Sign in to use this feature.

Years

Between: -

Subjects

remove_circle_outline
remove_circle_outline
remove_circle_outline
remove_circle_outline
remove_circle_outline
remove_circle_outline
remove_circle_outline
remove_circle_outline
remove_circle_outline

Journals

Article Types

Countries / Regions

Search Results (32)

Search Parameters:
Keywords = oversizing technique

Order results
Result details
Results per page
Select all
Export citation of selected articles as:
14 pages, 560 KB  
Article
The Role of Osteoporosis in Digital Templating Accuracy for Primary Cementless Total Hip Arthroplasty: A Prospective Study
by Michele Mercurio, Erminia Cofano, Paola Morabito, Lucrezia Moggio, Filippo Familiari, Olimpio Galasso and Giorgio Gasparini
Appl. Sci. 2025, 15(20), 11192; https://doi.org/10.3390/app152011192 - 19 Oct 2025
Abstract
Background: Total hip arthroplasty (THA) is one of the most effective treatments for end-stage hip joint disease. Two-dimensional (2D) templating represents the most widely used method for preoperative planning in clinical practice. Patient characteristics and comorbidities may further influence and complicate radiographic templating. [...] Read more.
Background: Total hip arthroplasty (THA) is one of the most effective treatments for end-stage hip joint disease. Two-dimensional (2D) templating represents the most widely used method for preoperative planning in clinical practice. Patient characteristics and comorbidities may further influence and complicate radiographic templating. The present study aimed to evaluate the role of comorbidities in influencing the accuracy of 2D digital preoperative planning in primary cementless THA. Methods: In this prospective observational study, all patients underwent standardized anteroposterior pelvic radiographs, and a digital templating was performed using digital software. Patient demographic characteristics, such as age, sex, BMI, and comorbidities, were extracted and all the patients were divided into matched and mismatched group for the femoral stem, femoral head, and acetabular cup. Results: The final sample consisted of 71 patients with 44 (62%) female and 27 (38%) male patients, averaging 69.8 ± 10.6 years at surgery. For the femoral stem, no statistically significant differences were found between the two groups according to comorbidities. For the femoral head, 12.5% and 50% of the patients had osteoporosis in the matched group and mismatched group, respectively (p-value = 0.002). For the acetabular cup, 18.4% and 40.9% of the patients had osteoporosis in the matched and mismatched groups, respectively (p-value = 0.043). Conclusions: Two-dimensional digital templating is a reliable technique for preoperative planning in primary cementless THA. Osteoporosis significantly influences templating accuracy, often resulting in component oversizing. Full article
(This article belongs to the Special Issue Orthopaedics and Joint Reconstruction: Latest Advances and Prospects)
Show Figures

Figure 1

23 pages, 4418 KB  
Article
Optimization of Electric Transformer Operation Through Load Estimation Based on the K-Means Algorithm
by Pedro Torres-Bermeo, José Varela-Aldás, Kevin López-Eugenio, Nancy Velasco and Guillermo Palacios-Navarro
Energies 2025, 18(14), 3755; https://doi.org/10.3390/en18143755 - 15 Jul 2025
Viewed by 754
Abstract
This study presents an innovative methodology to optimize the operation of distribution transformers through the estimation of hourly load curves, aimed at minimizing technical losses due to oversizing, particularly in systems lacking advanced metering infrastructure. The proposed approach combines clustering techniques, K-Means with [...] Read more.
This study presents an innovative methodology to optimize the operation of distribution transformers through the estimation of hourly load curves, aimed at minimizing technical losses due to oversizing, particularly in systems lacking advanced metering infrastructure. The proposed approach combines clustering techniques, K-Means with DTW, to identify representative daily consumption patterns and a supervised model based on LightGBM to estimate hourly load curves for unmetered transformers, using customer characteristics as input. These estimated curves are integrated into a process that calculates technical losses, both no-load and load losses, for different transformer sizes, selecting the optimal rating that minimizes losses without compromising demand. Empirical validation showed accuracy levels of 95.6%, 95.29%, and 98.14% at an individual transformer, feeder, and a complete electrical system with 16,864 transformers, respectively. The application of the methodology to a real distribution system revealed a potential annual energy savings of 3004 MWh, equivalent to an estimated economic reduction of 150,238 USD. Full article
Show Figures

Figure 1

18 pages, 3348 KB  
Article
Moderate-Temperature Pyrolysis Characteristics of Lump Coal Under Varying Coal Particle Sizes
by Yuanpei Luo, Luxuan Liu, Liangguo Lv, Shengping Zhang, Fei Dai, Hongguang Jin and Jun Sui
Energies 2025, 18(12), 3220; https://doi.org/10.3390/en18123220 - 19 Jun 2025
Viewed by 619
Abstract
Pyrolysis is an important methodology for achieving efficient and clean utilization of coal. Lump coal pyrolysis demonstrates distinct advantages over pulverized coal processing, particularly in enhanced gas yield and superior coke quality. As a critical parameter in lump coal pyrolysis, particle size significantly [...] Read more.
Pyrolysis is an important methodology for achieving efficient and clean utilization of coal. Lump coal pyrolysis demonstrates distinct advantages over pulverized coal processing, particularly in enhanced gas yield and superior coke quality. As a critical parameter in lump coal pyrolysis, particle size significantly influences heat transfer and mass transfer during pyrolysis, yet its governing mechanisms remain insufficiently explored. This research systematically investigates pyrolysis characteristics of the low-rank coal from Ordos, Inner Mongolia, across graded particle sizes (2–5 mm, 5–10 mm, 10–20 mm, and 20–30 mm) through pyrolysis experiments. Real-time central temperature monitoring of coal bed coupled with advanced characterization techniques—including X-ray diffraction (XRD), Raman spectroscopy, Brunauer–Emmett–Teller (BET) analysis, scanning electron microscopy (SEM), gas chromatography (GC), and GC–mass spectrometry (GC-MS)—reveals particle-size-dependent pyrolysis mechanisms. Key findings demonstrate that the larger particles enhance bed-scale convective heat transfer, accelerating temperature propagation from reactor walls to the coal center. However, excessive sizes cause significant intra-particle thermal gradients, impeding core pyrolysis. The 10–20 mm group emerges as optimal—balancing these effects to achieve uniform thermal attainment, evidenced by 20.99 vol% peak hydrogen yield and maximum char graphitization. Tar yield first demonstrates a tendency to rise and then decline, peaking at 14.66 wt.% for 5–10 mm particles. This behavior reflects competing mechanisms: enlarging particle size can improve bed permeability (reducing tar residence time and secondary reactions), but it can also inhibit volatile release and intensify thermal cracking of tar in oversized coal blocks. The BET analysis result reveals elevated specific surface area and pore volume with increasing particle size, except for the 10–20 mm group, showing abrupt porosity reduction—attributed to pore collapse caused by intense polycondensation reactions. Contrasting previous studies predominantly focused on less than 2 mm pulverized coal, this research selects large-size (from 2 mm to 30 mm) lump coal to clarify the effect of particle size on coal pyrolysis, providing critical guidance for industrial-scale lump coal pyrolysis optimization. Full article
Show Figures

Figure 1

17 pages, 5112 KB  
Article
Biomechanical Impact of Cementation Technique Variations on Femoral Stem Stability: An In Vitro Polyurethane Model Study
by Roland Fazakas, Laura Ioana Bondar, Csongor Toth, Brigitte Osser, Iosif Ilia, Caius Calin Miuta, Dan Fruja, Diana Carina Iovanovici, Liviu Gavrila-Ardelean and Alexandru Pop
J. Clin. Med. 2025, 14(10), 3291; https://doi.org/10.3390/jcm14103291 - 8 May 2025
Viewed by 840
Abstract
Background/Objectives: Achieving optimal primary stability in cemented total hip arthroplasty remains a critical factor influencing long-term implant success. Variability in cementation techniques can significantly affect biomechanical performance, yet consensus on best practices is lacking. This study investigates the influence of cementation parameters on [...] Read more.
Background/Objectives: Achieving optimal primary stability in cemented total hip arthroplasty remains a critical factor influencing long-term implant success. Variability in cementation techniques can significantly affect biomechanical performance, yet consensus on best practices is lacking. This study investigates the influence of cementation parameters on femoral stem fixation. Methods: This in vitro comparative study evaluated four cementation techniques—Classic (line-to-line), Press-Fit (undersized reaming), Overreaming (oversized reaming), and Valgus Malpositioning (15° deviation). An experimental model using standardized Polyurethane (PU) bone surrogates was developed. Mechanical testing assessed axial deformation and ultimate load capacity to failure. Results: The Press-Fit technique demonstrated significantly greater deformation (17.10 ± 0.89 mm) but a reduced load capacity (6317.47 ± 518.34 N) compared to the Classic approach. Overreaming and Valgus techniques both showed reduced mechanical performance, with Overreaming yielding the lowest structural integrity. Conclusions: Cement mantle thickness emerged as the primary determinant of biomechanical stability, surpassing the impact of implant positioning. While increased mantle thickness improves energy absorption, it may compromise ultimate strength. These findings underscore the importance of optimizing the cementation technique to balance flexibility and mechanical resistance, guiding surgical protocols toward improved implant longevity. This study introduces a novel integrative approach combining fluoroscopic assessment of cement mantle morphology with mechanical testing in a standardized model, providing new evidence on the relative influence of mantle thickness and implant malposition on femoral stem stability. Full article
(This article belongs to the Section Orthopedics)
Show Figures

Figure 1

19 pages, 1187 KB  
Article
Long-Term Outcomes of Endovascular Aortic Repair with Parallel Chimney or Periscope Stent Grafts for Ruptured Complex Abdominal Aortic Aneurysms
by Reinhard Kopp, Lukas Stachowski, Gilbert Puippe, Alexander Zimmermann and Anna-Leonie Menges
J. Clin. Med. 2025, 14(1), 234; https://doi.org/10.3390/jcm14010234 - 3 Jan 2025
Cited by 2 | Viewed by 1474
Abstract
Background: The parallel stent graft endovascular aortic repair (PGEVAR) technique is an off-the-shelf option used for elective complex abdominal aortic aneurysm repair with acceptable outcome results, as reported so far. The PGEVAR technique, using chimney or periscope parallel grafts, can also be [...] Read more.
Background: The parallel stent graft endovascular aortic repair (PGEVAR) technique is an off-the-shelf option used for elective complex abdominal aortic aneurysm repair with acceptable outcome results, as reported so far. The PGEVAR technique, using chimney or periscope parallel grafts, can also be used for patients with ruptured complex abdominal aortic aneurysms. However, only few data about the mid- to long-term outcomes are available. Methods: Data from patients treated between August 2009 and July 2023 with the PGEVAR technique for ruptured complex abdominal aortic aneurysms were analyzed. The endpoints of this study were primary and secondary technical success, perioperative mortality, rate of proximal type 1a (gutter) endoleaks (T1aEL), and overall and aneurysm-related survival. Secondary endpoints were major adverse events, durability of parallel grafts, and factors associated with overall survival. Results: Twenty patients (mean age: 77 ± 9 y; 18 male) with ruptured complex abdominal aortic aneurysm were treated, receiving PGEVAR for ruptured juxtarenal (n = 11), suprarenal (n = 7), or distal thoracoabdominal Crawford IV aortic aneurysms (n = 2) with a mean diameter of 82 ± 18 mm (range 59–120). The patients had PGEVAR with implantation of 39 parallel grafts (1.95 PGs per patient; 23 chimney and 16 periscope) for revascularization of the celiac artery (n = 3), superior mesenteric artery (n = 9), and renal arteries (n = 27). Three patients had delayed PG implantation within 10 days. Primary technical success was 15/20 (75%) with five patients having an early proximal T1aEL, three of them having successful reintervention (secondary success rate: 18/20; 90%), with no persistent bleeding. Two patients had late T1aELs. The presence of an early T1aEL was related to the number of PGs (≥2) implanted (p = 0.038) or insufficient aortic SG oversizing (p = 0.038). In-hospital mortality was 1/20 (5%). Perioperative mortality up to 32 days was 3/20 (15%), with two further late aneurysm-related deaths and eight late aneurysm-unrelated deaths (overall mortality 13/20; 65%) during follow-up (median 34 months; range 1–115). Major adverse events were observed in 11 (55%) patients. Secondary parallel stent graft patency at 1 and 3 years was 97.4 and 94.1%. During follow-up, aneurysm sac behavior was determined in 19 patients, which showed diameter progression (n = 3), stable aneurysm disease (n = 3), and aneurysm diameter regression in 13 (68.4%) patients. Overall survival was 75% after 1 year, and 53% and 22% after 3 and 5 years. Factors associated with overall long-term survival were age < 80 years (p = 0.037), juxtarenal aneurysms (p = 0.023), the absence of major adverse events (p = 0.025), and aneurysm sac regression (p = 0.003). Conclusions: Treatment of ruptured complex abdominal aortic aneurysm with the PGEVAR technique is associated with acceptable perioperative and long-term outcomes with high PG patency rates. Early proximal T1aELs are observed with a relevant frequency, requiring early reintervention with successful sealing of most relevant endoleaks. To note, limitation of the number of parallel stent grafts implanted at the proximal aortic sealing sites, sufficient PG sealing length, and adequate main aortic SG oversizing are most relevant to avoid T1a (gutter) ELs. The selection of juxtarenal aortic aneurysms and evidence for aneurysm sac diameter regression after PGEVAR had a prognostic impact. Full article
(This article belongs to the Section Vascular Medicine)
Show Figures

Figure 1

15 pages, 3292 KB  
Article
A New Parameter-Free Slope Unit Division Method That Integrates Terrain Factors
by Ping Li, Junfu Fan, Yujie Du, Kuan Li and Yuke Zhou
Appl. Sci. 2024, 14(23), 11279; https://doi.org/10.3390/app142311279 - 3 Dec 2024
Viewed by 1335
Abstract
With increasing research on geological hazards and the development of geographic information technology, slope units play an increasingly important role in landslide susceptibility assessment and prevention work. The scientific and reasonable division of slope units directly impacts the accuracy and practicality of analysis [...] Read more.
With increasing research on geological hazards and the development of geographic information technology, slope units play an increasingly important role in landslide susceptibility assessment and prevention work. The scientific and reasonable division of slope units directly impacts the accuracy and practicality of analysis results. Despite the significant progress in slope unit division techniques, most existing methods still have certain limitations, such as a strong dependence on manually set thresholds during the division process, resulting in low levels of automation and efficiency. To address this issue, a new parameter-free slope unit extraction algorithm that integrates terrain factors, called Terrain Factor Parameter-Free Slope Unit Division (TFPF-SU), is introduced. This eliminates the issue of manually setting parameter thresholds during the slope unit division process. This algorithm fully utilizes the terrain information provided by digital elevation models (DEMs) to accurately calculate the curvature, slope, and aspect data for each point. On the basis of the inherent consistency principles among slope, aspect, and curvature, object-oriented image segmentation technology is used to achieve slope unit division. We select Dongchuan District in Yunnan Province, China, as a test area to verify the TFPF-SU algorithm and conduct a detailed comparative analysis and validation of the results with those obtained via traditional hydrological analysis methods from both qualitative and quantitative perspectives. In the quantitative analysis, we utilize the size and shape of the slope units. The results indicate the following: ① the slope units obtained with the TFPF-SU method are more uniform in size, avoiding issues with oversized or irregularly shaped units; ② the slope unit shapes obtained with the TFPF-SU method are more reasonable, with about 70% of the units falling within a reasonable shape index range, compared to only about 32% with the hydrological method; and ③ the slope units produced by the TFPF-SU method align more closely with terrain authenticity, exhibiting a higher degree of topographical conformity. Full article
(This article belongs to the Special Issue Novel Technology in Landslide Monitoring and Risk Assessment)
Show Figures

Figure 1

12 pages, 5342 KB  
Technical Note
Effectiveness of Virtual Surgical Planning and Three-Dimensional Anatomical Models in Radiological Reconstruction of Center of Rotation and Pelvic Brim in Patients with Anterior Column Defects Requiring Revision Hip Arthroplasty
by Krzysztof Andrzejewski, Marcin Domzalski, Bozena Rokita, Jan Poszepczynski and Piotr Komorowski
Diagnostics 2024, 14(22), 2574; https://doi.org/10.3390/diagnostics14222574 - 15 Nov 2024
Viewed by 888
Abstract
Background: The aim of this study was to show that virtual surgical planning (VSP) and printed anatomical models support the reconstruction of the center of rotation (COR) and pelvic BRIM during revision hip surgery using a dual-mobility revision cup system in patients with [...] Read more.
Background: The aim of this study was to show that virtual surgical planning (VSP) and printed anatomical models support the reconstruction of the center of rotation (COR) and pelvic BRIM during revision hip surgery using a dual-mobility revision cup system in patients with anterior pelvic column damage and soft tissue envelope deficiency. Methods: Patients with anterior pelvic column damage and soft tissue envelope deficiency underwent revision hip arthroplasty. Virtual planning included assessment of bone segmentation, positioning of the cementless revision cup while maintaining the COR, and the assumed inclination and anteversion angles. Results: The diameter of the planned revision cups was 65.5 ± 2.1 mm, and the diameter of the revision cups used was 65.3 ± 2.1 mm. The difference in COR position in the horizontal axis was 7.8 ± 9.3 mm, in the vertical axis was 4.3 ± 5.9 mm, and in the axial plane was 1.6 ± 3.3 mm. The differences in inclination angle and in the anteversion angle were 12.4° and 8.7°, respectively. Conclusions: The use of VSP and 3D models supports the process of performing RHA surgery in patients with damage to the anterior pelvic column and soft tissue envelope deficiency. Full article
(This article belongs to the Special Issue Computed Tomography Imaging in Medical Diagnosis)
Show Figures

Figure 1

18 pages, 3071 KB  
Article
Evaluating Stormwater Infiltration Systems in High Water Table Areas: Insights from Southwest Florida
by John P. Herman, Seneshaw Tsegaye and Thomas M. Missimer
Water 2024, 16(22), 3198; https://doi.org/10.3390/w16223198 - 7 Nov 2024
Cited by 2 | Viewed by 1853
Abstract
Infiltration-based stormwater best management practices (BMPs) are progressively being utilized to mitigate issues such as increased runoff and poor water quality associated with urbanization. However, they are often difficult to accurately model due to the extensive design variables involved, particularly in high water [...] Read more.
Infiltration-based stormwater best management practices (BMPs) are progressively being utilized to mitigate issues such as increased runoff and poor water quality associated with urbanization. However, they are often difficult to accurately model due to the extensive design variables involved, particularly in high water table regions where groundwater mounding can cause primary infiltration to shift from vertical to horizontal. This study assessed an infiltration-based stormwater management system for a commercial property in Southwest Florida using integrated ArcMap 10.8.2 -ICPR4 software. A unique modeling technique captured the shift from vertical to horizontal infiltration in high water table conditions, employing ICPR4’s “percolation ring” and “percolation link”. The integration of GIS with the ICPR model enabled detailed modeling, assessment, and visualization of runoff in high water table areas. Three site-specific design storms were employed to analyze the pre- and post-developed conditions of the study area and assess whether existing BMPs met Environmental Resource Permit (ERP) requirements. While the system complies with ERP standards, it was found to be oversized based on storage basin stages and stormwater discharges from the simulated 100-year/24-h storm event. This is because 45–68% of the total volume entering the stormwater management basins infiltrated during the analysis period. The infiltration rate in the models was initially heavily dependent on vertical infiltration. However, horizontal groundwater flow substantially increased with the increasing water stage in the detention ponds after vadose zone saturation. These findings highlight the significance of modeling techniques in accurately capturing the performance of infiltration-based stormwater management systems in high water table conditions. Full article
Show Figures

Figure 1

17 pages, 6901 KB  
Article
Analysis of Power Modules Including Phase Change Materials in the Top Interconnection of Semiconductor Devices
by Rabih Khazaka, Rachelle Hanna, Yvan Avenas and Stephane Azzopardi
Electron. Mater. 2024, 5(4), 204-220; https://doi.org/10.3390/electronicmat5040014 - 1 Oct 2024
Cited by 1 | Viewed by 2805
Abstract
Power modules can occasionally be exposed to brief power peaks, causing overheating and premature failure of the power semiconductor devices. In order to overcome this issue without oversizing the module or its cooling system, this study aims to design a new class of [...] Read more.
Power modules can occasionally be exposed to brief power peaks, causing overheating and premature failure of the power semiconductor devices. In order to overcome this issue without oversizing the module or its cooling system, this study aims to design a new class of power modules with integrated Phase Change Material (PCM) in a container serving as a top device interconnection. Simulations and experiments are performed with two organic PCMs, and the interest in adding copper foam is discussed. Under various test conditions, the results show that the simulations agree well with the experiments. Hence, virtual prototyping can be very useful for sizing containers based on a specific mission profile. For a constant selected PCM volume (around 1 cm3/device) and with a convection heat transfer coefficient value of 800 W.m−2.K−1, the solution allows achieving a junction temperature reduction of about 35 °C (erythritol and 90% porosity copper foam) compared to a wire-bonded conventional technique. Repetitive power cycles can be achieved with both materials, but the selection of the PCM should be conducted cautiously based on the mission profile. The two selected organic PCMs show degradation of their latent heat of fusion and mass loss during high-temperature isothermal aging in air above 130 °C. By assuming as endpoint criterion the reduction of energy storage by 50% compared to the initial state, the lifetime of erythritol and RT100 is evaluated to be about 100 and 340 h, respectively, during aging at 150 °C. Full article
Show Figures

Figure 1

19 pages, 7361 KB  
Article
Examining Shape Dependence on Small Mild Steel Specimens during Heating Processes
by Tamás Ibriksz, Gusztáv Fekete and Ferenc Tancsics
Materials 2024, 17(16), 3912; https://doi.org/10.3390/ma17163912 - 7 Aug 2024
Viewed by 851
Abstract
With regard to the heating technology of small test specimens (D < 1 inch, i.e., 25.4 mm), only a limited amount of data and literature are available for making adequate technological decisions. Heating time of small geometric shapes is influenced by the technological [...] Read more.
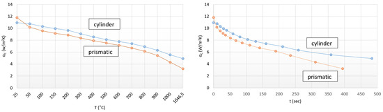
With regard to the heating technology of small test specimens (D < 1 inch, i.e., 25.4 mm), only a limited amount of data and literature are available for making adequate technological decisions. Heating time of small geometric shapes is influenced by the technological parameters of the furnace, the temperature, the disposition technique in the furnace and the geometric characteristics of the workpiece. How to shorten heating time to achieve a suitable material structure is a vital question, while considerable energy is saved at the same time. Among the geometric characteristics, shape dependence is one of the important aspects that must be taken into account in terms of heating technology. Shape dependence is usually taken into account with empirically produced correction factors, which can result in significant oversizing of heating time, energy-wasting technology and material structure of insufficient fineness. In the course of our work, we investigated and compared the shape dependence of cylindrical and prismatic specimens with the same surface-to-volume ratios, which were combined with surface heat transfer analyses and geometric effect tests to formulate new approximate equations for determining heating time. As a result, we could mathematically derive a relationship between heating time, size and shape of the active surfaces, the correlation of which can shorten heating time by 20%. In addition, a shape factor (1.125) between cylinder and prismatic-shaped specimens was determined, which can be used with the new equation to calculate heating time for similar specimens. At last, a relationship is developed between the amount of heat that can be stored in the body during heat equalization and the complexity of the shape, which can be characterized through ratios depending on heating times and active surfaces in the function of total surface/volume ratio. Based on this relationship it can be determined more precisely when heat equalization occurs; therefore, shorter heating time can be achieved. In conclusion, with the help of this new method, optimal heating time for structural steel components, in the case of small cross-section and weight, can be determined. Full article
Show Figures

Figure 1

16 pages, 2744 KB  
Article
Thermal Stability of Encapsulated Carbon-Based Multiporous-Layered-Electrode Perovskite Solar Cells Extended to Over 5000 h at 85 °C
by Ryuki Tsuji, Yuuma Nagano, Kota Oishi, Eiji Kobayashi and Seigo Ito
Materials 2024, 17(12), 3002; https://doi.org/10.3390/ma17123002 - 19 Jun 2024
Cited by 9 | Viewed by 2649
Abstract
The key to the practical application of organometal–halide crystals perovskite solar cells (PSCs) is to achieve thermal stability through robust encapsulation. This paper presents a method to significantly extend the thermal stability lifetime of perovskite solar cells to over 5000 h at 85 [...] Read more.
The key to the practical application of organometal–halide crystals perovskite solar cells (PSCs) is to achieve thermal stability through robust encapsulation. This paper presents a method to significantly extend the thermal stability lifetime of perovskite solar cells to over 5000 h at 85 °C by demonstrating an optimal combination of encapsulation methods and perovskite composition for carbon-based multiporous-layered-electrode (MPLE)-PSCs. We fabricated four types of MPLE-PSCs using two encapsulation structures (over- and side-sealing with thermoplastic resin films) and two perovskite compositions ((5-AVA)x(methylammonium (MA))1−xPbI3 and (formamidinium (FA))0.9Cs0.1PbI3), and analyzed the 85 °C thermal stability followed by the ISOS-D-2 protocol. Without encapsulation, FA0.9Cs0.1PbI3 exhibited higher thermal stability than (5-AVA)x(MA)1−xPbI3. However, encapsulation reversed the phenomenon (that of (5-AVA)x(MA)1−xPbI3 became stronger). The combination of the (5-AVA)x(MA)1−xPbI3 perovskite absorber and over-sealing encapsulation effectively suppressed the thermal degradation, resulting in a PCE value of 91.2% of the initial value after 5072 h. On the other hand, another combination (side-sealing on (5-AVA)x(MA)1−xPbI3 and over- and side-sealing on FA0.9Cs0.1PbI3) resulted in decreased stability. The FACs-based perovskite was decomposed from these degradation mechanisms by the condensation reaction between FA and carbon. For side-sealing, the space between the cell and the encapsulant was estimated to contain approximately 1,260,000 times more H2O than in over-sealing, which catalyzed the degradation of the perovskite crystals. Our results demonstrate that MA-based PSCs, which are generally considered to be thermally sensitive, can significantly extend their thermal stability after proper encapsulation. Therefore, we emphasize that finding the appropriate combination of encapsulation technique and perovskite composition is quite important to achieve further device stability. Full article
(This article belongs to the Special Issue Advanced Perovskite Solar Cells: Compatible Materials and Processes)
Show Figures

Figure 1

8 pages, 1740 KB  
Proceeding Paper
Prediction of the Reaming Torque Using Artificial Neural Network and Random Forest Algorithm: Comparative Performance Analysis
by M. C. Rakshith, Raghavendra C. Kamath and G. S. Vijay
Eng. Proc. 2023, 59(1), 97; https://doi.org/10.3390/engproc2023059097 - 21 Dec 2023
Cited by 1 | Viewed by 1396
Abstract
In any manufacturing setup, reaming operation is always prominent and present because of ever increasing demands for improved quality of the manufactured products. At the same time, new engineering materials make the process challenging. Further, reaming is the highly sought-after operation to achieve [...] Read more.
In any manufacturing setup, reaming operation is always prominent and present because of ever increasing demands for improved quality of the manufactured products. At the same time, new engineering materials make the process challenging. Further, reaming is the highly sought-after operation to achieve specified tolerance for specified applications to satisfy the rising demand for high-quality and precision-engineered products. Hence, accurate prediction of reaming torque is of utmost necessity, as it gives rise to uneven cutting forces, thereby affecting the surface finish of the reamed hole. High torque produces high-cutting forces, resulting in uneven surface finish and oversized holes. In this regard, the ability of traditional statistical tools to identify intricate correlations and patterns in reaming operation data is limited. To overcome these issues, machine learning methods such as the Artificial Neural Network (ANN) provide reliable options. The present study compares the use of ANN and Random Forest to analyze the data from reaming operations to predict the torque and compares it with those of the Random Forest method and the polynomial regression model. The model is trained and tested using a well-structured dataset that includes multiple input parameters (e.g., material, tool radius, and rotation angle) and the related reaming outputs (e.g., torque) in the suggested supervised learning method. An interconnected single layer of artificial neurons is used to create the ANN model. A comparison is made between the ANN and the Random Forest algorithm, a well-liked ensemble learning technique based on decision trees, to assess the performance of the ANN. The same dataset is used to train both ANN and Random Forest algorithms. The result showed that ANN gave better performance when compared to the other models, with testing accuracy of 94.4% and 61% for ANN and Random Forest, respectively. Full article
(This article belongs to the Proceedings of Eng. Proc., 2023, RAiSE-2023)
Show Figures

Figure 1

20 pages, 5430 KB  
Article
A Novel Offsite Construction Method for Social Housing in Emerging Economies for Low Cost and Reduced Environmental Impact
by Danilo Tapia, Marcelo González, Sergio Vera and Carlos Aguilar
Sustainability 2023, 15(24), 16922; https://doi.org/10.3390/su152416922 - 17 Dec 2023
Cited by 5 | Viewed by 3458
Abstract
Offsite construction methods have shown many advantages over traditional construction techniques, especially related to efficiency and productivity during the construction phase. Nevertheless, offsite construction generally involves oversizing the internal structure of the modules due to the internal stresses produced during transport and lifting [...] Read more.
Offsite construction methods have shown many advantages over traditional construction techniques, especially related to efficiency and productivity during the construction phase. Nevertheless, offsite construction generally involves oversizing the internal structure of the modules due to the internal stresses produced during transport and lifting operations, producing an increase in material usage, direct cost, and carbon footprint. In developing countries, the direct cost of social housing is the most important factor determining the feasibility of construction. For this reason, oversizing the internal structure of the modules can play an important role in the adoption of a modern construction technique such as offsite construction systems. In order to solve this issue, a temporary reusable stiffener structure is proposed to allow an economical offsite construction system using a lightweight steel framing structure used in traditional methods. The reusable structure was designed using a finite element method, and the direct cost and carbon footprint of the structure were evaluated. The results show that the proposed construction strategy allows for a low cost and reduced environmental impact due to a lower usage of materials in the modules and the possibility of a circular economy approach to the reusable structure. Full article
Show Figures

Figure 1

30 pages, 22382 KB  
Article
IRv2-Net: A Deep Learning Framework for Enhanced Polyp Segmentation Performance Integrating InceptionResNetV2 and UNet Architecture with Test Time Augmentation Techniques
by Md. Faysal Ahamed, Md. Khalid Syfullah, Ovi Sarkar, Md. Tohidul Islam, Md. Nahiduzzaman, Md. Rabiul Islam, Amith Khandakar, Mohamed Arselene Ayari and Muhammad E. H. Chowdhury
Sensors 2023, 23(18), 7724; https://doi.org/10.3390/s23187724 - 7 Sep 2023
Cited by 16 | Viewed by 4261
Abstract
Colorectal polyps in the colon or rectum are precancerous growths that can lead to a more severe disease called colorectal cancer. Accurate segmentation of polyps using medical imaging data is essential for effective diagnosis. However, manual segmentation by endoscopists can be time-consuming, error-prone, [...] Read more.
Colorectal polyps in the colon or rectum are precancerous growths that can lead to a more severe disease called colorectal cancer. Accurate segmentation of polyps using medical imaging data is essential for effective diagnosis. However, manual segmentation by endoscopists can be time-consuming, error-prone, and expensive, leading to a high rate of missed anomalies. To solve this problem, an automated diagnostic system based on deep learning algorithms is proposed to find polyps. The proposed IRv2-Net model is developed using the UNet architecture with a pre-trained InceptionResNetV2 encoder to extract most features from the input samples. The Test Time Augmentation (TTA) technique, which utilizes the characteristics of the original, horizontal, and vertical flips, is used to gain precise boundary information and multi-scale image features. The performance of numerous state-of-the-art (SOTA) models is compared using several metrics such as accuracy, Dice Similarity Coefficients (DSC), Intersection Over Union (IoU), precision, and recall. The proposed model is tested on the Kvasir-SEG and CVC-ClinicDB datasets, demonstrating superior performance in handling unseen real-time data. It achieves the highest area coverage in the area under the Receiver Operating Characteristic (ROC-AUC) and area under Precision-Recall (AUC-PR) curves. The model exhibits excellent qualitative testing outcomes across different types of polyps, including more oversized, smaller, over-saturated, sessile, or flat polyps, within the same dataset and across different datasets. Our approach can significantly minimize the number of missed rating difficulties. Lastly, a graphical interface is developed for producing the mask in real-time. The findings of this study have potential applications in clinical colonoscopy procedures and can serve based on further research and development. Full article
(This article belongs to the Special Issue AI on Biomedical Signal Sensing and Processing for Health Monitoring)
Show Figures

Figure 1

4 pages, 2117 KB  
Proceeding Paper
Evaluating Remediation Techniques for Fouled Ballast on Army Installations
by Charles E. Williams and Thomas J. Beasley
Eng. Proc. 2023, 36(1), 26; https://doi.org/10.3390/engproc2023036026 - 7 Jul 2023
Viewed by 996
Abstract
Rail transport is a vital asset for U.S. Army distribution networks for movements of oversized and overweight vehicles and munitions. As the rail infrastructure ages on military installations, the reliability of these rail systems is a critical concern to support military power projection [...] Read more.
Rail transport is a vital asset for U.S. Army distribution networks for movements of oversized and overweight vehicles and munitions. As the rail infrastructure ages on military installations, the reliability of these rail systems is a critical concern to support military power projection requirements. The Engineering Research and Development Center (ERDC) evaluates over 1500 miles of Army track approximately every four years. Many Army installations have significant problems with fouled ballast. These installations have few resources to remediate fouled ballast, and/or may not be aware of remediation techniques. The primary objective of this paper is to provide a list of remediation techniques for installations to implement with efforts to reduce fouled ballast and improve track maintenance. Full article
Show Figures

Figure 1

Back to TopTop