Next Article in Journal
Reduced Forgetfulness in Continual Learning for Named Entity Recognition Through Confident Soft-Label Imitation
Next Article in Special Issue
Failure Mode of Deep-Buried Rectangular Chamber and Upper Bound Solution of Surrounding Rock Pressure
Previous Article in Journal
A Class of Binary Codes Using a Specific Automorphism Group
Previous Article in Special Issue
Generalized Multiscale Finite Element Method and Balanced Truncation for Parameter-Dependent Parabolic Problems
 
 
Font Type:
Arial Georgia Verdana
Font Size:
Aa Aa Aa
Line Spacing:
Column Width:
Background:
Article

Reliability Analysis of Deep Foundation Pit Using the Gaussian Copula-Based Bayesian Network

School of Transportation and Logistics, Southwest Jiaotong University, Chengdu 610031, China
*
Author to whom correspondence should be addressed.
Mathematics 2024, 12(24), 3961; https://doi.org/10.3390/math12243961
Submission received: 19 September 2024 / Revised: 27 November 2024 / Accepted: 29 November 2024 / Published: 17 December 2024

Abstract

Urban underground space development has heightened concerns over the safety of deep foundation pit construction. This study conducted time-series monitoring of critical safety-influencing factors and applied the Gaussian copula-based Bayesian network (GCBN) model for comprehensive reliability analysis of deep foundation pit support structures. The GCBN model, integrating the multivariate data management of pair copula with Bayesian network’s uncertainty handling, found that building settlement has the greatest impact on the safety of deep foundation pit and revealed a reliability index ( β ) of 0.44 in an actual case, suggesting a hazardous condition. Based on the reliability index β , emergency measures were promptly taken. Compared to traditional reliability methods, the approach presented in this paper takes into account the dependence among monitoring indicators, which is more aligned with actual engineering conditions and holds significant reference value for the safety assessment of underground engineering structures.

1. Introduction

With rapid economic growth and accelerated urbanization, the challenge of limited surface land use has inevitably emerged. As the availability of above-ground urban space diminishes, the utilization of underground space has increased, leading to the widespread adoption of deep foundation pit construction technologies in complex urban environments. However, accidents related to deep excavation, such as excavation collapses [1,2,3] and water ingress with soil [4,5,6], continue to occur, causing significant damage to the surrounding environment and substantial economic losses for projects [7]. The dynamic nature of excavation processes, coupled with the uncertainty of geological conditions and construction methods, adds further complexity to the assessment of collapse risks. Therefore, evaluating the safety status of foundation pit engineering systems under uncertain and ambiguous environments and accurately identifying key factors is of great significance in reducing the probability of foundation pit engineering accidents. To address the increasing incidence of such accidents, numerous studies have been conducted. Lin [8] developed a decision support approach for effective collapse risk analysis in engineering projects using a multi-state Bayesian network (MSBN) and fuzzy set theory. Shen [9] introduced a cloud model-based method for evaluating excavation risk status, while Jong [10] utilized a novel machine-learning technique based on Bayesian networks to assess and predict soil–structure interactions caused by braced excavations.
Recently, various risk analysis methods for excavation have been developed, broadly categorized into qualitative and quantitative analyses. Qualitative methods primarily include Dempster–Shafer evidence theory [11,12], analytical hierarchy process (AHP) [13,14], and fuzzy AHP [15,16]. These approaches are widely used for safety evaluations in geotechnical engineering projects. However, they do not account for correlations between risk factors or the probability of risk events due to the combined effects of these factors. Additionally, qualitative methods do not quantify risks, which can result in inaccurate judgments by on-site personnel, potentially leading to risk events.
In contrast, quantitative methods primarily rely on extensive monitoring data to evaluate construction risks on-site. Risks are often represented using safety factors, reliability indices, or risk values. Many scholars have recently employed machine learning for quantitative risk analysis in geotechnical engineering. Zhang [17] proposed an AutoML-based approach to investigate the effects of deep excavations on adjacent shield tunnels and predict tunnel displacements induced by excavation accurately. Pan [18] developed a novel multi-classifier information fusion approach that integrates probabilistic support vector machines (SVMs) with improved Dempster–Shafer (D–S) evidence theory for risk analysis under uncertainty. Li [19] introduced a hybrid deep learning model called Att-BiLSTM, combining bidirectional long short-term memory networks (Bi-LSTMs) with a self-attention mechanism to predict the risk posed by excavations to adjacent buildings dynamically. However, these machine learning-based quantitative methods often neglect uncertainties in geotechnical conditions and construction processes, which can lead to either underestimation or overestimation of risk. In practice, obtaining sufficient effective monitoring data for training machine learning models is challenging due to various influencing factors, limiting the applicability of these quantitative methods.
Excavation deformation and safety are influenced by complex soil–structure interactions and numerous other factors [20]. Any change in these factors can affect the final evaluation results. The traditional system reliability analysis usually assumes that the system components and the components are independent of each other. The analysis results often superimpose the failure probability of multiple failure modes, so as to analyze and evaluate the reliability of the system. However, in the safety and reliability evaluation of deep foundation pits, the risk factors of system failure are very complex, and there is a complex time-coupling interaction relationship between them. It is difficult to characterize the dependent structure of each component and unit of a complex system through traditional reliability analysis. Bayesian networks, introduced by Judea Pearl in 1985 [21], are probabilistic graphical models characterized by a directed acyclic graph (DAG) structure. These networks are particularly effective at modeling uncertainty in causal relationships, making them suitable for modeling complex systems and dealing with uncertainties [22]. Given their effectiveness in risk analysis and decision support under uncertain conditions, Bayesian networks have been applied in civil engineering to evaluate various risk factors comprehensively. For example, in situations where failure scenarios and probabilistic relationships in underground engineering require expert input, fuzzy set theory and Dempster–Shafer (D–S) evidence theory are often used to translate expert opinions into a usable format. Zhou [23] proposed a Bayesian network-based risk analysis model to evaluate diaphragm wall deflection safety during excavation. Zhang [24] used fuzzy Bayesian networks (FBNs) to explore causal relationships between tunnel-induced damage and its influential variables based on risk/hazard mechanism analysis. Wang [25] combined the fuzzy comprehensive evaluation method (FCEM) and Bayesian networks to assess risks in metro construction projects under uncertainty. However, in these models, all nodes are discrete. In real-world monitoring processes, most data are continuous variables, and classical Bayesian networks require these continuous variables to be discretized into a finite number of intervals. This discretization often results in information loss due to arbitrary interval divisions [26,27,28]. Furthermore, for discretized Bayesian networks, the number of parameter states for each node increases exponentially with the number of states of other variables and their parent nodes, leading to increased computational complexity. An incomplete summary of existing representative qualitative and quantitative risk assessment methods is shown in Table 1.
To overcome these limitations, this paper introduces copula theory into Bayesian networks to model the complex causal relationships in deep foundation pit construction. Copula theory, initially proposed by Sklar [29], uses marginal functions to describe the distribution of random variables and copula functions to describe their dependencies. Originally applied in finance [30], hydrology [31], and meteorology [32], copula theory has achieved significant results. Pair copula, an extension of copula theory, is a method for high-dimensional dependency modeling [33]. Kurowicka [34] applied the pair-copula concept to Bayesian networks, resulting in the development of the Gaussian copula-based Bayesian network model (GCBN). In geotechnical engineering, scholars have adopted the GCBN model for dynamic risk assessment of underground structures. Wang [35] developed a knowledge-based expert system for tunneling risk analysis using pair copula and Bayesian networks. Liu [36] proposed a copula-based approach to construct dependence structures for different failure mechanisms.
Table 1. Number of monitoring points for each monitoring item.
Table 1. Number of monitoring points for each monitoring item.
Representative ArticlesMethodsEngineering Application
Li [11]Improved AHP MethodOpen-cut subway construction
Deng [12]AHP-Cloud ModelUnderground public space
Lin [13]Fussy AHP ModelSubway station construction
Chen [15]3D FEM ModelInfluence of excavation on existing metro tunnels
Zhang [17]Genetic Algorithm (GA)-ML ModelsInfluence of excavation on existing metro tunnels
Pan [18]Svm Model And D–S Evidence TheoryOperational tunnel
Li [19]Att-Bilstm MethodExcavation-induced risks to adjacent buildings
Zhou [23]Bayesian NetworkDiaphragm wall
Wang [25]Fuzzy Comprehensive Bayesian NetworkMetro construction
Liu [35]Bayesian-Copula ModelFace stability for tunnel excavation
This paper applies the GCBN model to analyze the reliability of the support structure of an open-cut tunnel under complex conditions at the Twenty Chong Station excavation site of the Nansha–Zhuhai (Zhongshan) Intercity Railway project. It demonstrates the application and advantages of the GCBN model in real-world deep foundation pit projects, offering new insights and methods for safety evaluation and risk management of deep foundation pit support structures.
The remainder of this paper is organized as follows: Section 2 introduces the basic theories and frameworks of pair-copula theory, Bayesian networks, and the GCBN model. Section 3 describes the engineering conditions and monitoring scheme of the project. Section 4 outlines the steps for constructing the GCBN model based on the project’s specific conditions. Section 5 presents the reliability analysis of the deep foundation pit support structure using the GCBN model. Finally, Section 6 provides conclusions and future work.

2. Methods and Theories

2.1. Pair-Copula Theory

The origins of copula theory date back to 1959 when Sklar proposed that an N-dimensional joint distribution function could be decomposed into N marginal distribution functions and a copula function, which describes the dependencies among the variables. The copula function is defined in the N-dimensional unit space 0 , 1 n , and its marginal distribution is a joint distribution function with uniform distribution of 0 , 1 . It can be called a connection function because it can flexibly connect random variables with different marginal distributions into a joint distribution function. The marginal distribution describes the information of each variable, and the copula function captures the dependence between variables. Nelsen [37] provided a rigorous definition of the copula function, stating that it links the joint distribution function F ( x 1 , x 2 , , x N ) of a random vector X 1 , X 2 , , X N with their respective marginal distribution functions F 1   x 1 , , F N x N and the copula function C ( u 1 , u 2 , , u N ) , thus satisfying the following relationship:
F x 1 , x 2 , , x n = C F 1 x 1 , F 2 x 2 , , F n x n ; θ
In the equation, F x 1 , x 2 , , x n represents the joint distribution function of the variables x 1 , x 2 , , x n ; F 1 x 1 , F 2 x 2 , , F n x n is their respective marginal distribution functions, and θ is the parameter of the copula function C F 1 x 1 , F 2 x 2 , , F n x n ; θ .
In the early stage of copula development, it is mostly used in binary cases. Due to the limitations of multivariate copulas in modeling dependencies among high-dimensional data, Joe [38] proposed the pair-copula method. This method decomposes a multivariate copula function into a series of bivariate copula functions, providing greater flexibility in describing conditional dependencies, asymmetries, and tail dependencies in high-dimensional data. Building upon Joe’s work, Bedford et al. [39] and Cooke et al. [40] further developed the vine-copula method, marking a significant advancement in the application of copula theory. They decomposed high-dimensional copula into binary pair copula according to the preset cascade structure through the graphical tool of ‘Vine‘, and used pair copula to capture the correlation between two variables, making modeling more flexible.
In pair-copula theory, the joint probability density function f ( x 1 , x 2 , , x N ) of a random vector X 1 , X 2 , , X N can be decomposed into the product of multiple probability distribution function:
f x 1 , x 2 , , x N = f 1 x 1 f x 2 x 1 f x N x 1 , , x N 1
When n = 2, we have the following:
f x 1 , x 2 = f 1 x 1 f x 2 x 1 = c 12 F 1 x 1 , F 2 x 2 f 1 x 1 f 2 x 2
Equations (2) and (3) are both derived from the multiplication rule in probability theory. As seen in Equation (4), based on the bivariate copula theory, f x 1 , x 2 , the joint probability density function of two variables x 1 , x 2 , is decomposed into the product of the marginal probability density functions f 1 x 1 , f 2 x 2 and the copula function c 12 F 1 x 1 , F 2 x 2 .
By combining Equations (3) and (4), we obtain f x 2 x 1 :
f x 2 x 1 = c 12 F 1 x 1 , F 2 x 2 f 2 x 2
Extending to a multidimensional model, we obtain the following:
f x z = C x , z j z j F x z j , F z j z j f x z j
In the equation, x is an element of a random vector X 1 , X 2 , , X N . z = z 1 , , z j , , z d is a vector representing the variables with a dimensionality of d; z j 1 j d is a randomly selected element from vector z, and z j is the vector z with the element zj removed. C x , z j z j represents the pair-copula function. The corresponding joint distribution function is given by the following equation:
F x z = C x , z j z j F x z j , F z j z j F z j z j

2.2. Bayesian Network

A Bayesian network, also known as a belief network, probabilistic network, or causal network, is a graphical model designed to represent and reason about knowledge under uncertainty. Mathematically, it is structured as a directed acyclic graph (DAG), where each node represents a random variable, and the directed edges indicate probabilistic dependencies between these variables. In a Bayesian network, each node is associated with a probability function that depends on the states of its parent nodes. For nodes without parent nodes, this probability function corresponds to their marginal probability distribution. This structure allows Bayesian networks to efficiently represent joint probability distributions.
The core of a Bayesian network lies in using conditional probabilities and Bayes’ theorem to represent and compute the relationships between variables. For a given Bayesian network, the joint probability distribution can be expressed as the product of the conditional probabilities of all nodes in the network. Assuming that each node in the network represents a random variable, such as X 1 , X 2 , , X N , the joint probability distribution of the network can be expressed as follows:
P X 1 , X 2 , , X N = i = 1 N P X i Parents X i
Here, Parents X i denotes the set of parent nodes of Xi, which are all the nodes that can directly influence Xi in the network. P X i   Parents X i is the conditional probability of given its parent nodes Xi.
In traditional Bayesian methods, the probability of each variable is usually expressed by a clear discrete value rather than a continuous probability distribution, which is easy to cause the loss of statistical information. Additionally, for the design of traditional Bayesian networks, the number of variable parameters will increase exponentially with the number of other variables and their parent nodes, resulting in an overly complex model design, which is not conducive to rapid modeling and analysis. More importantly, these methods often fail to consider the dependence between the parameters in the analysis process, thus affecting the results of the analysis. In order to overcome the limitations of the above methods, the theory of the GCBN model which integrates copula theory into Bayesian networks is proposed to provide scientific, effective, and timely decision information support for reliability analysis of deep foundation pit.

2.3. Theory of the GCBN Model

The Gaussian copula-based Bayesian network (GCBN) was initially developed by Kurowicka et al. [16], combining Bayesian theory with pair-copula functions to enhance traditional Bayesian networks. The GCBN decomposes the joint distribution of random variables into a product of marginal density distributions and various bivariate pair-copula functions, thereby significantly simplifying the computations required in Bayesian networks. Compared to traditional Bayesian methods and vine-copula methods, the GCBN model can significantly reduce the number of model parameters, effectively saving computational time.
Let G = ( V , E ) represent a directed acyclic graph (DAG). In a Bayesian network, the vertex set V = { ν 1 , , ν n } represents a finite set of random variables, and the edge set E ε : = { ( ν , w ) V × V | ν w } represents the dependency relationships between these random variables. Here, ε is the set of all possible pairs of vertices, excluding repetitions, meaning v and w are distinct. For each edge v w , v V , w p a v in the Bayesian network, it can be expressed using a copula function. This means that the joint distribution copula function can be decomposed into C v , w p a v ; w . In the GCBN model, the joint distribution of random variables can be expressed as follows:
f x 1 , , x n = v V f v x v w pa v C v , w pa v ; w · F v pa v w x v x pa v w , F w pa v w x w x pa v w

3. Methodology

This paper utilizes the GCBN model to conduct a reliability analysis of deep foundation pit support structures, providing real-time and effective assessments of their reliability. The GCBN model integrates Bayesian networks with pair-copula theory. The process of constructing and analyzing the GCBN model in this study can be divided into three steps: Step 1, design of the GCBN model; Step 2, model verification; Step 3, reliability analysis based on the model. The specific process is shown in Figure 1.

3.1. Selection of Appropriate Monitoring Parameters

In the GCBN model, the input data must be in the form of random variables. In probability and statistics, random variables represent the outcomes of random phenomena. Due to the influence of various random factors on underground engineering, the monitored values (monitoring parameters) of the monitoring indicators are inherently variable and can be treated as random variables. The selection of monitoring parameters needs to fully reflect the deformation and stress of the deep foundation pit support structure.

3.2. Establishment of the Reliability Evaluation System

In this study, the weights of each monitoring data point for the reliability analysis are estimated using expert evaluation methods and the analytic hierarchy process (AHP), based on the characteristics of the monitoring data. As a result, the reliability of the deep foundation pit support structure is determined based on the monitoring data. The analytic hierarchy process (AHP) is a comprehensive evaluation method for system analysis and decision making, developed by American operations researcher and University of Pittsburgh professor T.L. Saaty in the 1970s [41]. It was proposed based on a thorough study of human thought processes and effectively addresses the quantification of qualitative issues. AHP’s primary feature is establishing a hierarchical structure that converts human judgments into pairwise comparisons of the importance of various factors. This approach enables the conversion of complex qualitative judgments into operational comparisons of importance [42]. In many cases, decision makers can directly use AHP for decision making, greatly enhancing the effectiveness, reliability, and feasibility of their decisions. It decomposes complex problems into multiple constituent factors and organizes these factors into a hierarchical structure according to their dominant relationships. The 1–9 scale method is a common approach for evaluating the importance of factors, using nine integers from 1 to 9 and their reciprocals as the evaluation scale [43]. Through pairwise comparisons, AHP determines the relative importance of decision options in a comprehensive ranking.

3.3. Identification of Optimal Marginal Distributions

The marginal distribution functions accurately represent the probability distributions of the monitoring parameters, and identifying the optimal marginal distribution is crucial for the accuracy of the reliability analysis. To determine the optimal marginal distribution, various distribution functions are fitted to each monitoring dataset. This study employs several commonly used distributions for optimal marginal distribution fitting, including the normal distribution, log-normal distribution, exponential distribution, Weibull distribution, and gamma distribution. These five types of distributions are the most commonly used distribution types for fitting the marginal distributions of variables. Wu [44] used the pair copula and Bayesian network to predict the safety of vault settlement in urban tunnels. They selected the optimal function among the normal, Weibull, gamma, and exponential functions that conform to the distribution law of the measured data. For the study of Zhang [45], the normal distribution, log-normal distribution, Gumbel distribution, and gamma distribution are selected as the set of candidate distributions to fit the marginal distributions. Wu [46] selected normal distribution, log-normal distribution, exponential distribution, Weibull distribution, and gamma distribution to determine the optimal marginal distribution. Before fitting these distributions to the monitoring data, the data must be normalized to facilitate the construction of the GCBN model.
x n e w = x 1 d x m i n 1 + d x m a x 1 d x m i n
In the context of normalization, x and x n e w represent the monitoring data before and after normalization, respectively. x m a x and x m i n are the maximum and minimum values of the data before normalization, respectively, and d is the confidence interval, which is set to 0.05.
In this study, the maximum likelihood estimation (MLE) method is employed for fitting the marginal distributions. Maximum likelihood estimation is a technique that can generate the most probable estimates of parameters for any distribution that fits the data. It is a method for solving a common problem in modeling and statistics—fitting a probability distribution to a dataset. The key concept of MLE is the likelihood function, which represents the probability of observing the given data as a function of the model parameters. For a set of independently and identically distributed observations x 1 , x 2 , , x n , and an assumed probability distribution f ( x ; θ ) parameterized by θ (this paper assumed normal distribution, log-normal distribution, exponential distribution, Weibull distribution, and gamma distribution), the likelihood function is as follows:
L ( θ ) = i = 1 n f ( x i ; θ )
where f ( x ; θ ) is the probability density function (or probability mass function for discrete data) of the assumed distribution. The objective of MLE is to identify the parameter θ that maximizes this likelihood function:
θ ^ = arg m a x θ   L ( θ )
Since the likelihood function involves a product, which can be computationally inconvenient, the following log-likelihood function is often used instead:
l ( θ ) = ln L ( θ ) = i = 1 n ln f ( x i ; θ )
Maximizing l ( θ ) is equivalent to maximizing L ( θ ) , but the log-transformed form simplifies calculations and avoids numerical issues when working with very small probabilities.
The likelihood function evaluates how well a set of parameters explains the observed data. A higher likelihood indicates that the data are more probable under the given parameter values. MLE identifies the parameter values θ ^ that maximize the likelihood, effectively making the observed data as probable as possible under the model.
After fitting the probability distributions of the marginal variables with five different probability distribution functions, it is necessary to test the goodness of fit to determine which distribution function can best fit the variables. The goodness of fit for different distribution functions is assessed using the Akaike information criterion (AIC) and the Bayesian information criterion (BIC). AIC, proposed by Japanese statistician Hirotugu Akaike in 1974 [47], is a standard measure for evaluating the goodness of fit of statistical models. It is based on the concept of entropy and provides a criterion for balancing model complexity with its fit to the data. Similarly, BIC, proposed by Schwarz in 1978 [48], also assesses model fit but includes a penalty term that accounts for sample size. When training a model, increasing the number of parameters (i.e., increasing model complexity) can improve the likelihood function but may lead to overfitting. Both AIC and BIC address this by introducing penalty terms related to the number of model parameters, with BIC applying a larger penalty that also considers sample size. This prevents excessive model complexity that could arise from achieving high accuracy with a large sample size. The distribution function with the smallest AIC and BIC values is considered the optimal marginal distribution. The formulas for AIC and BIC criteria are as follows:
AIC = 2 k 2 ln L BIC = ln n k 2 ln L
In the formulas above, n is the sample size, k is the number of parameters in the model, and L is the maximum value of the likelihood function of the model.

3.4. Model Parameter Evaluation

In this study, the Gaussian copula function is selected to construct the joint distribution function between the nodes of the GCBN model. The Gaussian copula is widely recognized for its appeal among various copula types. Figure 2 shows 2000 samples constructed from independent marginal distributions and multivariate distributions from Gaussian copula. Although the marginal distributions of the two sets of samples are exactly the same, the different dependencies make the distribution of the sample scatter points different.
The main advantage of using the Gaussian copula in the developed framework is its computational efficiency. This attribute is the driving factor behind the adoption of the Gaussian copula in references [49,50,51]. The Gaussian copula has demonstrated its effectiveness in establishing the joint distribution function within the GCBN model, showcasing its strength in capturing intricate dependencies at a minimal computational expense.
The parameter θ of the Gaussian copula function can typically be calculated using correlation measures [52]. The most widely used correlation measure is called the correlation coefficient (CC); the Kendall’s tau correlation coefficient is a non-parametric version of CC based on rank [53]. In this study, the Kendall’s tau correlation coefficient is chosen to determine the parameter θ of the Gaussian copula function. The formula for calculating the Kendall’s tau (τ) is as follows:
τ = i < j s i g n x 1 i x 1 j x 2 i x 2 j 0.5 n n 1
s i g n = 1 , if x 1 i x 1 j x 2 i x 2 j > 0 1 , if x 1 i x 1 j x 2 i x 2 j 0
n is the number of data points , i ,   j = 1 , 2 , , n , X1 and X2 are two sets of observed random vectors, respectively. x 1 i x 1 j x 2 i x 2 j are the two sets of observations for variables X1 and X2, respectively.
After the Kendall’s tau correlation coefficient τ has been calculated, based on the Equation (18) between the Kendall’s tau correlation coefficient τ and the copula function, the parameter θ of the copula function can be obtained from the Kendall’s tau correlation coefficient τ:
τ = 4 0 1 0 1 C u 1 , u 2 ; θ d C u 1 , u 2 ; θ 1

3.5. Design of the GCBN Model Structure

This section provides a detailed description of the entire process for designing the GCBN model structure. Firstly, in the Bayesian network, ten variables are set as root nodes (Vi, i = 1, 2, ……, 10), using the optimal marginal distributions as their probability distributions. After establishing the nodes, the parameters of the Gaussian copula function ( θ ) are calculated based on Kendall’s tau correlation coefficients to establish relationships between the nodes. These relationships are represented by directed arrows connecting the nodes. The directions within the Bayesian network are further refined and adjusted based on expert knowledge. Finally, functional nodes are added to restore the normalized node data, facilitating the calculation of the failure probability of the support structure.

3.6. Verification of the GCBN Model

To verify the accuracy of the model, Monte Carlo sampling was performed on the obtained GCBN model. The difference between the mean and standard deviation of the sampled data and true data shows the accuracy of the model. With the model’s accuracy verified, a correlation analysis can be performed on the indicators in the GCBN model.

3.7. The Reliability Analysis of the Deep Foundation Pit Support Structure

The failure probability of the foundation pit support structure is calculated from the probability distribution of the reliability node R in the GCBN model. For simplicity, values within the interval [0, 1] of the probability distribution of the reliability node R are considered to represent normal operation, while values outside this interval indicate failure of the foundation pit support structure. After determining the failure probability P f , the reliability index β is subsequently calculated.
β = Φ 1 P f
In the equation, Φ 1 is the inverse function of the normal distribution.

4. Project Overview

4.1. Basic Engineering Conditions

The safety of station excavation pits is crucial in tunnel construction, as it directly relates to the life safety of construction personnel and the stability of engineering structures, and also involves various aspects such as project costs, environmental impacts, compliance with laws and regulations, and social stability. It is a key factor in ensuring the success and sustainable development of tunnel construction projects. Twenty Chong Station is the tenth station on the Nansha to Zhuhai (Zhongshan) Intercity Railway project (Wanqingsha–Xingzhong section), situated south of Twenty Chong in Nansha District. The station is oriented in a southwest–northeast direction, with the center mileage of its effective platform at YEDK60 + 047.000. The design’s starting and ending mileages extend from YEDK59 + 835.500 to YBK60 + 275.700. The station features a two-level underground side platform design, with an overall length of 440.2 m, a standard section width ranging from 23.8 to 29.3 m, and an excavation depth of approximately 20.2 to 25.9 m. It employs a two-level underground single-column double-span frame structure. Before the construction of this subway station started, it was surrounded by fish ponds and located on a tidal flat. Its strata contained silt and thick sand layers, which had high water content and low shear strength, resulting in shrinkage holes and collapse during the construction of the station’s ground-connected walls. Therefore, conducting a safety assessment for this project has important reference value for subway construction in soft soil.
The station is equipped with three exits and two groups of wind pavilions, and both the station and its ancillary structures are constructed using the open-cut method. A plan view of Twenty Chong Station is presented in Figure 3 and Figure 4, showing the geological longitudinal section of the station, with the left side indicating the starting end and the right side indicating the terminating end of the station.

4.2. Geological and Hydrological Conditions

Drilling data from the construction site indicate that the strata within the excavation range of the station’s foundation pit mainly comprise plain fill layers, silty layers, silty clay layers, fine sand layers, silty soil layers, and medium-to-coarse sand layers. The structural base slab is located within the silty soil layer. For the open-cut foundation pit outside the station, the primary strata include fill layers and silt layers, with the structural base slab situated in the silt layer. The cross-sectional view of the retaining structure for Twenty Chong Station is shown in Figure 5.
The site’s geotechnical features are characterized by a combination of artificial fill, soft soil, residual soil, and weathered rock. The artificial fill layers exhibit low bearing capacity and significant, uneven deformation, with high porosity and strong permeability. Improper handling during foundation pit excavation and pile drilling can easily result in sidewall collapse or incomplete piles. The silt and silty soil layers are notable for their high water content, high compressibility, large porosity, low shear strength, and high sensitivity. These layers are prone to liquefaction under vibration, leading to lateral sliding, settlement, and base deformation. Additionally, soft soil can undergo slow and prolonged shear deformation under stress, adversely affecting the settlement and stability of building foundations. Regional geological data indicate that the route predominantly traverses granite areas. The residual soil derived from granite consists of gravelly clayey soil, sandy clayey soil, and localized clayey soil, with poor uniformity. In its natural state, it has relatively favorable mechanical properties, with moderate-to-high compressibility. However, it tends to soften and disintegrate upon contact with water, resulting in a rapid reduction in strength. Its particle composition includes a high content of coarse particles (>0.5 mm) and fine particles (<0.005 mm), with fewer particles in the intermediate size range. This unique composition gives it characteristics of both sandy and clayey soils, making it susceptible to piping and soil erosion under excessive hydraulic pressure due to the movement of fine particles through the voids of larger particles. Given the complex strata involved in the foundation pit excavation at Twenty Chong Station, continuous monitoring and risk assessment are essential throughout the construction period to ensure stability and safety.

4.3. Monitoring Plan

This project involves twelve types of monitoring items, including horizontal displacement at the top of the wall, column settlement displacement, settlement at the top of the wall, surrounding ground settlement, building settlement, internal force of the diaphragm wall, axial forces of the first, second, and third supports, soil inclinometer measurements, wall inclinometer measurements, and groundwater level monitoring. The actual support structure at the construction site is illustrated in Figure 6.
Monitoring points for horizontal displacement (at the top of the wall) are set at 15-m intervals. Monitoring points for vertical displacement (including column settlement displacement, settlement at the top of the wall, ground settlement, and building settlement) are also spaced at 15-m intervals. Monitoring points for deformation (using soil inclinometers and wall inclinometers) are drilled at 15-m intervals, with vertical intervals of 0.5 m between measurement points. Monitoring points for support axial force (including the internal force of the diaphragm wall, and axial forces of the first, second, and third supports) are arranged to cover more than 30% of the total supports. The number of monitoring points for each item is shown in Table 2, with some of these monitoring points illustrated in Figure 7.

5. Reliability Analysis of Deep Foundation Pit Using the GCBN Model

To balance model accuracy and computational complexity, nine monitoring parameters were selected based on a comprehensive review of on-site monitoring data and relevant literature [54,55]: horizontal displacement at the top of the wall (V1), column settlement (V2), settlement at the top of the wall (V3), ground settlement (V4), building settlement (V5), axial force of the first support (V6), axial force of the second support (V7), axial force of the third support (V8), wall inclinometer (V9), and soil inclinometer (V10) to construct the GCBN model. Figure 8 presents the monitoring data for soil inclinometers (T05, T06) and wall inclinometers (measurement points prefixed with “C”) on both sides of the excavation on a specific day. The negative displacement direction indicates movement toward the interior of the excavation. The figure shows that the maximum displacement depth for each measurement point is close to the depth of the foundation pit base slab (20 m). Deformation near the base slab is the greatest, with the maximum inclinometer displacement exceeding 250 mm, necessitating timely risk assessment.
There are many risk assessment methods available, and the appropriate method should be chosen based on the characteristics of the research object and the specific problem. Risk assessment can be broadly categorized into three types: qualitative assessment, quantitative assessment, and comprehensive assessment. Currently, the engineering community recognizes three primary failure modes for foundation pits: overturning failure, bottom heave, and overall instability [56]. Zhang [57] suggests that there are two categories and a total of seven failure modes for deep foundation pits, with correlations among these modes. Traditional reliability methods are considered quantitative assessments; however, the failure of deep foundation pits is influenced by many uncertain factors, making it difficult to obtain precise reliability measures.
In this paper, the analytic hierarchy process (AHP) is used to categorize the various monitoring data into two groups: the deep foundation pit and the surrounding environment, facilitating the construction of comparison matrices. Comparison matrices are used to assess the relative importance between pairs of elements, determining the importance of one element relative to another at a specific level. The structure of the deep foundation pit reliability evaluation obtained through AHP is shown in Figure 9.
After establishing the reliability evaluation structure, different weights are assigned to each monitoring parameter based on their relative importance in the reliability analysis of the deep foundation pit support structure. In this study, the primary level, consisting of the deep foundation pit (A1) and the surrounding environment (A2), is considered equally important, with each assigned a weight of 0.5. The ten monitoring parameters at the second level are assigned corresponding scales based on expert evaluations, and a judgment matrix is constructed to calculate the weights of each monitoring parameter. During the expert evaluation phase, this study consulted five experts, including three PhDs specializing in underground engineering and two professors (or associate professors) in the same field. The evaluation results from each PhD contributed 10% to the final evaluation, while each professor’s results contributed 35%. The final judgment matrices are shown in Table 3 and Table 4.
After obtaining the judgment matrix, the weights of each evaluation criterion can be calculated. First, the eigenvalues and the largest eigenvalue are computed sequentially:
W k = l = 1 n a k l n
λ k = l = 1 n a k l W l l = 1 n W l , λ max = . k = 1 n λ k n × W ¯ k
In the above equation, n denotes the number of variables involved in the computation of weights. k , l n , a i j represents the ratio of the importance of the element k to element l . W ¯ k is the average value of W k   λ k and λ max are the eigenvalues and the largest eigenvalue.
When constructing the judgment matrix, logical errors may occur, necessitating a consistency check. The consistency check is conducted using the consistency ratio (CR). A CR value less than 0.1 indicates that the data have passed the consistency check; otherwise, it has not. The CR value is calculated as the ratio of the consistency index (CI) to the random index (RI), where RI values are referenced from Table 5, and CI is obtained using Equation (12):
C I = λ max n n 1
The calculated weights of each criterion in the reliability analysis, along with the corresponding consistency check results, are presented in Table 6. As shown in Table 6, the CR values for both the deep foundation pit part (A1) and the surrounding environment part (A2) are less than 0.1, indicating that the weight calculations have passed the consistency check. The calculated weights are consistent and can be used for the subsequent GCBN model construction.
This study evaluates five commonly used distribution functions for fitting: normal distribution, log-normal distribution, exponential distribution, gamma distribution, and Weibull distribution. The optimal fitting distribution for each monitoring parameter is listed in Table 6. Each monitoring parameter is represented by a variable: horizontal displacement at the top of the wall (V1), column settlement (V2), settlement at the top of the wall (V3), ground settlement (V4), building settlement (V5), axial force of the first support (V6), axial force of the second support (V7), axial force of the third support (V8), wall inclinometer (V9), and soil inclino––meter (V10). The AIC criterion, BIC criterion, K–S test, and A-D test were employed to assess the goodness of fit of several candidate distributions—including normal, gamma, Weibull, log-normal, and exponential distributions—for the variables V1 to V10. The results of these tests are documented in Table 7, Table 8, Table 9, Table 10 and Table 11. With the marginal distributions of each variable determined, the next step is to estimate the parameters of the pair-copula functions for the GCBN model.
After calculating the Kendall correlation coefficients among all variables, the resulting variable pair plot is shown in Figure 10. In this plot, the lower diagonal positions display scatter plots between variables, the diagonal positions show histograms of individual variables, and the upper diagonal positions present the correlation coefficients between variables. Positive values indicate a positive correlation between parameters, while negative values indicate a negative correlation. An asterisk (*) following a correlation coefficient value denotes statistical significance, with the number of asterisks indicating the strength of the correlation. The plot reveals strong correlations between variables V1 and V2, V1 and V3, V1 and V4, V2 and V4, V2 and V8, V5 and V7, V5 and V10, and V7 and V10. Based on these correlations, pair-copula functions can be established between the monitoring parameters.
In the Bayesian network, ten variables are set as root nodes (Vi, i = 1,2,……,10). The restored data are input into the functional nodes deep_foundation_pit and surrounding_environment to obtain the probability distribution of each part. This probability distribution itself has no practical significance. To calculate the failure probability of each part, we define the probability distribution of each part as part_distribution, with the specific formula as follows:
part _ distribution = i = 1 m V i _ T U R E V i _ w a r n i n g w i
In the above equation, m represents the number of variables in each part, V i _ T U R E represents the distribution of the restored data, and V i _ w a r n i n g is the monitoring warning value of the variable. The monitoring warning values are derived from the Chinese foundation pit design specifications combined with the actual site conditions, as detailed in Table 12.
Finally, the overall probability distribution of the structure (Reliability_R) is calculated as the product of the part_distribution of each part and their respective weights. The constructed GCBN model for deep foundation pit reliability analysis is shown in Figure 11. In the figure, the rectangular nodes V1–V10 display their optimal marginal distributions, along with the mean and standard deviation of each node. The directed lines between the nodes represent their correlation relationships.
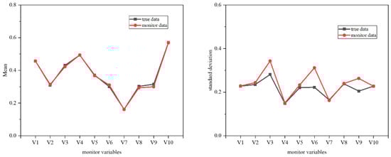
Monte Carlo sampling was performed on the obtained GCBN model, with a sample size of N = 10,000. The mean and standard deviation of the sampled data were calculated and compared with the original data, as shown in Figure 12. The figure shows that the mean values of the sample data from the GCBN model are generally consistent with the original data. However, the standard deviations of the simulated data for V3, V6, and V9 exhibit some deviations compared to the real data, likely due to the limited sample size of the real data used for fitting the optimal marginal distributions. Despite this, the deviations do not affect the practical application of the model. The obtained GCBN model demonstrates high accuracy, providing a solid foundation for subsequent reliability analysis.
With the model’s accuracy verified, a correlation analysis can be performed on the indicators in the GCBN model. The percentile cobweb chart is an effective method for analyzing the relationship between reliability R and variables V. In this chart, the horizontal axis represents each variable in the Bayesian network, while the vertical axis shows the percentile values of each variable. The scatter plot and fitted curve visually depict the dependency between each variable and the reliability indicator R, as shown in Figure 13. The upper part of the figure presents scatter plots and fitted curves of the Bayesian network variables and reliability R, while the lower part shows spider plots of the variables and reliability R. The percentile cobweb chart consists of red and blue line segments, where the red line represents the probability of the reliability indicator R in the interval [0.5, 1], indicating a high-risk section, and the blue line represents the opposite. The chart is symmetrically mirrored along the central axis, and the nodes with the highest line segment density are the variables most correlated with reliability R. It is evident that V5 has the greatest impact on reliability R. The scatter plot also shows that V5 has the strongest correlation with reliability R, indicating that V5 is a decisive indicator and should receive special attention during monitoring.
Based on the monitoring data, this paper constructed and validated a GCBN model, which can then be used to perform a reliability analysis of the deep foundation pit support structure at Twenty Chong Station. To ensure accuracy in the reliability calculation, Monte Carlo sampling was performed with a sample size of N = 100,000. The final failure probability obtained was 3.3 × 10−1, and the reliability index β was 0.44. Currently, there is no unified standard for the target reliability index β0 of deep foundation pit support structures. Zhu [58] considered the target reliability index β0 for deep foundation pit support structures to be 1.5 in his analysis of pile-anchor support structures. Wan [59] suggested that, due to the influence of various factors on deep foundation pit support projects, comprehensive consideration of safety and economy should result in a target reliability index β0 of 2.5. It is evident that the reliability index β of the deep foundation pit support structure at Twenty Chong Station is much lower than the target reliability index β0, indicating that the support structure is in a highly dangerous state. Emergency reinforcement measures were implemented on-site to prevent accidents and reduce the risk of casualties. The GCBN model allows for real-time data updates and reliability index acquisition, so it is recommended to update the GCBN model promptly with new monitoring data obtained during subsequent construction to obtain new reliability indices. Based on these indices, appropriate measures should be taken during construction to ensure the project’s safety.

6. Conclusions

This paper constructs a GCBN model using on-site monitoring data from the deep foundation pit at Twenty Chong Station of the Nansha to Zhuhai (Zhongshan) Intercity Railway project. The GCBN model enables the reliability analysis of the deep foundation pit support structure, providing a valuable reference for subsequent construction.
The conclusions of this case study are as follows:
  • Analysis of case study: In Twenty Chong Station, there is a correlation between the monitoring data, with the strongest positive correlation observed between column settlement displacement and ground settlement (Kendall’s tau correlation coefficient of 0.515), and the strongest negative correlation between horizontal displacement at the top of the wall and column settlement displacement (Kendall’s tau correlation coefficient of −0.460). The reliability of the deep foundation pit support structure is significantly influenced by column settlement displacement, building settlement, and soil inclinometer readings. Among these, building settlement is the most critical indicator affecting the reliability of the support structure and requires special attention. The GCBN model demonstrates good accuracy in predicting the reliability of the deep foundation pit support structure. The calculated reliability index (β) is 0.44, indicating that the support structure is in a dangerous state, leading to the implementation of emergency reinforcement measures on-site.
  • Advantages of the GCBN model: Compared with evaluation methods that only consider a single indicator or ignore the correlation between indicators, the GCBN model includes multiple indicators, so it can estimate the structural state more comprehensively and obtain a more accurate probability model compared to other methods, thereby ultimately obtaining a more reasonable evaluation result and guiding the safe advancement of the project and low-cost and efficient repair. Compared with the Vine structure, the GCBN model adopts a Bayesian network structure, which greatly reduces the number of parameters, so it has a smaller computational cost and more timely results. In addition, the GCBN model only needs to obtain less monitoring data to build a probability model and does not limit the type of monitoring data, so it has potential application value in various types of projects.
  • Limitations of the GCBN model and research prospects: Although some monitoring parameters were collected, the limited amount of data available for certain indicators made it challenging to include them in the GCBN model, which affected its overall construction. Therefore, there is a need to establish a more comprehensive indicator system in the future and apply the GCBN method to a broader range of engineering risk assessments. In this paper, to ensure computational efficiency in model establishment, we utilized the Gaussian copula to construct the correlation between variables. However, the Gaussian copula sometimes fails to fully capture the correlation between variables. In subsequent research, we will explore the use of various types of copula functions to build the GCBN model.

Author Contributions

Conceptualization, B.T.; Methodology, B.T. and Q.P.; Validation, Q.P. All authors have read and agreed to the published version of the manuscript.

Funding

This research was funded by National Natural Science Foundation of China Youth Fund, grant number 52208381.

Data Availability Statement

Data is contained within the article.

Conflicts of Interest

The authors declare no conflict of interest.

List of Symbols and Acronyms

GCBNGaussian copula-based Bayesian network
βReliability index
MSBNMulti-state Bayesian network
AHPAnalytical hierarchy process
fuzzy AHPFuzzy analytical hierarchy process
SVMSupport vector machines
D–S evidence theoryDempster–Shafer evidence theory
Bi-LSTMBidirectional long short-term memory networks
DAGDirected acyclic graph
FBNFuzzy Bayesian networks
FCEMFuzzy comprehensive evaluation method
ΘParameter of the copula function
VThe set of nodes in Bayesian network
EThe set of edges in Bayesian network
εThe set of all possible pairs of vertices
dConfidence interval
AICAkaike information criterion
BICBayesian information criterion
CCCorrelation coefficient
τKendall’s tau correlation coefficient
RReliability node in Bayesian network
PfFailure probability
aijRatio of the importance
WkWeight of element
λk, λmaxEigenvalues, the largest eigenvalue
CRConsistency ratio
CIConsistency index
RIRandom index

References

  1. Shen, S.L. Research attitudes at a crossroads: Advancing research on smart and sustainable cities. Smart Constr. Sustain. Cities 2023, 1, 1. [Google Scholar] [CrossRef]
  2. Chen, R.P.; Li, Z.C.; Chen, Y.M.; Ou, C.Y.; Hu, Q.; Rao, M. Failure investigation at a collapsed deep excavation in very sensitive organic soft clay. J. Perform. Constr. Facil. 2015, 29, 04014078. [Google Scholar] [CrossRef]
  3. Chai, J.; Wu, H.Z. Prevention/mitigation of natural disasters in urban areas. Smart Constr. Sustain. Cities 2023, 1, 4. [Google Scholar] [CrossRef]
  4. Tan, Y.; Jiang, W.; Luo, W.; Lu, Y.; Xu, C. Longitudinal sliding event during excavation of Feng-Qi Station of Hangzhou Metro Line 1: Post failure investigation. J. Perform. Constr. Facil. 2018, 32, 04018039. [Google Scholar] [CrossRef]
  5. Tan, Y.; Lu, Y. Forensic diagnosis of a leaking accident during excavation. J. Perform. Constr. Facil. 2017, 31, 04017061. [Google Scholar] [CrossRef]
  6. Bai, H.; Sadiq, R.; Najjaran, H.; Rajani, B. Condition assessment of buried pipes using hierarchical evidential reasoning model. J. Comput. Civ. Eng. 2008, 22, 114–122. [Google Scholar] [CrossRef]
  7. Daher, S.; Zayed, T.; Hawari, A. Defect-based condition assessment model for sewer pipelines using fuzzy hierarchical evidential reasoning. J. Perform. Constr. Facil. 2021, 35, 04020142. [Google Scholar] [CrossRef]
  8. Lin, S.S.; Zhou, A.; Shen, S.L. Multi-status Bayesian network for analyzing collapse risk of excavation construction. Autom. Constr. 2024, 158, 105193. [Google Scholar] [CrossRef]
  9. Shen, S.L.; Lin, S.S.; Zhou, A. A cloud model-based approach for risk analysis of excavation system. Reliab. Eng. Syst. Saf. 2023, 231, 108984. [Google Scholar] [CrossRef]
  10. Jong, S.C.; Ong, D.E.L. A novel Bayesian network approach for predicting soil-structure interactions induced by deep excavations. Tunn. Undergr. Space Technol. 2024, 152, 105865. [Google Scholar] [CrossRef]
  11. Li, F.; Phoon, K.K.; Du, X.; Zhang, M. Improved AHP method and its application in risk identification. J. Constr. Eng. Manag. 2013, 139, 312–320. [Google Scholar] [CrossRef]
  12. Deng, F.; Pu, J.; Huang, Y.; Han, Q. 3D geological suitability evaluation for underground space based on the AHP-cloud model. Undergr. Space 2023, 8, 109–122. [Google Scholar] [CrossRef]
  13. Lin, S.S.; Shen, S.L.; Zhou, A.; Xu, Y.S. Novel model for risk identification during karst excavation. Reliab. Eng. Syst. Saf. 2021, 209, 107435. [Google Scholar] [CrossRef]
  14. Abdelgawad, M.; Fayek, A.R. Risk management in the construction industry using combined fuzzy FMEA and fuzzy AHP. J. Constr. Eng. Manag. 2010, 136, 1028–1036. [Google Scholar] [CrossRef]
  15. Huang, L.; Ma, J.; Lei, M.; Liu, L.; Lin, Y.; Zhang, Z. Soil-water inrush induced shield tunnel lining damage and its stabilization: A case study. Tunn. Undergr. Space Technol. 2020, 97, 103290. [Google Scholar] [CrossRef]
  16. Kurowicka, D.; Cooke, R.M. Distribution-free continuous Bayesian belief nets. Qual. Reliab. Eng. Stat. 2003, 10, 309. [Google Scholar]
  17. Zhang, D.; Shen, Y.; Huang, Z.; Xie, X. Auto machine learning-based modelling and prediction of excavation-induced tunnel displacement. J. Rock Mech. Geotech. Eng. 2022, 14, 1100–1114. [Google Scholar] [CrossRef]
  18. Pan, Y.; Zhang, L.; Wu, X.; Skibniewski, M.J. Multi-classifier information fusion in risk analysis. Inf. Fusion 2020, 60, 121–136. [Google Scholar] [CrossRef]
  19. Li, X.; Pan, Y.; Zhang, L.; Chen, J. Dynamic and explainable deep learning-based risk prediction on adjacent building induced by deep excavation. Tunn. Undergr. Space Technol. 2023, 140, 105243. [Google Scholar] [CrossRef]
  20. Jensen, F.V.; Nielsen, T.D. Bayesian Networks and Decision Graphs; Springer: New York, NY, USA, 2007; Volume 2. [Google Scholar]
  21. Pearl, J. Reverend Bayes on inference engines: A distributed hierarchical approach. In Probabilistic and Causal Inference: The Works of Judea Pearl; Association for Computing Machinery: New York, NY, USA, 2022; pp. 129–138. [Google Scholar]
  22. Kelly, N.A.; Gibson, T.L.; Cai, M.; Spearot, J.A.; Ouwerkerk, D.B. Development of a renewable hydrogen economy: Optimization of existing technologies. Int. J. Hydrog. Energy 2010, 35, 892–899. [Google Scholar] [CrossRef]
  23. Zhou, Y.; Li, C.; Zhou, C.; Luo, H. Using Bayesian network for safety risk analysis of diaphragm wall deflection based on field data. Reliab. Eng. Syst. Saf. 2018, 180, 152–167. [Google Scholar] [CrossRef]
  24. Zhang, L.; Wu, X.; Skibniewski, M.J.; Zhong, J.; Lu, Y. Bayesian-network-based safety risk analysis in construction projects. Reliab. Eng. Syst. Saf. 2014, 131, 29–39. [Google Scholar] [CrossRef]
  25. Wang, Z.Z.; Chen, C. Fuzzy comprehensive Bayesian network-based safety risk assessment for metro construction projects. Tunn. Undergr. Space Technol. 2017, 70, 330–342. [Google Scholar] [CrossRef]
  26. Neil, M.; Tailor, M.; Marquez, D. Inference in hybrid Bayesian networks using dynamic discretization. Stat. Comput. 2007, 17, 219–233. [Google Scholar] [CrossRef]
  27. Wu, X.; Liu, H.; Zhang, L.; Skibniewski, M.J.; Deng, Q.; Teng, J. A dynamic Bayesian network based approach to safety decision support in tunnel construction. Reliab. Eng. Syst. Saf. 2015, 134, 157–168. [Google Scholar] [CrossRef]
  28. Rebello, S.; Yu, H.; Ma, L. An integrated approach for real-time hazard mitigation in complex industrial processes. Reliab. Eng. Syst. Saf. 2019, 188, 297–309. [Google Scholar] [CrossRef]
  29. Sklar, M. Fonctions de Répartition à N Dimensions et Leurs Marges. Publ. Inst. Stat. Univ. Paris 1959, 8, 229–231. [Google Scholar]
  30. Sukcharoen, K.; Leatham, D.J. Hedging downside risk of oil refineries: A vine copula approach. Energy Econ. 2017, 66, 493–507. [Google Scholar] [CrossRef]
  31. Sharifi, E.; Saghafian, B.; Steinacker, R. Copula-based stochastic uncertainty analysis of satellite precipitation products. J. Hydrol. 2019, 570, 739–754. [Google Scholar] [CrossRef]
  32. Ribeiro, A.F.; Russo, A.; Gouveia, C.M.; Páscoa, P. Copula-based agricultural drought risk of rainfed cropping systems. Agric. Water Manag. 2019, 223, 105689. [Google Scholar] [CrossRef]
  33. Wu, X.; Feng, Z.; Liu, Y.; Qin, Y.; Yang, T.; Duan, J. Enhanced safety prediction of vault settlement in urban tunnels using the pair-copula and Bayesian network. Appl. Soft Comput. 2023, 132, 109711. [Google Scholar] [CrossRef]
  34. Kurowicka, D.; Cooke, R.M. The vine copula method for representing high dimensional dependent distributions: Application to continuous belief nets. In Proceedings of the Winter Simulation Conference, San Diego, CA, USA, 8–11 December 2002; pp. 270–278. [Google Scholar]
  35. Wang, F.; Li, H.; Dong, C.; Ding, L. Knowledge representation using non-parametric Bayesian networks for tunneling risk analysis. Reliab. Eng. Syst. Saf. 2019, 191, 106529. [Google Scholar] [CrossRef]
  36. Lin, Y.; Lai, Z.; Ma, J.; Huang, L. A combined weighted Voronoi tessellation and random field approach for modeling heterogeneous rocks with correlated grain structure. Constr Build Mater. 2024, 416, 135228. [Google Scholar] [CrossRef]
  37. Liu, W.; Chen, E.J.; Yao, E.; Wang, Y.; Chen, Y. Reliability analysis of face stability for tunnel excavation in a dependent system. Reliab. Eng. Syst. Saf. 2021, 206, 107306. [Google Scholar] [CrossRef]
  38. Joe, H. Families of m-variate distributions with given margins and m(m-1)/2 bivariate dependence parameters. Lect. Notes-Monogr. Ser. 1996, 28, 120–141. [Google Scholar]
  39. Bedford, T.; Cooke, R.M. Probability Density Decomposition for Conditionally Dependent Random Variables Modeled by Vines. Ann. Math. Artif. Intell. 2001, 32, 245–268. [Google Scholar] [CrossRef]
  40. Lin, Y.; Lai, Z.; Ma, J.; Huang, L.; Lei, M. A FDEM approach to study mechanical and fracturing responses of geo-materials with high inclusion contents using a novel reconstruction strategy. Eng. Fract. Mech. 2023, 282, 109171. [Google Scholar] [CrossRef]
  41. Saaty, T.L.; Vargas, L.G. Estimating technological coefficients by the analytic hierarchy process. Socio-Econ. Plan. Sci. 1979, 13, 333–336. [Google Scholar] [CrossRef]
  42. Zhao, Y.; Chen, X.; Hu, B.; Huang, L.; Lu, G.; Yao, H. Automatic monitoring and control of excavation disturbance of an ultra-deep foundation pit extremely adjacent to metro tunnels. Tunn. Undergr. Space Technol. 2023, 142, 105445. [Google Scholar] [CrossRef]
  43. Qi, S.; Shuai, J.; Shi, L.; Li, Y.; Zhou, L. Quantitative risk assessment of leakage accident of crude oil storage tank based on fuzzy Bayesian network and improved AHP. J. Loss Prev. Process Ind. 2024, 90, 105341. [Google Scholar] [CrossRef]
  44. Lin, Y.; Li, C.; Ma, J.; Lei, M.; Huang, L. Effects of void morphology on fracturing characteristics of porous rock through a finite-discrete element method. J. Nat. Gas Sci. Eng. 2022, 104, 104684. [Google Scholar] [CrossRef]
  45. Zhang, L.; Li, D.Q.; Tang, X.S.; Cao, Z.J.; Phoon, K.K. Bayesian model comparison and characterization of bivariate distribution for shear strength parameters of soil. Comput. Geotech. 2018, 95, 110–118. [Google Scholar] [CrossRef]
  46. Wu, H. Structural Safety Analysis of Operating Subway Shield Tunnel Based on Copula Dependency Modeling. Master’s Thesis, Huazhong University of Science and Technology, Wuhan, China, 2020. (In Chinese) [Google Scholar] [CrossRef]
  47. Akaike, H. Canonical correlation analysis of time series and the use of an information criterion. In Mathematics in Science and Engineering; Elsevier: Amsterdam, The Netherlands, 1976; Volume 126, pp. 27–96. [Google Scholar]
  48. Schwarz, G. Estimating the dimension of a model. Ann. Stat. 1978, 6, 461–464. [Google Scholar] [CrossRef]
  49. Hanea, A.; Napoles, O.M.; Ababei, D. Non-parametric Bayesian networks: Improving theory and reviewing applications. Reliab. Eng. Syst. Saf. 2015, 144, 265–284. [Google Scholar] [CrossRef]
  50. Paprotny, D.; Morales-Nápoles, O.; Worm, D.T.; Ragno, E. BANSHEE–A MATLAB toolbox for non-parametric Bayesian networks. SoftwareX 2020, 12, 100588. [Google Scholar] [CrossRef]
  51. Koot, P.; Mendoza-Lugo, M.A.; Paprotny, D.; Morales-Nápoles, O.; Ragno, E.; Worm, D.T. PyBanshee version (1.0): A Python implementation of the MATLAB toolbox BANSHEE for Non-Parametric Bayesian Networks with updated features. SoftwareX 2023, 21, 101279. [Google Scholar] [CrossRef]
  52. Tang, X.S.; Li, D.Q.; Rong, G.; Phoon, K.K.; Zhou, C.B. Impact of copula selection on geotechnical reliability under incomplete probability information. Comput. Geotech. 2013, 49, 264–278. [Google Scholar] [CrossRef]
  53. Ma, J. Discovering association with copula entropy. arXiv 2019, arXiv:1907.12268. [Google Scholar]
  54. Zhao, J.; Tan, Z.; Yu, R.; Li, Z.; Zhang, X.; Zhu, P. Deformation responses of the foundation pit construction of the urban metro station: A case study in Xiamen. Tunn. Undergr. Space Technol. 2022, 128, 104662. [Google Scholar] [CrossRef]
  55. Cui, X.; Ye, M.; Zhuang, Y. Performance of a foundation pit supported by bored piles and steel struts: A case study. Soils Found. 2018, 58, 1016–1027. [Google Scholar] [CrossRef]
  56. Hong, L.; Wang, X.; Zhang, W.; Li, Y.; Zhang, R.; Chen, C. System reliability-based robust design of deep foundation pit considering multiple failure modes. Geosci. Front. 2024, 15, 101761. [Google Scholar] [CrossRef]
  57. Zhang, H.; Cui, Z.; Xie, M.; Chui, P.; Huang, B. Research on Failure Models of Supporting for Deep Foundation Pit. J. Water Resour. Archit. Eng. 2010, 8, 110–112. (In Chinese) [Google Scholar]
  58. Zhu, A.; Chen, X. Reliability analysis of pile-supported retaining structures for deep excavations. Build. Struct. 1999, 5, 6–8+17. (In Chinese) [Google Scholar] [CrossRef]
  59. Wan, Z.; Liu, H.; Cao, H.; Bu, Y. Discussion on anti-overturning stability and reliability of deep excavation supporting structures. J. Wuhan Univ. Technol. 2014, 38, 1390–1392+1399. (In Chinese) [Google Scholar]
Figure 1. GCBN model construction flowchart.
Figure 1. GCBN model construction flowchart.
Mathematics 12 03961 g001
Figure 2. Sample from independent marginals and Gaussian copula. (a) A total of 2000 independent samples from a normal distribution with parameters 3 and 1 and a Weibull distribution with parameters 4 and 2; (b) A total of 2000 correlated samples with the same marginal distribution, and Gaussian copula parameter is 0.5.
Figure 2. Sample from independent marginals and Gaussian copula. (a) A total of 2000 independent samples from a normal distribution with parameters 3 and 1 and a Weibull distribution with parameters 4 and 2; (b) A total of 2000 correlated samples with the same marginal distribution, and Gaussian copula parameter is 0.5.
Mathematics 12 03961 g002
Figure 3. Twenty Chong Station Plan View.
Figure 3. Twenty Chong Station Plan View.
Mathematics 12 03961 g003
Figure 4. Twenty Chong Station Geological Longitudinal Section.
Figure 4. Twenty Chong Station Geological Longitudinal Section.
Mathematics 12 03961 g004
Figure 5. The cross-sectional view of the retaining structure of Twenty Chong Station.
Figure 5. The cross-sectional view of the retaining structure of Twenty Chong Station.
Mathematics 12 03961 g005
Figure 6. Actual photo of deep foundation pit support structure.
Figure 6. Actual photo of deep foundation pit support structure.
Mathematics 12 03961 g006
Figure 7. Monitoring points layout diagram.
Figure 7. Monitoring points layout diagram.
Mathematics 12 03961 g007
Figure 8. Monitoring data of soil inclinometer and wall inclinometer.
Figure 8. Monitoring data of soil inclinometer and wall inclinometer.
Mathematics 12 03961 g008
Figure 9. Reliability evaluation structure using the analytic hierarchy process.
Figure 9. Reliability evaluation structure using the analytic hierarchy process.
Mathematics 12 03961 g009
Figure 10. Variable pair plot. The lower diagonal positions display scatter plots between variables, the diagonal positions show histograms of individual variables, and the upper diagonal positions present the correlation coefficients between variables. An asterisk (*) following a correlation coefficient value denotes statistical significance, with the number of asterisks indicating the strength of the correlation.
Figure 10. Variable pair plot. The lower diagonal positions display scatter plots between variables, the diagonal positions show histograms of individual variables, and the upper diagonal positions present the correlation coefficients between variables. An asterisk (*) following a correlation coefficient value denotes statistical significance, with the number of asterisks indicating the strength of the correlation.
Mathematics 12 03961 g010
Figure 11. GCBN model structure diagram.
Figure 11. GCBN model structure diagram.
Mathematics 12 03961 g011
Figure 12. GCBN model sample data and true data comparison chart.
Figure 12. GCBN model sample data and true data comparison chart.
Mathematics 12 03961 g012
Figure 13. Percentile cobweb and chart scatter plot of the joint distribution of each variable and reliability R.
Figure 13. Percentile cobweb and chart scatter plot of the joint distribution of each variable and reliability R.
Mathematics 12 03961 g013
Table 2. Number of monitoring points for each monitoring item.
Table 2. Number of monitoring points for each monitoring item.
Serial NumberMonitoring ItemsTotal Number of Monitoring Points
1horizontal displacement at the top of the wall62
2column settlement displacement17
3settlement at the top of the wall62
4ground settlement266
5building settlement9
6internal force of the diaphragm wall7
7groundwater level62
8axial force of the first support28
9axial force of the second support29
10axial force of the third support28
11wall inclinometer62
12soil inclinometer6
Table 3. Judgment matrix of deep foundation pit part (A1).
Table 3. Judgment matrix of deep foundation pit part (A1).
Evaluation CriteriaWall InclinometerColumn SettlementHorizontal Displacement at the Top of the WallSettlement at the Top of the WallAxial Force of the First SupportAxial Force of the Second SupportAxial Force of the Third Support
wall inclinometer1.0002.5001.6502.3000.9500.9500.950
column
settlement
0.4001.0000.6870.9000.3950.3950.395
horizontal displacement at the top of the wall0.6061.4561.0001.5750.6500.6500.650
settlement at the top of the wall0.4351.1110.6351.0000.6920.6920.692
axial force of the first support1.0532.5321.5381.4461.0001.0001.000
axial force of the second support1.0532.5321.5381.4461.0001.0001.000
axial force of the third support1.0532.5321.5381.4461.0001.0001.000
Table 4. Judgment matrix of surrounding environment part (A2).
Table 4. Judgment matrix of surrounding environment part (A2).
Evaluation CriteriaSoil InclinometerBuilding SettlementGround Settlement
soil inclinometer1.0003.1503.250
building settlement0.3381.0001.050
ground settlement0.3210.9671.000
Table 5. Random consistency index (RI) reference table.
Table 5. Random consistency index (RI) reference table.
n12345678
RI000.520.891.121.261.361.41
Table 6. Weights of each criterion in the reliability analysis and consistency ratio results.
Table 6. Weights of each criterion in the reliability analysis and consistency ratio results.
Evaluation CriteriaWeightCIRICR
Reliability evaluation system (R)Deep
foundation
pit part (A1)
Wall inclinometer0.0500.0081.360.01
Column settlement0.122
Horizontal displacement at the top of the wall0.077
Settlement at the top of the wall0.095
Axial force of the first support0.052
Axial force of the second support0.052
Axial force of the third support0.052
Surrounding
environment part (A2)
Soil inclinometer0.0700.020.520.04
Building settlement0.211
Ground settlement0.219
Table 7. AIC values calculated for different candidate marginal distribution functions.
Table 7. AIC values calculated for different candidate marginal distribution functions.
VariableNormal DistributionLog-Normal DistributionGamma DistributionWeibull DistributionExponential DistributionOptimal Marginal Distribution
V1−7.69−6.184−6.278−7.93323.095Weibull
V2−0.764−14.522−14.522−20.074−19.246Weibull
V321.88823.89123.88620.1923.951Weibull
V4−56.801−54.814−54.815−54.5695.606Normal
V5−8.721−8.654−9.143−11.3364.417Weibull
V6−7.239−19.248−23.284−24.601−22.383Weibull
V7−43.155−92.559−97.372−54.302−97.585Exponential
V81.479−13.141−17.901−19.034−18.929Weibull
V9−17.636−26.902−27.707−27.168−16.622Gamma
V10−3.78−1.716−1.263−3.07257.646Normal
Table 8. BIC values calculated for different candidate marginal distribution functions.
Table 8. BIC values calculated for different candidate marginal distribution functions.
VariableNormal DistributionLog-Normal DistributionGamma DistributionWeibull DistributionExponential DistributionOptimal Marginal Distribution
V1−3.4690.1490.055−1.627.317Normal
V23.458−8.189−8.189−13.741−15.025Exponential
V326.1130.22330.21926.52228.173Normal
V4−52.579−48.482−48.482−48.2369.828Normal
V5−4.5−2.321−2.811−5.0038.639Weibull
V6−3.017−12.915−16.951−18.268−18.161Weibull
V7−38.933−86.227−91.04−47.97−93.363Exponential
V85.701−6.808−11.569−12.701−14.708Exponential
V9−13.415−20.57−21.375−20.835−12.4Gamma
V100.4414.6165.073.26161.868Normal
Table 9. K–S statistics for different candidate marginal distribution functions.
Table 9. K–S statistics for different candidate marginal distribution functions.
VariableNormal DistributionLog-Normal DistributionGamma DistributionWeibull DistributionExponential DistributionOptimal Marginal Distribution
V10.0920.2340.1720.1160.278Normal
V20.1240.1360.0870.0720.116Weibull
V30.1030.2060.1800.1670.186Normal
V40.0660.0950.0720.0710.391Normal
V50.0980.1680.1150.0760.205Weibull
V60.1510.1570.0810.0840.116Gamma
V70.1740.1210.0590.0590.068Gamma
V80.1380.1600.0900.0690.110Weibull
V90.1130.1760.1010.1160.189Gamma
V100.1020.2260.1500.0920.320Weibull
Table 10. K–S statistics for different candidate marginal distribution functions.
Table 10. K–S statistics for different candidate marginal distribution functions.
VariableNormal DistributionLog-Normal DistributionGamma DistributionWeibull DistributionExponential DistributionOptimal Marginal Distribution
V10.3315.0881.8440.7686.413Normal
V21.2801.9570.4270.2870.990Weibull
V30.7654.5012.6332.3642.881Normal
V40.1900.9160.4520.23314.027Normal
V50.7242.9571.1460.6873.759Weibull
V61.3642.8320.6950.5121.271Weibull
V73.1330.8980.2510.2530.246Exponential
V81.6112.6890.5810.4180.869Weibull
V90.9283.3601.0140.5733.391Weibull
V100.5336.4622.6120.9819.936Normal
Table 11. Test results for the optimal marginal distribution function.
Table 11. Test results for the optimal marginal distribution function.
VariableAICBICK–SA–DOptimal Marginal Distribution
V1WeibullNormalNormalNormalNormal
V2WeibullExponentialWeibullWeibullWeibull
V3WeibullNormalNormalNormalNormal
V4NormalNormalNormalNormalNormal
V5WeibullWeibullWeibullWeibullWeibull
V6WeibullWeibullGammaWeibullWeibull
V7ExponentialExponentialGammaExponentialExponential
V8WeibullExponentialWeibullWeibullWeibull
V9GammaGammaGammaWeibullGamma
V10NormalNormalWeibullNormalNormal
Table 12. The monitoring warning values of variables.
Table 12. The monitoring warning values of variables.
Variable NumberMonitoring ItemsMonitoring Warning Value
V1horizontal displacement at the top of the wall45 mm
V2column settlement displacement16 mm
V3settlement at the top of the wall45 mm
V4ground settlement400 mm
V5building settlement30 mm
V6axial force of the first support6510 kN
V7axial force of the second support8750 kN
V8axial force of the third support8560 kN
V9wall inclinometer200 mm
V10soil inclinometer200 mm
Disclaimer/Publisher’s Note: The statements, opinions and data contained in all publications are solely those of the individual author(s) and contributor(s) and not of MDPI and/or the editor(s). MDPI and/or the editor(s) disclaim responsibility for any injury to people or property resulting from any ideas, methods, instructions or products referred to in the content.

Share and Cite

MDPI and ACS Style

Tan, B.; Peng, Q. Reliability Analysis of Deep Foundation Pit Using the Gaussian Copula-Based Bayesian Network. Mathematics 2024, 12, 3961. https://doi.org/10.3390/math12243961

AMA Style

Tan B, Peng Q. Reliability Analysis of Deep Foundation Pit Using the Gaussian Copula-Based Bayesian Network. Mathematics. 2024; 12(24):3961. https://doi.org/10.3390/math12243961

Chicago/Turabian Style

Tan, Bin, and Qiyuan Peng. 2024. "Reliability Analysis of Deep Foundation Pit Using the Gaussian Copula-Based Bayesian Network" Mathematics 12, no. 24: 3961. https://doi.org/10.3390/math12243961

APA Style

Tan, B., & Peng, Q. (2024). Reliability Analysis of Deep Foundation Pit Using the Gaussian Copula-Based Bayesian Network. Mathematics, 12(24), 3961. https://doi.org/10.3390/math12243961

Note that from the first issue of 2016, this journal uses article numbers instead of page numbers. See further details here.

Article Metrics

Back to TopTop