Sign in to use this feature.

Years

Between: -

Subjects

remove_circle_outline
remove_circle_outline
remove_circle_outline
remove_circle_outline
remove_circle_outline
remove_circle_outline
remove_circle_outline

Journals

Article Types

Countries / Regions

Search Results (12)

Search Parameters:
Keywords = outer recirculation zone

Order results
Result details
Results per page
Select all
Export citation of selected articles as:
21 pages, 7193 KB  
Article
Influence of YSZ Thermal Barrier Coating on Aerothermal Performance of an Annular Combustor
by Zhixin Zhang, Jiahuan Cui, Qi Zeng, Liang Wang, Rongtao Wang and Feng Liu
Aerospace 2025, 12(12), 1035; https://doi.org/10.3390/aerospace12121035 - 21 Nov 2025
Viewed by 622
Abstract
Based on a realistic three-dimensional geometric model, this study numerically investigates the influence of yttria-stabilized zirconia (YSZ) thermal barrier coatings (TBCs) on the aerothermal performance of an annular combustor by employing a conjugate heat transfer (CHT) and non-premixed reactive flow coupling approach. Considering [...] Read more.
Based on a realistic three-dimensional geometric model, this study numerically investigates the influence of yttria-stabilized zirconia (YSZ) thermal barrier coatings (TBCs) on the aerothermal performance of an annular combustor by employing a conjugate heat transfer (CHT) and non-premixed reactive flow coupling approach. Considering the inner and outer liners, double-wall exhaust bends, and the full configuration of cooling holes, two cases—with and without the TBCs—were analyzed. The results reveal that the application of TBCs markedly modifies the near-wall flow structures and heat transfer characteristics. The cooling air mass flow rate decreases from 0.1211 kg/s to 0.1023 kg/s, corresponding to a 15.5% reduction in cooling load. The main recirculation zone becomes more compact, with enhanced vortex intensity, smoother velocity distribution, and improved flame stability. The high-temperature core region extends further downstream, and the peak temperature increases by approximately 80–100 K, indicating more complete combustion and greater heat retention. The outlet temperature distribution factor (OTDF) decreases from 57.34% to 44.48%, leading to a 22.4% improvement in temperature uniformity. The average wall temperatures of the inner liner, outer liner, and exhaust bend decrease by 3.7%, 8.8%, and 7.5%, respectively, with local peak reductions exceeding 250 K. The study demonstrates that the YSZ TBCs enhances the combustor’s thermal protection capability, flow stability, and temperature uniformity through a coupled mechanism of “thermal insulation–flow reconstruction–energy redistribution.” It should be noted that this study considers only the effect of the ceramic top coat of the TBCs, excluding the metallic bond coat and the thermally grown oxide (TGO) layer. Full article
(This article belongs to the Section Aeronautics)
Show Figures

Figure 1

16 pages, 2909 KB  
Article
Numerical Investigations on the Effects of Dome Cooling Air Flow on Combustion Characteristics and Emission Behavior in a Can-Type Gas Turbine Combustor
by Chenzhen Ji, Wentao Shi, Enlei Ke, Jiaying Cheng, Tong Zhu, Chao Zong and Xinyan Li
Aerospace 2024, 11(5), 338; https://doi.org/10.3390/aerospace11050338 - 25 Apr 2024
Cited by 4 | Viewed by 4105
Abstract
To meet the requirements of achieving higher efficiency and lower NOx pollution, the flame temperature in gas turbine combustors increases continually; thus, the effusion-cooling technology has been used to ensure the combustor liner remains within the allowed temperature, by which the combustion characteristics [...] Read more.
To meet the requirements of achieving higher efficiency and lower NOx pollution, the flame temperature in gas turbine combustors increases continually; thus, the effusion-cooling technology has been used to ensure the combustor liner remains within the allowed temperature, by which the combustion characteristics and emission behavior are possibly influenced. In order to investigate the effects of dome cooling air flow on combustion characteristics and NOx emissions, three-dimensional combustion simulations for a swirl-stabilized can-type gas turbine combustor are carried out in this work by using the computational fluid dynamics (CFD) method. Through adjusting the ratio of the dome cooling air flow and the dilution cooling air flow, the characteristics of flow field, temperature distribution and NOx emissions under each work condition are analyzed. At different ratios of the dome-cooling air flow to the total air flow, the flow velocity field in the region near the center of the combustion chamber is not changed much, while the velocity field near the chamber wall shows a more significant difference. The temperature in the outer recirculation zone within the combustion chamber is effectively reduced as the dome cooling air flow increases. By analyzing the distribution characteristics of the concentration of OH*, it is demonstrated that the dome cooling air flow does not have a direct effect on the reaction of combustion. It is also found that as the ratio of the dome cooling air flow to the total air flow increases from 0 to 0.15, the value of the NOx emissions drops from 28.4 to 26.3 ppmv, about a 7.4% decrease. The distribution of the NOx generation rate in the combustion chamber does not vary significantly with the increasing dome cooling air flow. Furthermore, by calculating the residence time in different stages, when the the ratio of the dome cooling air flow to the total air flow varies from 0 to 0.15, the residence time in the pilot stage decreases obviously, from 42 ms to 18 ms. This means that reduction in residence time is the main factor in the decrease of NOx emissions when the dome cooling air flow increases. Full article
(This article belongs to the Special Issue Progress in Turbomachinery Technology for Propulsion)
Show Figures

Figure 1

16 pages, 4469 KB  
Article
Unsteady Multiphase Simulation of Oleo-Pneumatic Shock Absorber Flow
by Ahmed A. Sheikh Al-Shabab, Bojan Grenko, Paulo A. S. F. Silva, Antonis F. Antoniadis, Panagiotis Tsoutsanis and Martin Skote
Fluids 2024, 9(3), 68; https://doi.org/10.3390/fluids9030068 - 7 Mar 2024
Cited by 2 | Viewed by 3076
Abstract
The internal flow in oleo-pneumatic shock absorbers is a complex multiphysics problem combining the interaction between highly unsteady turbulent flow and multiphase mixing, among other effects. The aim is to present a validated simulation methodology that facilitates shock absorber performance prediction by capturing [...] Read more.
The internal flow in oleo-pneumatic shock absorbers is a complex multiphysics problem combining the interaction between highly unsteady turbulent flow and multiphase mixing, among other effects. The aim is to present a validated simulation methodology that facilitates shock absorber performance prediction by capturing the dominant internal flow physics. This is achieved by simulating a drop test of approximately 1 tonne with an initial contact vertical speed of 2.7 m/s, corresponding to a light jet. The flow field solver is ANSYS Fluent, using an unsteady two-dimensional axisymmetric multiphase setup with a time-varying inlet velocity boundary condition corresponding to the stroke rate of the shock absorber piston. The stroke rate is calculated using a two-equation dynamic system model of the shock absorber under the applied loading. The simulation is validated against experimental measurements of the total force on the shock absorber during the stroke, in addition to standard physical checks. The flow field analysis focuses on multiphase mixing and its influence on the turbulent free shear layer and recirculating flow. A mixing index approach is suggested to facilitate systematically quantifying the mixing process and identifying the distinct stages of the interaction. It is found that gas–oil interaction has a significant impact on the flow development in the shock absorber’s upper chamber, where strong mixing leads to a periodic stream of small gas bubbles being fed into the jet’s shear layer from larger bubbles in recirculation zones, most notably in the corner between the orifice plate and outer shock absorber wall. Full article
(This article belongs to the Special Issue Turbulent Flow, 2nd Edition)
Show Figures

Figure 1

21 pages, 8128 KB  
Article
Influences of Momentum Ratio on Transverse Dispersion for Intermediate-Field Mixing Downstream of Channel Confluence
by Jaehyun Shin, Sunmi Lee and Inhwan Park
Int. J. Environ. Res. Public Health 2023, 20(4), 2776; https://doi.org/10.3390/ijerph20042776 - 4 Feb 2023
Cited by 4 | Viewed by 2066
Abstract
This study aims to analyze the influences of momentum ratio (Mr) and confluence angle (α) on the transverse dispersion in an urban scale confluence channel from the numerical simulation results using the Environmental Fluid Dynamics Code model. By [...] Read more.
This study aims to analyze the influences of momentum ratio (Mr) and confluence angle (α) on the transverse dispersion in an urban scale confluence channel from the numerical simulation results using the Environmental Fluid Dynamics Code model. By changing the momentum flux and confluence angle from the simulation results, the analysis focused on the relations between the vertical variations of transverse velocity and transverse dispersion. The high momentum tributary aligned the mixing interface toward the outer bank and created a strong helical motion, which transported the contaminated water along the channel bed and inflows into the recirculation zone. The high momentum ratio induced the large vertical shear in transverse velocity with a strong helical motion and increased the transverse dispersion. However, the helical motion persistence rapidly decreased as the flow reached downstream and led to a decrease in the transverse dispersion for the large confluence angle. Thus, the transverse dispersion coefficient increased with a high momentum ratio and low confluence angle, and the dimensionless transverse dispersion coefficient was in the range of 0.39–0.67, which is observed in meandering channels, for Mr > 1 and α = 45°. Full article
(This article belongs to the Section Water Science and Technology)
Show Figures

Figure 1

19 pages, 11664 KB  
Article
Effect of Swirling Flow Nozzle on Fluid Flow and Solidification in a Round Bloom Continuous Casting Mold
by Jianli Wang, Jiayu Zhu, Yongkun Yang, Weian Wang, Guoxing Qiu and Xiaoming Li
Materials 2022, 15(23), 8474; https://doi.org/10.3390/ma15238474 - 28 Nov 2022
Cited by 8 | Viewed by 2731
Abstract
The nozzle structure has an important effect on the fluid flow in the mold, which can significantly improve the solidified shell and product quality of alloy steel round bloom. The transient fluid flow, heat transfer, and solidification behavior under different nozzle structures and [...] Read more.
The nozzle structure has an important effect on the fluid flow in the mold, which can significantly improve the solidified shell and product quality of alloy steel round bloom. The transient fluid flow, heat transfer, and solidification behavior under different nozzle structures and mold electromagnetic stirring (M-EMS) are investigated using a 3D transient mathematical model. The results show that a third small recirculation zone appears near the meniscus after the application of the swirling flow nozzle (SFN). The impact depth of SFN is shallower than that of the original submerged entry nozzle (SEN) impact, and the lower circulation zone is shifted upward. The horizontal swirling flow generated by SFN can significantly weaken the washing of the initial shell by high-temperature steel and improve the uneven growth phenomenon of the inner and outer curved solidified shell caused by mold curvature. The swirling flow produced by M-EMS in the mold can also improve the washing of the initial shell by the high-temperature jet and the uneven growth of the inner and outer curved shell. M-EMS can expand the high-temperature zone in the upper part of the mold, promote the superheat dissipation of the molten steel, and promote the growth of the solidified shell. In addition, after the application of M-EMS, the tangential velocity of –15° SFN in the meniscus is smaller, and the resulting liquid level fluctuation is lower at 5.07 mm, which is less likely to produce slag entrapment and is conducive to improving the quality of round bloom. Full article
(This article belongs to the Special Issue Metallurgical Process Simulation and Optimization2nd Volume)
Show Figures

Figure 1

32 pages, 34059 KB  
Article
Assessment of Turbulence Models over a Curved Hill Flow with Passive Scalar Transport
by David Paeres, Christian Lagares and Guillermo Araya
Energies 2022, 15(16), 6013; https://doi.org/10.3390/en15166013 - 19 Aug 2022
Cited by 4 | Viewed by 2061
Abstract
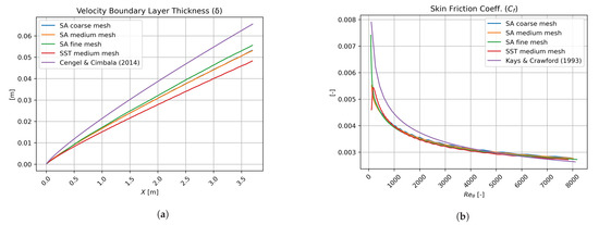
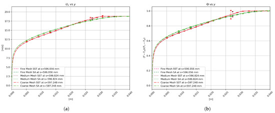
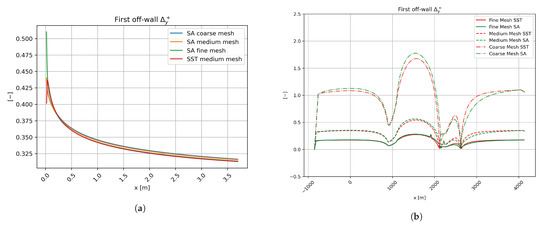
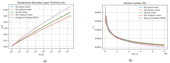
An incoming canonical spatially developing turbulent boundary layer (SDTBL) over a 2-D curved hill is numerically investigated via the Reynolds-averaged Navier–Stokes (RANS) equations plus two eddy-viscosity models: the Kω SST (henceforth SST) and the Spalart–Allmaras (henceforth SA) turbulence models. A spatially [...] Read more.
An incoming canonical spatially developing turbulent boundary layer (SDTBL) over a 2-D curved hill is numerically investigated via the Reynolds-averaged Navier–Stokes (RANS) equations plus two eddy-viscosity models: the Kω SST (henceforth SST) and the Spalart–Allmaras (henceforth SA) turbulence models. A spatially evolving thermal boundary layer has also been included, assuming temperature as a passive scalar (Pr = 0.71) and a turbulent Prandtl number, Prt, of 0.90 for wall-normal turbulent heat flux modeling. The complex flow with a combined strong adverse/favorable streamline curvature-driven pressure gradient caused by concave/convex surface curvatures has been replicated from wind-tunnel experiments from the literature, and the measured velocity and pressure fields have been used for validation purposes (the thermal field was not experimentally measured). Furthermore, direct numerical simulation (DNS) databases from the literature were also employed for the incoming turbulent flow assessment. Concerning first-order statistics, the SA model demonstrated a better agreement with experiments where the turbulent boundary layer remained attached, for instance, in Cp, Cf, and Us predictions. Conversely, the SST model has shown a slightly better match with experiments over the flow separation zone (in terms of Cp and Cf) and in Us profiles just upstream of the bubble. The Reynolds analogy, based on the St/(Cf/2) ratio, holds in zero-pressure gradient (ZPG) zones; however, it is significantly deteriorated by the presence of streamline curvature-driven pressure gradient, particularly due to concave wall curvature or adverse-pressure gradient (APG). In terms of second-order statistics, the SST model has better captured the positively correlated characteristics of u and v or positive Reynolds shear stresses (<uv> > 0) inside the recirculating zone. Very strong APG induced outer secondary peaks in <uv> and turbulence production as well as an evident negative slope on the constant shear layer. Full article
Show Figures

Figure 1

24 pages, 4278 KB  
Article
Large Eddy Simulations of a Low-Swirl Gaseous Partially Premixed Lifted Flame in Presence of Wall Heat Losses
by Leonardo Langone, Matteo Amerighi and Antonio Andreini
Energies 2022, 15(3), 788; https://doi.org/10.3390/en15030788 - 21 Jan 2022
Cited by 9 | Viewed by 3014
Abstract
The use of lifted flames presents some very promising advantages in terms of pollutant emissions and flame stability. The focus here is on a specific low-swirl injection system operated with methane and derived from an air-blast atomizer for aero-engine applications, which is responsible [...] Read more.
The use of lifted flames presents some very promising advantages in terms of pollutant emissions and flame stability. The focus here is on a specific low-swirl injection system operated with methane and derived from an air-blast atomizer for aero-engine applications, which is responsible for flame lift-off. The key feature of this concept is the interaction between the swirling jet and the confinement walls, leading to a strong outer recirculation zone and thus to an upstream transport of combustion products from the main reaction region to the flame base. Here, the representation of the physics involved is challenging, since finite-rate effects govern the lift-off occurrence, and only a few numerical studies have been carried out on this test case so far. The aim of the present work is therefore to understand the limits of some state-of-the-art combustion models within the context of LES. Considering this context, two different strategies are adopted: the Flamelet-Generated Manifold (FGM) approach and the Thickened Flame (TF) model. A modified version of the FGM model including stretch and heat loss effects is also applied as an improvement of the standard model. Numerical results are compared with the available experimental data in terms of temperature and chemical species concentration maps, showing that the TF model can better reproduce the lift-off than the FGM approach. Full article
(This article belongs to the Special Issue Advances in Heat Transfer and Combustion in Turbomachinery)
Show Figures

Figure 1

16 pages, 6574 KB  
Article
Numerical and Experimental Investigation of a Non-Premixed Double Swirl Combustor
by Jiming Lin, Ming Bao, Feng Zhang, Yong Zhang and Jianhong Yang
Energies 2022, 15(2), 458; https://doi.org/10.3390/en15020458 - 10 Jan 2022
Cited by 5 | Viewed by 2492
Abstract
This paper focuses on a detailed numerical investigation combined with experimental research for a non-premixed swirl combustor, which aims to analyze the effects of the blade angle of the outer swirler and equivalence ratio on flow and combustion characteristics. In the experiment, the [...] Read more.
This paper focuses on a detailed numerical investigation combined with experimental research for a non-premixed swirl combustor, which aims to analyze the effects of the blade angle of the outer swirler and equivalence ratio on flow and combustion characteristics. In the experiment, the temperature in the furnace was obtained with a thermocouple, while a realizable k-ε turbulence model and two-step reaction mechanism of methane and air are used in the numerical method. The calculation results are in good agreement with the experimental data. The results reveal that the air flow rate through the swirler accounts for a small amount of the total air due to the influence of the draft fan, and there is no central recirculation zone (CRZ) despite the presence of the swirler. It was also found that NO emissions gradually decrease as the blade angle of the outer swirler increases. It was also indicated that the average temperature is 100 K higher than the general combustor with a 58° blade angle in the furnace by increasing the equivalent ratio of the tertiary air area, and the NO emissions reduced by approximately 25%. This study can provide guidance for the operation and structural design of non-premixed swirl combustors. Full article
Show Figures

Figure 1

17 pages, 7250 KB  
Article
Plunging Circular Jets: Experimental Characterization of Dynamic Pressures near the Stagnation Zone
by Grégoire Jamet, António Muralha, José F. Melo, Pedro A. Manso and Giovanni De Cesare
Water 2022, 14(2), 173; https://doi.org/10.3390/w14020173 - 9 Jan 2022
Cited by 7 | Viewed by 2723
Abstract
Spillways are a requirement for dams’ safety, mainly preventing overtopping during floods. A common spillway solution involves plunging jets, which dissipate a considerable flow energy in the plunge pool. Energy dissipation has to occur in a controlled manner to avoid endangering the dam [...] Read more.
Spillways are a requirement for dams’ safety, mainly preventing overtopping during floods. A common spillway solution involves plunging jets, which dissipate a considerable flow energy in the plunge pool. Energy dissipation has to occur in a controlled manner to avoid endangering the dam foundation and river slopes. Indeed, a scouring process in the downstream riverbed will inevitably develop until equilibrium is reached, otherwise a suitable pre-excavated or concrete lined plunge pool has to be provided. This paper focuses on experimental studies in which particular attention was paid to the dynamic pressures in the plunge pool floor at the vicinity of the jet stagnation zone sampled at 2.4 kHz. A rectangular experimental facility, 4.00 m long and 2.65 m wide, was used as plunge pool. Tests involved a vertical circular plunging jet with velocity ranging from 5 to 18 m/s and plunge pool depth ranging from 4.2 to 12.5 jet diameters. Differences in dynamic pressure measurements are highlighted between transducers located in the inner and outer regions of the jet diameter footprint. Several parameters characterizing the dynamic pressures evidence trends tied with the jet velocity that, to the authors’ knowledge, were not dealt in previous research. These can derive from the coupling effects of consequent recirculating motions and air entrainment in the limited-size plunge pool. Both effects, increasing with velocity, cause an reduction in the efficiency of the diffusing jet shear layer. This aspect deserves further investigation to achieve a better understanding and more complete characterization. Full article
(This article belongs to the Section Hydraulics and Hydrodynamics)
Show Figures

Figure 1

16 pages, 5249 KB  
Article
Bladeless Heart Pump Design: Modeling and Numerical Analysis
by Vedrana Markučič, Mario Šavar, Severino Krizmanić and Bojan Biočina
Appl. Sci. 2021, 11(21), 10177; https://doi.org/10.3390/app112110177 - 29 Oct 2021
Viewed by 2774
Abstract
In this paper, the design of a new type of heart pump is presented. The uniqueness of this pump concept is that the mechanical energy is transferred to the fluid by the rotation of flat disks without blades. Both theoretical and numerical analysis [...] Read more.
In this paper, the design of a new type of heart pump is presented. The uniqueness of this pump concept is that the mechanical energy is transferred to the fluid by the rotation of flat disks without blades. Both theoretical and numerical analysis are used to determine the pump design parameters. The pump design parameters are calculated using the Navier-Stokes equations. The application of computational fluid dynamics is used to define the geometric design. The pump head and flow have to be within strictly defined limits to ensure normal blood circulation. The negative impact of the pump on the blood must be minimal (no stagnation and recirculation zones, shear stress in the acceptable range). It is also important to achieve the smallest possible pump volume. For the pump operating point of ∆p = 65 mmHg, Q = 5.43 L/min, and ω = 6000 rpm, the design parameters are inner radius R1 = 12 mm, outer radius R2 = 15 mm, the distance between disk of h = 1 mm, and the number of disks is n = 6. The shear stress in the rotor is in range 46–108 Pa and the pump residence time is 0.0194 s. Full article
(This article belongs to the Section Biomedical Engineering)
Show Figures

Figure 1

19 pages, 7013 KB  
Article
Numerical Study of the Unsteady Flow in Simplified and Realistic Iliac Bifurcation Models
by Violeta Carvalho, Filipa Carneiro, Ana C. Ferreira, Vasco Gama, José C. Teixeira and Senhorinha Teixeira
Fluids 2021, 6(8), 284; https://doi.org/10.3390/fluids6080284 - 14 Aug 2021
Cited by 15 | Viewed by 3149
Abstract
Cardiovascular diseases are a major cause of death and disability worldwide and they are commonly associated with the occurrence of atherosclerotic plaque deposition in the vessel walls, a process denoted as atherosclerosis. This is a chronic and progressive inflammatory disease of large-/medium-sized blood [...] Read more.
Cardiovascular diseases are a major cause of death and disability worldwide and they are commonly associated with the occurrence of atherosclerotic plaque deposition in the vessel walls, a process denoted as atherosclerosis. This is a chronic and progressive inflammatory disease of large-/medium-sized blood vessels that affects blood flow profiles, with the abdominal aorta and its branches being one of the locations prone to the development of this pathology, due to their curvatures and bifurcations. In this regard, the effect of flow patterns was studied and compared for both a simplified three-dimensional model of aorta bifurcation on the iliac arteries and a realistic model of iliac bifurcation, which was constructed from a computational tomography medical image. The flow patterns were analyzed in terms of velocity and wall shear stress distribution, but a special focus was given to the size and location of the recirculation zone. The simulations were performed using the Computational Fluid Dynamics software, FLUENT, taking into account the cardiac cycle profile at the infrarenal aorta. The shear stress and the velocity distribution observed for both models indicated that higher shear stress occurred along the flow divider wall (inner wall) and low shear stress occurred along the outer walls. In addition, the results demonstrated that the wall shear stress profiles were deeply affected by the transient profile of the cardiac cycle, with the deceleration phase being the most critical phase to the occurrence of backflow. Full article
(This article belongs to the Special Issue Computational Biofluid Mechanics)
Show Figures

Graphical abstract

16 pages, 13558 KB  
Article
Effect of Channel Diameter on the Combustion and Thermal Behavior of a Hydrogen/Air Premixed Flame in a Swirl Micro-Combustor
by Xiao Yang, Zhihong He, Lei Zhao, Shikui Dong and Heping Tan
Energies 2019, 12(20), 3821; https://doi.org/10.3390/en12203821 - 10 Oct 2019
Cited by 13 | Viewed by 3107
Abstract
Improving the flame stability and thermal behavior of the micro-combustor (MC) are major challenges in microscale combustion. In this paper, the micro combustions of an H2/air premixed flame in a swirl MC with various channel diameters (Din = 2, [...] Read more.
Improving the flame stability and thermal behavior of the micro-combustor (MC) are major challenges in microscale combustion. In this paper, the micro combustions of an H2/air premixed flame in a swirl MC with various channel diameters (Din = 2, 3, 4 mm) were analyzed based on an established three-dimensional numerical model. The effects of hydrogen mass flow rate, thermal conductivity of walls, and the preferential transport of species were investigated. The results indicated that the flame type was characterized by the presence of two recirculation zones. The flame was anchored by the recirculation zones, and the anchoring location of the flame root was the starting position of the recirculation zones. The recirculation zones had a larger distribution of local equivalence ratio, especially in the proximity of the flame root, indicating the formation of a radical pool. The combustion efficiency increased with an increasing Din due to the longer residence time of the reactants. Furthermore, the MC with Din = 2 mm obtained the highest outer wall temperature distribution. However, the MC with Din = 4 mm had a better uniformity of outer wall temperature and large emitter efficiency due to the larger radiation surface. An increase in thermal conductivity boosts the thermal performance of combustion efficiency, emitter efficiency, and wall temperature uniformity. But there is a critical point of thermal conductivity that can increase the thermal performance. The above results can offer us significant guidance for designing MC with high thermal performance. Full article
Show Figures

Graphical abstract

Back to TopTop