Next Article in Journal
A Study on Changes of Window Thermal Performance by Analysis of Physical Test Results in Korea
Previous Article in Journal
A Weekend Load Forecasting Model Based on Semi-Parametric Regression Analysis Considering Weather and Load Interaction
 
 
Font Type:
Arial Georgia Verdana
Font Size:
Aa Aa Aa
Line Spacing:
Column Width:
Background:
Article

Effect of Channel Diameter on the Combustion and Thermal Behavior of a Hydrogen/Air Premixed Flame in a Swirl Micro-Combustor

1
Key laboratory of Aerospace Thermophysics, Ministry of Industry and Information Technology, School of Energy Science and Engineering, Harbin Institute of Technology, Harbin 150001, China
2
School of Energy Science and Engineering, Harbin Institute of Technology, Harbin 150001, China
*
Author to whom correspondence should be addressed.
Energies 2019, 12(20), 3821; https://doi.org/10.3390/en12203821
Submission received: 5 September 2019 / Revised: 30 September 2019 / Accepted: 8 October 2019 / Published: 10 October 2019

Abstract

Improving the flame stability and thermal behavior of the micro-combustor (MC) are major challenges in microscale combustion. In this paper, the micro combustions of an H2/air premixed flame in a swirl MC with various channel diameters (Din = 2, 3, 4 mm) were analyzed based on an established three-dimensional numerical model. The effects of hydrogen mass flow rate, thermal conductivity of walls, and the preferential transport of species were investigated. The results indicated that the flame type was characterized by the presence of two recirculation zones. The flame was anchored by the recirculation zones, and the anchoring location of the flame root was the starting position of the recirculation zones. The recirculation zones had a larger distribution of local equivalence ratio, especially in the proximity of the flame root, indicating the formation of a radical pool. The combustion efficiency increased with an increasing Din due to the longer residence time of the reactants. Furthermore, the MC with Din = 2 mm obtained the highest outer wall temperature distribution. However, the MC with Din = 4 mm had a better uniformity of outer wall temperature and large emitter efficiency due to the larger radiation surface. An increase in thermal conductivity boosts the thermal performance of combustion efficiency, emitter efficiency, and wall temperature uniformity. But there is a critical point of thermal conductivity that can increase the thermal performance. The above results can offer us significant guidance for designing MC with high thermal performance.

Graphical Abstract

1. Introduction

With the development of micro electro-mechanical systems (MEMS), micro power generators with high energy density and low weight are pressingly required [1,2,3,4]. The high energy density of hydrocarbon fuels offers great potential for micro combustion-based micro power generators, for instance, micro gas turbine [5,6], micro thermophotovoltaic [7,8,9,10,11], and micro thermoelectric [12,13,14] systems. However, there are some challenges in obtaining a stable flame and better thermal performance in micro-combustors (MCs). The short residence time and large heat loss on account of the small size and large surface-area-to-volume ratio are the main challenges of micro combustion [15], which can result in incomplete combustion and an unstable flame.
As regards micro combustion, heat recirculation is the most widely used method to stabilize the flame. Wan et al. [16,17] found that the bluff-body in MCs markedly improves the flame stability owing to the flow recirculation zone behand the bluff-body and the upstream heat transfer through the wall, and the large flame strain rate results in flame extinguishment. For the hydrogen/air premixed flame, a study by Bagheri et al. [18] examined how bluff-body shapes affect flame characteristics. As for the micro-flameless combustion of a methane/air mixture, Hosseini and Wahid [19] used the bluff-body to improve micro-flameless combustion stability. A new configuration of a Swiss-roll combustor is a favorable technique to stabilize the flame through recirculating heat from high-temperature gas [20]. The flame characteristics of Swiss-roll combustors with various channel widths were investigated by Kim et al. [21]. They found that Swiss-roll combustors can establish self-sustaining flames where the channel widths are less than the quenching distance. In addition, filling or partially filling the porous media in the MC can be used to strengthen heat transfer from high-temperature gas to low-temperature gas, leading to more heat recirculation. A planar MC partially filled with nickel foam for flame stability was examined by Wang et al. [22]. The porous media reduces the heat loss and the flame temperature in the MC increases on account of the heat recirculation in porous media. Li et al. [23] found that the flame temperature and temperature non-uniformity are lowered, while the wall temperature is increased in a porous MC. Marbach et al. [24] utilized a porous media surface to stabilize the flame in a cylindrically recuperative MC with silicon-carbide-coated carbon foam. Mikami et al. [25] used wire mesh for enhancing heat transfer in meso-scale tubes, and the wire mesh helped to create a stable flame.
For the application of a micro thermophotovoltaic power generator, many studies are working to improve the thermal performance of MCs in order to further increase the energy output power or efficiency. It is confirmed that heat recirculation is a significant method. Recuperators, such as quartz glass cover, can reuse the exhaust gas energy, which is able to markedly improve the outer wall temperature [26]. Tang et al. [27] designed and fabricated a heat recirculation MC for the application of micro thermophotovoltaic power generator. Experimental data indicated that the radiation efficiency was markedly improved due to the heat recirculation, and the blowout limit in the heat recirculation MC was larger compared with the straight-channel MC. Alipoor and Saidi [28] developed a U-shaped micro tube combustor inside rectangular walls. Secondary flows can better preheat the incoming cold reactants, which enlarges the flammability limits. They have obtained an emitter efficiency of 41.1% and total energy conversion efficiency of 6.3%. Chou et al. [29] employed the porous media to increase the wall temperature and radiation energy in a cylindrical tube combustor. Furthermore, it is effective to optimize the MC structures. Akhtar et al. [30] revealed that a curved channel can significantly improve the overall energy conversion efficiency by about 7.84%, while the flame flashback is more likely to occur. In order to acquire higher energy output, Yang et al. [31] proposed a converging–diverging channel MC for micro thermophotovoltaic power generator. They pointed out that the flow disturbance caused by the converging–diverging channel improves the heat transfer between the gas and the solid wall. Parallel separating plates were employed by Tang et al. [32] in a planar MC for improving the thermal performance, resulting in an increase in the wall temperature of more than 100 K. Moreover, Amani et al. [33] used hydrogen addition to enhance the thermal performance of the MC combined with baffles and bluff-bodies for a premixed methane–air flame. Hydrogen addition can also raise the combustion reaction rate and flame stability of premixed methane/air [34]. As regards the micro thermophotovoltaic system, Yang et al. [35] used GaSb PV cells for this system to obtain a 4.4 W electrical power output with an overall efficiency of 3.48%. Lee et al. [36] employed an ammonia–hydrogen mixture as fuel for the application of micro thermophotovoltaic system, and an energy output power of 5.2 W and an overall efficiency of 2.1% were obtained. Nadimi and Jafarmadar [37] utilized the internal micro-fin that was placed inside an MC to improve the efficiency. They found a maximum total efficiency of 8.9% when the radiant efficiency of the MC was 58%. Gentillon et al. [38] experimentally investigated a porous media combustion-based thermophotovoltaic system, and the electrical power of 1 W was produced and the corresponding total efficiency was 0.071%.
Recently, we developed a swirl MC [39] fueled by hydrogen/air based on a swirl-stabilized flame configuration, and the combustion and thermal performances under premixed modes and non-premixed modes were compared and analyzed. Indeed, the analysis revealed that the formation of an inner recirculation zone and corner recirculation zone in the chamber were major contributing factors in the flame’s stabilization. The channel diameter played a key role in the formation of the recirculation zones in the chamber. In addition, the energy output performance of the MC was also affected by the channel diameter. Thus, in the present work, the influence of channel diameter on combustion and thermal performance was investigated based on three-dimensional numerical simulations. In addition, the performance of an MC with different thermal conductivities of solid walls was also investigated. The results of this work offer a number of valuable guidelines for the design and optimization of MCs.

2. Methodology

2.1. Physical Model

The swirl MC configuration is exhibited in Figure 1. Except for the channel diameter Din, other structural parameters were kept the same. The thickness of the wall (δ) was 0.5 mm. The lengths of entrance section (L1) and combustion chamber (L2) were 2 mm and 18 mm, respectively. An axial annular swirl generator was placed at the entrance section with 6 blades, each of which had a discharge angle of 45°. In addition, the inner and outer diameters of the swirler had values of 0.6 mm and 1.0 mm, respectively. Based on the swirl number calculation of the axial annular swirl generator [40], the swirl number was approximately 0.82 in this combustor. Moreover, it should be emphasized that this exact swirler geometry was captured in the numerical modelling and the swirl number did not vary with the inlet mass flow rate. The combustor was made of silicon carbide, which had thermal conductivity and emissivity values of 32.8 W/m·K and 0.9, respectively. Detailed geometrical parameters are shown in Figure 1.

2.2. Computational Models

A three-dimensional, steady-state numerical modelling was built using the computational fluid dynamics software Fluent 15.0. It is true that the Navier–Stokes equation could be utilized for this study in that the Knudsen number of the gas mixture was much smaller than 0.001 [41]. For the purpose of simplifying the mathematical model, the Dufour effects, gas radiation, surface reactions, and work done by pressure and viscous forces were neglected [42,43]. The realizable k-ε turbulence model [16,44] was applied for solving the turbulent flow. The basic governing equations about continuity, momentum, energy, and spaces conservation are shown below:
Continuity:
ρ t + ( ρ v ) = 0
Momentum:
t ( ρ v ) + ( ρ v v ) = p + τ ¯
Energy:
t ( ρ E ) + [ v ( ρ E + p ) ] = [ k e f f T i h i J i + ( τ ¯ v ) ] + S h
t ( ρ s c s T ) + ( k s T ) = 0
Species:
t ( ρ Y i ) + ( ρ v Y i ) = J i + R i
where ρ, ν , and p are the gas density, velocity vector, and gas static pressure, respectively; τ ¯ is the stress tensor; E, keff, and T are the total energy, effective conductivity, and temperature, respectively; hi and J i are the enthalpy and diffusion flux of species i, respectively; Sh is the fluid enthalpy source; ks, ρs, and cs are the thermal conductivity, density, and specific heat of the solid phase; Yi and Ri are the mass fraction of species i and the net rate of production of species i, respectively.
With regards to the combustion model, the detailed H2/air chemical reaction mechanism with 9 species and 19 reversible reactions [31] was implemented in this numerical modelling. The eddy dissipation conception (EDC) model is devoted to solving the turbulence–chemistry interaction. In addition, the Soret effect is much smaller than the Fickian diffusion, and the Soret effect has negligible influence on the numerical results based on our previous study [39]. Accordingly, only the mass diffusion was considered in this study. The ideal gas law was used to calculate the density of the mixture, while the mass weighted mixing law was used for the specific heat, thermal conductivity, and viscosity of the mixture, as shown below.
Specific heat:
c p = i Y i c p , i ,   with   c p , i = 1 2 R M w , i ( f i + 2 )
Thermal conductivity:
k = i Y i k i ,   with   k i = 15 4 R M w , i μ i [ 4 15 c p , i M w , i R + 1 3 ]
Viscosity:
μ = i Y i μ i ,   with   μ i = 2.67 × 10 6 M W T σ 2 Ω μ
where Mw,i and fi are the molecular weight and the number of modes of energy storage (degrees of freedom) for the species i, respectively; R is the universal gas constant; and MW is the molecular weight.
For the inlet, both velocity and composition are considered to be uniform, and the temperature of it is 300 K. The pressure-outlet boundary condition is utilized for the outlet. The gas–solid interface uses non-slip and zero diffusive flux species boundary conditions. The energy output Q0 from the MC outer wall via natural convection and thermal radiation is expressed by:
Q 0 = h 0 A ( T w T 0 ) + ε σ A ( T w 4 T 0 4 )
where h0 and T0 are the natural convection coefficient and ambient temperature, which are 10 W/(m2·K) and 300 K [45], respectively; A and Tw are the surface area and temperature of the outer wall, respectively; ε and σ are the wall emissivity and Stephen–Boltzmann constant, which are 0.9 and 5.67 × 10−8 W/(m2·K4).
The second order upwind scheme and the SIMPLE scheme were utilized for discretizing the equations and the pressure–velocity coupling. The simulation results were considered to be converged when the residual of the energy equation was not greater than 10−6 and the residuals of other equations were not greater than 10−3. Furthermore, the grid independence was checked in a swirl MC with Din = 2 mm under three mesh cells of 534,200; 1,245,800; and 1,748,500 cells in the case of mH2 = 2.16 g/h and Φ = 1.0. The temperatures of the centerline and outer walls are depicted in Figure 2. As it can be observed from the graph, the differences in the centerline wall temperature were small, at the same time, the outer wall temperature profiles of the three cases almost overlapped. In addition, the difference in the standard deviation of the outer wall temperature was really small. Thus, the mesh with the cell number of 1,245,800 was selected as the preferable grid structure in this study. The numerical modelling established in this study was the same as in the literature [37,39], of which the results were confirmed to be accurate and effective in simulating the premixed H2/air combustion in micro-combustors.

3. Results and Discussion

3.1. Effect of Hydrogen Mass Flow Rate

Figure 3 illustrates the distribution of the mass fraction of the H radical and velocity at the XZ plane in the MCs with different channel diameters Din under various mH2 of 1.08, 2.16, 2.88, and 3.60 g/h where Φ = 1.0. Usually, the H radical can be used as an indicator of the flame front where the reaction zone of the hydrogen flame is located [46]. The velocity level lines were utilized to show the recirculation zones in the swirl MC. It is clearly seen from Figure 3 that this flame type is characterized by the presence of two recirculation zones, where the inner recirculation zone is located on the centerline and the corner recirculation zone is positioned downstream of the swirler exit plane and in the proximity of the inner sidewall of the swirl MC. The flame is anchored by the recirculation zones and the low velocity zones in the vicinity of the recirculation zone, and the anchoring location of the flame root is the starting position of the inner recirculation zone. Indeed, the recirculation zone helps to generate a pool of radicals for combustion reactions, which facilitates flame anchoring. In addition, the recirculation zone increases the residence time of the combustion species, while also preventing the flame root from being blown downstream. The effects of different mH2 and Din in the swirl MC on the flame characteristics can also be evidently observed in Figure 3. The distribution of the H radical is elongated, and the maximum value of H mass fraction also increases with an increase in mH2. The combustion heat release in the same volume increases with an increasing mH2, which intensifies the chemical reactions. The flame velocity becomes larger at a high mH2 since the inlet velocity rises. With regards to the flame root, almost no change was observed when increasing mH2 because the flame root anchoring location still remained at the starting position of the inner recirculation zone. Only the location of the flame tip moved downstream with larger mH2, which means that the flame extended further downstream. By fixing mH2 to compare and analyze the effect of Din, did we find that a decrease in Din stretched the H radical distribution and increased the maximum value of the H mass fraction. At the same input heat, the small diameter MC had a larger volumetric heat. As a result, the combustion reaction was intensified by reducing the channel diameter. To better show the recirculation zones, Figure 4 shows the flow streamlines at the XZ plane in the swirl MC with different Din where the mH2 was fixed at 2.16 g/h. Both the inner and corner recirculation zones were enlarged due to the larger flow channel diameter. The inner recirculation zone extended approximately 5, 7.5, and 10 mm in the axial direction for the MC with channel diameters of 2, 3, and 4 mm, respectively. Indeed, the channel cross-section was larger at a large channel diameter. In terms of the law of conservation of mass, the velocity became smaller as the channel cross-section became larger. A larger recirculation zone is conducive to increasing the residence time of the reaction species and to form a radical pool for anchoring the flame to the recirculation zone.
Combustion efficiency, based on the hydrogen mass fractions at the swirl MC inlet and outlet, is defined by:
η c = ( 1 ω o u t ω i n ) × 100 %
where ηc is the combustion efficiency, ωin and ωout are the hydrogen mass fractions at the MC inlet and outlet, respectively.
Figure 5 shows the effect of Din on the combustion efficiency under various mH2. It is clear that combustion efficiency decreased with an increase in mH2 due to the increase of inlet velocity, which resulted in a short residence time of reactants. Meanwhile, a large Din can obviously increase the combustion efficiency. For instance, the combustion efficiency increased from 94.77% to 98.17% when Din rose from 2 mm to 4 mm at mH2 = 3.60 g/h. This can be ascribed to the larger recirculation zone, which increased the residence time of reactants. On the other hand, the combustion efficiency in the swirl MC with a large Din is less susceptible to the changes in mH2, as shown in Figure 5. For example, when mH2 increased from 1.08 g/h to 3.60 g/h, the combustion efficiency of Din = 2 mm decreased by 4.56%, while the combustion efficiency of Din = 4 mm only decreased by 1.49%.
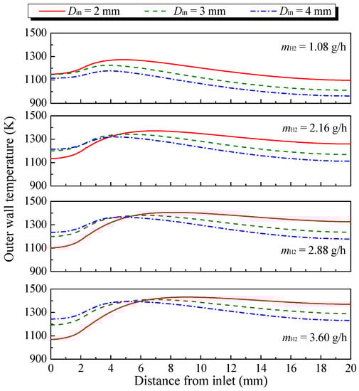
As for the outer wall temperature distributions, they are depicted in Figure 6 under different Din and mH2. At the case of mH2 = 1.08 g/h, Din = 2 mm had the highest wall temperature distribution along the entire wall. However, with the increase of mH2, the outer wall temperature near the inlet of the swirl MC with Din = 2 mm was obviously lower than the swirl MC with Din = 4 mm. This is because there was a corner recirculation zone near the swirler plane and the inner wall of the chamber. The corner recirculation zone was enlarged with an increasing Din, which enhanced heat transfer. Thus, the wall temperature near the inlet increased with a rise in Din.
Figure 7 demonstrates the effect of Din on the average outer wall temperature and standard deviation at different mH2. Here, the uniformity of wall temperature was assessed by the standard deviation. As for the standard deviation σT, it is calculated as:
σ T = i = 1 N A i ( T w , i T a v e ) 2 i = 1 N A i
T a v e = i = 1 N T w , i A i i = 1 N A i
where Tw,i and Ai are the outer wall temperature and area of element surface i, respectively; and Tave is the average wall temperature.
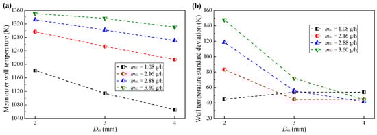
As shown in Figure 7, the MC with Din = 2 mm had the largest value of average wall temperature, which is in conformity with the temperature distributions (Figure 6). When mH2 increased from 1.08 g/h to 3.60 g/h, the average wall temperature of the swirl MC with Din = 2 mm was 116.2 K, 82.2 K, 61.5 K, and 40.1 K higher than the swirl MC with Din = 4 mm, respectively. Nevertheless, the channel diameter Din of 4 mm obtained a very uniform temperature distribution due to the lowest temperature standard deviation. For example, the temperature standard deviations of the swirl MC with Din = 2, 3, and 4 mm were 147.8 K, 72.1 K, and 44.3 K, respectively, where mH2 = 3.60 g/h.
The energy output of the MC is of great significance for the micro thermophotovoltaic power generator. The emitter efficiency ηe is calculated by η e = ( Q 0 / m H 2 Q L H V ) × 100 % , where QLHV is the lower heating value of hydrogen which is 119.96 MJ/kg. Figure 8 shows the emitter efficiency of the MC with various Din at different mH2. As mH2 becomes larger, the emitter efficiency decreases. The reason is that in the process of increasing mH2, the heat loss of high-temperature exhaust gas is larger and the combustion efficiency becomes lower. In addition, the swirl MC with Din = 4 mm had the highest emitter efficiency of 65.5% at mH2 = 1.08 g/h, while the emitter efficiency of Din = 2 mm was only 57.3% at mH2 = 1.08 g/h. This is because the radiation surface increased with an increase in Din. When mH2 increased from 1.08 g/h to 3.60 g/h, the emitter efficiency of the swirl MC with Din = 4 mm rose by 14.1%, 30.4%, 38.1%, and 45.4%, respectively, compared to the swirl MC with Din = 2 mm.

3.2. Effect of Thermal Conductivity

It is recognized that the thermal conductivity of solid walls is considerably related to the flame characteristics of micro combustion [42,47]. For the purpose of investigating the effect of thermal conductivity, in this section, the density, specific heat, emissivity of solid walls were fixed, just like the silicon carbide. Only the thermal conductivity changed and the values of 0.1, 1.05, 10, 32.8, 50, 100, and 150 were selected to investigate this effect on the combustion and thermal performances. Moreover, mH2 and Φ were fixed at 2.88 g/h and 1.0, respectively.
Figure 9 demonstrates the combustion efficiency in the swirl MC with various Din and thermal conductivities. The combustion efficiency can be significantly improved by increasing thermal conductivity when the thermal conductivity was less than approximately 10 W/m·K. When the thermal conductivity was between 10 W/m·K and 150 W/m·K, the combustion efficiency was almost the same. This phenomenon can be attributed to two reasons. Firstly, as the thermal conductivity rises, the recirculation zone is enlarged, resulting in increasing residence times of reactants. Secondly, a high thermal conductivity enhances both the axial and transversal heat transfers of solid walls in the MC, leading to a better preheating of the incoming fresh reactants. These two reasons can be observed in detail in Figure 10 and Figure 11. The colored contours of mass fraction of the H radical with overlaid flow streamlines (black line) under various thermal conductivities at the XZ plane in the swirl MC with different channel diameters are depicted in Figure 10. It can be clearly observed that increasing thermal conductivity can increase the length of the inner recirculation zone. This is due to the stronger volumetric expansion effect of the gas caused by the better preheating at larger thermal conductivity [47]. These larger recirculation zones increase the residence time of burned gas and the convection time between high-temperature gas and solid walls. In terms of the H radical, the maximum value of the H radical increases with the increase of thermal conductivity, and the reactive zone is slightly elongated, which means that increasing the thermal conductivity of solid walls can intensify combustion chemical reactions. This is because upstream fresh reactants are preferably preheated by downstream high-temperature combustion products with higher thermal conductivity as a result of better heat recirculation caused by solid walls. As shown by the temperature contours in Figure 11, the high-temperature region moved upstream with an increasing thermal conductivity. This means that the chemical reaction zone moved toward the combustor inlet. Moreover, the temperature of the entrance section with high thermal conductivity was obviously greater. Higher temperatures can increase the temperature of incoming fresh reactants, which in turn raises the chemical reaction rates.
Figure 12 illustrates the temperature distributions, average wall temperature, and temperature standard deviation of the outer wall, as well as the emitter efficiency of the MC under various thermal conductivities. As a result of the suppressed heat transfer of walls with high thermal resistance, it is known from Figure 12a that the MC with the thermal conductivity of 0.1 W/m·K obtained the lowest wall temperature. In addition, the outer wall temperature near the inlet obviously increased with an increasing thermal conductivity, which is beneficial for preheating the upstream reactants. Raising the thermal conductivity makes the outer wall temperature more uniform, which is beneficial for the micro thermophotovoltaic power generators. Figure 12b,c demonstrate the mean value and standard deviation of the outer wall temperature with different thermal conductivities. The average temperature of the outer wall was remarkably improved by increasing thermal conductivity when the thermal conductivity was less than approximately 32.8 W/m·K. When thermal conductivity increased from 32.8 W/m·K to 150 W/m·K, the change in mean outer wall temperature was almost negligible. This means that there is a critical point of thermal conductivity that can increase the wall temperature. When thermal conductivity exceeds the critical point, continuing to increase the thermal conductivity has a negligible effect on the wall temperature level. Nevertheless, the temperature standard deviation was decreasing with increasing thermal conductivity, as presented in Figure 12c. For example, when thermal conductivity rises from 0.1 W/m·K to 150 W/m·K, the temperature standard deviation of Din = 2 mm is reduced from 292.8 K to 47.9 K, and the temperature standard deviation of Din = 4 mm is reduced from 169.7 K to 15.1 K. Moreover, the difference in temperature standard deviation of MC with different Din is small at a large thermal conductivity. The effect of thermal conductivity on emitter efficiency is illustrated in Figure 12d. Just like the mean outer wall temperature, an increase in thermal conductivity results in a significant rise in emitter efficiency when the thermal conductivity is less than approximately 10 W/m·K. Whereas, when thermal conductivity exceeds approximately 10 W/m·K, increasing it does not increase the emitter efficiency. For instance, in the case of mH2 = 2.88 g/h, the maximum emitter efficiencies of the MCs with Din = 2, 3, and 4 mm were about 34.0%, 41.3%, and 46.9%, respectively, when only the thermal conductivity was changed.

3.3. Effect of Preferential Transport

It is recognized that the local equivalence ratio near the flame front can be changed by the different mass diffusivities of reactant species, known as preferential transport effect [46,48,49]. The local equivalence ratio ϕ local is calculated from the fuel/oxygen atom balance, using eight major species from the detailed H2/air chemical reaction mechanism (H2, O2, O, H, OH, H2O, HO2, and H2O2).
ϕ local = 0.5 ( X H 2 + X H 2 O + X H 2 O 2 ) + 0.25 ( X H + X O H + X H O 2 ) 0.5 ( X O + X O H + X H 2 O ) + ( X O 2 + X H 2 O 2 + X H O 2 )
where X is the mole fraction of species.
Figure 13 and Figure 14 demonstrate the contours of ϕ local ϕ inlet and flow streamlines at the XZ plane in the swirl MC. Figure 13a shows the effect of the hydrogen mass flow rate where the channel diameter of the swirl MC is 2 mm; Figure 13b shows the effect of thermal conductivity where the channel diameter of the swirl MC was 2 mm and the hydrogen mass flow rate was 2.88 g/h; Figure 14 is given to compare the effect of the channel diameter on the local equivalence ratio, where the hydrogen mass flow rate was 2.88 g/h. As depicted in Figure 13, increases in the hydrogen mass flow rate and thermal conductivity extended the inner recirculation zone; this can result in an increase in the proportion of the larger local equivalence ratio area in the recirculation zone. It is shown in Figure 14 that the region with a larger local equivalence ratio still remains the starting location of recirculation zone when the channel diameter of the swirl MC changes. It can obviously be seen that the larger local equivalence ratio is located in the inner and corner recirculation zones, where the flame root anchors. There is a peak local equivalence ratio on both sides of the swirler exit, mainly due to the sudden expansion at the swirler exit resulting in sharp velocity gradients. Katta and Roquemore [50] confirmed that sharp velocity gradients contribute to the preferential diffusion effect. The region with a large local equivalence ratio due to the preferential diffusion effect is beneficial to the chemical reaction and flame stability.

4. Conclusions

The effects of channel diameter on the combustion and thermal behavior under various H2/air mass flow rates and thermal conductivities in a swirl MC were examined numerically. We established a three-dimensional numerical model with a detailed hydrogen/air chemical reaction mechanism to analyze these characteristics. The main conclusions are summarized as follows:
(1)
The formation of inner and corner recirculation zones with low local velocities in the swirl MC was due to the swirling flow facilitating flame anchoring;
(2)
The local equivalence ratio was larger in the recirculation zones, which confirms that the recirculation zones helped to create a radical pool, thereby anchoring the flame to there;
(3)
Although parameters such as channel diameter, inlet mass flow rate, and thermal conductivity of the solid wall changed, the flame root was firmly anchored to the starting position of the recirculation zones;
(4)
The combustion intensity was stronger in the MC with a small Din of 2 mm, which had a higher wall temperature. But, a more uniform wall temperature and a larger emitter efficiency was obtained in the MC with Din = 4 mm;
(5)
Increasing the thermal conductivity enhanced the thermal performance of the combustion efficiency and emitter efficiency when the thermal conductivity was no greater than approximately 10 W/m·K because of the better preheating and heat transfer performances;
(6)
There was a critical point of thermal conductivity (approximately between 10 and 30 W/m·K) that can increase the thermal performance of an MC. When thermal conductivity exceeds the critical thermal conductivity, continuing to increase thermal conductivity has a negligible impact on thermal performance. Nevertheless, the wall temperature standard deviation decreases with increasing thermal conductivity.

Author Contributions

Conceptualization, X.Y.; methodology, X.Y.; software, X.Y.; validation, X.Y.; investigation, X.Y.; data analysis, X.Y.; writing—original draft preparation, X.Y.; writing—review and editing, X.Y., Z.H., L.Z., S.D. and H.T.; supervision, S.D. and H.T.

Funding

This research was funded by the National Natural Science Foundation of China, grant number 51576054 and the China Scholarship Council, grant number 201906120194.

Acknowledgments

X.Y. wishes to express his gratitude to Ms. Chen Yan for her extraordinary patience and consistent encouragement.

Conflicts of Interest

The authors declare no conflict of interest.

References

  1. Hosseini, S.E. Micro-power generation using micro-turbine (moving) and thermophotovoltaic (non-moving) systems. Proc. Inst. Mech. Eng. Part A J. Power Energy 2019, 233. [Google Scholar] [CrossRef]
  2. Ju, Y.; Maruta, K. Microscale combustion: Technology development and fundamental research. Prog. Energy Combust. Sci. 2011, 37, 669–715. [Google Scholar] [CrossRef]
  3. Chou, S.K.; Yang, W.M.; Chua, K.J.; Li, J.; Zhang, K.L. Development of micro power generators—A review. Appl. Energy 2011, 88, 1–16. [Google Scholar] [CrossRef]
  4. Burugupally, S.; Weiss, L. Power Generation via Small Length Scale Thermo-Mechanical Systems: Current Status and Challenges, a Review. Energies 2018, 11, 2253. [Google Scholar] [CrossRef]
  5. Waitz, I.A.; Gauba, G.; Tzeng, Y.S. Combustors for micro-gas turbine engines. J. Fluids Eng. 1998, 12, 109–117. [Google Scholar] [CrossRef]
  6. Mehra, A.; Zhang, X.; Ayon, A.A.; Waitz, I.A.; Spadaccini, C.M. A six-wafer combustion system for a silicon micro gas turbine engine. J. Microelectromech. Syst. 2000, 9, 517–527. [Google Scholar] [CrossRef]
  7. Yang, W.M.; Jiang, D.Y.; Chou, S.K.; Chua, K.J.; Karthikeyan, K.; An, H. Experimental study on micro modular combustor for micro-thermophotovoltaic system application. Int. J. Hydrogen Energy 2012, 37, 9576–9583. [Google Scholar] [CrossRef]
  8. Yang, W.M.; Chou, S.K.; Shu, C.; Xue, H.; Li, Z.W.; Li, D.T.; Pan, J.F. Microscale combustion research for application to micro thermophotovoltaic systems. Energy Convers. Manag. 2003, 44, 2625–2634. [Google Scholar] [CrossRef]
  9. Li, Y.-H.; Hong, J.R. Power generation performance of hydrogen-fueled micro thermophotovoltaic reactor. Int. J. Hydrogen Energy 2018, 43, 1459–1469. [Google Scholar] [CrossRef]
  10. Yang, W.M.; Chou, S.K.; Shu, C.; Li, Z.W.; Xue, H. A prototype microthermophotovoltaic power generator. Appl. Phys. Lett. 2004, 84, 3864–3866. [Google Scholar] [CrossRef]
  11. Yang, W.; Chou, S.; Shu, C.; Xue, H.; Li, Z. Effect of wall thickness of micro-combustor on the performance of micro-thermophotovoltaic power generators. Sens. Actuators A Phys. 2005, 119, 441–445. [Google Scholar]
  12. Yan, J.; Liao, X.; Yan, D.; Chen, Y. Review of Micro Thermoelectric Generator. J. Microelectromech. Syst. 2018, 27, 1–18. [Google Scholar] [CrossRef]
  13. Yadav, S.; Sharma, P.; Yamasani, P.; Minaev, S.; Kumar, S. A prototype micro-thermoelectric power generator for micro-electromechanical systems. Appl. Phys. Lett. 2014, 104, 123903. [Google Scholar] [CrossRef]
  14. Aravind, B.; Raghuram, G.K.S.; Kishore, V.R.; Kumar, S. Compact design of planar stepped micro combustor for portable thermoelectric power generation. Energy Convers. Manag. 2018, 156, 224–234. [Google Scholar] [CrossRef]
  15. Hosseini, S.; Owens, E.; Krohn, J.; Leylek, J. Experimental investigation into the effects of thermal recuperation on the combustion characteristics of a non-premixed meso-scale vortex combustor. Energies 2018, 11, 3390. [Google Scholar] [CrossRef]
  16. Wan, J.; Fan, A.; Maruta, K.; Yao, H.; Liu, W. Experimental and numerical investigation on combustion characteristics of premixed hydrogen/air flame in a micro-combustor with a bluff body. Int. J. Hydrogen Energy 2012, 37, 19190–19197. [Google Scholar] [CrossRef]
  17. Wan, J.; Fan, A.; Yao, H.; Liu, W. Experimental investigation and numerical analysis on the blow-off limits of premixed CH4/air flames in a mesoscale bluff-body combustor. Energy 2016, 113, 193–203. [Google Scholar] [CrossRef]
  18. Bagheri, G.; Hosseini, S.E.; Wahid, M.A. Effects of bluff body shape on the flame stability in premixed micro-combustion of hydrogen–air mixture. Appl. Therm. Eng. 2014, 67, 266–272. [Google Scholar] [CrossRef]
  19. Hosseini, S.E.; Wahid, M.A. Investigation of bluff-body micro-flameless combustion. Energy Convers. Manag. 2014, 88, 120–128. [Google Scholar] [CrossRef]
  20. Lloyd, S.A.; Weinberg, F.J. A burner for mixtures of very low heat content. Nature 1974, 251, 47–49. [Google Scholar] [CrossRef]
  21. Kim, N.; Kato, S.; Kataoka, T.; Yokomori, T.; Maruyama, S.; Fujimori, T.; Maruta, K. Flame stabilization and emission of small Swiss-roll combustors as heaters. Combust. Flame 2005, 141, 229–240. [Google Scholar] [CrossRef]
  22. Wang, W.; Zuo, Z.; Liu, J. Numerical study of the premixed propane/air flame characteristics in a partially filled micro porous combustor. Energy 2019, 167, 902–911. [Google Scholar] [CrossRef]
  23. Li, J.; Li, Q.; Wang, Y.; Guo, Z.; Liu, X. Fundamental flame characteristics of premixed H2–air combustion in a planar porous micro-combustor. Chem. Eng. J. 2016, 283, 1187–1196. [Google Scholar] [CrossRef]
  24. Marbach, T.L.; Sadasivuni, V.; Agrawal, A.K. Investigation of a Miniature Combustor Using Porous Media Surface Stabilized Flame. Combust. Sci. Technol. 2007, 179, 1901–1922. [Google Scholar] [CrossRef]
  25. Mikami, M.; Maeda, Y.; Matsui, K.; Seo, T.; Yuliati, L. Combustion of gaseous and liquid fuels in meso-scale tubes with wire mesh. Proc. Combust. Inst. 2013, 34, 3387–3394. [Google Scholar] [CrossRef]
  26. Yang, W.M.; Chua, K.J.; Pan, J.F.; Jiang, D.Y.; An, H. Development of micro-thermophotovoltaic power generator with heat recuperation. Energy Convers. Manag. 2014, 78, 81–87. [Google Scholar] [CrossRef]
  27. Tang, A.; Cai, T.; Deng, J.; Xu, Y.; Pan, J. Experimental investigation on combustion characteristics of premixed propane/air in a micro-planar heat recirculation combustor. Energy Convers. Manag. 2017, 152, 65–71. [Google Scholar] [CrossRef]
  28. Alipoor, A.; Saidi, M.H. Numerical study of hydrogen-air combustion characteristics in a novel micro-thermophotovoltaic power generator. Appl. Energy 2017, 199, 382–399. [Google Scholar] [CrossRef]
  29. Chou, S.K.; Yang, W.M.; Li, J.; Li, Z.W. Porous media combustion for micro thermophotovoltaic system applications. Appl. Energy 2010, 87, 2862–2867. [Google Scholar] [CrossRef]
  30. Akhtar, S.; Khan, M.N.; Kurnia, J.C.; Shamim, T. Investigation of energy conversion and flame stability in a curved micro-combustor for thermo-photovoltaic (TPV) applications. Appl. Energy 2017, 192, 134–145. [Google Scholar] [CrossRef]
  31. Yang, X.; He, Z.; Dong, S.; Tan, H. Enhancement of thermal performance by converging-diverging channel in a micro tube combustor fueled by premixed hydrogen/air. Int. J. Hydrogen Energy 2019, 44, 1213–1226. [Google Scholar] [CrossRef]
  32. Tang, A.; Pan, J.; Yang, W.; Xu, Y.; Hou, Z. Numerical study of premixed hydrogen/air combustion in a micro planar combustor with parallel separating plates. Int. J. Hydrogen Energy 2015, 40, 2396–2403. [Google Scholar] [CrossRef]
  33. Amani, E.; Alizadeh, P.; Moghadam, R.S. Micro-combustor performance enhancement by hydrogen addition in a combined baffle-bluff configuration. Int. J. Hydrogen Energy 2018, 43, 8127–8138. [Google Scholar] [CrossRef]
  34. Tang, A.; Xu, Y.; Pan, J.; Yang, W.; Jiang, D.; Lu, Q. Combustion characteristics and performance evaluation of premixed methane/air with hydrogen addition in a micro-planar combustor. Chem. Eng. Sci. 2015, 131, 235–242. [Google Scholar] [CrossRef]
  35. Yang, W.M.; Chou, S.K.; Shu, C.; Li, Z.W.; Xue, H. Research on micro-thermophotovoltaic power generators. Sol. Energy Mater. Sol. Cells 2003, 80, 95–104. [Google Scholar] [CrossRef]
  36. Lee, S.I.; Um, D.H.; Kwon, O.C. Performance of a micro-thermophotovoltaic power system using an ammonia-hydrogen blend-fueled micro-emitter. Int. J. Hydrogen Energy 2013, 38, 9330–9342. [Google Scholar] [CrossRef]
  37. Nadimi, E.; Jafarmadar, S. The numerical study of the energy and exergy efficiencies of the micro-combustor by the internal micro-fin for thermophotovoltaic systems. J. Clean. Prod. 2019, 235, 394–403. [Google Scholar] [CrossRef]
  38. Gentillon, P.; Singh, S.; Lakshman, S.; Zhang, Z.; Paduthol, A.; Ekins-Daukes, N.J.; Chan, Q.N.; Taylor, R.A. A comprehensive experimental characterisation of a novel porous media combustion-based thermophotovoltaic system with controlled emission. Appl. Energy 2019, 254, 113721. [Google Scholar] [CrossRef]
  39. Yang, X.; Zhao, L.; He, Z.; Dong, S.; Tan, H. Comparative study of combustion and thermal performance in a swirling micro combustor under premixed and non-premixed modes. Appl. Therm. Eng. 2019, 160, 114110. [Google Scholar] [CrossRef]
  40. Yang, X.; He, Z.; Niu, Q.; Dong, S.; Tan, H. Numerical analysis of turbulence radiation interaction effect on radiative heat transfer in a swirling oxyfuel furnace. Int. J. Heat Mass Transf. 2019, 141, 1227–1237. [Google Scholar] [CrossRef]
  41. Ali Beskok, G.E.K. A model for flows in channels, pipes, and ducts at micro and nano scales. Microscale Thermophys. Eng. 1999, 3, 43–77. [Google Scholar] [CrossRef]
  42. Norton, D.G.; Vlachos, D.G. A CFD study of propane/air microflame stability. Combust. Flame 2004, 138, 97–107. [Google Scholar] [CrossRef]
  43. Norton, D.G.; Vlachos, D.G. Combustion characteristics and flame stability at the microscale: A CFD study of premixed methane/air mixtures. Chem. Eng. Sci. 2003, 58, 4871–4882. [Google Scholar] [CrossRef]
  44. Yan, Y.; Xu, F.; Xu, Q.; Zhang, L.; Yang, Z.; Ran, J. Influence of controllable slit width and angle of controllable flow on hydrogen/air premixed combustion characteristics in micro combustor with both sides–slitted bluff body. Int. J. Hydrogen Energy 2019, 44, 20482–20492. [Google Scholar] [CrossRef]
  45. Li, J.; Chou, S.K.; Li, Z.W.; Yang, W.M. A comparative study of H2-air premixed flame in micro combustors with different physical and boundary conditions. Combust. Theory Model. 2008, 12, 325–347. [Google Scholar] [CrossRef]
  46. Wan, J.; Fan, A.; Yao, H.; Liu, W. Flame-anchoring mechanisms of a micro cavity-combustor for premixed H2/air flame. Chem. Eng. J. 2015, 275, 17–26. [Google Scholar] [CrossRef]
  47. Wan, J.; Fan, A.; Yao, H.; Liu, W. Effect of thermal conductivity of solid wall on combustion efficiency of a micro-combustor with cavities. Energy Convers. Manag. 2015, 96, 605–612. [Google Scholar] [CrossRef]
  48. Barlow, R.S.; Dunn, M.J.; Magnotti, G. Preferential transport effects in premixed bluff-body stabilized CH4/H2 flames. Combust. Flame 2015, 162, 727–735. [Google Scholar] [CrossRef]
  49. Barlow, R.S.; Dunn, M.J.; Sweeney, M.S.; Hochgreb, S. Effects of preferential transport in turbulent bluff-body-stabilized lean premixed CH4/air flames. Combust. Flame 2012, 159, 2563–2575. [Google Scholar] [CrossRef]
  50. Katta, V.; Roquemore, W.M. C/H atom ratio in recirculation-zone-supported premixed and nonpremixed flames. Proc. Combust. Inst. 2013, 34, 1101–1108. [Google Scholar] [CrossRef]
Figure 1. Schematic of the swirl micro-combustor (MC) configuration.
Figure 1. Schematic of the swirl micro-combustor (MC) configuration.
Energies 12 03821 g001
Figure 2. Grid independence study. Din = 2 mm, mH2 = 2.16 g/h, and Φ = 1.0.
Figure 2. Grid independence study. Din = 2 mm, mH2 = 2.16 g/h, and Φ = 1.0.
Energies 12 03821 g002
Figure 3. Colored contours of mass fractions of the radical H with overlaid velocity level lines (black line) under various hydrogen mass flow rates at the XZ plane in the swirl MC with different channel diameters.
Figure 3. Colored contours of mass fractions of the radical H with overlaid velocity level lines (black line) under various hydrogen mass flow rates at the XZ plane in the swirl MC with different channel diameters.
Energies 12 03821 g003
Figure 4. The flow streamlines at the XZ plane in the MC with different channel diameters (mH2 = 2.16 g/h).
Figure 4. The flow streamlines at the XZ plane in the MC with different channel diameters (mH2 = 2.16 g/h).
Energies 12 03821 g004
Figure 5. Combustion efficiency under various channel diameters.
Figure 5. Combustion efficiency under various channel diameters.
Energies 12 03821 g005
Figure 6. Comparisons of outer wall temperature distributions under different Din and mH2.
Figure 6. Comparisons of outer wall temperature distributions under different Din and mH2.
Energies 12 03821 g006
Figure 7. (a) Mean outer wall temperature and (b) temperature standard deviation under different Din and mH2.
Figure 7. (a) Mean outer wall temperature and (b) temperature standard deviation under different Din and mH2.
Energies 12 03821 g007
Figure 8. Emitter efficiency under different Din and mH2.
Figure 8. Emitter efficiency under different Din and mH2.
Energies 12 03821 g008
Figure 9. Combustion efficiency under various thermal conductivities.
Figure 9. Combustion efficiency under various thermal conductivities.
Energies 12 03821 g009
Figure 10. Colored contours of mass fractions of the H radical with overlaid flow streamlines (black line) under various thermal conductivities at the XZ plane in the swirl MC with different channel diameters.
Figure 10. Colored contours of mass fractions of the H radical with overlaid flow streamlines (black line) under various thermal conductivities at the XZ plane in the swirl MC with different channel diameters.
Energies 12 03821 g010
Figure 11. Temperature contours under various thermal conductivities at the XZ plane in the swirl MC with Din = 2 mm.
Figure 11. Temperature contours under various thermal conductivities at the XZ plane in the swirl MC with Din = 2 mm.
Energies 12 03821 g011
Figure 12. Effect of thermal conductivity on (a) temperature distributions of the outer wall, (b) mean temperature of the outer wall, (c) temperature standard deviation, and (d) emitter efficiency.
Figure 12. Effect of thermal conductivity on (a) temperature distributions of the outer wall, (b) mean temperature of the outer wall, (c) temperature standard deviation, and (d) emitter efficiency.
Energies 12 03821 g012
Figure 13. Contours of ϕ local ϕ inlet with overlaid flow streamlines (black line) for different hydrogen mass flow rates and thermal conductivities at the XZ plane in the swirl MC: (a) effect of hydrogen mass flow rate, where Din = 2 mm; (b) effect of thermal conductivity, where Din = 2 mm and mH2 = 2.88 g/h.
Figure 13. Contours of ϕ local ϕ inlet with overlaid flow streamlines (black line) for different hydrogen mass flow rates and thermal conductivities at the XZ plane in the swirl MC: (a) effect of hydrogen mass flow rate, where Din = 2 mm; (b) effect of thermal conductivity, where Din = 2 mm and mH2 = 2.88 g/h.
Energies 12 03821 g013
Figure 14. Contours of ϕ local ϕ inlet with overlaid flow streamlines (black line) at the XZ plane in the swirl MC under various channel diameters (mH2 = 2.88 g/h).
Figure 14. Contours of ϕ local ϕ inlet with overlaid flow streamlines (black line) at the XZ plane in the swirl MC under various channel diameters (mH2 = 2.88 g/h).
Energies 12 03821 g014

Share and Cite

MDPI and ACS Style

Yang, X.; He, Z.; Zhao, L.; Dong, S.; Tan, H. Effect of Channel Diameter on the Combustion and Thermal Behavior of a Hydrogen/Air Premixed Flame in a Swirl Micro-Combustor. Energies 2019, 12, 3821. https://doi.org/10.3390/en12203821

AMA Style

Yang X, He Z, Zhao L, Dong S, Tan H. Effect of Channel Diameter on the Combustion and Thermal Behavior of a Hydrogen/Air Premixed Flame in a Swirl Micro-Combustor. Energies. 2019; 12(20):3821. https://doi.org/10.3390/en12203821

Chicago/Turabian Style

Yang, Xiao, Zhihong He, Lei Zhao, Shikui Dong, and Heping Tan. 2019. "Effect of Channel Diameter on the Combustion and Thermal Behavior of a Hydrogen/Air Premixed Flame in a Swirl Micro-Combustor" Energies 12, no. 20: 3821. https://doi.org/10.3390/en12203821

APA Style

Yang, X., He, Z., Zhao, L., Dong, S., & Tan, H. (2019). Effect of Channel Diameter on the Combustion and Thermal Behavior of a Hydrogen/Air Premixed Flame in a Swirl Micro-Combustor. Energies, 12(20), 3821. https://doi.org/10.3390/en12203821

Note that from the first issue of 2016, this journal uses article numbers instead of page numbers. See further details here.

Article Metrics

Back to TopTop