation in Distributed Massive MIMO Systems. IEEE Trans. Veh. Technol. 2019, 68, 5794–5808. [Google Scholar] [CrossRef]
- Souza, J.W.; Abrao, T. Energy Efficiency Maximization for Intelligent Surfaces-Aided Massive MIMO With Zero Forcing. IEEE Trans. Green Commun. Netw. 2024, 8, 802–814. [Google Scholar]
- You, L.; Huang, Y.; Zhang, D.; Chang, Z.; Gao, X. Energy Efficiency Optimization for Multi-Cell Massive MIMO: Centralized and Distributed Power Allocation Algorithms. IEEE Trans. Commun. 2021, 69, 5228–5242. [Google Scholar] [CrossRef]
- Nguyen, L.D.; Tuan, H.D.; Duong, T.Q.; Poor, H.V.; Hanzo, L. Energy-Efficient Multi-Cell Massive MIMO Subject to Minimum User-Rate Constraints. IEEE Trans. Commun. 2021, 69, 914–928. [Google Scholar] [CrossRef]
- Khodamoradi, V.; Sali, A.; Messadi, O.; Khalili, A.; Ali, B.M. Energy-Efficient Massive MIMO SWIPT-Enabled Systems. IEEE Trans. Veh. Technol. 2022, 71, 5111–5127. [Google Scholar] [CrossRef]
- Lee, B.M. Efficient Power Control Strategies for Massive MIMO in High-Density Massive IoT Networks. IEEE Internet Things J. 2024, 11, 21773–21787. [Google Scholar] [CrossRef]
- Mai, T.C.; Ngo, H.Q.; Tran, L.N. Energy Efficiency Maximization in Large-Scale Cell-Free Massive MIMO: A Projected Gradient Approach. IEEE Trans. Wirel. Commun. 2022, 21, 6357–6371. [Google Scholar] [CrossRef]
- Choi, J.; Park, J.; Lee, N. Energy Efficiency Maximization Precoding for Quantized Massive MIMO Systems. IEEE Trans. Wirel. Commun. 2022, 21, 6803–6817. [Google Scholar] [CrossRef]
- Xu, K.; Zheng, F.C.; Xu, H.G.; Zhu, X.; Xiong, X.G. Energy Efficient Beamforming for Millimeter-Wave Massive MIMO Systems Under User-Wise Asymmetric UplinkDownlink Traffic. IEEE Trans. Wirel. Commun. 2023, 22, 7522–7536. [Google Scholar] [CrossRef]
- Chen, S.F.; Zhang, J.Y.; Björnson, E.; Demir, Ö.T.; Ai, B. Energy-Efficient Cell-Free Massive MIMO Through Sparse Large-Scale Fading Processing. IEEE Trans. Wirel. Commun. 2023, 22, 9374–9389. [Google Scholar] [CrossRef]
- Liu, Z.H.; Lee, C.H.; Xu, W.J.; Li, S.Y. Energy-Efficient Design for Massive MIMO with Hardware Impairments. IEEE Trans. Wirel. Commun. 2021, 20, 843–857. [Google Scholar] [CrossRef]
- Ngo, H.Q.; Tran, L.N.; Duong, T.Q.; Matthaiou, M.; Larsson, E.G. On the Total Energy Efficiency of Cell-Free Massive MIMO. IEEE Trans. Green Commun. Netw. 2018, 2, 25–39. [Google Scholar] [CrossRef]
- Guo, Y.C.; Tang, J.L.; Wu, G.; Li, S.Q. Power allocation for massive MIMO: Impact of power amplifier efficiency. Sci. China-Inf. Sci. 2016, 59, 1–9. [Google Scholar] [CrossRef]
- Zhao, L.; Wang, X.D.; Zheng, K. Downlink Hybrid Information and Energy Transfer with Massive MIMO. IEEE Trans. Wirel. Commun. 2016, 15, 1309–1322. [Google Scholar] [CrossRef]
- Jang, S.; Lee, H.; Kang, S.; Oh, T.; Lee, I. Energy Efficient SWIPT Systems in Multi-Cell MISO Networks. IEEE Trans. Wirel. Commun. 2018, 17, 8180–8194. [Google Scholar] [CrossRef]
- Leng, S.; Ng, D.W.K.; Zlatanov, N.; Schober, R. Multi-objective beamforming for energy-efficient SWIPT systems. In Proceedings of the 2016 International Conference on Computing, Networking and Communications (ICNC), Kauai, HI, USA, 15–18 February 2016; Volume 16, pp. 1–7. [Google Scholar]
- Sun, W.F.; Li, J.Z. Power allocation optimization for hybrid information and energy transfer with massive MIMO downlink. IET Commun. 2023, 17, 1998–2008. [Google Scholar] [CrossRef]
- Zhang, R.; Ho, C.K. MIMO Broadcasting for Simultaneous Wireless Information and Power Transfer. IEEE Trans. Wirel. Commun. 2013, 12, 1989–2001. [Google Scholar] [CrossRef]
- Xu, J.; Liu, L.; Zhang, R. Multiuser MISO Beamforming for Simultaneous Wireless Information and Power Transfer. IEEE Trans. Signal Process. 2014, 62, 4798–4810. [Google Scholar] [CrossRef]
- Lee, H.; Lee, S.R.; Lee, K.J.; Kong, H.B.; Lee, I. Optimal Beamforming Designs for Wireless Information and Power Transfer in MISO Interference Channels. IEEE Trans. Wirel. Commun. 2015, 14, 4810–4821. [Google Scholar] [CrossRef]
- Björnson, E.; Larsson, E.G.; Debbah, M. Massive MIMO for Maximal Spectral Efficiency: How Many Users and Pilots Should Be Allocated? IEEE Trans. Wirel. Commun. 2016, 15, 1293–1308. [Google Scholar] [CrossRef]
- Yang, G.; Ho, C.K.; Zhang, R.; Guan, Y.L. Throughput Optimization for Massive MIMO Systems Powered by Wireless Energy Transfer. IEEE J. Sel. Areas Commun. 2015, 33, 1640–1650. [Google Scholar] [CrossRef]
- Dai, Y.; Dong, X. Power Allocation for Multi-Pair Massive MIMO Two-Way AF Relaying with Linear Processing. IEEE Trans. Wirel. Commun. 2016, 15, 5932–5946. [Google Scholar] [CrossRef]
- Hassibi, B.; Hochwald, B.M. How much training is needed in multiple-antenna wireless links? IEEE Trans. Inf. Theory 2003, 49, 951–963. [Google Scholar] [CrossRef]
- Jose, J.; Ashikhmin, A.; Marzetta, T.L.; Vishwanath, S. Pilot Contamination and Precoding in Multi-Cell TDD Systems. IEEE Trans. Wirel. Commun. 2011, 10, 2640–2651. [Google Scholar] [CrossRef]
- Chien, T.V.; Björnson, E.; Larsson, E.G. Joint Power Allocation and User Association Optimization for Massive MIMO Systems. IEEE Trans. Wirel. Commun. 2016, 15, 6384–6399. [Google Scholar] [CrossRef]
- He, S.; Huang, Y.; Jin, S.; Yang, L. Coordinated Beamforming for Energy Efficient Transmission in Multicell Multiuser Systems. IEEE Trans. Commun. 2013, 61, 4961–4971. [Google Scholar] [CrossRef]
- Zhou, T.; Huang, Y.; Yang, L. Energy-efficient user association in downlink heterogeneous cellular networks. IET Commun. 2016, 10, 1553–1561. [Google Scholar] [CrossRef]
- Papandriopoulos, J.; Evans, J.S. SCALE: A Low-Complexity Distributed Protocol for Spectrum Balancing in Multiuser DSL Networks. IEEE Trans. Inf. Theory 2009, 55, 3711–3724. [Google Scholar] [CrossRef]
- Chen, Q.; Yu, G.; Yin, R.; Li, G.Y. Energy-Efficient User Association and Resource Allocation for Multistream Carrier Aggregation. IEEE Trans. Veh. Technol. 2016, 65, 6366–6376. [Google Scholar] [CrossRef]
- Bono, F.M.; Polinelli, A.; Radicioni, L.; Benedetti, L.; Castelli-Dezza, F.; Cinquemani, S.; Belloli, M. Wireless Accelerometer Architecture for Bridge SHM: From Sensor DesigntoSystemDeployment. Future Internet 2025, 17, 29. [Google Scholar] [CrossRef]
- Wang, S.; Wang, W.; Zheng, Y. Dual-Functional Quasi-Uniform Beam-Scanning Antenna Array with Endfire Radiation Capability for Integrated Sensing and Communication Applications. IEEE Trans. Veh. Technol. 2025, 14, 1–11. [Google Scholar] [CrossRef]
- Björnson, E.; Hoydis, J.; Sanguinetti, L. Massive MIMO Networks: Spectral, Energy, and Hardware Efficiency. Found. Trends Signal Process. 2017, 11, 154–655. [Google Scholar] [CrossRef]
- Yates, R.D. A framework for uplink power control in cellular radio systems. IEEE J. Sel. Areas Commun. 1995, 13, 1341–1347. [Google Scholar] [CrossRef]









Disclaimer/Publisher’s Note: The statements, opinions and data contained in all publications are solely those of the individual author(s) and contributor(s) and not of MDPI and/or the editor(s). MDPI and/or the editor(s) disclaim responsibility for any injury to people or property resulting from any ideas, methods, instructions or products referred to in the content. |
© 2025 by the authors. Licensee MDPI, Basel, Switzerland. This article is an open access article distributed under the terms and conditions of the Creative Commons Attribution (CC BY) license (https://creativecommons.org/licenses/by/4.0/).
Share and Cite
Sun, W.; Ma, Y.; Wang, X.; You, H. Transfer-Efficient Power Allocation for Downlink SWIPT in Massive MIMO Systems. Electronics 2025, 14, 3679. https://doi.org/10.3390/electronics14183679
Sun W, Ma Y, Wang X, You H. Transfer-Efficient Power Allocation for Downlink SWIPT in Massive MIMO Systems. Electronics. 2025; 14(18):3679. https://doi.org/10.3390/electronics14183679
Chicago/Turabian StyleSun, Wenfeng, Yuanyuan Ma, Xuanhui Wang, and Haidong You. 2025. "Transfer-Efficient Power Allocation for Downlink SWIPT in Massive MIMO Systems" Electronics 14, no. 18: 3679. https://doi.org/10.3390/electronics14183679
APA StyleSun, W., Ma, Y., Wang, X., & You, H. (2025). Transfer-Efficient Power Allocation for Downlink SWIPT in Massive MIMO Systems. Electronics, 14(18), 3679. https://doi.org/10.3390/electronics14183679
