Sign in to use this feature.

Years

Between: -

Subjects

remove_circle_outline
remove_circle_outline
remove_circle_outline
remove_circle_outline
remove_circle_outline
remove_circle_outline
remove_circle_outline
remove_circle_outline
remove_circle_outline

Journals

remove_circle_outline
remove_circle_outline
remove_circle_outline
remove_circle_outline
remove_circle_outline
remove_circle_outline
remove_circle_outline
remove_circle_outline
remove_circle_outline
remove_circle_outline
remove_circle_outline

Article Types

Countries / Regions

remove_circle_outline
remove_circle_outline
remove_circle_outline
remove_circle_outline

Search Results (421)

Search Parameters:
Keywords = out-of-hospital

Order results
Result details
Results per page
Select all
Export citation of selected articles as:
15 pages, 909 KB  
Review
A Critical Review on Misleading Evidence in Cardiac Arrest Trials—Why Less Complexity Does Not Result in Better Outcomes
by Andreas Schäfer, Tobias J. Pfeffer, Johann Bauersachs and Vera Garcheva
J. Clin. Med. 2026, 15(2), 821; https://doi.org/10.3390/jcm15020821 - 20 Jan 2026
Abstract
Over the past two decades, advanced airway management, early coronary angiography, and therapeutic hypothermia have shaped post-out-of-hospital cardiac arrest (OHCA) care. However, recent large randomized trials have challenged these strategies and created substantial uncertainty leading to relevant guideline changes. This review focuses on [...] Read more.
Over the past two decades, advanced airway management, early coronary angiography, and therapeutic hypothermia have shaped post-out-of-hospital cardiac arrest (OHCA) care. However, recent large randomized trials have challenged these strategies and created substantial uncertainty leading to relevant guideline changes. This review focuses on the trials that ultimately influenced current guideline recommendations by downgrading previous recommendations. We determine how structural limitations may have affected the validity and interpretation of their results. The review critically evaluates the methodological design and execution of those trials. Despite neutral findings from recent randomized trials, use of advanced airway management during resuscitation, coronary angiography in patients with a high likelihood of acute coronary occlusion, and therapeutic hypothermia for comatose OHCA survivors still play a relevant role in post-resuscitation management. Full article
Show Figures

Figure 1

12 pages, 2513 KB  
Article
Missing Data in OHCA Registries: How Multiple Imputation Methods Affect Research Conclusions—Paper II
by Stella Jinran Zhan, Seyed Ehsan Saffari, Marcus Eng Hock Ong and Fahad Javaid Siddiqui
J. Clin. Med. 2026, 15(2), 732; https://doi.org/10.3390/jcm15020732 - 16 Jan 2026
Viewed by 91
Abstract
Background/Objectives: Missing data in clinical observational studies, such as out-of-hospital cardiac arrest (OHCA) registries, can compromise statistical validity. Single imputation methods are simple alternatives to complete-case analysis (CCA) but do not account for imputation uncertainty. Multiple imputation (MI) is the standard for handling [...] Read more.
Background/Objectives: Missing data in clinical observational studies, such as out-of-hospital cardiac arrest (OHCA) registries, can compromise statistical validity. Single imputation methods are simple alternatives to complete-case analysis (CCA) but do not account for imputation uncertainty. Multiple imputation (MI) is the standard for handling missing-at-random (MAR) data, yet its implementation remains challenging. This study evaluated the performance of MI in association analysis compared with CCA and single imputation methods. Methods: Using a simulation framework with real-world Singapore OHCA registry data (N = 13,274 complete cases), we artificially introduced 20%, 30%, and 40% missingness under MAR. MI was implemented using predictive mean matching (PMM), random forest (RF), and classification and regression trees (CART) algorithms, with 5–20 imputations. Performance was assessed based on bias and precision in a logistic regression model evaluating the association between alert issuance and bystander CPR. Results: CART outperformed PMM, providing more accurate β coefficients and stable CIs across missingness levels. Although K-Nearest Neighbours (KNN) produced similar point estimates, it underestimated imputation uncertainty. PMM showed larger bias, wider and less stable CIs, and in some settings performed similarly to CCA. MI methods produced wider CIs than single imputation, appropriately capturing imputation uncertainty. Increasing the number of imputations had minimal impact on point estimates but modestly narrowed CIs. Conclusions: MI performance depends strongly on the chosen algorithm. CART and RF methods offered the most robust and consistent results for OHCA data, whereas PMM may not be optimal and should be selected with caution. MI using tree-based methods (CART/RF) remains the preferred strategy for generating reliable conclusions in OHCA research. Full article
Show Figures

Figure 1

14 pages, 1135 KB  
Article
Age–Treatment Interactions in Out-of-Hospital Cardiac Arrest: A Nationwide Registry Analysis
by Boldizsár Kiss, Ádám Pál-Jakab, Bettina Nagy, Gábor Koós, Gábor Csató, György Pápai, Béla Merkely and Endre Zima
J. Clin. Med. 2026, 15(2), 705; https://doi.org/10.3390/jcm15020705 - 15 Jan 2026
Viewed by 100
Abstract
Introduction: Population aging in Europe is ongoing and linked to poorer outcomes after out-of-hospital cardiac arrest (OHCA), yet age alone should not guide treatment. We aimed to describe age-related survival, identify independent predictors, and develop a predictive model using EMS data. Methods [...] Read more.
Introduction: Population aging in Europe is ongoing and linked to poorer outcomes after out-of-hospital cardiac arrest (OHCA), yet age alone should not guide treatment. We aimed to describe age-related survival, identify independent predictors, and develop a predictive model using EMS data. Methods: We analyzed 147,962 adult OHCA cases from the Hungarian National EMS registry. Variables included initial rhythm, witness status, location, and sex. The primary outcome was survival to hospital admission. Multivariable logistic regression assessed independent predictors and age × treatment interactions; performance was evaluated with AUC, Brier score, and cross-validation. Results: Overall survival was 8.8%; elderly patients had lower survival (7.3%) than non-elderly (11.7%, p < 0.001). VF/VT (adjusted OR 5.34), medical personnel witness (OR 4.52), and AED shock (OR 3.52) were the strongest predictors. Age attenuated the survival benefit of VF/VT (interaction OR 0.914) and the protective effect of female sex (interaction OR 0.882; both p < 0.001). Model performance was good (AUC 0.784; Brier 0.0705). Conclusions: Age independently predicts survival after OHCA, but substantial treatment benefits persist in the elderly. Age–treatment interactions support geriatric-tailored resuscitation strategies and potential integration of this high-performing model into clinical decision support systems. Full article
Show Figures

Figure 1

14 pages, 1872 KB  
Article
An AI-Driven Trainee Performance Evaluation in XR-Based CPR Training System for Enhancing Personalized Proficiency
by Junhyung Kwon and Won-Tae Kim
Electronics 2026, 15(2), 376; https://doi.org/10.3390/electronics15020376 - 15 Jan 2026
Viewed by 145
Abstract
Cardiac arrest is a life-threatening emergency requiring immediate intervention, with bystander-initiated Cardiopulmonary resuscitation (CPR) being critical for survival, especially in out-of-hospital situations where medical help is often delayed. Given that over 70% of out-of-hospital cases occur in private residences, there is a growing [...] Read more.
Cardiac arrest is a life-threatening emergency requiring immediate intervention, with bystander-initiated Cardiopulmonary resuscitation (CPR) being critical for survival, especially in out-of-hospital situations where medical help is often delayed. Given that over 70% of out-of-hospital cases occur in private residences, there is a growing imperative to provide widespread CPR training to the public. However, conventional instructor-led CPR training faces inherent limitations regarding spatiotemporal constraints and the lack of personalized feedback. To address these issues, this paper proposes an AI-integrated XR-based CPR training system designed as an advanced auxiliary tool for skill acquisition. The system integrates vision-based pose estimation with multimodal sensor data to assess the trainee’s posture and compression metrics in accordance with Korean regional CPR guidelines. Moreover, it utilizes a Large Language Model to evaluate verbal protocols, including requesting an emergency call that aligns with the guidelines. Experimental validation of the proof-of-concept reveals a verbal evaluation accuracy of 88% and a speech recognition accuracy of approximately 95%. Furthermore, the optimized concurrent architecture provides a real-time response latency under 0.5 s, and the automated marker-based tracking ensures precise spatial registration without manual calibration. These results confirm the technical feasibility of the system as a complementary solution for basic life support education. Full article
(This article belongs to the Special Issue Virtual Reality Applications in Enhancing Human Lives)
Show Figures

Figure 1

15 pages, 2681 KB  
Article
Strategic Vertical Port Placement and Routing of Unmanned Aerial Vehicles for Automated Defibrillator Delivery in Mountainous Areas
by Abraham Mejia-Aguilar, Giacomo Strapazzon, Eliezer Fajardo-Figueroa and Michiel J. van Veelen
Drones 2026, 10(1), 38; https://doi.org/10.3390/drones10010038 - 7 Jan 2026
Viewed by 308
Abstract
Out-of-hospital cardiac arrest (OHCA) is a major cause of death during mountain activities in the Alpine regions. Due to the time-critical nature of these emergencies and the logistical challenges of remote terrain, emergency medical services (EMS) are investigating the use of unmanned aerial [...] Read more.
Out-of-hospital cardiac arrest (OHCA) is a major cause of death during mountain activities in the Alpine regions. Due to the time-critical nature of these emergencies and the logistical challenges of remote terrain, emergency medical services (EMS) are investigating the use of unmanned aerial vehicles (UAVs) to deliver automated external defibrillators (AEDs). This study presents a geospatial strategy for optimising AED delivery by UAVs in mountainous environments, using the Province of South Tyrol, Italy, as a model region. A Geographic Information System (GIS) framework was developed to identify suitable sites for vertical drone ports based on terrain, infrastructure, and regulatory constraints. A Low-Altitude-Flight Elevation Model (LAFEM) was implemented to generate obstacle-avoiding, regulation-compliant 3D flight paths using least-cost path analysis. The results identified 542 potential vertical-port locations, covering approximately 49% of South Tyrol within ten minutes of flight, and demonstrated significant time savings for AED delivery in field tests compared with manual and Euclidean routing. These findings show that integrating GIS-based vertical-port placement and terrain-adaptive UAV routing can substantially improve AED accessibility and response times in mountainous regions. The LAFEM model aligns with U-space airspace regulations and supports safe, automated AED deployment for improved outcomes in OHCA emergencies. Full article
Show Figures

Figure 1

14 pages, 1751 KB  
Article
Translating Guidelines into Practice: A Multicentre Audit of the Implementation of ERC Survivorship and Follow-Up Recommendations After Cardiac Arrest
by Marco Mion, Meadbh Keenan, Alice Steadman, Shirley Morrison, Claudine Keelan, Nikos Gorgoraptis, Nilesh Pareek, Jean Davis, Uzma Sajjad and Thomas R. Keeble
J. Clin. Med. 2026, 15(1), 174; https://doi.org/10.3390/jcm15010174 - 25 Dec 2025
Viewed by 298
Abstract
Background: Survivors of sudden cardiac arrest frequently experience long-lasting problems with fatigue, cognition and mood. European Resuscitation Council (ERC) guidelines recommend functional assessment of physical/non-physical issues prior to discharge, and systematic review within three months covering at least cognition, mood, fatigue, and [...] Read more.
Background: Survivors of sudden cardiac arrest frequently experience long-lasting problems with fatigue, cognition and mood. European Resuscitation Council (ERC) guidelines recommend functional assessment of physical/non-physical issues prior to discharge, and systematic review within three months covering at least cognition, mood, fatigue, and support for patients and their families. How these recommendations are implemented and what barriers are encountered in routine care remains unknown. Methods: We conducted a multicentric, prospective 6-month audit across four tertiary cardiac-arrest centres in England where temporarily funded follow-up pathways were in place. Five operational criteria were developed based on ERC guidelines. Adherence was quantified, and reasons for non-completion were collected and mapped onto the Theoretical Domains Framework (TDF) to identify behavioural and contextual factors influencing implementation. Results: A total of 143 OHCA survivors were discharged alive. Pre-discharge assessments were offered to 116/143 patients (81%) but only completed in 81 (57%). Reasons for non-completion included early discharge, severe cognitive impairment and, less frequently, patient refusal. Of 132 survivors eligible for follow-up, 108 (82%) were contacted and 87 (66%) attended. Only 25% of follow-ups occurred within the recommended 3-month period (median 185 days, IQR 81–225). Among those seen, assessments were completed for cognition (44%), mood (52%), and fatigue (51%). Reasons for omission included patient refusal, clinical discretion, and time constraints. Survivors’ family members were invited in all cases, but only 45% attended. Conclusions: Adherence to guideline-recommended assessments was variable and dependent on local practices, resource limitations, and patient/clinician-related factors. Key barriers mapped to the TDF domains of ‘Environmental context and resources’, ‘Beliefs about consequences’ and ‘Social influences’. Structural policies excluding out-of-area and non-ICU patients, together with clinician judgement and patient engagement, were major determinants of implementation. These findings can guide targeted service development and support sustainable post-resuscitation care pathways. Full article
(This article belongs to the Section Cardiology)
Show Figures

Figure 1

16 pages, 512 KB  
Article
Impact of a 9-1-1-Integrated Mobile App on Bystander CPR: Implementation of PulsePoint in an Urban County
by Charles W. Hwang, Anthony J. Meyer, Ira Harmon, Brandon P. Climenhage, Eric M. Nordhues and Torben K. Becker
J. Clin. Med. 2026, 15(1), 5; https://doi.org/10.3390/jcm15010005 - 19 Dec 2025
Viewed by 364
Abstract
Background/Objectives: Early bystander CPR helps to restore perfusion and improves the likelihood of favorable survival and neurological outcome after out-of-hospital cardiac arrest (OHCA). One strategy to improve bystander CPR is the use of crowd-sourcing mobile CPR applications such as PulsePoint, which notifies bystanders [...] Read more.
Background/Objectives: Early bystander CPR helps to restore perfusion and improves the likelihood of favorable survival and neurological outcome after out-of-hospital cardiac arrest (OHCA). One strategy to improve bystander CPR is the use of crowd-sourcing mobile CPR applications such as PulsePoint, which notifies bystanders of nearby OHCA. In 2019, PulsePoint was deployed in an urban county. Prior to its deployment, bystander CPR rates were 42.9% in this county. This descriptive analysis seeks to analyze bystander intervention after PulsePoint implementation in an urban county. Methods: This retrospective observational study included all PulsePoint activations in Alachua County from June 2020 to September 2023. Patient characteristics and survey data were extracted from EMS patient care reports, hospital electronic medical records, and Pulsepoint dispatch and responder data. Descriptive statistics were used to analyze patient and responder characteristics, PulsePoint activation circumstances, and patient care. Results: Of 225 PulsePoint activations, 95 (42.2%) were confirmed OHCA. Among these, 54 (56.8%) received bystander CPR prior to EMS arrival. Out of 15 prehospital defibrillations, laypersons defibrillated 9 patients (60.0%). There was an average of 3.3 eligible PulsePoint responders within a 0.25-mile radius of the OHCA victim. A majority of PulsePoint survey respondents were formally trained in CPR and automated defibrillator use. Conclusions: The data from our urban EMS experience demonstrate that bystander CPR rates were higher after PulsePoint deployment (56.8%) than before. Our bystander CPR rate was also higher than the national average. Full article
Show Figures

Figure 1

10 pages, 1081 KB  
Case Report
Severe Bupropion Overdose Resulting in Cardiac Arrest, Delayed Rhabdomyolysis, and Persistent Neurological Sequelae in an Adolescent
by Che-Pei Chang, Po-Chen Lin, Giou-Teng Yiang, Meng-Yu Wu and Shi-Bing Wong
Life 2025, 15(12), 1918; https://doi.org/10.3390/life15121918 - 15 Dec 2025
Viewed by 786
Abstract
Bupropion overdose can result in severe neurological and cardiovascular toxicity. We describe a 16-year-old girl who ingested 4.2 g of extended-release bupropion (90.3 mg/kg), presenting with seizures and out-of-hospital cardiac arrest. After 21 min of cardiopulmonary resuscitation, she was resuscitated and admitted with [...] Read more.
Bupropion overdose can result in severe neurological and cardiovascular toxicity. We describe a 16-year-old girl who ingested 4.2 g of extended-release bupropion (90.3 mg/kg), presenting with seizures and out-of-hospital cardiac arrest. After 21 min of cardiopulmonary resuscitation, she was resuscitated and admitted with profound metabolic acidosis and electrocardiographic abnormalities. Serum testing confirmed markedly elevated bupropion levels. During hospitalization, she developed delayed rhabdomyolysis, hypoxic encephalopathy, and persistent neurological sequelae, including Parkinsonism and cognitive deficits. Supportive care led to gradual recovery, with normalization of cardiac conduction and drug clearance by day 20, though residual deficits remained at discharge after seven weeks. This case highlights the life-threatening complications of bupropion toxicity, the delayed risk of seizures, and the need for vigilance for secondary complications such as rhabdomyolysis. Full article
(This article belongs to the Special Issue Reviewing the Landscape of Psychopharmacology)
Show Figures

Figure 1

14 pages, 2066 KB  
Article
Association Between Serum Ionized Calcium Levels and Neurological Outcomes in Patients with Out-of-Hospital Cardiac Arrest
by Shin Young Park, Hyun-Soo Zhang, Incheol Park, Je Sung You and Yoo Seok Park
Life 2025, 15(12), 1889; https://doi.org/10.3390/life15121889 - 10 Dec 2025
Viewed by 462
Abstract
Despite advances in post-cardiac arrest care, mortality and poor neurological outcomes remain common after out-of-hospital cardiac arrest (OHCA). Calcium imbalance is characteristic of post-cardiac arrest syndrome, but its prognostic role is unclear. We retrospectively analyzed 421 OHCA patients treated with targeted temperature management [...] Read more.
Despite advances in post-cardiac arrest care, mortality and poor neurological outcomes remain common after out-of-hospital cardiac arrest (OHCA). Calcium imbalance is characteristic of post-cardiac arrest syndrome, but its prognostic role is unclear. We retrospectively analyzed 421 OHCA patients treated with targeted temperature management (TTM) (2011–2023). pH-adjusted ionized calcium levels were measured at 0, 12, 24, 48, and 72 h after return of spontaneous circulation (ROSC). Associations with 30-day neurological outcomes and mortality were assessed using multivariable logistic regression with two-stage maximum likelihood estimation. Higher baseline-adjusted ionized calcium levels were significantly associated with better neurological outcomes (Cerebral Performance Category 1–2) and lower 30-day mortality, regardless of calcium infusion or clinical covariates. Each 0.01-unit increase corresponded to 17% lower odds of unfavorable neurological outcome (odds ratio [OR], 0.83; 95% confidence interval [CI], 0.76–0.90) and 10% lower mortality (OR, 0.90; 95% CI, 0.84–0.96). Incorporating longitudinal calcium measurements improved predictive accuracy, raising the area under the curve for neurological outcomes from 0.843 to 0.919. Early post-ROSC ionized calcium levels were independently associated with neurological outcomes and mortality in patients with OHCA treated with TTM. Serial ionized calcium monitoring may serve as a prognostic marker, warranting prospective evaluation of therapeutic implications. Full article
(This article belongs to the Special Issue Advances in Emergency and Critical Care Medicine)
Show Figures

Figure 1

20 pages, 1210 KB  
Review
First Breath Matters: Out-of-Hospital Mechanical Ventilation in Patients with Traumatic Brain Injury
by Victoria Brinker, Aristomenis Exadaktylos, Wolf Hautz and Mairi Ziaka
J. Clin. Med. 2025, 14(23), 8443; https://doi.org/10.3390/jcm14238443 - 28 Nov 2025
Viewed by 894
Abstract
Invasive mechanical ventilation (MV) is often a lifesaving intervention in patients with traumatic brain injury (TBI) to optimize gas exchange and prevent secondary brain injury, thereby avoiding the deleterious effects of both hypoxia and hyperoxia, as well as hypocapnia and hypercapnia. However, MV [...] Read more.
Invasive mechanical ventilation (MV) is often a lifesaving intervention in patients with traumatic brain injury (TBI) to optimize gas exchange and prevent secondary brain injury, thereby avoiding the deleterious effects of both hypoxia and hyperoxia, as well as hypocapnia and hypercapnia. However, MV in these patients represents a unique clinical challenge, as it must take into account multiple parameters, including cerebral autoregulation and autoregulatory reserves, brain compliance, cerebral dynamics such as intracranial pressure (ICP), cerebral perfusion pressure (CPP), and cerebral blood flow (CBF), as well as systemic hemodynamics and respiratory system mechanics. Moreover, the detrimental effects of MV on extracranial organs and systems are well established, with the lungs being the most vulnerable, particularly when non-protective ventilation strategies involving high tidal volumes (TV) and inspiratory pressures are applied. Currently, the optimal ventilation approach in patients with TBI, with or without LI, remains incompletely defined. While protective ventilation practices are recommended for a large number of critically ill patients, their application in individuals with acute brain injury (ABI) may adversely affect cerebral and systemic hemodynamics, as well as brain physiology, potentially leading to secondary damage and poor clinical outcomes. Because the consequences of TBI, such as secondary brain damage and lung complications, begin shortly after the primary event, the role of prehospital MV in these patients is crucial. However, existing data from the out-of-hospital setting are scarce. Thus, in the present review, we aim to summarize the available evidence on MV in patients with TBI, with an emphasis on the prehospital setting. Full article
(This article belongs to the Special Issue Ventilation in Critical Care Medicine: 2nd Edition)
Show Figures

Figure 1

12 pages, 1380 KB  
Article
Chain of Call: Learning How to Effectively Communicate with Emergency Medical Services at School
by Santiago Martínez-Isasi, Cristina Jorge-Soto, Cristina Varela-Casal, María Fernández-Méndez, María García-Martínez, Adriana Seijas-Vijande, Carlos Berlanga-Macías, María Pichel-López, Carmen Agra-Tuñas and Antonio Rodríguez-Núñez
Children 2025, 12(11), 1501; https://doi.org/10.3390/children12111501 - 5 Nov 2025
Viewed by 492
Abstract
Background/Objectives: More than half of out-of-hospital cardiac arrests occur at home and are witnessed by family members, who must promptly call the Emergency Medical Services (EMS). The aim of this study was to assess the learning outcomes of an interactive school-based training [...] Read more.
Background/Objectives: More than half of out-of-hospital cardiac arrests occur at home and are witnessed by family members, who must promptly call the Emergency Medical Services (EMS). The aim of this study was to assess the learning outcomes of an interactive school-based training activity focused specifically on the EMS call. Methods: A single-group, post-test-only simulation study was conducted in five Spanish schools. Participating schoolchildren received basic life support (BLS) training from their Physical Education teachers, integrated into the regular school schedule and following the Kids Save Lives recommendations. An innovative didactic resource (the “BLS Endless Book”) was used to support active learning. Children’s performance was evaluated in a simulated scenario using a standardized checklist. Results: A total of 1341 children aged 6 to 14 years participated. In the simulated scenario, more than 90% of participants were able to recognize the emergency and correctly identified and dialed the national emergency number. However, less than 50% were able to activate the hands-free function (with younger children experiencing more difficulty). During the call, 99.0% stated their full name, and 82.0% provided their complete address. Conclusions: A short, focused BLS training led at school by physical education teachers and based on an interactive, easy-to-use, didactic tool is effective in educating 6–14-year-old schoolchildren to correctly perform an immediate EMS call in case of cardiac arrest. Nevertheless, schoolchildren may require reinforcement training focused on hands-free operation and on providing the correct address. Full article
(This article belongs to the Section Pediatric Emergency Medicine & Intensive Care Medicine)
Show Figures

Figure 1

13 pages, 418 KB  
Article
Early Advanced Airway Management and Clinical Outcomes in Out-of-Hospital Cardiac Arrest: A Nationwide Observational Study
by Jung Ho Lee, Dahae Lee, Eujene Jung, Hyun Ho Ryu, Jeong Ho Park, Young Sun Ro and Kyoung Jun Song
J. Clin. Med. 2025, 14(21), 7652; https://doi.org/10.3390/jcm14217652 - 28 Oct 2025
Viewed by 1115
Abstract
Background/Objectives: Out-of-hospital cardiac arrest (OHCA) has persistently low survival rates. While advanced airway management (AAM) is crucial during cardiopulmonary resuscitation, optimal timing remains unclear. This study examined the association between early AAM and clinical outcomes in adult OHCA patients. Methods: This [...] Read more.
Background/Objectives: Out-of-hospital cardiac arrest (OHCA) has persistently low survival rates. While advanced airway management (AAM) is crucial during cardiopulmonary resuscitation, optimal timing remains unclear. This study examined the association between early AAM and clinical outcomes in adult OHCA patients. Methods: This retrospective study analyzed Korean nationwide OHCA registry data (August 2019–December 2022). Adult patients with emergency medical service-treated OHCA of presumed medical origin receiving AAM were included. Early AAM was defined as airway placement within 5 min of CPR initiation. Time-dependent propensity score matching controlled for selection bias and time-related confounding. Structural equation modeling examined associations between AAM timing and other prehospital interventions. Primary outcome was survival to hospital discharge with good neurological recovery (cerebral performance category 1–2). Results: Among 51,869 patients receiving AAM, 27,591 received early AAM and 24,278 received delayed AAM. After propensity score matching, 12,014 patients were included per group with balanced characteristics. Early AAM was associated with higher prehospital return of spontaneous circulation (11.8% vs. 10.5%; adjusted RR 1.21, 95% CI 1.12–1.29) and favorable neurological recovery (5.8% vs. 5.1%; adjusted RR 1.12, 95% CI 1.01–1.23). AAM timing correlated with timing of other critical interventions, including rhythm analysis and epinephrine administration. Conclusions: Early AAM within 5 min of CPR initiation was associated with improved neurological outcomes and increased prehospital ROSC in OHCA. Airway timing may indicate overall resuscitation quality, emphasizing the importance of coordinated, timely prehospital interventions. Full article
(This article belongs to the Special Issue Clinical Updates in Trauma and Emergency Medicine)
Show Figures

Figure 1

14 pages, 1059 KB  
Article
Nationwide Trends in Hospitalizations for Sudden Cardiac Arrest Before and During the COVID Outbreak
by Sarah Daoudi, Ariel Furer, Kevin John, Fadi Chalhoub, Jennifer Chee, Margaret Infeld, Gabby Elbaz-Greener, Munther Homoud, James Udelson, Christopher Madias and Guy Rozen
J. Clin. Med. 2025, 14(21), 7517; https://doi.org/10.3390/jcm14217517 - 23 Oct 2025
Viewed by 1022
Abstract
Background/Objectives: Sudden cardiac arrest (SCA) accounts for ~50% of cardiovascular mortality in the U.S. Cardiovascular complications are common in acute and post-acute COVID-19 infection. We aimed to examine nationwide trends in SCA-related hospitalizations in the United States before and during the COVID-19 [...] Read more.
Background/Objectives: Sudden cardiac arrest (SCA) accounts for ~50% of cardiovascular mortality in the U.S. Cardiovascular complications are common in acute and post-acute COVID-19 infection. We aimed to examine nationwide trends in SCA-related hospitalizations in the United States before and during the COVID-19 outbreak. Methods: Using data from the National Inpatient Sample, we conducted a retrospective analysis of hospitalizations for SCA in the U.S. between 2016 and 2020. Sociodemographic and clinical characteristics and in-hospital mortality were compared between the pre-COVID (2016–2019) and COVID (2020) eras. Multivariable analysis was performed to identify factors associated with mortality. Results: Among a weighted total of 153,100 SCA hospitalizations between 2016 and 2020, the median age was 65 years, 62.7% were male, and 66.6% were white. There was a trend towards fewer hospitalizations in 2020 compared to prior years (n = 28,585 vs. naverage = 32,129, p = 0.07). In-hospital mortality remained unchanged between the pre-COVID and COVID eras (47.7% vs. 47.3%, p = 0.66). Increased mortality was associated with female sex (OR: 1.21; 95% CI: 1.15–1.28; p < 0.001), non-white race (OR: 1.24; 95% CI: 1.15–1.28; p < 0.001), history of renal failure (OR: 1.08; 95% CI: 1.02–1.15; p = 0.007), and diabetes (OR: 1.32; 95% CI: 1.25–1.39; p < 0.001). In 2020, 1.5% of the study population was diagnosed with COVID-19 infection, which was found to be independently associated with increased in-hospital mortality (OR: 1.57; 95% CI: 1.27–1.95; p < 0.001). Conclusions: In 2020, there was a trend towards a decrease in hospitalizations for SCA, while COVID-19 infection was independently associated with higher in-hospital mortality among patients admitted with SCA. Full article
Show Figures

Figure 1

11 pages, 514 KB  
Article
Analysis of Factors Associated with Hypoglycemia in Patients with Out-of-Hospital Cardiac Arrest Undergoing Targeted Temperature Management
by Wan Young Heo, Seok Jin Ryu, Dong Hun Lee, Byung Kook Lee, Yong Hun Jung and Kyung Woon Jeung
J. Clin. Med. 2025, 14(20), 7354; https://doi.org/10.3390/jcm14207354 - 17 Oct 2025
Viewed by 653
Abstract
Background: Patients with out-of-hospital cardiac arrest (OHCA) are susceptible to hypoglycemia, which may worsen outcomes. Early identification of patients at risk is therefore essential. This study examined factors associated with hypoglycemia in OHCA survivors treated with targeted temperature management (TTM). Methods: We conducted [...] Read more.
Background: Patients with out-of-hospital cardiac arrest (OHCA) are susceptible to hypoglycemia, which may worsen outcomes. Early identification of patients at risk is therefore essential. This study examined factors associated with hypoglycemia in OHCA survivors treated with targeted temperature management (TTM). Methods: We conducted an observational study of adults (≥18 years) with OHCA who received TTM between October 2015 and December 2024. Hypoglycemia was defined as blood glucose ≤ 70 mg/dL, assessed within 7 days of admission. The primary outcome was hypoglycemia occurrence. Results: Among 521 patients with OHCA, 69 (13.2%) developed hypoglycemia. Multivariable analysis identified body mass index (odds ratio [OR], 0.877; 95% confidence interval [CI], 0.808–0.953), N-terminal pro-B-type natriuretic peptide (NT-proBNP) > 2000 mg/dL (OR, 3.769; 95% CI, 2.060–6.898), and renal replacement therapy (OR, 3.429; 95% CI, 1.841–6.387) as independent factors associated with hypoglycemia. The area under the curve for the final adjusted model was 0.801 (95% CI, 0.764–0.835). Conclusions: In the OHCA patients who received TTM, body mass index, NT-proBNP > 2000, and renal replacement therapy were associated with hypoglycemia. Full article
Show Figures

Figure 1

12 pages, 3466 KB  
Article
Comparative Analysis of Traumatic Cardiac Arrest: Role of Early Intervention and Care Pathway
by Sung Woo Jang, Jae Sik Chung and Pil Young Jung
Healthcare 2025, 13(19), 2532; https://doi.org/10.3390/healthcare13192532 - 7 Oct 2025
Viewed by 611
Abstract
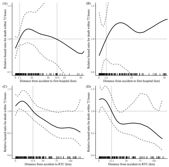
(1) Background: This study aimed to assess the characteristics and factors influencing 72 h survival after traumatic cardiac arrest (TCA), comparing out-of-hospital TCA (oTCA) with in-hospital TCA (iTCA). (2) Methods: This is a retrospective review of 286 patients with TCA admitted to the [...] Read more.
(1) Background: This study aimed to assess the characteristics and factors influencing 72 h survival after traumatic cardiac arrest (TCA), comparing out-of-hospital TCA (oTCA) with in-hospital TCA (iTCA). (2) Methods: This is a retrospective review of 286 patients with TCA admitted to the regional trauma center (RTC) in Gangwon Province, Korea, between 2013 and 2019. (3) Results: Transfer from another hospital (hazard ratio [HR] 0.86 [0.76–0.97]) and longer duration between accident and cardiopulmonary resuscitation (CPR) (HR 0.95 [0.90–0.99]) were associated with lower 72 h mortality. Transfer showed a significant association with lower 72 h mortality in all patients and in the high-injury-severity-score (ISS) group, but not in the low-ISS group. Subgroup analysis indicated that patients transferred from another hospital had significantly lower HR than directly admitted patients to the RTC for oTCA occurrence (HR 0.36 [0.23–0.57]), total CPR duration > 30 min (HR 0.34 [0.23–0.52]), and accident-to-CPR duration < 30 min (HR 0.25 [0.11–0.55]). Additionally, shorter distances from the accident site to the first hospital were associated with lower relative HRs. (4) Conclusions: Considering the extremely poor outcomes of TCA, basic resuscitation and evaluation at nearby medical institutions rather than immediate transfer to specialized trauma centers, particularly when TCA occurs or is anticipated, are important. Early damage-control resuscitation at a nearby hospital can impact on improving the survival rate of patients with TCA. Full article
Show Figures

Figure 1

Back to TopTop