Sign in to use this feature.

Years

Between: -

Subjects

remove_circle_outline
remove_circle_outline
remove_circle_outline
remove_circle_outline
remove_circle_outline
remove_circle_outline
remove_circle_outline

Journals

Article Types

Countries / Regions

remove_circle_outline
remove_circle_outline
remove_circle_outline
remove_circle_outline
remove_circle_outline

Search Results (488)

Search Parameters:
Keywords = orthogonal frequency-division multiplexing (OFDM)

Order results
Result details
Results per page
Select all
Export citation of selected articles as:
14 pages, 1572 KB  
Article
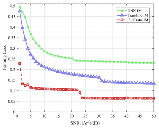
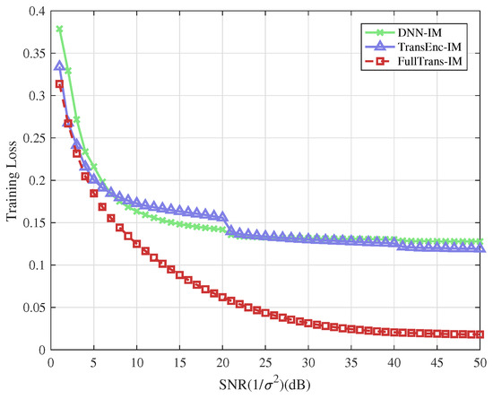
A Transformer–LSTM Hybrid Detector for OFDM-IM Signal Detection
by Leijun Wang, Zian Tong, Kuan Wang, Jinfa Xie, Xidong Peng, Bolong Li, Jiawen Li, Xianxian Zeng, Jin Zhan and Rongjun Chen
Entropy 2026, 28(1), 102; https://doi.org/10.3390/e28010102 - 14 Jan 2026
Abstract
This paper addresses the signal detection problem in orthogonal frequency division multiplexing with index modulation (OFDM-IM) systems using deep learning (DL) techniques. In particular, a DL-based detector termed FullTrans-IM is proposed, which integrates the Transformer architecture with long short-term memory (LSTM) networks. Unlike [...] Read more.
This paper addresses the signal detection problem in orthogonal frequency division multiplexing with index modulation (OFDM-IM) systems using deep learning (DL) techniques. In particular, a DL-based detector termed FullTrans-IM is proposed, which integrates the Transformer architecture with long short-term memory (LSTM) networks. Unlike conventional methods that treat signal detection as a classification task, the proposed approach reformulates it as a sequence prediction problem by exploiting the sequence modeling capability of the Transformer’s decoder rather than relying solely on the encoder. This formulation enables the detector to effectively learn channel characteristics and modulation patterns, thereby improving detection accuracy and robustness. Simulation results demonstrate that the proposed FullTrans-IM detector achieves superior bit error rate (BER) performance compared with conventional methods such as zero-forcing (ZF) and existing DL-based detectors under Rayleigh fading channels. Full article
(This article belongs to the Special Issue Wireless Communications: Signal Processing Perspectives, 2nd Edition)
Show Figures

Figure 1

32 pages, 1010 KB  
Article
A Quantum OFDM Framework for Next-Generation Video Transmission over Noisy Channels
by Udara Jayasinghe and Anil Fernando
Electronics 2026, 15(2), 284; https://doi.org/10.3390/electronics15020284 - 8 Jan 2026
Viewed by 88
Abstract
Quantum communication presents new opportunities for overcoming the limitations of classical wireless systems, particularly those associated with noise, fading, and interference. Building upon the principles of classical orthogonal frequency division multi-plexing (OFDM), this work proposes a quantum OFDM architecture tailored for video transmission. [...] Read more.
Quantum communication presents new opportunities for overcoming the limitations of classical wireless systems, particularly those associated with noise, fading, and interference. Building upon the principles of classical orthogonal frequency division multi-plexing (OFDM), this work proposes a quantum OFDM architecture tailored for video transmission. In the proposed system, video sequences are first compressed using the versatile video coding (VVC) standard with different group of pictures (GOP) sizes. Each GOP size is processed through a channel encoder and mapped to multi-qubit states with various qubit configurations. The quantum-encoded data is converted from serial-to-parallel form and passed through the quantum Fourier transform (QFT) to generate mutually orthogonal quantum subcarriers. Following reserialization, a cyclic prefix is appended to mitigate inter-symbol interference within the quantum channel. At the receiver, the cyclic prefix is removed, and the signal is restored to parallel before the inverse QFT (IQFT) recovers the original quantum subcarriers. Quantum decoding, classical channel decoding, and VVC reconstruction are then employed to recover the videos. Experimental evaluations across different GOP sizes and channel conditions demonstrate that quantum OFDM provides superior resilience to channel noise and improved perceptual quality compared to classical OFDM, achieving peak signal-to-noise ratio (PSNR) up to 47.60 dB, structural similarity index measure (SSIM) up to 0.9987, and video multi-method assessment fusion (VMAF) up to 96.40. Notably, the eight-qubit encoding scheme consistently achieves the highest SNR gains across all channels, underscoring the potential of quantum OFDM as a foundation for future high-quality video transmission. Full article
Show Figures

Figure 1

14 pages, 2117 KB  
Article
Optimized DPD Design with Peak-Detection-Based Loop-Delay Estimation for Power Amplifier Linearization: Addressing High–Low Power Distortion via Memory-Clustering Biased Polynomial
by Fei Yang, Gang Yang and Yanan Luo
Electronics 2026, 15(2), 252; https://doi.org/10.3390/electronics15020252 - 6 Jan 2026
Viewed by 131
Abstract
This paper proposes an optimized digital predistortion (DPD) framework. Firstly, a peak-detection-based loop-delay estimation is developed by leveraging the unique peak distribution of Orthogonal Frequency Division Multiplexing (OFDM) signals. It reduces the required number of samples to as small as two without compromising [...] Read more.
This paper proposes an optimized digital predistortion (DPD) framework. Firstly, a peak-detection-based loop-delay estimation is developed by leveraging the unique peak distribution of Orthogonal Frequency Division Multiplexing (OFDM) signals. It reduces the required number of samples to as small as two without compromising estimation accuracy. Then, a Biased Memory Polynomial (BMP) model is proposed for power amplifier modeling. It addresses low-power inaccuracies caused by circuit imperfections (e.g., DC offsets) by adding a bias term to conventional memory polynomials, improving linearization accuracy in low-power regime. Last, to improve the accuracy of coefficient derivation, Memory-Clustering Biased Memory Polynomial (MBMP) is proposed by grouping signals into clusters based on memory-attenuated input vectors and processing them with dedicated sub-models. It improves linearization accuracy in high-power regime. Experimental results demonstrate that the MBMP model reduces normalized mean square error (NMSE) by 16.12 dB, and reduces adjacent channel power ratio (ACPR) by about 12 dBm compared to conventional MP. Full article
Show Figures

Figure 1

13 pages, 2634 KB  
Article
A Rate-Adaptive MAC Protocol for Flexible OFDM-PONs
by Zhe Zheng, Yingying Chi, Xin Wang and Junjie Zhang
Sensors 2026, 26(1), 133; https://doi.org/10.3390/s26010133 - 24 Dec 2025
Viewed by 291
Abstract
The practical deployment of Orthogonal Frequency Division Multiplexing Passive Optical Networks (OFDM-PONs) is hindered by the lack of a Medium Access Network (MAC) protocol capable of managing their flexible, distance-dependent data rates, despite their high spectral efficiency. This paper proposes and validates a [...] Read more.
The practical deployment of Orthogonal Frequency Division Multiplexing Passive Optical Networks (OFDM-PONs) is hindered by the lack of a Medium Access Network (MAC) protocol capable of managing their flexible, distance-dependent data rates, despite their high spectral efficiency. This paper proposes and validates a novel rate-adaptive, Time Division Multiplexing (TDM)-based MAC protocol for OFDM-PON systems. A key contribution is the design of a three-layer header frame structure that supports multi-ONU data scheduling with heterogeneous rate profiles. Furthermore, the protocol incorporates a unique channel probing mechanism to dynamically determine the optimal transmission rate for each Optical Network Unit (ONU) during activation. The proposed Optical Line Terminal (OLT) side MAC protocol has been fully implemented in hardware on a Xilinx VCU118 FPGA platform, featuring a custom-designed ring buffer pool for efficient multi-ONU data management. Experimental results demonstrate robust upstream and downstream data transmission and confirm the system’s ability to achieve flexible net data rate switching on the downlink from 8.1 Gbit/s to 32.8 Gbit/s, contingent on the assigned rate stage. Full article
(This article belongs to the Special Issue Advances in Optical Fibers Sensing and Communication)
Show Figures

Figure 1

29 pages, 4563 KB  
Article
Performance Enhancement of Secure Image Transmission over ACO-OFDM VLC Systems Through Chaos Encryption and PAPR Reduction
by Elhadi Mehallel, Abdelhalim Rabehi, Ghadjati Mohamed, Abdelaziz Rabehi, Imad Eddine Tibermacine and Mustapha Habib
Electronics 2026, 15(1), 43; https://doi.org/10.3390/electronics15010043 - 22 Dec 2025
Viewed by 247
Abstract
Visible Light Communication (VLC) systems commonly employ optical orthogonal frequency division multiplexing (O-OFDM) to achieve high data rates, benefiting from its robustness against multipath effects and intersymbol interference (ISI). However, a key limitation of asymmetrically clipped direct current biased optical–OFDM (ACO-OFDM) systems lies [...] Read more.
Visible Light Communication (VLC) systems commonly employ optical orthogonal frequency division multiplexing (O-OFDM) to achieve high data rates, benefiting from its robustness against multipath effects and intersymbol interference (ISI). However, a key limitation of asymmetrically clipped direct current biased optical–OFDM (ACO-OFDM) systems lies in their inherently high peak-to-average power ratio (PAPR), which significantly affects signal quality and system performance. This paper proposes a joint chaotic encryption and modified μ-non-linear logarithmic companding (μ-MLCT) scheme for ACO-OFDM–based VLC systems to simultaneously enhance security and reduce PAPR. First, image data is encrypted at the upper layer using a hybrid chaotic system (HCS) combined with Arnold’s cat map (ACM), mapped to quadrature amplitude modulation (QAM) symbols and further encrypted through chaos-based symbol scrambling to strengthen security. A μ-MLCT transformation is then applied to mitigate PAPR and enhance both peak signal-to-noise ratio (PSNR) and bit-error-ratio (BER) performance. A mathematical model of the proposed secured ACO-OFDM system is developed, and the corresponding BER expression is derived and validated through simulation. Simulation results and security analyses confirm the effectiveness of the proposed solution, showing gains of approximately 13 dB improvement in PSNR, 2 dB in BER performance, and a PAPR reduction of about 9.2 dB. The secured μ-MLCT-ACO-OFDM not only enhances transmission security but also effectively reduces PAPR without degrading PSNR and BER. As a result, it offers a robust and efficient solution for secure image transmission with low PAPR, making it well-suitable for emerging wireless networks such as cognitive and 5G/6G systems. Full article
(This article belongs to the Section Microwave and Wireless Communications)
Show Figures

Figure 1

21 pages, 16524 KB  
Article
MUSIC-Based Multi-Channel Forward-Scatter Radar Using OFDM Signals
by Yihua Qin, Abdollah Ajorloo and Fabiola Colone
Sensors 2025, 25(24), 7621; https://doi.org/10.3390/s25247621 - 16 Dec 2025
Viewed by 395
Abstract
This paper presents an advanced signal processing framework for multi-channel forward-scatter radar (MC-FSR) systems based on the Multiple Signal Classification (MUSIC) algorithm. The proposed framework addresses the inherent limitations of FFT-based space-domain processing, such as limited angular resolution and the poor detectability of [...] Read more.
This paper presents an advanced signal processing framework for multi-channel forward-scatter radar (MC-FSR) systems based on the Multiple Signal Classification (MUSIC) algorithm. The proposed framework addresses the inherent limitations of FFT-based space-domain processing, such as limited angular resolution and the poor detectability of weak or closely spaced targets, which become particularly severe in low-cost FSR systems, which are typically operated with small antenna arrays. The MUSIC algorithm is adapted to operate on real-valued data obtained from the non-coherent, amplitude-based MC-FSR approach by reformulating the steering vectors and adjusting the degrees of freedom (DoFs). While compatible with arbitrary transmitting waveforms, particular emphasis is placed on Orthogonal Frequency Division Multiplexing (OFDM) signals, which are widely used in modern communication systems such as Wi-Fi and cellular networks. An analysis of the OFDM waveform’s autocorrelation properties is provided to assess their impact on target detection, including strategies to mitigate rapid target signature decay using a sub-band approach and to manage signal correlation through spatial smoothing. Simulation results, including multi-target scenarios under constrained array configurations, demonstrate that the proposed MUSIC-based approach significantly enhances angular resolution and enables reliable discrimination of closely spaced targets even with a limited number of receiving channels. Experimental validation using an S-band MC-FSR prototype implemented with software-defined radios (SDRs) and commercial Wi-Fi antennas, involving cooperative targets like people and drones, further confirms the effectiveness and practicality of the proposed method for real-world applications. Overall, the proposed MUSIC-based MC-FSR framework exhibits strong potential for implementation in low-cost, hardware-constrained environments and is particularly suited for emerging Integrated Sensing and Communication (ISAC) systems. Full article
(This article belongs to the Special Issue Advances in Multichannel Radar Systems)
Show Figures

Figure 1

39 pages, 1526 KB  
Article
A Quantum MIMO-OFDM Framework with Transmit and Receive Diversity for High-Fidelity Image Transmission
by Udara Jayasinghe, Thanuj Fernando and Anil Fernando
Telecom 2025, 6(4), 96; https://doi.org/10.3390/telecom6040096 - 11 Dec 2025
Cited by 1 | Viewed by 578
Abstract
This paper proposes a quantum multiple-input multiple-output orthogonal frequency division multiplexing (MIMO-OFDM) framework for image transmission, which combines quantum multi-qubit encoding with spatial and frequency diversity to enhance noise resilience and image quality. The system utilizes joint photographic experts group (JPEG), high efficiency [...] Read more.
This paper proposes a quantum multiple-input multiple-output orthogonal frequency division multiplexing (MIMO-OFDM) framework for image transmission, which combines quantum multi-qubit encoding with spatial and frequency diversity to enhance noise resilience and image quality. The system utilizes joint photographic experts group (JPEG), high efficiency image file format (HEIF), and uncompressed images, which are first source-encoded (if applicable) and then processed using classical channel encoding. The channel-encoded bitstream is mapped into quantum states via multi-qubit encoding and transmitted through a 2 × 2 MIMO system with varied diversity schemes. The spatially mapped qubits undergo the quantum Fourier transform (QFT) to form quantum OFDM subcarriers, with a cyclic prefix added before transmission over fading quantum channels. At the receiver, the cyclic prefix is removed, the inverse QFT is applied, and the quantum MIMO decoder reconstructs spatially diverged quantum states. Then, quantum decoding reconstructs the bitstreams, followed by channel decoding and source decoding to recover the final image. Experimental results show that the proposed quantum MIMO-OFDM system outperforms its classical counterpart across all evaluated diversity configurations. It achieves peak signal-to-noise ratio (PSNR) values up to 58.48 dB, structural similarity index measure (SSIM) up to 0.9993, and universal quality index (UQI) up to 0.9999 for JPEG; PSNR up to 70.04 dB, SSIM up to 0.9998, and UQI up to 0.9999 for HEIF; and near-perfect reconstruction with infinite PSNR, SSIM of 1, and UQI of 1 for uncompressed images under high channel noise. These findings establish quantum MIMO-OFDM as a promising architecture for high-fidelity, bandwidth-efficient quantum multimedia communication. Full article
(This article belongs to the Special Issue Advances in Communication Signal Processing)
Show Figures

Figure 1

20 pages, 3599 KB  
Article
An Adaptative Wavelet Time–Frequency Transform with Mamba Network for OFDM Automatic Modulation Classification
by Hongji Xing, Xiaogang Tang, Lu Wang, Binquan Zhang and Yuepeng Li
AI 2025, 6(12), 323; https://doi.org/10.3390/ai6120323 - 9 Dec 2025
Viewed by 561
Abstract
Background: With the development of wireless communication technologies, the rapid advancement of 5G and 6G communication systems has spawned an urgent demand for low latency and high data rates. Orthogonal Frequency Division Multiplexing (OFDM) communication using high-order digital modulation has become a key [...] Read more.
Background: With the development of wireless communication technologies, the rapid advancement of 5G and 6G communication systems has spawned an urgent demand for low latency and high data rates. Orthogonal Frequency Division Multiplexing (OFDM) communication using high-order digital modulation has become a key technology due to its characteristics, such as high reliability, high data rate, and low latency, and has been widely applied in various fields. As a component of cognitive radios, automatic modulation classification (AMC) plays an important role in remote sensing and electromagnetic spectrum sensing. However, under current complex channel conditions, there are issues such as low signal-to-noise ratio (SNR), Doppler frequency shift, and multipath propagation. Methods: Coupled with the inherent problem of indistinct characteristics in high-order modulation, these currently make it difficult for AMC to focus on OFDM and high-order digital modulation. Existing methods are mainly based on a single model-driven approach or data-driven approach. The Adaptive Wavelet Mamba Network (AWMN) proposed in this paper attempts to combine model-driven adaptive wavelet transform feature extraction with the Mamba deep learning architecture. A module based on the lifting wavelet scheme effectively captures discriminative time–frequency features using learnable operations. Meanwhile, a Mamba network constructed based on the State Space Model (SSM) can capture long-term temporal dependencies. This network realizes a combination of model-driven and data-driven methods. Results: Tests conducted on public datasets and a custom-built real-time received OFDM dataset show that the proposed AWMN achieves a performance reaching higher accuracies of 62.39%, 64.50%, and 74.95% on the public Rml2016(a) and Rml2016(b) datasets and our formulated EVAS dataset, while maintaining a compact parameter size of 0.44 M. Conclusions: These results highlight its potential for improving the automatic modulation classification of high-order OFDM modulation in 5G/6G systems. Full article
(This article belongs to the Topic AI-Driven Wireless Channel Modeling and Signal Processing)
Show Figures

Figure 1

20 pages, 4513 KB  
Article
Novel Hybrid Processing Techniques for Wideband HF Signals Impaired by Ionospheric Propagation
by Ilia Peshkov
Electronics 2025, 14(24), 4829; https://doi.org/10.3390/electronics14244829 - 8 Dec 2025
Viewed by 250
Abstract
In this paper, hybrid space–time–polarization schemes for processing high-frequency (HF) radio signals transmitted through the ionospheric layers are proposed. Ionospheric radio wave propagation is characterized by several impairments, including attenuation, scintillation, dispersion, and Faraday rotation. The use of hybrid schemes combining spatial digital [...] Read more.
In this paper, hybrid space–time–polarization schemes for processing high-frequency (HF) radio signals transmitted through the ionospheric layers are proposed. Ionospheric radio wave propagation is characterized by several impairments, including attenuation, scintillation, dispersion, and Faraday rotation. The use of hybrid schemes combining spatial digital processing and a single-input multiple-output (SIMO) scheme based on the spatial and polarization principles is proposed. The simulation is based on a preliminary estimate of signal attenuation and spatial coordinates based on ray tracing at a distance of 1000 km between the transmitter and the receiving digital antenna array. Additionally, the bit error rates and data capacity are obtained for various configurations of hybrid spatial and polarizing types of the proposed architectures. In addition, an algorithm for modeling a broadband HF signal in the ionosphere based on the inverse discrete Fourier transform (IDFT) and the Watterson narrowband model is proposed. Schemes for processing the wideband orthogonal frequency division multiplexing (OFDM) signals after passing through the ionosphere layers are represented as well. Results indicate that the optimal configuration employs hybrid processing utilizing ordinary (O) and extraordinary (X) wave polarization, combined with spatial digital processing in a SIMO architecture. Full article
(This article belongs to the Section Networks)
Show Figures

Figure 1

11 pages, 639 KB  
Article
Velocity Ambiguity and Inter-Carrier Interference Suppression Algorithm in Stepped-Carrier OFDM Radar for ISAC
by Xuanxuan Tian
Electronics 2025, 14(23), 4763; https://doi.org/10.3390/electronics14234763 - 3 Dec 2025
Viewed by 368
Abstract
Stepped-carrier orthogonal frequency division multiplexing (SC-OFDM) radar is an emerging low-cost alternative to standard OFDM radar for automotive applications due to providing high-range resolution at a low sampling rate. However, it is limited by inter-carrier interference (ICI) and velocity ambiguity in high-speed target [...] Read more.
Stepped-carrier orthogonal frequency division multiplexing (SC-OFDM) radar is an emerging low-cost alternative to standard OFDM radar for automotive applications due to providing high-range resolution at a low sampling rate. However, it is limited by inter-carrier interference (ICI) and velocity ambiguity in high-speed target detection. To address these issues, this paper proposes a two-step method for SC-OFDM radar. The method first applies multi-hypothesis Doppler compensation and leverages peak sidelobe ratio (PSLR) in the range profile as a distinguishing feature to estimate the target’s unambiguous velocity. Then, target signals are reconstructed into components free from ICI. Simulation results confirm the effectiveness of the proposed method. Compared to existing methods, this approach eliminates ICI without repeating OFDM symbols, thereby preserving communication data rate and enhancing suitability for integrated sensing and communication (ISAC) applications. Full article
Show Figures

Figure 1

21 pages, 6594 KB  
Article
Communication System with Walsh Transform-Based End-to-End Autoencoder
by Mindaugas Knyva, Julius Ruseckas and Alfonsas Juršėnas
Electronics 2025, 14(23), 4738; https://doi.org/10.3390/electronics14234738 - 1 Dec 2025
Viewed by 376
Abstract
This paper investigates the design of end-to-end (E2E) autoencoders within AI-enhanced communication systems. It emphasizes the advantages of transitioning from Fast Fourier Transform (FFT)-based Orthogonal Frequency Division Multiplexing (OFDM) to a modulation technique based on the Walsh–Hadamard transform (WHT). This study underscores the [...] Read more.
This paper investigates the design of end-to-end (E2E) autoencoders within AI-enhanced communication systems. It emphasizes the advantages of transitioning from Fast Fourier Transform (FFT)-based Orthogonal Frequency Division Multiplexing (OFDM) to a modulation technique based on the Walsh–Hadamard transform (WHT). This study underscores the WHT’s use of aperiodic basis functions, in contrast with the periodic bases of Fourier transforms. The proposed E2E autoencoder model integrates neural networks in both the transmitter and receiver for signal processing. The model is trained to adapt the bit rate according to the measured channel signal-to-noise ratio (SNR) using the same neural network, enabling operation at low SNR levels (down to −10 dB). Additionally, the model was experimentally validated in a laboratory setting using a software-defined radio (SDR)-based system setup. Full article
(This article belongs to the Special Issue AI for Wireless Communications and Security)
Show Figures

Figure 1

23 pages, 1260 KB  
Article
On Deep Learning Hybrid Architectures for MIMO-OFDM Channel Estimation
by Inês Almeida, João Guerreiro and Rui Dinis
Electronics 2025, 14(23), 4692; https://doi.org/10.3390/electronics14234692 - 28 Nov 2025
Viewed by 731
Abstract
Traditional estimation methods face challenges in adverse conditions in systems such as Multiple Input Multiple Output (MIMO) with Orthogonal Frequency Division Multiplexing (OFDM). To overcome those challenges, Deep Learning (DL) approaches have been proposed as an interesting alternative, thanks to their ability to [...] Read more.
Traditional estimation methods face challenges in adverse conditions in systems such as Multiple Input Multiple Output (MIMO) with Orthogonal Frequency Division Multiplexing (OFDM). To overcome those challenges, Deep Learning (DL) approaches have been proposed as an interesting alternative, thanks to their ability to capture channel features without much complexity. This paper presents a hybrid approach that combines DL with traditional estimation methods such as Least Squares (LS) and Minimum Mean Square Error (MMSE), which we designate as DL-Enhanced. Our main innovation is a phase-preserving mechanism that maintains critical phase information frequently degraded in purely data-driven approaches. We evaluate the proposed technique considering MIMO-OFDM systems considering 3GPP Clustered Delay Line Model C (CDL-C) channels. Simulation results demonstrate that our method outperforms conventional techniques at high-SNR levels, thanks to neural network-based feature extraction and adaptive processing. Full article
Show Figures

Figure 1

25 pages, 1283 KB  
Article
Achieving Enhanced Spectral Efficiency for Constant Envelope Transmission in CP-OFDMA Framework
by Zhuhong Zhu, Yiming Zhu, Xiaodong Xu, Wenjin Wang, Li Chai and Yi Zheng
Sensors 2025, 25(23), 7257; https://doi.org/10.3390/s25237257 - 28 Nov 2025
Viewed by 598
Abstract
Orthogonal frequency-division multiplexing (OFDM) has been adopted as the baseline waveform for sixth-generation (6G) networks owing to its robustness and high spectral efficiency. However, its inherently high peak-to-average power ratio (PAPR) limits power amplifier efficiency and causes nonlinear distortion, particularly in power- and [...] Read more.
Orthogonal frequency-division multiplexing (OFDM) has been adopted as the baseline waveform for sixth-generation (6G) networks owing to its robustness and high spectral efficiency. However, its inherently high peak-to-average power ratio (PAPR) limits power amplifier efficiency and causes nonlinear distortion, particularly in power- and cost-constrained 6G scenarios. To address these challenges, we propose a constant-envelope cyclic-prefix OFDM (CE-CP-OFDM) transceiver under the CP-OFDMA framework, which achieves high spectral efficiency while maintaining low PAPR. Specifically, we introduce a spectrally efficient subcarrier mapping scheme with partial frequency overlap and establish a multiuser received signal model under frequency-selective fading channels. Subsequently, to minimize channel estimation error, we develop an optimal multiuser CE pilot design by exploiting frequency-domain phase shifts and generalized discrete Fourier transform-based time-domain sequences. For large-scale multiuser scenarios, a joint delay–frequency-domain channel estimation method is proposed, complemented by a low-complexity linear minimum mean square error (LMMSE) estimator in the delay domain. To mitigate inter-symbol and multiple-access interference, we further design an iterative frequency-domain LMMSE (FD-LMMSE) equalizer based on the multiuser joint received-signal model. Numerical results demonstrate that the proposed CE-CP-OFDM transceiver achieves superior bit-error-rate performance compared with conventional waveforms while maintaining high spectral efficiency. Full article
(This article belongs to the Section Communications)
Show Figures

Figure 1

18 pages, 2214 KB  
Article
AI-Native PHY-Layer in 6G Orchestrated Spectrum-Aware Networks
by Partemie-Marian Mutescu, Adrian-Ioan Petrariu, Eugen Coca, Cristian Patachia-Sultanoiu, Razvan Marius Mihai and Alexandru Lavric
Sensors 2025, 25(23), 7206; https://doi.org/10.3390/s25237206 - 26 Nov 2025
Viewed by 702
Abstract
The evolution from fifth generation (5G) to sixth generation (6G) networks demands a paradigm shift from AI-assisted functionalities to AI-native orchestration, where intelligence is intrinsic to the radio access network (RAN). This work introduces two AI-based enablers for PHY-layer awareness: (i) a waveform [...] Read more.
The evolution from fifth generation (5G) to sixth generation (6G) networks demands a paradigm shift from AI-assisted functionalities to AI-native orchestration, where intelligence is intrinsic to the radio access network (RAN). This work introduces two AI-based enablers for PHY-layer awareness: (i) a waveform classifier that distinguishes orthogonal frequency-division multiplexing (OFDM) and orthogonal time frequency space (OTFS) signals directly from in-phase/quadrature (IQ) samples, and (ii) a numerology detector that estimates subcarrier spacing, fast Fourier transform (FFT) size, slot duration, and cyclic prefix type without relying on higher-layer signaling. Experimental evaluations demonstrate high accuracy, with waveform classification achieving 99.5% accuracy and numerology detection exceeding 99% for most parameters, enabling robust joint inference of waveform and numerology features. The obtained results confirm the feasibility of AI-native spectrum awareness, paving the way toward self-optimizing, context-aware, and adaptive 6G wireless systems. Full article
(This article belongs to the Special Issue Feature Papers in Communications Section 2025)
Show Figures

Figure 1

25 pages, 1974 KB  
Article
MIMO-OFDM JSAC Waveform Design Based on Phase Perturbation and Hybrid Optimization
by Zheming Guo, Baixiao Chen and Shuai Peng
Sensors 2025, 25(22), 7010; https://doi.org/10.3390/s25227010 - 17 Nov 2025
Viewed by 639
Abstract
With the increasing sophistication of electromagnetic environments in modern combat platforms, joint sensing and communication (JSAC) technology has emerged as a critical research frontier. Among these, JSAC waveform design plays a crucial role, as it enables the simultaneous achievement of both sensing and [...] Read more.
With the increasing sophistication of electromagnetic environments in modern combat platforms, joint sensing and communication (JSAC) technology has emerged as a critical research frontier. Among these, JSAC waveform design plays a crucial role, as it enables the simultaneous achievement of both sensing and communication functions using the same transmit waveform. This paper presents a novel waveform design for a multi-input multi-output (MIMO) JSAC system. The proposed design leverages orthogonal frequency division multiplexing (OFDM) to reduce signal interference through low cross-correlation characteristics. Linear frequency modulation (LFM) is used as the carrier waveform, effectively narrowing the main lobe width of the autocorrelation function. We introduce phase perturbation into binary phase shift keying (BPSK) signals to enhance waveform performance, formulating the resulting problem as a high-dimensional, non-convex optimization challenge. To address this, we propose a hybrid optimization algorithm QGPV combining a quantum genetic algorithm (QGA), quantum particle swarm optimization (QPSO), and variable neighborhood search (VNS). The simulation results demonstrate that the proposed algorithm achieves superior performance compared with several typical methods. Notably, the peak sidelobe level (PSL) can be suppressed to around −21 dB with five iterations, highlighting the efficiency of the optimization process. These results validate the effectiveness of the proposed approach, showing improved waveform characteristics with an acceptable trade-off in communication performance. Full article
(This article belongs to the Section Communications)
Show Figures

Figure 1

Back to TopTop