Sign in to use this feature.

Years

Between: -

Subjects

remove_circle_outline
remove_circle_outline
remove_circle_outline
remove_circle_outline
remove_circle_outline
remove_circle_outline
remove_circle_outline

Journals

Article Types

Countries / Regions

Search Results (15)

Search Parameters:
Keywords = pair-copula construction

Order results
Result details
Results per page
Select all
Export citation of selected articles as:
19 pages, 1821 KB  
Article
Seismic Reliability Analysis of Reinforced Concrete Arch Bridges Considering Component Correlation
by Jianjun Liu, Jijin Zhang, Hanzhao Zhang, Hongping Ye and Xuemin Wang
Buildings 2025, 15(24), 4442; https://doi.org/10.3390/buildings15244442 - 9 Dec 2025
Viewed by 579
Abstract
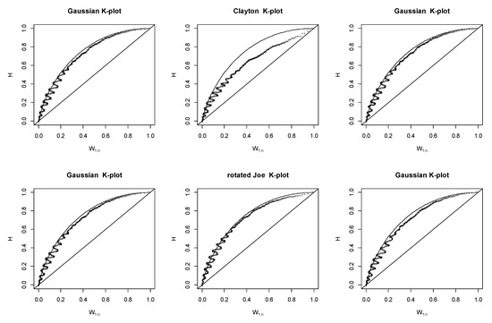
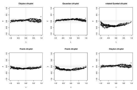
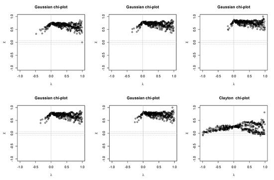
To more effectively account for the correlation between components in the seismic reliability analysis of reinforced concrete arch bridges, this study proposes a system seismic reliability analysis method based on the D-vine Copula function. First, based on the theories of seismic vulnerability and [...] Read more.
To more effectively account for the correlation between components in the seismic reliability analysis of reinforced concrete arch bridges, this study proposes a system seismic reliability analysis method based on the D-vine Copula function. First, based on the theories of seismic vulnerability and hazard, the seismic vulnerability curves of key components (arch ring, piers, main girder, columns) and the site hazard curves are obtained. Second, a trial algorithm is used to determine alternative combinations of Pair-Copula functions. The maximum likelihood estimation method is employed to solve for the parameter θ, and the optimal Pair-Copula function is selected based on AIC and BIC information criteria. The optimal Pair-Copula function for each layer in the D-vine structure is determined through hierarchical iteration, ultimately constructing a seismic reliability evaluation framework for arch bridge systems that incorporates component correlations. The results show that the damage probability of the arch ring is consistently the highest, followed by the piers and main girder, with the columns having the lowest probability. Compared to ignoring component correlation, the seismic reliability indices of the system under minor, moderate, severe damage, and complete failure states all decrease when correlation is considered, indicating that component correlation significantly affects system reliability. Ignoring correlation leads to an overestimation of the system’s seismic performance. The seismic reliability indices obtained by the D-vine Copula method and Monte Carlo simulation are in good agreement, with a maximum relative error not exceeding 2.26%, verifying the applicability and accuracy of the D-vine Copula method in the reliability analysis of complex structural systems. By constructing an accurate joint probability distribution model, this study effectively accounts for the nonlinear correlation characteristics between components. Compared to the traditional Monte Carlo simulation, which relies on large-scale repeated sampling, the D-vine Copula method significantly reduces computational complexity through analytical derivation, improving computational efficiency by over 80%. Full article
(This article belongs to the Section Building Structures)
Show Figures

Figure 1

28 pages, 1641 KB  
Article
Bayesian Estimation of R-Vine Copula with Gaussian-Mixture GARCH Margins: An MCMC and Machine Learning Comparison
by Rewat Khanthaporn and Nuttanan Wichitaksorn
Mathematics 2025, 13(23), 3886; https://doi.org/10.3390/math13233886 - 4 Dec 2025
Viewed by 968
Abstract
This study proposes Bayesian estimation of multivariate regular vine (R-vine) copula models with generalized autoregressive conditional heteroskedasticity (GARCH) margins modeled by Gaussian-mixture distributions. The Bayesian estimation approach includes Markov chain Monte Carlo and variational Bayes with data augmentation. Although R-vines typically involve computationally [...] Read more.
This study proposes Bayesian estimation of multivariate regular vine (R-vine) copula models with generalized autoregressive conditional heteroskedasticity (GARCH) margins modeled by Gaussian-mixture distributions. The Bayesian estimation approach includes Markov chain Monte Carlo and variational Bayes with data augmentation. Although R-vines typically involve computationally intensive procedures limiting their practical use, we address this challenge through parallel computing techniques. To demonstrate our approach, we employ thirteen bivariate copula families within an R-vine pair-copula construction, applied to a large number of marginal distributions. The margins are modeled as exponential-type GARCH processes with intertemporal capital asset pricing specifications, using a mixture of Gaussian and generalized Pareto distributions. Results from an empirical study involving 100 financial returns confirm the effectiveness of our approach. Full article
(This article belongs to the Special Issue Contemporary Bayesian Analysis: Methods and Applications)
Show Figures

Figure 1

25 pages, 5988 KB  
Article
Reliability Analysis of Deep Foundation Pit Using the Gaussian Copula-Based Bayesian Network
by Bin Tan and Qiyuan Peng
Mathematics 2024, 12(24), 3961; https://doi.org/10.3390/math12243961 - 17 Dec 2024
Cited by 2 | Viewed by 1693
Abstract
Urban underground space development has heightened concerns over the safety of deep foundation pit construction. This study conducted time-series monitoring of critical safety-influencing factors and applied the Gaussian copula-based Bayesian network (GCBN) model for comprehensive reliability analysis of deep foundation pit support structures. [...] Read more.
Urban underground space development has heightened concerns over the safety of deep foundation pit construction. This study conducted time-series monitoring of critical safety-influencing factors and applied the Gaussian copula-based Bayesian network (GCBN) model for comprehensive reliability analysis of deep foundation pit support structures. The GCBN model, integrating the multivariate data management of pair copula with Bayesian network’s uncertainty handling, found that building settlement has the greatest impact on the safety of deep foundation pit and revealed a reliability index (β) of 0.44 in an actual case, suggesting a hazardous condition. Based on the reliability index β, emergency measures were promptly taken. Compared to traditional reliability methods, the approach presented in this paper takes into account the dependence among monitoring indicators, which is more aligned with actual engineering conditions and holds significant reference value for the safety assessment of underground engineering structures. Full article
Show Figures

Figure 1

17 pages, 743 KB  
Article
Copula Models of COVID-19 Mortality in Minnesota and Wisconsin
by Xianhui Lei and Arkady Shemyakin
Risks 2023, 11(11), 193; https://doi.org/10.3390/risks11110193 - 3 Nov 2023
Cited by 3 | Viewed by 2180
Abstract
In this study, we assess COVID-19-related mortality in Minnesota and Wisconsin with the aim of demonstrating both the temporal dynamics and the magnitude of the pandemic’s influence from an actuarial risk standpoint. In the initial segment of this paper, we discuss the methodology [...] Read more.
In this study, we assess COVID-19-related mortality in Minnesota and Wisconsin with the aim of demonstrating both the temporal dynamics and the magnitude of the pandemic’s influence from an actuarial risk standpoint. In the initial segment of this paper, we discuss the methodology successfully applied to describe associations in financial and engineering time series. By applying time series analysis, specifically the autoregressive integrated with moving average methods (ARIMA), to weekly mortality figures at the national or state level, we subsequently delve into a marginal distribution examination of ARIMA residuals, addressing any deviation from the standard normality assumption. Thereafter, copulas are utilized to architect joint distribution models across varied geographical domains. The objective of this research is to offer a robust statistical model that utilizes observed mortality datasets from neighboring states and nations to facilitate precise short-term mortality projections. In the subsequent section, our focus shifts to a detailed scrutiny of the statistical interdependencies manifesting between Minnesota and Wisconsin’s weekly COVID-19 mortality figures, adjusted for the time series structure. Leveraging open-source data made available by the CDC and pertinent U.S. state government entities, we apply the ARIMA methodology with subsequent residual distribution modeling. To establish dependence patterns between the states, pair copulas are employed to articulate the relationships between the ARIMA residuals, drawing from fully parametric models. We explore several classes of copulas, comprising both elliptic and Archimedean families. Emphasis is placed on copula model selection. Student t-copula with the marginals modeled by non-standard t-distribution is suggested for ARIMA residuals of Minnesota and Wisconsin COVID mortality as the model of choice based on information criteria and tail cumulation. The copula approach is suggested for the construction of short-term prediction intervals for COVID-19 mortality based on publicly available data. Full article
Show Figures

Figure 1

18 pages, 2826 KB  
Article
Copula-Based Multivariate Simulation Approach for Flood Risk Transfer of Multi-Reservoirs in the Weihe River, China
by Shen Wang, Jing Wu, Siyi Wang, Xuesong Xie, Yurui Fan, Lianhong Lv and Guohe Huang
Water 2022, 14(17), 2676; https://doi.org/10.3390/w14172676 - 29 Aug 2022
Cited by 6 | Viewed by 2656
Abstract
The interplay of multi-reservoirs is critical in reservoir joint disposal and water conservancy projects. As the flood risk of upstream hydrological stations could be transferred and unevenly distributed to downstream tributary stations, flood risk transfer through multi-reservoirs warrants further investigation. This study proposed [...] Read more.
The interplay of multi-reservoirs is critical in reservoir joint disposal and water conservancy projects. As the flood risk of upstream hydrological stations could be transferred and unevenly distributed to downstream tributary stations, flood risk transfer through multi-reservoirs warrants further investigation. This study proposed a copula simulation approach to develop a joint flood risk distribution of multi-reservoirs (spanning Xianyang, Huaxian County, and Zhangjiashan) in a drainage tributary of the Weihe River. Pair-copulas of each reservoir pair were constructed to analyse the correlations between the reservoir sites. The approach was then used to create a joint flood risk distribution for the reservoirs. The flood risk and corresponding flood volume of Zhangjiashan were calculated based on the flood risk levels of Xianyang and Huaxian County. The results indicate that the flood risks of Huaxian County would be transferred to Xianyang and Zhangjiashan to some extent, and Xianyang could mitigate more flood risks from Huaxian County than from Zhangjiashan. The findings have significance for informed decision-making regarding the Zhangjiashan reservoir construction project. Full article
(This article belongs to the Section Hydrology)
Show Figures

Figure 1

33 pages, 4435 KB  
Article
Parametric Vine Copula Framework in the Trivariate Probability Analysis of Compound Flooding Events
by Shahid Latif and Slobodan P. Simonovic
Water 2022, 14(14), 2214; https://doi.org/10.3390/w14142214 - 13 Jul 2022
Cited by 25 | Viewed by 5265
Abstract
The interaction between oceanographic, meteorological, and hydrological factors can result in an extreme flooding scenario in the low-lying coastal area, called compound flooding (CF) events. For instance, rainfall and storm surge (or high river discharge) can be driven by the same meteorological forcing [...] Read more.
The interaction between oceanographic, meteorological, and hydrological factors can result in an extreme flooding scenario in the low-lying coastal area, called compound flooding (CF) events. For instance, rainfall and storm surge (or high river discharge) can be driven by the same meteorological forcing mechanisms, tropical or extra-tropical cyclones, resulting in a CF phenomenon. The trivariate distributional framework can significantly explain compound events’ statistical behaviour reducing the associated high-impact flood risk. Resolving heterogenous dependency of the multidimensional CF events by incorporating traditional 3D symmetric or fully nested Archimedean copula is quite complex. The main challenge is to preserve all lower-level dependencies. An approach based on decomposing the full multivariate density into simple local building blocks via conditional independence called vine or pair-copulas is a much more comprehensive way of approximating the trivariate flood dependence structure. In this study, a parametric vine copula of a drawable (D-vine) structure is introduced in the trivariate modelling of flooding events with 46 years of observations of the west coast of Canada. This trivariate framework searches dependency by combining the joint impact of annual maximum 24-h rainfall and the highest storm surge and river discharge observed within the time ±1 day of the highest rainfall event. The D-vine structures are constructed in three alternative ways by permutation of the conditioning variables. The most appropriate D-vine structure is selected using the fitness test statistics and estimating trivariate joint and conditional joint return periods. The investigation confirms that the D-vine copula can effectively define the compound phenomenon’s dependency. The failure probability (FP) method is also adopted in assessing the trivariate hydrologic risk. It is observed that hydrologic events defined in the trivariate case produce higher FP than in the bivariate (or univariate) case. It is also concluded that hydrologic risk increases (i) with an increase in the service design life of the hydraulic facilities and (ii) with a decrease in return periods. Full article
(This article belongs to the Section Hydrology)
Show Figures

Figure 1

18 pages, 341 KB  
Article
Diversity of Bivariate Concordance Measures
by Martynas Manstavičius
Mathematics 2022, 10(7), 1103; https://doi.org/10.3390/math10071103 - 29 Mar 2022
Cited by 4 | Viewed by 1855
Abstract
We revisit the axioms of Scarsini, defining bivariate concordance measures for a pair of continuous random variables (X,Y); such measures can be understood as functions of the bivariate copula C associated with (X,Y). [...] Read more.
We revisit the axioms of Scarsini, defining bivariate concordance measures for a pair of continuous random variables (X,Y); such measures can be understood as functions of the bivariate copula C associated with (X,Y). Two constructions, investigated in the works of Edwards, Mikusiński, Taylor, and Fuchs, are generalized, yielding, in particular, examples of higher than degree-two polynomial-type concordance measures, along with examples of non-polynomial-type concordance measures, and providing an incentive to investigate possible further characterizations of such concordance measures, as was achieved by Edwards and Taylor for the degree-one case. Full article
(This article belongs to the Special Issue Modeling and Simulation in Dynamical Systems)
9 pages, 739 KB  
Article
Revisiting the Copula-Based Trading Method Using the Laplace Marginal Distribution Function
by Tayyebeh Nadaf, Taher Lotfi and Stanford Shateyi
Mathematics 2022, 10(5), 783; https://doi.org/10.3390/math10050783 - 1 Mar 2022
Cited by 5 | Viewed by 3446
Abstract
Pairs trading under the copula approach is revisited in this paper. It is well known that financial returns arising from indices in markets may not follow the features of normal distribution and may exhibit asymmetry or fatter tails, in particular. Due to this, [...] Read more.
Pairs trading under the copula approach is revisited in this paper. It is well known that financial returns arising from indices in markets may not follow the features of normal distribution and may exhibit asymmetry or fatter tails, in particular. Due to this, the Laplace distribution is employed in this work to fit the marginal distribution function, which will then be employed in a copula function. In fact, a multivariate copula function is constructed on two indices (based on the Laplace marginal distribution), enabling us to obtain the associated probabilities required for the process of pairs trade and creating an efficient tool for trading. Full article
(This article belongs to the Special Issue New Trends and Developments in Numerical Analysis)
Show Figures

Figure 1

15 pages, 1104 KB  
Article
Copula-Based Infilling Methods for Daily Suspended Sediment Loads
by Jenq-Tzong Shiau and Yu-Cheng Lien
Water 2021, 13(12), 1701; https://doi.org/10.3390/w13121701 - 19 Jun 2021
Cited by 11 | Viewed by 3356
Abstract
Less-frequent and inadequate sampling of sediment data has negatively impacted the long and continuous records required for the design and operation of hydraulic facilities. This data-scarcity problem is often found in most river basins of Taiwan. This study aims to propose a parsimonious [...] Read more.
Less-frequent and inadequate sampling of sediment data has negatively impacted the long and continuous records required for the design and operation of hydraulic facilities. This data-scarcity problem is often found in most river basins of Taiwan. This study aims to propose a parsimonious probabilistic model based on copulas to infill daily suspended sediment loads using streamflow discharge. A copula-based bivariate distribution model of sediment and discharge of the paired recorded data is constructed first. The conditional distribution of sediment load given observed discharge is used to provide probabilistic estimation of sediment loads. In addition, four different methods based on the derived conditional distribution of sediment load are used to give single-value estimations. The obtained outcomes of these methods associated with the results of the traditional sediment rating curve are compared with recorded data and evaluated in terms of root mean square error (RMSE), mean absolute percentage error (MAPE), Nash-Sutcliffe efficiency (NSE), and modified Nash-Sutcliffe efficiency (MNSE). The proposed approach is applied to the Janshou station located in eastern Taiwan with recorded daily data for the period of 1960–2019. The results indicate that the infilled sediments by the sediment rating curve exhibit better performance in RMSE and NSE, while the copula-based methods outperform in MAPE and MNSE. Additionally, the infilled sediments by the copula-based methods preserve scattered characteristics of observed sediment-discharge relationships and exhibit similar frequency distributions to that of recorded sediment data. Full article
(This article belongs to the Section Hydrology)
Show Figures

Figure 1

15 pages, 5154 KB  
Article
Probabilistic Load Flow Approach Considering Dependencies of Wind Speed, Solar Irradiance, Electrical Load and Energy Exchange with a Joint Probability Distribution Model
by Marie-Louise Kloubert
Energies 2020, 13(7), 1727; https://doi.org/10.3390/en13071727 - 4 Apr 2020
Cited by 13 | Viewed by 3290
Abstract
The modelling of stochastic feed-ins and demands becomes essential for transmission grid operation and planning due to the extension of renewable energy sources (RES). Neglecting the correlation between uncertain variables and/or oversimplifying the distribution through the assumption of Normal distributions leads to the [...] Read more.
The modelling of stochastic feed-ins and demands becomes essential for transmission grid operation and planning due to the extension of renewable energy sources (RES). Neglecting the correlation between uncertain variables and/or oversimplifying the distribution through the assumption of Normal distributions leads to the inaccurate determination of future network states. Therefore, the uncertainties need to be accurately modelled in order to be used in a probabilistic load flow approach. This paper analyses the characteristics of wind speed and solar irradiance for different locations throughout countries and models the dependencies between them. In addition, the total electrical load and the energy exchange between neighbouring countries are analysed. All of these uncertainties are modelled together in a high-dimensional joint probability distribution using pair-copula constructions. The model is applied to generate samples and determine the probability of extreme events, e.g. high RES production and low demand. The probability for rather high load (>65 GW) and low RES production with wind speed less than 3 m/s and solar irradiance less than 100 W m ² at 90% of all stations is e.g. 0.064%. In addition, the model is integrated in a probabilistic load flow approach in order to analyse the German transmission grid for a future scenario of the year 2025. With the copula, samples are generated as an input for the Monte Carlo simulation approach. The approach enables the assessment of planned HVDC lines. When considering the HVDC lines, the load on the AC lines can be significantly reduced. Full article
(This article belongs to the Special Issue Uncertainties and Risk Management in Competitive Energy Markets)
Show Figures

Figure 1

18 pages, 2729 KB  
Article
Deriving Design Flood Hydrographs Based on Copula Function: A Case Study in Pakistan
by Muhammad Rizwan, Shenglian Guo, Jiabo Yin and Feng Xiong
Water 2019, 11(8), 1531; https://doi.org/10.3390/w11081531 - 24 Jul 2019
Cited by 19 | Viewed by 4742
Abstract
Flood events are characterized by flood peaks and volumes that can be mutually constructed using a copula function. The Indus basin system of Pakistan is periodically threatened by floods during monsoon seasons and thus causes huge losses to infrastructure as well as the [...] Read more.
Flood events are characterized by flood peaks and volumes that can be mutually constructed using a copula function. The Indus basin system of Pakistan is periodically threatened by floods during monsoon seasons and thus causes huge losses to infrastructure as well as the community and economy. The design flood hydrograph (DFH) of suitable magnitude and degree is imperative for sheltering dams against the flood risk. The hydrological pair of flood peak and volume is required to be defined using a multivariate analysis method. In this paper, the joint probability function of the hydrological pair is employed to derive the DFH in the Indus basin system of Pakistan. Firstly, we compared the fitting performance of different probability distributions (PDs) as a marginal distribution. Next, we compared the Archimedean family of copulas to construct the bivariate joint distribution of flood peak and volume. Later, the equal frequency combination (EFC) method and most likely combination (MLC) method using “OR” joint return period (JRPor), was involved to derive the design flood quantiles. Finally, we derived the DFH using the two combination methods based on Gumbel–Hougaard copula for different return periods. We presented the combination methods for updating the shape of the DFH in Pakistan. Our study will contribute towards the improvement of design standards of dams and environmental recovery in Pakistan. Full article
(This article belongs to the Special Issue Management of Hydrological Extremes: Floods and Droughts)
Show Figures

Figure 1

23 pages, 830 KB  
Article
Bayesian Inference for Latent Factor Copulas and Application to Financial Risk Forecasting
by Benedikt Schamberger, Lutz F. Gruber and Claudia Czado
Econometrics 2017, 5(2), 21; https://doi.org/10.3390/econometrics5020021 - 23 May 2017
Cited by 14 | Viewed by 9534
Abstract
Factor modeling is a popular strategy to induce sparsity in multivariate models as they scale to higher dimensions. We develop Bayesian inference for a recently proposed latent factor copula model, which utilizes a pair copula construction to couple the variables with the latent [...] Read more.
Factor modeling is a popular strategy to induce sparsity in multivariate models as they scale to higher dimensions. We develop Bayesian inference for a recently proposed latent factor copula model, which utilizes a pair copula construction to couple the variables with the latent factor. We use adaptive rejection Metropolis sampling (ARMS) within Gibbs sampling for posterior simulation: Gibbs sampling enables application to Bayesian problems, while ARMS is an adaptive strategy that replaces traditional Metropolis-Hastings updates, which typically require careful tuning. Our simulation study shows favorable performance of our proposed approach both in terms of sampling efficiency and accuracy. We provide an extensive application example using historical data on European financial stocks that forecasts portfolio Value at Risk (VaR) and Expected Shortfall (ES). Full article
(This article belongs to the Special Issue Recent Developments in Copula Models)
Show Figures

Figure 1

15 pages, 361 KB  
Review
Pair-Copula Constructions for Financial Applications: A Review
by Kjersti Aas
Econometrics 2016, 4(4), 43; https://doi.org/10.3390/econometrics4040043 - 29 Oct 2016
Cited by 68 | Viewed by 15267
Abstract
This survey reviews the large and growing literature on the use of pair-copula constructions (PCCs) in financial applications. Using a PCC, multivariate data that exhibit complex patterns of dependence can be modeled using bivariate copulae as simple building blocks. Hence, this model represents [...] Read more.
This survey reviews the large and growing literature on the use of pair-copula constructions (PCCs) in financial applications. Using a PCC, multivariate data that exhibit complex patterns of dependence can be modeled using bivariate copulae as simple building blocks. Hence, this model represents a very flexible way of constructing higher-dimensional copulae. In this paper, we survey inference methods and goodness-of-fit tests for such models, as well as empirical applications of the PCCs in finance and economics. Full article
(This article belongs to the Special Issue Recent Developments in Copula Models)
Show Figures

Figure 1

15 pages, 857 KB  
Article
Application of Vine Copulas to Credit Portfolio Risk Modeling
by Marco Geidosch and Matthias Fischer
J. Risk Financial Manag. 2016, 9(2), 4; https://doi.org/10.3390/jrfm9020004 - 7 Jun 2016
Cited by 19 | Viewed by 8341
Abstract
In this paper, we demonstrate the superiority of vine copulas over conventional copulas when modeling the dependence structure of a credit portfolio. We show statistical and economic implications of replacing conventional copulas by vine copulas for a subportfolio of the Euro Stoxx 50 [...] Read more.
In this paper, we demonstrate the superiority of vine copulas over conventional copulas when modeling the dependence structure of a credit portfolio. We show statistical and economic implications of replacing conventional copulas by vine copulas for a subportfolio of the Euro Stoxx 50 and the S&P 500 companies, respectively. Our study includes D-vines and R-vines where the bivariate building blocks are chosen from the Gaussian, the t and the Clayton family. Our findings are (i) the conventional Gauss copula is deficient in modeling the dependence structure of a credit portfolio and economic capital is seriously underestimated; (ii) D-vine structures offer a better statistical fit to the data than classical copulas, but underestimate economic capital compared to R-vines; (iii) when mixing different copula families in an R-vine structure, the best statistical fit to the data can be achieved which corresponds to the most reliable estimate for economic capital. Full article
(This article belongs to the Special Issue Credit Risk)
Show Figures

Figure 1

22 pages, 3764 KB  
Article
Predictive Uncertainty Estimation of Hydrological Multi-Model Ensembles Using Pair-Copula Construction
by Bastian Klein, Dennis Meissner, Hans-Ulrich Kobialka and Paolo Reggiani
Water 2016, 8(4), 125; https://doi.org/10.3390/w8040125 - 31 Mar 2016
Cited by 29 | Viewed by 9318
Abstract
Predictive uncertainty (PU) is defined as the probability of occurrence of an observed variable of interest, conditional on all available information. In this context, hydrological model predictions and forecasts are considered to be accessible but yet uncertain information. To estimate the PU of [...] Read more.
Predictive uncertainty (PU) is defined as the probability of occurrence of an observed variable of interest, conditional on all available information. In this context, hydrological model predictions and forecasts are considered to be accessible but yet uncertain information. To estimate the PU of hydrological multi-model ensembles, we apply a method based on the use of copulas which enables modelling the dependency structures between variates independently of their marginal distributions. Given that the option to employ copula functions imposes certain limitations in the multivariate case, we model the multivariate distribution as a cascade of bivariate copulas by using the pair-copula construction. We apply a mixture of probability distributions to estimate the marginal densities and distributions of daily flow rates for various meteorological and hydrological situations. The proposed method is applied to a multi-model ensemble involving two hydrological and one statistical flow models at two gauge stations in the Moselle river basin. Verification and inter-comparison with other PU assessment methods show that copulas are well-suited for this scope and constitute a valid approach for predictive uncertainty estimation of hydrological multi-model predictions. Full article
(This article belongs to the Special Issue Uncertainty Analysis and Modeling in Hydrological Forecasting)
Show Figures

Figure 1

Back to TopTop