Abstract
Massive multiple input–multiple output (M-MIMO) is a promising and pivotal technology in contemporary wireless communication systems that can effectively enhance link reliability and data throughput, especially in uplink scenarios. Even so, the receiving end requires more computational complexity to reconstitute the signal. This problem has emerged in fourth-generation (4G) MIMO system; with the dramatic increase in demand for devices and data in beyond-5G (B5G) systems, this issue will become yet more obvious. To take into account both complexity and signal-revested capability at the receiver, this study uses the matrix iteration method to avoid the staggering amount of operations produced by the inverse matrix. Then, we propose a highly efficient multi-user detector (MUD) named hybrid SOR-based Chebyshev acceleration (CHSOR) for the uplink of M-MIMO orthogonal frequency-division multiplexing (OFDM) and universal filtered multi-carrier (UFMC) waveforms, which can be promoted to B5G developments. The proposed CHSOR scheme includes two stages: the first consists of successive over-relaxation (SOR) and modified successive over-relaxation (MSOR), combining the advantages of low complexity of both and generating a better initial transmission symbol, iteration matrix, and parameters for the next stage; sequentially, the second stage adopts the low-cost iterative Chebyshev acceleration method for performance refinement to obtain a lower bit error rate (BER). Under constrained evaluation settings, Section (Simulation Results and Discussion) presents the results of simulations performed in MATLAB version R2022a. Results show that the proposed detector can achieve a 91.624% improvement in BER performance compared with Chebyshev successive over-relaxation (CSOR). This is very near to the performance of the minimum mean square error (MMSE) detector and is achieved in only a few iterations. In summary, our proposed CHSOR scheme demonstrates fast convergence compared to previous works and as such possesses excellent BER and complexity performance, making it a competitive solution for uplink M-MIMO B5G systems.
Keywords:
massive multiple input–multiple output (M-MIMO); fourth-generation (4G); beyond fifth-generation (B5G); multi-user detector (MUD); orthogonal frequency-division multiplexing (OFDM); universal filtered multi-carrier (UFMC); successive over-relaxation (SOR); modified successive over-relaxation (MSOR); Chebyshev acceleration method; hybrid SOR-based Chebyshev acceleration (CHSOR); Chebyshev successive over-relaxation (CSOR) 1. Introduction
As technology rapidly develops and information updates become swift, people’s demand for the internet is increasing daily. This means that a large amount of data needs to be transmitted, presenting a significant challenge for wireless communication systems. Single-carrier modulation has long been unable to handle the needs of modern communications due to its susceptibility to inter-symbol interference (ISI), high bit error rate (BER), and large bandwidth requirements. In contrast, multi-carrier modulation effectively overcomes the limitations of single-carrier modulation by decomposing high-rate data streams into multiple low-rate streams for parallel transmission. Among such schemes, orthogonal frequency-division multiplexing (OFDM) introduces the concept of sub-carrier orthogonality and is the most famous technology [1,2,3]. It significantly reduces inter-carrier interference (ICI), further improves spectrum utilization efficiency, and is especially suitable for multi-path propagation and high-speed data transmission scenarios [4]. Consequently, OFDM has become a key technology in mobile communications.
With the ongoing development of the internet of things (IoT) [5,6,7], application fields are expanding to include smart homes, smart manufacturing, and telemedicine, leading to a significant increase in connected devices. Simultaneously, these devices’ connection and information exchange will inevitably bring about increasing data transmission requirements. To meet various applications of the IoT as proposed by international mobile telecommunications (IMT) [8,9], there are three important usage scenarios for fifth-generation (5G) devices, namely, enhanced mobile broadband (eMBB), ultra-reliable and low latency communications (URLLC), and massive machine-type communications (mMTC). Thus, achieving higher data transmission rates and lower latency is crucial. In light of these concerns, OFDM is no longer sufficient due to defects such as high side lobe loss and adjacent channel interference (ACI) [10]. Hence, the priority should be to find a multi-carrier waveform that can overcome the shortcomings of OFDM and make contact with the application scenarios of B5G. Universal filtered multi-carrier (UFMC) is a feasible candidate waveform that combines the benefits of OFDM and filter bank multi-carrier (FBMC), which can effectively suppress out-of-band (OOB) transmissions and reduce the impact of ACI.
In addition to better coping with the three major application scenarios of B5G, massive multiple input–multiple output (M-MIMO) technology [11,12], which mounts many antennas at the transmitter or receiver to promote space diversity, has become indispensable in modern wireless communications. It is implemented through beamforming and coherent superposition [11]. M-MIMO can improve system data throughput without increasing transmission power or bandwidth to efficiently achieve diversity gain, array gain, and capacity gain. Therefore, applying M-MIMO for UFMC waveforms can better meet high data rates and link reliability requirements.
Unfortunately, even though M-MIMO brings many benefits, it is still applied to traditional linear detectors such as zero-forcing (ZF) and minimum mean square error (MMSE) detectors [13], which results in excessive computational complexity. Because the calculation process of these methods involves matrix inversion with complexity of , the computational burden increases dramatically, especially when the number of antennas increases; therefore, to eliminate the harm caused by matrix inversion due to traditional linear detectors, many researchers are currently developing linear detectors based on iterative algorithms such as the Jacobi method [14], Gauss-Seidel (GS) method [15], conjugate gradient (CG) method [16], successive over-relaxation (SOR) method [17], and accelerated over-relaxation (AOR) [18]. Through iterative operations, these detectors have successfully reduced complexity from the cubed signal dimension to the squared dimension. However, while iterative-based detectors benefit from lower complexity, this comes at the expense of some BER performance. More importantly, the initial estimate significantly impacts the conjugate direction sequence produced by the CG method, which has a greater impact than the SOR-based method, thereby affecting the overall convergence speed.
Given this, Yu et al. proposed a modified SOR (MSOR) [19] that adjusts the parameters in SOR to reduce its complexity; however, the BER performance also declined. Moreover, Ning et al. proposed a symmetric successive over-relaxation (SSOR) method [20] based on SOR. Their method combines forward and backward scanning SOR to optimize performance; however, the complexity is greatly increased. In [21], Hu et al. further proposed a symmetric accelerated over-relaxation (SAOR) method, using AOR to replace SOR and to achieve better BER performance but also making greater sacrifices in complexity. Therefore, Yu et al. [22] and our previous work in [23] both proposed two-stage methods, respectively, Chebyshev successive over-relaxation (CSOR) and Chebyshev accelerated over-relaxation (CAOR). In this light, combining the Chebyshev acceleration method with the SOR and AOR methods can achieve rapid convergence while still reducing complexity. In comparison, Berra et al. proposed an iterative block decision-feedback equalizer (IB-DFE) [24] based on an iterative architecture with nested inner and outer loops. Their approach combines the equalizer with traditional iterative methods such as GS, SOR, etc., to reduce complexity. However, it requires many iterations to converge, which leads to high complexity. Moreover, the authors only simulated 32 antennas and low-order QAM, which fails to cover the actual requirements of M-MIMO in 5G networks. In another work the same authors proposed AC-AORNet [25], which optimizes the parameters of the iterative algorithm through a deep unfolding network and incorporates Chebyshev acceleration to expedite convergence speed and improve BER performance. However, its training phase incurs considerable computational cost and time, resulting in increased overall complexity. To improve the initial state of the Chebyshev acceleration, they proposed related methods, namely, Chebyshev-RI [26] and Chebyshev-MAOR [27]. The former uses the stair matrix as the basis of the initial vector and provides a favorable input state for Chebyshev acceleration through the Richardson (RI) method in order to improve convergence speed and complexity performance. However, Chebyshev-RI suffers from significant performance degradation under high-order modulation, making it unsuitable for application in 5G systems. On the other hand, Chebyshev-MAOR [27] combines the modified AOR with Chebyshev acceleration to bring it closer to the MMSE detector’s performance. Nevertheless, this approach exhibits sensitivity to a low receive-to-transmit antenna ratio, and more iterations are required to meet performance expectations. On the other hand, the new randomized iterative detection algorithm (NRIDA) [28] proposed by Wang et al. has more efficient detection capabilities than the original randomized iterative detection algorithm (RIDA). It introduces a conditional sampling mechanism that selectively updates symbols in each iteration through a sampling distribution, effectively reducing unnecessary calculations. However, this method still has a significant performance gap with the MMSE detector. In addition, it was only simulated at 16-QAM, which is insufficient for B5G applications that need to support high-order modulation. In another study, Liu et al. proposed an iterative parallel interference cancellation approach based on the lattice reduction-aided (IPIC-LRA) method [29], introducing the LRA approach into parallel interference cancellation (PIC) to improve the accuracy of the initial estimate. Then, the iterative architecture makes corrections step-by-step to achieve better detection results. Similar to CG, however, inaccurate initial estimates significantly impact the subsequent calculation process, leading to an increase in the number of iterations and high signal delay.
In this paper we propose a highly efficient novel detector named CHSOR that combines the advantages of SOR, MSOR, and Chebyshev acceleration methods. Our proposed approach promotes a better balance between BER performance and complexity for multi-user M-MIMO systems through a straightforward two-stage structure that can naturally achieve low complexity within a small number of iterations. The first stage of the detector mixes the SOR and MSOR schemes to produce a rough estimate of parameters such as the compensation vector, iteration matrix, eigenvalue of the iteration matrix, etc., then passes the estimated values of these parameters and the symbol to the second stage as the initial state. In the second stage, the Chebyshev polynomial recurrence relationship characteristics are used to iterate for accelerated convergence and refinement performance. It is worth noting that owing to the iteration matrix of SOR and MSOR being supplemented by each other to double refine and enhance rough output, the combination of SOR and MSOR can generate better initial estimates toward the convergent direction in our study, which is conducive to making the most of the acceleration advantages of the Chebyshev method and improving signal detection efficiency. Simulations show that the proposed two-stage detector has a faster convergence rate and achieves excellent BER performance with moderate computational complexity. Moreover, CHSOR achieves better BER performance than early iterative methods such as Jacobi, GS, etc., as well as the more recently developed Chebyshev-RI and Chebyshev-MAOR methods. In addition, the CHSOR method can be implemented simultaneously in uplink multi-user M-MIMO OFDM and UFMC systems. The simulation scenario covers up to 256 antennas and 1024-QAM. Thus, the proposed CHSOR scheme demonstrates compatibility and practicality in 4G and B5G environments.
The remainder of this paper is organized as follows: Section 2 introduces the system model used in this article; Section 3 reviews the iterative methods proposed by some previous researchers and the CHSOR detector proposed in this study; Section 4 provides the simulation results, complexity analysis, and verification of the proposed method; finally, concluding remarks in Section 5 summarize the paper.
2. System Model
Consider an uplink synchronous M-MIMO system with the OFDM and UFMC waveform. The OFDM and UFMC systems have been adopted in 4G and B5G wireless communication systems to accommodate high data rate services and combat multi-path interference [30,31,32]. Therefore, in this section we describe the architecture of OFDM systems [33,34,35], UFMC systems [33,36,37,38,39], the M-MIMO channel model [40,41,42], the least-square (LS) channel estimation method, and traditional MMSE linear detectors [41,43]. MMSE is used as a benchmark for comparing BER performance. It is worth mentioning that in order to present more realistic massive antenna environments, we use the imperfect spatial correlation channels considered by the “comm.MIMOChannel” command in the MATLAB software tool as the simulation scenario within this study.
We first list the indices and constants used in this section, as Table 1.
Table 1.
Parameters and characterization.
To improve readability and maintain clear symbol definition, uppercase symbols represent frequency domain signals and lowercase symbols represent time domain signals, while bold typeface is used to indicates vectors or matrices.
2.1. OFDM Systems
Orthogonal frequency-division multiplexing (OFDM) is a multi-carrier modulation technology with the architecture shown in Figure 1. First, the data need to undergo quadrature amplitude modulation (QAM), pilot information insertion, and serial-to-parallel (S/P) conversion. Then, the OFDM signal is obtained through the N-point inverse fast Fourier transform (IFFT), which can be described as follows [33]:
where is the QAM symbol signal and N is number of subcarriers.
Figure 1.
Block diagram of the OFDM.
Afterward, the cyclic prefix (CP) is introduced into the OFDM signal to make it resistant to the adverse effects of inter-symbol interference (ISI); the length of CP is usually 25 % of the number of subcarriers [44]. The signal with added CP is still a baseband signal after parallel-to-serial (P/S) conversion, and needs to be up-converted to radio frequency (RF) before transmitting.
At the receiving end, the signal passes through a series of actions, including down-conversion into a baseband signal, S/P processing, CP removal, and N-point fast Fourier transformation (FFT). Then, it is divided into data and pilot parts. The pilot part plays an important role in channel estimation and assumes that the estimated channel matrix is denoted as . Afterward, the data part can be estimated using , and is indicated as . Finally, the signal undergoes P/S processing and QAM demodulation to recover the transmitted data.
2.2. UFMC Systems
UFMC is one of the 5G candidate waveforms. Its block diagram is shown in Figure 2. First, the input data are QAM modulated, then inserted using pilot tones prior to S/P conversion. Then, the signal is divided into B sub-bands, each with M QAM symbols. Moreover, each sub-band passes through zero-padding, IFFT processing, and filtering in sequence before performing the vector addition operation to obtain the UFMC signal. It must be noted that the zero-padding step should make up the sub-band length to the subcarrier length N. The UFMC signals can be expressed as [33]
where is the QAM symbol after padding with zeros and is the finite impulse response (FIR) filter. Usually, we select the filter type for based on the Dolph–Chebyshev filter, which can be expressed as [37,45]
where is the zero-padded part of the sub-band and is the Dolph–Chebyshev prototype filter. This filter has the mathematical model described below [37,45]:
where and is defined as the attenuation parameter determining the filter side lobe attenuation level. Before transmitting, the UFMC signal must be up-converted into an RF signal.
Figure 2.
Block diagram of UFMC.
At the receiving end, the received signal is down-converted from the channel output into a baseband signal and rearranged into a parallel signal through the S/P procedure. Next, the signal is padded with zeros to double the subcarrier length and the 2N-point FFT is applied. After discarding the even-indexed elements and extracting the remaining odd-indexed ones [33,45,46], the signal is separated into pilot parts to provide channel estimation and data parts for detection. Finally, the detected signal passes through a P/S process and QAM demodulation to recover the transmitted data.
2.3. M-MIMO Channel Model
Consider an uplink multi-user massive multiple input–multiple output (M-MIMO) scenario such as the one shown in Figure 3, assuming Q active users and antennas in each user’s device. Now, the number of antennas at the transmitting end and receiving end are and , respectively, where is equal to and is far outweighs . The transmitted signal and the base station-received signal can be expressed as and , respectively. Then, the channel model is described as
where is the channel matrix and is the noise vector with size . For ease of comprehension, the component form of the model can be re-expressed as follows:
where is the impulse response channel path between the transmitting antenna and receiving antenna and where is the noise element received by the receiving antenna.
Figure 3.
Uplink M-MIMO architecture diagram.
To set up the outdoor transmission environment in this study, we establish a channel with two independent and identically distributed (i.i.d.) paths and conform to a Gaussian distribution with unit variance and zero mean. We also assume that no line-of-sight (LoS) path exists between transmitting and receiving antennas and utilize the Rayleigh fading channel to simulate the channel matrix [47]. In addition, the noise vector employs additive white Gaussian noise (AWGN) which is i.i.d. and follows a complex Gaussian distribution. Among the popular pilot insertion methods [41] there are block-type, comb-type, and lattice-type versions. We adopt the comb-type scheme [41,48] due to its simple structure and ease of implementation at the base station for Rayleigh fading channel estimation, with pilots regularly inserted into the subcarriers. Furthermore, this pilot tone information is applied to the least-square (LS) method [49] for channel estimation, which is shown as follows:
where represents the channel matrix estimated by considering the data containing the pilot tone through the LS method and and respectively represent the transmit and receive signals, including the response to the pilot tone. To ensure that exists, must be of full column rank.
Here, we consider a detector with the goal of restoring the transmitted signal vector as much as possible according to the received signal vector . In line with [50], in an uplink MIMO environment, the performance of the traditional MMSE detector has been proven to be the benchmark among linear detectors, and its estimated transmitted signal can be expressed as follows:
where is the noise variance, is the identity matrix, is the MMSE’s filter matrix defined by , and is the output of the matched filter estimated from . In this context, the MMSE detection process includes the inverse operation of the matrix; therefore, its computational complexity is extremely high and difficult to implement in multi-user MIMO systems, much less in massive antenna scenarios.
3. Proposed Scheme
To provide a simpler and more contextual description of our proposed scheme, we first review iterative methods that are relevant to this study, including the original SOR [17,51], modified SOR [19], and Chebyshev acceleration [52,53] methods. In the following, we introduce our proposed CHSOR method, which converges through a two-stage process and requires only a few iterations, thereby achieving a good balance between BER and complexity. In addition, the derivation of iterative convergence for the proposed CHSOR method is provided in detail in Appendix A.
3.1. Overview of Iteration Method
3.1.1. Original SOR Method
Assume a linear system model described by the linear equation
where is a symmetric positive definite matrix, is an unknown complex vector, and is the matched filter output of the received signal . Then, decompose into
where , , and are respectively the diagonal matrix, strict lower triangular matrix, and strict upper triangular matrix of . In [17,54], Gao et al. illustrated that the recursive relation of the iteration equation of the original SOR can be written as follows:
where is a relaxation parameter and k is the iteration index. To make this more approachable, we replace and with and , respectively. Therefore, we can define the iteration matrix of SOR (denoted ) as follows:
In addition, we can say that is the compensation vector of SOR, defined as
It is worth mentioning that in the above equation can be adjusted according to the solution direction corresponding to , allowing us to compensate for the offset error generated during the iteration process. Thus, Equation (11) can be streamlined as follows:
In terms of convergence, the spectral radius is usually used to determine whether the linear iteration method is convergent [55]. The spectral radius for any iteration matrix is defined as follows [52,55]:
where is called the spectrum of (which is the set of eigenvalues of ) and is ’s eigenvalue. In order for Equation (14) to converge, needs to satisfy the following condition:
In other words, a spectral radius less than 1 ensures the convergence of the iterative method. To better explain the condition expressed in Equation (16), we can observe the error vector and describe it succinctly as explained below.
First, consider the error vector at the iteration, where is the result at iteration k and is the target solution. In addition, the error vector has the following relationship with the iteration matrix :
From the above equation, we can take the norm to obtain the following Cauchy inequality:
We can now find that is the upper bound of . When , we only need to confirm in order to ensure that equals zero (which indicates convergence) and that . Therefore, if the spectral radius of is less than 1, then iterative convergence is guaranteed. Interested readers can refer to advanced linear algebra books for the more detailed and rigorous mathematics.
When the spectral radius is less than 1, the error can gradually approach zero in each iteration, thereby ensuring the convergence of the iterative method. Therefore, the SOR iteration method is guaranteed to converge when is in the interval [0, 2].
3.1.2. Modified SOR Method
Yu et al. brought forward the MSOR method in [19]. MSOR can be regarded as a variant of the original SOR method which reduces its complexity by modifying the parameters in the iteration matrix and compensation vector. Its iteration equation is expressed as follows [19]:
As previously mentioned, the matrix is assumed to be a symmetric positive definite matrix and its diagonal elements must be positive numbers, confirming that matrix is non-singular. Here, we define as , which is the diagonal matrix minus the product of the relaxation parameter and a strictly lower triangular matrix. Its inverse matrix can be written as
while is the matrix without diagonal elements, defined as
Therefore, similar to the SOR method, Equation (17) can be simplified to
and we say that is the iteration matrix of MSOR, defined as follows:
In addition, the compensation vector for MSOR is written as
According to the definition of the spectral radius from Equation (15), we know that the spectral radius of (denoting ) must comply with the following:
For the same reason as above [55], the MSOR iterative method guarantees convergence when .
3.1.3. Chebyshev Acceleration
Chebyshev acceleration is also called the Chebyshev semi-iterative method, which can be regarded as an extension of the extrapolation method [53]. It uses a feasible iteration scheme to provide an initial state to the recurrence relation of Chebyshev polynomials in order to derive coefficients adapted to each iteration, which helps to achieve accelerated convergence.
Here, we consider the following iterative equation: , where is the iteration matrix. Assume that the equation converges and that each iteration result is ,; in other words, is the result of the iteration and is the final converged product. Further, the error of the iteration can be defined as follows:
In a more advanced form, the iteration relationship among {} can be rewritten as follows:
where is the iteration matrix.
We can find a more accurate result based on the known iteration set {}. Then, can be expressed in linear combination form as follows:
where {} is an undetermined coefficient set that plays a weighting role and needs to satisfy the restriction of [52]; put another way, is the weighted average of . Next, we use the distance between and to define the estimated error , as follows:
where is a polynomial with degree k. From Equation (27), we can obtain the following inequality:
Therefore, we can find that the upper bound of the estimated error is . In other words, the estimated error is eliminated when equals zero. To achieve fast convergence, should be as small as possible [52]. Thus, the following minimization problem is derived:
where represents the set of all k-degree polynomials. Moreover, we assume that the iteration matrix is symmetric and that Equation (29) is derived as
in which and are the minimum and maximum of the eigenvalues, respectively. In addition, the definition of is the same as in Equation (15). As mentioned before, we can confirm that the iterations will converge; thus, we can assume that the eigenvalues are real and lie within the interval , allowing the above equation to be further rewritten as follows:
Because the minimization problem of Equation (31) can be solved using the characteristics of Chebyshev polynomials [52], we obtain
where v is the spectral radius of , i.e., , and where is a k-degree Chebyshev polynomial [52,53] with the following recurrence relation:
To streamline Equation (33), we can replace with , then obtain the recurrence relationship as follows:
3.2. Proposed CHSOR Method
The review in the previous subsections helps in comprehending the convergence conditions and parameter range for the iteration equations of the SOR and MSOR schemes along with the convergence properties of the recurrence relation for Chebyshev polynomials. This prompts us to develop the highly efficient two-stage detection procedure shown in Figure 4. In the first stage, we combine the advantages of the original SOR and MSOR with the improved convergence speed provided by the relaxation parameter to find the optimal convergence direction and starting point for the second stage. In the second stage, we use the recursive Chebyshev acceleration in an approach we call hybrid SOR-based Chebyshev acceleration (CHSOR). The proposed CHSOR scheme speeds up convergence, helping to reduce complexity and improve BER performance.
Figure 4.
Block diagram of the CHSOR method.
To explain the algorithms used in the first and second stages in a more streamlined and clear way, we list their process steps in Algorithm 1.
As mentioned in Section 3.1.2, MSOR is a variant of SOR. Below, we describe the procedure in detail and explain the reason for combining these approaches in our proposed CHSOR scheme. The combined equations are shown afterwards. First, we can utilize the expressions and to observe the main differences between SOR and MSOR. In these expressions, can be regarded as a generalized weighting of the upper triangular matrix and , similar to removing diagonal elements and then adding a weighting lower triangular matrix of ; in other words, is a matrix that has no diagonal elements. Thus, we can expect that mixing the two iterated matrices can bring the output towards a better convergence state by integrating their complementarity. In addition, from their definition we know that and are both the same as . This means that does not need to repeat the operation when combining the SOR and MSOR algorithms, which reduces the complexity of the proposed method. Therefore, it is worthwhile to anticipate integrating the MSOR and SOR into one matrix in order to produce a confident estimate parameter and initial state, allowing us to obtain a better detection signal at almost no cost in terms of complexity. We call this first stage the hybrid SOR (HSOR) stage.
As shown in Figure 5, we denote the MSOR input as , then rewrite the output of MSOR as according to Equation (20) and substitute it into Equation (14) to produce the output of the HSOR stage. The expression is as follows:
Figure 5.
Block diagram of the HSOR stage.
Next, we define the iteration matrix and compensation vector for the HSOR stage as and , respectively. Further, we can rewrite the Equation (37) as follows:
Similar, to the SOR and MSOR methods, the spectral radius of the HSOR iteration matrix must be less than 1 to ensure that Equation (38) converges, as described below:
Therefore, we can find the mathematical equations for the theoretical value of the relaxation parameter as follows [23,56]:
where is .
To guarantee the convergent condition, we need to define the interval of the relaxation parameter . The derivation shown in Appendix A demonstrates that the HSOR method converges when is in the interval [1, 2]. To verify the above inference and choose the best relaxation parameter , Figure 6 shows the BER performance of the HSOR scheme under different values of with the antenna configuration and the SNR at 35 dB. This experiment obtains an optimal value of 1.1 and verifies that our inferred convergence interval of is between 1 and 2. More importantly, the theoretical value of the relaxation parameter obtained using Equation (40) is consistent with the experimental results, i.e., is equal to . In addition, the optimal value of 1.1 used in this paper applies to both the OFDM and UFMC waveforms.
Figure 6.
BER vs. for OFDM and UFMC using the HSOR method when and SNR = 35 dB.
Specifically, the spectral radius corresponding to the selected relaxation parameter is 0.648, while the experiment further confirms the stability and convergence of our proposed method.
In the second stage, we adopt the recurrent Chebyshev acceleration algorithm to refine the BER performance. To help explain the processing steps, the streamlined Chebyshev acceleration process is shown in the second stage of Algorithm 1. As shown in Steps 2 and 3 of the second stage of Algorithm 1, this method uses the recurrence characteristics of Chebyshev polynomials to update and adjust the coefficients of each iteration, which gradually suppresses errors and significantly improves iteration efficiency.
| Algorithm 1. Hybrid SOR-based Chebyshev acceleration (CHSOR) scheme |
| Receiver signal input: |
| Step 1 |
| Step 2 |
| HSOR scheme (First Stage): |
| Step 1 Consider the MSOR scheme: |
| and |
| Step 2 Consider the SOR scheme: |
| and |
| Step 3 Generate the HSOR’s iteration matrix and compensation vector : |
| and |
| Step 4 Set , is the spectral radius |
| of . |
| Step 5 Set , , and . |
| Compute |
| Compute |
| Chebyshev acceleration scheme (Second Stage): |
| While not converging, do |
| Step 1 |
| Step 2 |
| Step 3 |
| End |
| Set . |
| Receiver signal output: The estimate of the transmitted signal vector . |
In brief, the first stage makes use of HSOR to obtain a preliminary estimate through MSOR with lower complexity, then makes use of SOR to produce a more precise result with better BER performance. This result is then passed to the second Chebyshev acceleration stage, providing an improved initial status for iteration. Moreover, the first stage initializes parameters such as , k, , , , and . These parameters are delivered to the Chebyshev acceleration stage along with the iteration matrix and compensation vector . In the second stage, the Chebyshev acceleration method uses the parameters and products from the HSOR stage to efficiently refine the BER performance. It is worth mentioning that because we utilize two SOR-based methods in the first stage, the same parts do not need to be calculated repeatedly, which can further reduce the complexity burden and cost.
4. Simulation Results and Complexity Analysis
4.1. Simulation Results and Discussion
In this section, we follow the multi-user uplink M-MIMO environment illustrated in Section 2 to perform numerical simulations with OFDM and UFMC waveforms in order to evaluate and verify the performance of our proposed CHSOR receiver. The number of subcarriers of OFDM is set to be equal to the amount of data (512). In addition, it is necessary to add a CP with a length of 128, i.e., a quarter of the number of subcarriers, and 52 pilot data in one symbol. For UFMC, we set the number of subcarriers to 1024 and the total data volume to 512. This is divided into sub-bands, each with data. With these settings, 256 zeros must be padded at the head and the tail of the symbol to account for the difference between the number of subcarriers and the amount of data. For the filter type, we adopt a Chebyshev FIR filter [57,58] with a length of 43 and a side attenuation of 40 dB. To assess the impact of antenna configuration on performance, we set the number of transmit antennas to 16 and the number of receive antennas to 64, 128, 192, and 256. To facilitate further analysis, we used the parameter as the ratio of the receiving to transmitting antennas, or antenna ratio, denoted as [50,59]. In terms of channels, we established two flat Rayleigh fading channels with additive white Gaussian noise (AWGN). The maximum signal-to-noise ratio (SNR) for these channels was set at 50 dB and least-squares (LS) estimation was used to obtain the channel state information (CSI). For clarity, the above experimental parameters are tabulated in Table 2.
Table 2.
Parameters used in simulation scenarios.
The following experiments were applied to the OFDM and UFMC waveforms. Our proposed CHSOR scheme is compared with nine detectors, including SOR [17], MSOR [19], AOR [18], SSOR [20], SAOR [21], CSOR [22], Chebyshev-MAOR [27], Chebyshev-RI [26], and MMSE, with the MMSE scheme used as a benchmark. The MATLAB version R2022a mathematical software tool was used to simulate the numerical results and graphics. We executed 500,000 Monte Carlo rounds for each graph and used Microsoft Excel for the calculations and statistical tables.
To observe which of UFMC and OFDM is more suitable for B5G and future communication environments, we used BER performance and power spectral density (PSD) indices to make an intuitive comparison. Figure 7 shows the BER vs. SNR for both waveforms detected using MMSE when . It can be seen that UFMC is better than OFDM; when the SNR is 35 dB, the BER of OFDM and UFMC are and , respectively, which is a improvement. On the other hand, the PSD comparison in Figure 8 shows that the power sidelobe level of the OFDM waveform is larger than that of the UFMC waveform, indicating higher out-of-band emission and a tendency towards ACI. Therefore, we observe that the UFMC waveform has higher spectral efficiency and can better suppress the occurrence of ACI. In summary, the UFMC waveform is superior to the OFDM waveform regarding both BER performance and PSD, and is a promising B5G candidate waveform in future applications.
Figure 7.
BER performance comparison for OFDM vs. UFMC with .
Figure 8.
PSD comparison for OFDM vs. UFMC.
For BER performance, Figure 9, Figure 10, Figure 11 and Figure 12 show the BER vs. SNR curves of each method under different antenna configurations; Figure 9a, Figure 10a, Figure 11a and Figure 12a show the results for OFDM, while Figure 9b, Figure 10b, Figure 11b and Figure 12b show the results for UFMC. It is worth noting that the BER of the Gauss-Seidel (GS) and Conjugate-Gradient (CG) methods in Figure 9 and Figure 10 is relatively poor when the number of receive antennas is 64 and 128; thus, better performance at higher is unlikely. Based on these results, GS and CG are excluded from the subsequent figures for visual conciseness and to avoid clutter. On the other hand, Figure 9a,b shows that when and the number of iterations is 4, the BER performance curves of the proposed CHSOR method almost overlap with the MMSE detector. In particular, in Figure 9a for the OFDM system, when the SNR is 35 dB, the BER numerical results of the proposed and CSOR methods are and , respectively, which is an improvement of . For the UFMC system in Figure 9b, the results show that the BER of the proposed and CSOR methods are and , respectively, which is an improvement of . Therefore, the proposed CHSOR detector provides a significant improvement compared to the CSOR method, especially for the UFMC system.
Figure 9.
BER performance comparison for different detection methods with and number of iterations = 4 for (a) OFDM and (b) UFMC.

Figure 10.
BER performance comparison for different detection methods with and number of iterations = 2 for (a) OFDM and (b) UFMC.
Figure 11.
BER performance comparison for different detection methods with , and number of iterations = 1 for (a) OFDM and (b) UFMC.
Figure 12.
BER performance comparison for different detection methods with and number of iterations = 1 for (a) OFDM and (b) UFMC.
To observe the impact of M-MIMO on the BER performance of different detectors, we increased the number of receiving antennas from 128 to 192, and then to 256, as shown in Figure 10, Figure 11 and Figure 12, respectively. Our proposed CHSOR detector still provides superior BER performance compared to the others. It is worth mentioning that when the number of receiving antennas is 128, the BER performance curve of the proposed CHSOR method remains very close to the MMSE detection method after two iterations. When the number of antennas is increased to 192 and then again to 256, the BER performance of our proposed CHSOR method still maintains the same trend, only needing one iteration for both OFDM and UFMC. It can be seen that increasing the number of receiving antennas can speed up the convergence of the receiver without exception. These represent promising results for the application of M-MIMO to B5G applications.
For more clarity, Table 3 enumerates the detailed BER results of the proposed CHSOR scheme and the Chebyshev-MAOR scheme. The improvement rate of the proposed CHSOR scheme is compared to the Chebyshev-MAOR scheme at SNR = 30 dB for and under both the OFDM and UFMC systems. Examining the numerical data in the CHSOR scheme in Table 3. when increases, in addition to the decrease in BER and enhancement of the improvement rate relative to other detectors, the application of UFMC for B5G systems is especially powerful.
Table 3.
BER numerical results improvement rate of proposed CHSOR and Chebyshev-MAOR at SNR = 30 dB for and under OFDM and UFMC.
According to the discussion in Section 3, convergence means that the signal vector gradually tends to a stable state after iteration; in other words, the BER reaches a stable value when the state no longer changes. To facilitate subsequent discussion, we define a convergence parameter that we call the BER altered rate for each iteration, as follows:
where represents the BER obtained at the iteration and represents the altered rate in BER between the current iteration and the next iteration. In this paper, without loss of generality, we select a small enough variation of 1%; therefore, the iteration schemes can be convergent as long as they meet the following conditions:
To verify and compare the iteration convergence among all detectors in this study, we enumerate the BER altered rate for each iteration in Table 4, Table 5, Table 6 and Table 7 and plot the convergence curve in Figure 13, Figure 14, Figure 15 and Figure 16 with antenna configurations of , , , and , respectively. For Figure 13, the antenna configuration is and the SNR is 37 dB, in which Figure 13a,b show the experiments conducted with the OFDM and UFMC systems, respectively. From the overall numerical analysis and observation of Table 4 and Figure 13a, it can be seen that the CHSOR method always performs the best and converges within five iterations. Compared to the second-best performing CSOR method, the BER improves by . The results for the UFMC system are shown in Figure 13b. When the number of iterations is 5, the BER performance of the CHSOR method is improved by compared with the CSOR method. When the is increased to 128 and the SNR is 34 dB, the proposed method converges in three iterations, while the other methods fail to converge even after five iterations. The simulation results for increased to 192 and SNR of 32 dB are shown in Figure 15a,b for the OFDM and UFMC systems, respectively. Similar to the results for of 128, Table 6b shows that the proposed method converges in three iterations for UFMC; furthermore, Table 6a shows that CHSOR converges after just two iterations for OFDM. When the number of iterations is 2, the proposed scheme has an improvement rate of and over Chebyshev-MAOR in the OFDM and UFMC systems, respectively. While CHSOR already demonstrates near-MMSE performance with only two iterations at of 192, its advantage becomes even better when the number of antennas is further increased to 256. As shown in the BER vs. iteration curves in Figure 16, the line for the CHSOR scheme is almost flat for both OFDM and UFMC systems, indicating that the proposed method converges almost within one iteration. With a large enough number of antennas, such as 192 or 256, it can significantly aid the HSOR stage to reduce the burden on the Chebyshev stage. In contrast, although Chebyshev-MAOR remains the fastest among the other methods, it still requires 3–4 iterations to reach a similar BER level, as evidenced in Table 7.
Table 4.
The altered rate in BER between iterations of each method at and for (a) OFDM and (b) UFMC.
Table 5.
The altered rate in BER between iterations of each method at and for (a) OFDM and (b) UFMC.
Table 6.
The altered rate in BER between iterations of each method at and for (a) OFDM and (b) UFMC.
Table 7.
The altered rate in BER between iterations of each method at and for (a) OFDM and (b) UFMC.
Figure 13.
BER performance vs. number of iterations with and SNR = 37 dB for (a) OFDM and (b) UFMC.
Figure 14.
BER performance vs. number of iterations with and SNR = 34 dB for (a) OFDM and (b) UFMC.
Figure 15.
BER performance vs. number of iterations with and SNR = 32 dB for (a) OFDM and (b) UFMC.
Figure 16.
BER performance vs. number of iterations with and SNR = 30 dB for (a) OFDM and (b) UFMC.
In summary, among the related detectors discussed in this paper, our proposed CHSOR algorithm has fast convergence speed and presents the best BER performance. Moreover, the experimental results in Figure 13, Figure 14, Figure 15 and Figure 16 and Table 4, Table 5, Table 6 and Table 7 along with Appendix A theoretically prove the convergence of the proposed scheme and verify convergence from the obtained experimental data.
To analyze the BER performance of different detectors varies with different ratios of to the total number of user antennas , we denote this as , or the antenna ratio [50,59]. Figure 17 and Figure 18 show the results of the experiments with one and two iterations, respectively, when the SNR is 30 dB. In Figure 17, it can be seen tht when the antenna ratio is low, no method can achieve the BER performance of MMSE with one iteration. As increases, the BER of the proposed CHSOR scheme decreases significantly and gradually approaches the MMSE detector. Even though the BER of other methods also improves, the declining trend is quite slow compared with our CHSOR scheme. When is equal to 16, the CHSOR scheme is remarkably close to the MMSE detector. Next, the results with two iterations are shown in Figure 18. Compared with Figure 17, the BER performance of each method improves, but all are still inferior to our proposed method. Moreover, the curve of the CHSOR method almost coincides with the MMSE curve at any antenna ratio .
Figure 17.
BER vs. for different detection schemes when the number of iterations is 1 and the SNR is 30 dB for (a) OFDM and (b) UFMC.

Figure 18.
BER vs. for different detection schemes when the number of iterations is 2 and the SNR is 30 dB for (a) OFDM and (b) UFMC.
To show the performance differences more intuitively, we enumerate the BER differences between each method and the MMSE detector under the same conditions in Table 8 and Table 9 based on Figure 17 and Figure 18. Table 8a for the OFDM system shows that when is 12 and 16, the distances are and , respectively. Table 8b for the UFMC system shows that when is 12 and 16, the gap can be reduced to and , respectively. Moreover, when the number of iterations is 2 and with a sufficiently high , the gap between our method and MMSE can be reduced to approximately order for both the OFDM or UFMC systems, as enumerated in Table 9.
Table 8.
BER difference rate between the BER of all detection methods and MMSE at different when the number of iterations is 1 and the SNR is 30 dB for (a) OFDM and (b) UFMC.
Table 9.
BER difference rate between the BER of all detection methods and MMSE at different when the number of iterations is 2 and the SNR is 30 dB for (a) OFDM and (b) UFMC.
Thus far, the discussion on the impact of the number of receive antennas and antenna ratios on the uplink receiver of the BER performance has been well established. Due to the advantage actuated by the spatial diversity gain of massive antennas, as long as the antenna ratio becomes higher, the BER of any method will decrease without exception. It is worth noting that the effect is particularly significant for our proposed CHSOR scheme. Moreover, this performance echoes what was inferred earlier; when increases, BER performance can be improved and convergence acceleration can be achieved with reduced complexity. This means that the experimental results are reasonable and confirms that the proposed method can adequately and efficiently utilize the spatial diversity gain, resulting in performance quite close to that of the MMSE baseline. Moreover, the sensitivity of different schemes to the number of antennas is also worth observing and discussing. For instance, Chebyshev-MAOR exhibits strong dependence on the number of antennas. Its performance degrades considerably under low antenna ratio MIMO configurations, such as , and only shows good results when the number of receiving antennas is high enough, such as . On the other hand, for Chebyshev-RI the performance improvement remains marginal even when the number of antennas increases. In contrast, the proposed CHSOR method demonstrates robust and consistent performance across various antenna settings. CHSOR remains stable and effective regardless of whether the antenna ratio is low or high, highlighting its superior adaptability and reliability in M-MIMO systems.
4.2. Computational Complexity Analysis
4.2.1. Complexity Formula Analysis
In this subsection, we evaluate the computational complexity of the proposed method in terms of the number of required complex multiplications and additions (CMAs) and compare it with other detection methods mentioned in this paper [17,18,19,20,21,22,24,25]. We use i and to denote the number of iterations and total number of user antennas, respectively. We sequentially analyze the algebraic calculation of the proposed CHSOR detection method through its iterative equation as follows:
where the iteration matrix is equal to , which requires CMAs, and the compensation vector is , which needs CMAs. Therefore, according to Equation (38), the operation complexity for the first stage can be obtained as a total of CMAs. For the second stage, executing the Chebyshev acceleration algorithm, including , , and their addition operation, requires , , and CMAs, respectively. Because the second stage is an iterative algorithm, the above computational complexity is added and multiplied by the number of iterations i, expressed as . Therefore, our proposed CHSOR method requires a total of CMAs. The complexity analysis for the other methods is derived similarly and is not elaborated here. For greater clarity, the algebraic expressions of the computational complexity for different schemes are tabulated in Table 10. It is worth mentioning that it can be seen from the algebraic formulas in Table 10 that the complexity is independent of the number of receiving antennas. Of course, this is an important attraction for the B5G uplink system, which urgently needs M-MIMO.
Table 10.
Algebraic expressions of computational complexity for different detectors.
4.2.2. Complexity Quantitative Analysis
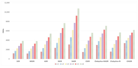
For more intuitive comparison and quantitative analysis, the exact parameter values are substituted in Table 10, with numerical values enumerated in Table 11 and presented using a bar chart in Figure 19.
Table 11.
Numerical complexity comparison for different detectors with .
Figure 19.
Bar chart of computational complexity for different detectors with .
Next, computational complexity and BER performance are discussed to provide a comprehensive comparison. It can be seen from Figure 9a,b that with four iterations the proposed method improves the BER by and compared with CSOR in the OFDM and UFMC systems, respectively. For complexity, Table 11 shows that it only increases by regardless of whether the OFDM or UFMC system is used.
Moreover, Figure 13 along with Table 4 and Table 11 allow us to observe and compare each method’s iterative procedure and required complexity when it reaches convergence under the antenna configuration with and SNR at 37 dB. Evidently, the CHSOR method converges at the fourth iteration and the complexity load is 5040 CMAs. Among the other methods, the CSOR scheme has the best performance; however, it still has not converged after six iterations, and its complexity burden of 5544 CMAs has exceeded that of the CHSOR method after four iterations. Although at first glance our proposed CHSOR scheme seems slightly higher than the CSOR method with the same number of iterations, the BER performance of the CHSOR scheme can be much better than that of the CSOR method with only a few iterations.
As previously mentioned, Figure 13, Figure 14, Figure 15 and Figure 16 show the relationship between the number of iterations i and BER performance among all schemes for different antenna configurations. From these results, we can conclude that faster the convergence is achieved when there are more antennas at the receiving end. Taking the proposed method as an example, when increases from 64 to 256, the number of iterations required for convergence can be reduced from 4 to 2 or even 1; in addition, the BER performance is significantly better than other methods. Therefore, the proposed CHSOR detector achieves a strong balance between computational complexity and BER performance. When increases, the proposed CHSOR detector takes full advantage of the spatial diversity gain of M-MIMO and the optimal initial conditions of the HSOR stage to provide excellent convergence speed without sacrificing any computational complexity, thereby considering both computational complexity and BER performance.
5. Conclusions
In development to date, M-MIMO has become the hope for the next generation of advanced wireless communications. In this article, we propose a high-efficiency and low-complexity two-stage receiver called CHSOR to overcome the challenge of M-MIMO technology applied to B5G uplink environments.
First, we utilize the double refinement feature of SOR and MSOR to provide more accurate initial status and estimated parameters for the next stage. In the second stage, the Chebyshev recurrence relation is used to achieve rapid convergence and higher BER performance estimation. As expected, the first stage facilitates the speed and convergence direction of the second stage.
Our simulation results show that the proposed CHSOR scheme has the best BER performance compared to previous detectors. In particular, it delivers a 91.624% BER improvement over CSOR, demonstrating superior detection capability. Moreover, thanks to its rapid convergence, the proposed CHSOR scheme does not need to sacrifice complexity for BER performance. At the same time, its computational complexity is independent of the number of receiving antennas; as the antenna ratio increases, not only does its BER performance improve, its complexity decreases instead of increasing, since convergence is accelerated. This is undoubtedly an important benefit for the B5G uplink system, which urgently needs M-MIMO. It is worth mentioning that as the antenna ratio continues to increase, the proposed CHSOR scheme converges to the optimal MMSE baseline in almost one iteration; therefore, we expect that the load of the Chebyshev stage can be significantly reduced.
In summary, the proposed method uses a double refinement feature and a relatively simple SOR-based architecture. This results in excellent characteristics of high BER performance and moderate computational complexity that make it suitable for application in current and next-generation wireless communication environments and provides a high-performance option with guaranteed convergence for B5G uplink systems.
Author Contributions
Conceptualization, Y.-P.T. and G.-H.L.; methodology, Y.-P.T. and G.-H.L.; software, G.-H.L.; validation, Y.-P.T.; formal analysis, Y.-P.T.; investigation, Y.-P.T.; resources, Y.-P.T. and G.-H.L.; data curation, Y.-P.T. and G.-H.L.; writing—original draft preparation, Y.-P.T. and G.-H.L.; writing—review and editing, Y.-P.T.; visualization, G.-H.L.; supervision, Y.-P.T.; project administration, Y.-P.T.; funding acquisition, Y.-P.T. All authors have read and agreed to the published version of the manuscript.
Funding
This research received no external funding.
Institutional Review Board Statement
Not applicable.
Informed Consent Statement
Not applicable.
Data Availability Statement
All data underlying the results are available as part of the article, and no additional source data are required.
Conflicts of Interest
The authors declare no conflicts of interest.
Abbreviations
The following abbreviations are used in this manuscript:
| 4G | fourth-generation |
| 5G | fifth-generation |
| ACI | adjacent channel interference |
| AOR | accelerated over-relaxation |
| AWGN | additive white Gaussian noise |
| B5G | beyond 5G |
| BER | bit error rate |
| CAOR | Chebyshev accelerated over-relaxation |
| CG | conjugate gradient |
| CHSOR | hybrid SOR-based Chebyshev acceleration |
| CMAs | complex multiplications and additions |
| CP | cyclic prefix |
| CSI | channel state information |
| CSOR | Chebyshev successive over-relaxation |
| eMBB | enhanced mobile broadband |
| FBMC | filter bank multi-carrier |
| FFT | fast Fourier transform |
| FIR | finite impulse response |
| GS | Gauss-Seidel |
| IB-DFE | iterative block decision-feedback equalizer |
| ICI | inter-carrier interference |
| IFFT | inverse fast Fourier transform |
| i.i.d. | independent and identically distributed |
| IMT | international mobile telecommunications |
| IoT | internet of things |
| ISI | inter-symbol interference |
| IPIC-LRA | iterative parallel interference cancellation based on the lattice reduction-aided |
| LoS | line of sight |
| LRA | lattice reduction-aided |
| LS | least-square |
| M-MIMO | massive multiple input–multiple output |
| MMSE | minimum mean square error |
| mMTC | massive machine-type communications |
| MSOR | modified successive over-relaxation |
| MUD | multi-user detector |
| NRIDA | new randomized iterative detection algorithm |
| OFDM | orthogonal frequency-division multiplexing |
| OOB | out-of-band |
| P/S | parallel-to-serial |
| PIC | parallel interference cancellation |
| PSD | power spectral density |
| QAM | quadrature amplitude modulation |
| RI | Richardson |
| RIDA | randomized iterative detection algorithm |
| RF | radio frequency |
| S/P | serial-to-parallel |
| SAOR | symmetric accelerated over-relaxation |
| SNR | signal-to-noise ratio |
| SOR | successive over-relaxation |
| SSOR | symmetric successive over-relaxation |
| UFMC | universal filtered multi-carrier |
| URLLC | ultra-reliable and low latency communications |
| ZF | zero-forcing |
Appendix A
This appendix provides a brief but succinct derivation of convergence for the HSOR stage in our proposed scheme and its convergence conditions. Of course, as the HSOR stage converges, the CHSOR scheme converges as well.
Considering Equation (39), we know that the spectral radius of the iteration matrix needs to be less than one (i.e., the maximum eigenvalue of the iteration matrix in the iteration equation is less than one); then, the iteration equation can be proved to converge. In Equation (38), the conformation of the HSOR iteration matrix is multiplied by , and its expansion is as follows:
According to the eigenvalue theorem [60], we can obtain
where is the eigenvalue of , corresponding to the eigenvector . Here, we move two from the left to the right side of the equality, yielding
and we can expand Equation (A3) as follows:
Then, we have
Now, we multiply Equation (A6) by the transpose of :
Therefore, we can obtain
Moreover, because , we can rewrite this to and substitute it into Equation (A10):
For a clearer analysis, we can expand Equation (A11) and rearrange it as follows:
Because both and are symmetric positive definite matrices, and should be greater than zero for all non-zero . Moreover, to ensure that always holds, must also be symmetric. Therefore, we can infer Equation (A12) to the following inequalities:
and
Observing Equations (A13) and (A14), according to convergence based on the SOR scheme, we assume that but and . Below, we discuss the two inequalities separately.
- (i)
- For Equation (A13):
We first factorize Equation (A13):
Substituting and into Equation (A15), we can respectively obtain
and
From Equations (A16) and (A17), we can find that when and , the range of is between 0 and 1, which is less than 1; therefore, it meets the convergence conditions.
- (ii)
- For Equation (A14):
We factorize Equation (A14) as follows:
Using the solution of the inequality in Equation (A18), we can find that the extreme value of will occur when is between 1 and 2. Now, to find the extreme value of and determine whether it is less than 1, we can differentiate Equation (A18); its expression is as follows:
When Equation (A19) equals zero, it has an extreme value. In other words, when , the extreme value of will appear. Because is not between 1 and 2, we choose . By substituting back into Equation (A14), we obtain the extreme value of , denoted as ; then,
Due to the extreme value of , we have , which is less than 1. Furthermore, we can confirm that is the maximum extreme value through the second derivative of Equation (A18). Therefore, as long as is between 1 and 2, will be less than 1. Thus, it also meets the convergence conditions.
In summary, by combining (i) and (ii), we can determine that when , will be less than 1; in other words, the HSOR method can ensure convergence when . Therefore, we can infer that the CHSOR method will converge for .
References
- Conceição, F.; Gomes, M.; Silva, V.; Dinis, R.; Silva, A.; Castanheira, D. A survey of candidate waveforms for beyond 5G systems. Electronics 2020, 10, 21. [Google Scholar] [CrossRef]
- Berceanu, M.G.; Florea, C.; Halunga, S. Performance comparison of massive MIMO system with orthogonal and nonorthogonal multiple access for uplink in 5G systems. Appl. Sci. 2020, 10, 7139. [Google Scholar] [CrossRef]
- Du, C.; Yu, J.; Yan, Z.; Ren, J.; Zhang, R.; Li, Y. Efficient Subcarrier-Level OFDM Backscatter Communications. IEEE Trans. Mob. Comput. 2025, 24, 5078–5093. [Google Scholar] [CrossRef]
- Saoud, B.; Shayea, I. Performance evaluation of MIMO-OFDM system in wireless network. In Proceedings of the 2023 10th International Conference on Wireless Networks and Mobile Communications (WINCOM), Istanbul, Turkiye, 26–28 October 2023; pp. 1–5. [Google Scholar] [CrossRef]
- Ismael, W.M.; Gao, M.; Zahary, A.; Yemeni, Z.; Ibrahim, Y.; Hawban, A. Edge-based Anomaly Data Detection Approach for Wireless Sensor Network-based Internet of Things. In Proceedings of the 2021 International Conference of Technology, Science and Administration (ICTSA), Taiz, Yemen, 22–24 March 2021; pp. 1–6. [Google Scholar] [CrossRef]
- Nozica, D.; Blazevic, D.; Keser, T. Industrial-Grade Edge Computing Device for Smart Furniture Products. Appl. Sci. 2025, 15, 4355. [Google Scholar] [CrossRef]
- Lee, C.; Fumagalli, A. Internet of things security-multilayered method for end to end data communications over cellular networks. In Proceedings of the 2019 IEEE 5th World Forum on Internet of Things (WF-IoT), Limerick, Ireland, 15–18 April 2019; pp. 24–28. [Google Scholar] [CrossRef]
- Fuentes, M.; Carcel, J.L.; Dietrich, C.; Yu, L.; Garro, E.; Pauli, V.; Lazarakis, F.I.; Grøndalen, O.; Bulakci, O.; Yu, J. 5G new radio evaluation against IMT-2020 key performance indicators. IEEE Access 2020, 8, 110880–110896. [Google Scholar] [CrossRef]
- Usman, M.A.; Weerasinghe, N.S.; Ansari, R.; Usman, M.R.; Politis, C. Investigating Reliability for URLLC in EUHT-5G a new IMT-2020 Candidate Technology. In Proceedings of the 2022 IEEE Globecom Workshops (GC Wkshps), Rio de Janeiro, Brazil, 4–8 December 2022; pp. 662–667. [Google Scholar] [CrossRef]
- Yamada, H.; Suganuma, H.; Maehara, F. System capacity analysis of asynchronous FBMC and OFDM systems in the presence of adjacent channel interference and multipath fading. In Proceedings of the 2022 IEEE Radio and Wireless Symposium (RWS), Las Vegas, NV, USA, 16–19 January 2022; pp. 171–173. [Google Scholar] [CrossRef]
- Larsson, E.G.; Edfors, O.; Tufvesson, F.; Marzetta, T.L. Massive MIMO for next generation wireless systems. IEEE Commun. Mag. 2014, 52, 186–195. [Google Scholar] [CrossRef]
- Earle, B.; Al-Habashna, A.; Wainer, G.; Li, X.; Xue, G. Machine Learning Models for Channel Status Classification in M-Mimo Systems Using Limited CSI Feedback. In Proceedings of the 2023 Annual Modeling and Simulation Conference (ANNSIM), Hamilton, ON, Canada, 23–26 May 2023; pp. 645–656. [Google Scholar]
- Varanasi, M.K.; Mullis, C.T.; Kapur, A. On the limitation of linear MMSE detection. IEEE Trans. Inf. Theory 2006, 52, 4282–4286. [Google Scholar] [CrossRef]
- Kong, B.Y.; Park, I.C. Low-complexity symbol detection for massive MIMO uplink based on Jacobi method. In Proceedings of the 2016 IEEE 27th Annual International Symposium on Personal, Indoor, and Mobile Radio Communications (PIMRC), Valencia, Spain, 4–8 September 2016; pp. 1–5. [Google Scholar] [CrossRef]
- Shen, D.; Chen, L.; Li, Q.; Chen, T.; Zhao, F. A Weighted Gauss-Seidel Iterative Algorithm with Fast Convergence. In Proceedings of the 2023 3rd International Symposium on Computer Technology and Information Science (ISCTIS), Chengdu, China, 7–9 July 2023; pp. 414–418. [Google Scholar] [CrossRef]
- Fang, Y.; Chen, L.; You, C.; Wen, D.; Zhu, P. Finite-Precision Conjugate Gradient Method for Massive MIMO Detection. arXiv 2025, arXiv:2504.09820. [Google Scholar] [CrossRef]
- Gao, X.; Dai, L.; Hu, Y.; Wang, Z.; Wang, Z. Matrix inversion-less signal detection using SOR method for uplink large-scale MIMO systems. In Proceedings of the 2014 IEEE Global Communications Conference, Austin, TX, USA, 8–12 December 2014; pp. 3291–3295. [Google Scholar] [CrossRef]
- Hadjidimos, A. Accelerated overrelaxation method. Math. Comput. 1978, 32, 149–157. [Google Scholar] [CrossRef]
- Yu, A.; Zhang, C.; Zhang, S.; You, X. Efficient SOR-based detection and architecture for large-scale MIMO uplink. In Proceedings of the 2016 IEEE Asia Pacific Conference on Circuits and Systems (APCCAS), Jeju, Republic of Korea, 25–28 October 2016; pp. 402–405. [Google Scholar] [CrossRef]
- Ning, J.; Lu, Z.; Xie, T.; Quan, J. Low complexity signal detector based on SSOR method for massive MIMO systems. In Proceedings of the 2015 IEEE International Symposium on Broadband Multimedia Systems and Broadcasting, Ghent, Belgium, 17–19 June 2015; pp. 1–4. [Google Scholar] [CrossRef]
- Hu, Y.; Wu, J.; Wang, Y. SAOR-based precoding with enhanced BER performance for massive MIMO systems. In Proceedings of the 2019 International Conference on Artificial Intelligence in Information and Communication (ICAIIC), Okinawa, Japan, 11–13 February 2019; pp. 512–516. [Google Scholar] [CrossRef]
- Yu, A.; Yang, C.; Zhang, Z.; You, X.; Zhang, C. Efficient SOR based massive MIMO detection using Chebyshev acceleration. In Proceedings of the 2018 IEEE 23rd International Conference on Digital Signal Processing (DSP), Shanghai, China, 19–21 November 2018; pp. 1–5. [Google Scholar] [CrossRef]
- Tu, Y.P.; Chen, C.Y.; Lin, K.H. An Efficient Two-Stage Receiver Base on AOR Iterative Algorithm and Chebyshev Acceleration for Uplink Multiuser Massive-MIMO OFDM Systems. Electronics 2021, 11, 92. [Google Scholar] [CrossRef]
- Berra, S.; Chakraborty, S.; Dinis, R. A Low Complexity Iterative SC-FDE Receiver for Massive MIMO Systems. IEEE Trans. Veh. Technol. 2024, 73, 10405–10420. [Google Scholar] [CrossRef]
- Berra, S.; Chakraborty, S.; Dinis, R.; Shahabuddin, S. Deep unfolding of Chebyshev accelerated iterative method for massive MIMO detection. IEEE Access 2023, 11, 52555–52569. [Google Scholar] [CrossRef]
- Berra, S.; Dinis, R.; Shahabuddin, S. Fast matrix inversion based on Chebyshev acceleration for linear detection in massive MIMO systems. Electron. Lett. 2022, 58, 451–453. [Google Scholar] [CrossRef]
- Berra, S.; Dinis, R.; Rabie, K.; Shahabuddin, S. Efficient iterative massive MIMO detection using Chebyshev acceleration. Phys. Commun. 2022, 52, 101651. [Google Scholar] [CrossRef]
- Wang, Z.; Xu, W.; Xia, Y.; Shi, Q.; Huang, Y. A new randomized iterative detection algorithm for uplink large-scale MIMO systems. IEEE Trans. Commun. 2023, 71, 5093–5107. [Google Scholar] [CrossRef]
- Liu, H.; Cheng, X.; Li, W.; Feng, F.; Wang, L.; Xiao, Y.; Fu, S. A novel iterative detection method based on a lattice reduction-aided algorithm for MIMO OFDM systems. Sci. Rep. 2024, 14, 2779. [Google Scholar] [CrossRef] [PubMed]
- Hazareena, A.; Mustafa, B.A. A survey: On the waveforms for 5G. In Proceedings of the 2018 Second International Conference on Electronics, Communication and Aerospace Technology (ICECA), Coimbatore, India, 29–31 March 2018; pp. 64–67. [Google Scholar] [CrossRef]
- Lee, J.; Lou, H.L.; Toumpakaris, D.; Cioffi, J.M. Effect of carrier frequency offset on OFDM systems for multipath fading channels. In Proceedings of the IEEE Global Telecommunications Conference, 2004. GLOBECOM’04, Dallas, TX, USA, 29 November–3 December 2004; Volume 6, pp. 3721–3725. [Google Scholar] [CrossRef]
- Chen, B.S.; Yang, C.Y.; Liao, W.J. Robust fast time-varying multipath fading channel estimation and equalization for MIMO-OFDM systems via a fuzzy method. IEEE Trans. Veh. Technol. 2012, 61, 1599–1609. [Google Scholar] [CrossRef]
- Doré, J.B.; Gerzaguet, R.; Cassiau, N.; Ktenas, D. Waveform contenders for 5G: Description, analysis and comparison. Phys. Commun. 2017, 24, 46–61. [Google Scholar] [CrossRef]
- Suyama, S.; Fukuda, H.; Suzuki, H.; Fukawa, K. 10 Gbps 8× 8 MIMO-OFDM broadband experimental system for 11 GHz band super high bit-rate mobile communications. In Proceedings of the OFDM 2012: 17th International OFDM Workshop 2012 (InOWo’12), VDE, Essen, Germany, 29–30 August 2012; pp. 1–6. [Google Scholar]
- Moreolo, M.S.; Fàbrega, J.M.; Nadal, L.; Vílchez, F.J. Software-defined optical OFDM transmission systems: Enabling elasticity in the data plane. In Proceedings of the 2012 14th International Conference on Transparent Optical Networks (ICTON), Coventry, UK, 2–5 July 2012; pp. 1–4. [Google Scholar] [CrossRef]
- Rani, P.N.; Rani, C.S. UFMC: The 5G modulation technique. In Proceedings of the 2016 IEEE international conference on computational intelligence and computing research (ICCIC), Chennai, India, 15–17 December 2016; pp. 1–3. [Google Scholar] [CrossRef]
- Sidiq, S.; Mustafa, F.; Sheikh, J.A.; Malik, B.A. FBMC and UFMC: The modulation techniques for 5G. In Proceedings of the 2019 International Conference on Power Electronics, Control and Automation (ICPECA), New Delhi, India, 16–17 November 2019; pp. 1–5. [Google Scholar] [CrossRef]
- Yarrabothu, R.S.; Nelakuditi, U.R. Optimization of out-of-band emission using kaiser-bessel filter for UFMC in 5G cellular communications. China Commun. 2019, 16, 15–23. [Google Scholar] [CrossRef]
- Tuli, E.A.; Kim, D.S.; Lee, J.M. Performance Enhancement of UFMC Systems using Kaiser Window Filter. In Proceedings of the 2021 International Conference on Information and Communication Technology Convergence (ICTC), Jeju Island, Republic of Korea, 20–22 October 2021. [Google Scholar] [CrossRef]
- Albreem, M.A.; Juntti, M.; Shahabuddin, S. Massive MIMO detection techniques: A survey. IEEE Commun. Surv. Tutor. 2019, 21, 3109–3132. [Google Scholar] [CrossRef]
- Cho, Y.S.; Kim, J.; Yang, W.Y.; Kang, C.G. MIMO-OFDM Wireless Communications with MATLAB; John Wiley & Sons: Hoboken, NJ, USA, 2010. [Google Scholar]
- Luo, S.; Pedersen, G.F.; Zhang, S. Massive MIMO array design with high isolation by using decoupling cavity. IEEE Trans. Circuits Syst. Ii Express Briefs 2022, 70, 974–978. [Google Scholar] [CrossRef]
- Farzamnia, A.; Hlaing, N.W.; Haldar, M.K.; Rahebi, J. Channel estimation for sparse channel OFDM systems using least square and minimum mean square error techniques. In Proceedings of the 2017 international conference on engineering and technology (ICET), Antalya, Turkey, 21–23 August 2017; pp. 1–5. [Google Scholar] [CrossRef]
- Firdaus, M.; Moegiharto, Y. Performance of OFDM System against Different Cyclic Prefix Lengths on Multipath Fading Channels. arXiv 2022, arXiv:2207.13045. [Google Scholar] [CrossRef]
- Manda, R.; Gowri, R. Filter design for universal filtered multicarrier (UFMC) based systems. In Proceedings of the 2019 4th International Conference on Information Systems and Computer Networks (ISCON), Mathura, India, 21–22 November 2019; pp. 520–523. [Google Scholar] [CrossRef]
- Wang, X.; Wild, T.; Schaich, F. Filter optimization for carrier-frequency-and timing-offset in universal filtered multi-carrier systems. In Proceedings of the 2015 IEEE 81st Vehicular Technology Conference (VTC Spring), Glasgow, UK, 11–14 May 2015; pp. 1–6. [Google Scholar] [CrossRef]
- Kang, M.; Alouini, M.S. Capacity of correlated MIMO Rayleigh channels. IEEE Trans. Wirel. Commun. 2006, 5, 143–155. [Google Scholar] [CrossRef]
- Mishra, V.; Tripathi, P.K.; Rana, P.; Joshi, H.D. Performance analysis of comb type pilot aided channel estimation in ofdm with different pilot sequences. In Proceedings of the 2013 Tenth International Conference on Wireless and Optical Communications Networks (WOCN), Bhopal, India, 26–28 July 2013; pp. 1–5. [Google Scholar] [CrossRef]
- Chen, W.; Qi, L.; Yanjun, F. An improved least square channel estimation algorithm for underwater acoustic OFDM systems. In Proceedings of the 2010 2nd International Conference on Future Computer and Communication, Wuhan, China, 21–24 May 2010; Volume 3, pp. V3–577–V3–580. [Google Scholar] [CrossRef]
- Albreem, M.A.; Salah, W.; Kumar, A.; Alsharif, M.H.; Rambe, A.H.; Jusoh, M.; Uwaechia, A.N. Low complexity linear detectors for massive MIMO: A comparative study. IEEE Access 2021, 9, 45740–45753. [Google Scholar] [CrossRef]
- Young, D.M. Convergence properties of the symmetric and unsymmetric successive overrelaxation methods and related methods. Math. Comput. 1970, 24, 793–807. [Google Scholar] [CrossRef]
- Young, D.M. Iterative Solution of Large Linear Systems; Elsevier: Amsterdam, The Netherlands, 2014. [Google Scholar]
- Mason, J.C.; Handscomb, D.C. Chebyshev Polynomials; Chapman and Hall/CRC: New York, NY, USA, 2002. [Google Scholar] [CrossRef]
- Hadjidimos, A. Successive overrelaxation (SOR) and related methods. J. Comput. Appl. Math. 2000, 123, 177–199. [Google Scholar] [CrossRef]
- Haotian, X.; Junqin, W.; Jianhao, S. Massive MIMO joint precoding algorithm based on SORMI and Chebyshev iteration. In Proceedings of the 2021 2nd International Conference on Computer Communication and Network Security (CCNS), Xining, China, 30 July–1 August 2021; pp. 122–125. [Google Scholar] [CrossRef]
- Yu, A.; Jing, S.; Tan, X.; Wu, Z.; Yan, Z.; Zhang, Z.; You, X.; Zhang, C. Efficient successive over relaxation detectors for massive MIMO. IEEE Trans. Circuits Syst. Regul. Pap. 2020, 67, 2128–2139. [Google Scholar] [CrossRef]
- Vaigandla, K.K.; Siluveru, M.; Karne, R. Study and Comparative Analysis of OFDM and UFMC Modulation Schemes. J. Electron. Comput. Netw. Appl. Math. (JECNAM) 2023, 3, 41–50. [Google Scholar] [CrossRef]
- Ravindran, R.; Viswakumar, A. Performance evaluation of 5G waveforms: UFMC and FBMC-OQAM with Cyclic Prefix-OFDM System. In Proceedings of the 2019 9th International Conference on Advances in Computing and Communication (ICACC), Kochi, India, 6–8 November 2019; pp. 6–10. [Google Scholar] [CrossRef]
- Tu, Y.P.; Jian, P.S.; Huang, Y.F. Novel Hybrid SOR-and AOR-Based Multi-User Detection for Uplink M-MIMO B5G Systems. Electronics 2023, 13, 187. [Google Scholar] [CrossRef]
- Cox, D.A. Stickelberger and the eigenvalue theorem. In Commutative Algebra: Expository Papers Dedicated to David Eisenbud on the Occasion of his 75th Birthday; Springer: Berlin/Heidelberg, Germany, 2021; pp. 283–298. [Google Scholar] [CrossRef]
Disclaimer/Publisher’s Note: The statements, opinions and data contained in all publications are solely those of the individual author(s) and contributor(s) and not of MDPI and/or the editor(s). MDPI and/or the editor(s) disclaim responsibility for any injury to people or property resulting from any ideas, methods, instructions or products referred to in the content. |
© 2025 by the authors. Licensee MDPI, Basel, Switzerland. This article is an open access article distributed under the terms and conditions of the Creative Commons Attribution (CC BY) license (https://creativecommons.org/licenses/by/4.0/).