Sign in to use this feature.

Years

Between: -

Subjects

remove_circle_outline
remove_circle_outline
remove_circle_outline
remove_circle_outline
remove_circle_outline
remove_circle_outline
remove_circle_outline

Journals

Article Types

Countries / Regions

Search Results (22)

Search Parameters:
Keywords = orbicularis oris

Order results
Result details
Results per page
Select all
Export citation of selected articles as:
14 pages, 1084 KB  
Article
Dynamic Changes in Mimic Muscle Tone During Early Orthodontic Treatment: An sEMG Study
by Oskar Komisarek, Roksana Malak and Paweł Burduk
J. Clin. Med. 2025, 14(14), 5048; https://doi.org/10.3390/jcm14145048 - 16 Jul 2025
Viewed by 1025
Abstract
Background: Surface electromyography (sEMG) enables the non-invasive assessment of muscle activity and is widely used in orthodontics for evaluating masticatory muscles. However, little is known about the dynamic changes in facial expression muscles during orthodontic treatment. This study aimed to investigate alterations in [...] Read more.
Background: Surface electromyography (sEMG) enables the non-invasive assessment of muscle activity and is widely used in orthodontics for evaluating masticatory muscles. However, little is known about the dynamic changes in facial expression muscles during orthodontic treatment. This study aimed to investigate alterations in facial muscle tone during the leveling and alignment phase in adult female patients undergoing fixed appliance therapy. Methods: The study included 30 female patients aged 20–31 years who underwent sEMG assessment at four time points: before treatment initiation (T0), at the start of appliance placement (T1), three months into treatment (T2), and six months into treatment (T3). Muscle activity was recorded during four standardized facial expressions: eye closure, nasal strain, broad smile, and lip protrusion. Electrodes were placed on the orbicularis oris, orbicularis oculi, zygomaticus major, and levator labii superioris alaeque nasi muscles. A total of 1440 measurements were analyzed using Friedman and Conover-Inman tests (α = 0.05). Results: Significant changes in muscle tone were observed during treatment. During lip protrusion, the orbicularis oris and zygomaticus major showed significant increases in peak and minimum activity (p < 0.01). Eye closure was associated with altered orbicularis oris activation bilaterally at T3 (p < 0.01). Nasal strain induced significant changes in zygomaticus and levator labii muscle tone, particularly on the right side (p < 0.05). No significant changes were noted during broad smiling. Conclusions: Orthodontic leveling and alignment influence the activity of selected facial expression muscles, demonstrating a dynamic neuromuscular adaptation during treatment. These findings highlight the importance of considering soft tissue responses in orthodontic biomechanics and suggest potential implications for facial esthetics and muscle function monitoring. Full article
(This article belongs to the Section Dentistry, Oral Surgery and Oral Medicine)
Show Figures

Figure 1

14 pages, 1574 KB  
Article
Effect of Intensive Face Yoga on Facial Muscles Tonus, Stiffness, and Elasticity in Middle-Aged Women: A Pre-Experimental Clinical Trial
by Hazel Çelik Güzel, Şule Keçelioğlu, Ahmet Kurtoğlu and Safaa M. Elkholi
Medicina 2025, 61(5), 840; https://doi.org/10.3390/medicina61050840 - 2 May 2025
Viewed by 16260
Abstract
Background and Objectives: The effects of face yoga, which continues to be popular as an anti-aging technique, on facial muscles in relation to aging represent an area of interest. The aim of this study was to investigate the effect of 8 weeks [...] Read more.
Background and Objectives: The effects of face yoga, which continues to be popular as an anti-aging technique, on facial muscles in relation to aging represent an area of interest. The aim of this study was to investigate the effect of 8 weeks of intensive face yoga on facial muscles’ tonus, stiffness, and elasticity in middle-aged women. Materials and Methods: Twelve female participants with a mean age of 49.75 ± 3.76 were included in this pre-experimental clinical trial. Face yoga was applied to the participants for 8 weeks, 2 days a week face-to-face, and 5 days a week as a home program. At the beginning and the end of 8 weeks, the tonus, stiffness, and elasticity of the participants’ facial muscles were evaluated with the Myoton®PRO device. Results: Following the face yoga program, the tonus and stiffness of the frontalis (p = 0.008, p = 0.002), corrugator supercilii (p = 0.008, p = 0.019), orbicularis oculi (p = 0.023, p = 0.034), and orbicularis oris (p = 0.007, p = 0.015) muscles decreased significantly, while the tonus and stiffness of the buccinator (p = 0.008, p = 0.002) and digastric (p = 0.008, p = 0.023) muscles increased. Elasticity values increased in all evaluated facial muscles (p = 0.045, p = 0.045, p = 0.034, p = 0.023, p = 0.028, p = 0.005, respectively). Conclusions: The results reveal that face yoga has different effects depending on the physiological structure and function of the muscles and positively affects connective tissue. Future studies should reproduce the results presented here to further our understanding of the effects of face yoga. Full article
(This article belongs to the Section Sports Medicine and Sports Traumatology)
Show Figures

Figure 1

12 pages, 456 KB  
Case Report
EMG-Triggered Functional Electrical Stimulation for Central Facial Palsy Following Stroke: A Clinical Case Report
by Frauke Johannes, Anna Maria Pekacka-Egli, Simone Köhler, Andreas Disko, Jan von Meyenburg and Bartosz Bujan
Brain Sci. 2025, 15(4), 410; https://doi.org/10.3390/brainsci15040410 - 17 Apr 2025
Cited by 2 | Viewed by 4774
Abstract
Background: Central facial palsy (CFP) is a common condition following stroke, typically affecting the lower face and causing symptoms such as drooling, dysarthria, and facial asymmetry. Despite available rehabilitation methods, the evidence supporting their effectiveness is limited. Electromyography (EMG)-triggered Functional Electrical Stimulation (FES) [...] Read more.
Background: Central facial palsy (CFP) is a common condition following stroke, typically affecting the lower face and causing symptoms such as drooling, dysarthria, and facial asymmetry. Despite available rehabilitation methods, the evidence supporting their effectiveness is limited. Electromyography (EMG)-triggered Functional Electrical Stimulation (FES) has shown promise in neurorehabilitation for motor impairments, but its application to CFP remains unclear. Methods: This case report explores the use of EMG-triggered FES in a 77-year-old patient with CFP following a severe ischemic stroke of the middle cerebral artery (MCA). Therapy, focused on stimulating the orbicularis oris muscle to address persistent drooling and improve facial symmetry, was alongside usual care. The stimulation duration was 5–15 min, frequency 35 Hz, and pulse duration 300 µs, applied 5 times a week. Stimulation duration was adjusted based on the patient’s progress. Results: The patient underwent 16 sessions of EMG-triggered FES over four weeks. Post-therapy reassessment with the Sunnybrook Facial Grading System (SFGS) showed an improvement in facial motor function, with the score increasing from 58/100 to 78/100. Reassessment of the Facial Disability Index (FDI) revealed significant improvement in physical function (55 to 85 points), though the social function score slightly decreased (76 to 64 points). Improvements in dysarthria and the complete resolution of drooling were reflected in the physical function domain of the FDI and the Allensbach Dysarthria Severity Scale. Conclusions: The results highlight that EMG-triggered FES was well tolerated and effectively supported therapy, contributing to the resolution of drooling, improved facial symmetry, and enhanced speech function. Future research should focus on randomized controlled trials to confirm its effectiveness and determine optimal therapy parameters. Full article
Show Figures

Figure 1

14 pages, 3098 KB  
Article
Aesthetic Speech Therapy: A New Protocol of Exercises Against Facial Aging, Focusing on Facial Muscles
by Luca Levrini, Andrea Carganico, Margherita Caccia, Alessandro Deppieri, Federica Marullo, Stefano Saran, Giorgio Binelli, Marco Iera and Piero Antonio Zecca
Appl. Sci. 2025, 15(4), 1742; https://doi.org/10.3390/app15041742 - 8 Feb 2025
Viewed by 5797
Abstract
The increasing emphasis on appearance and well-being has underscored the significance of self-care. From an aesthetic perspective, this entails addressing the early onset of wrinkles and the initial signs of aging. In response, new techniques have been developed, supplementing existing methods, to mitigate [...] Read more.
The increasing emphasis on appearance and well-being has underscored the significance of self-care. From an aesthetic perspective, this entails addressing the early onset of wrinkles and the initial signs of aging. In response, new techniques have been developed, supplementing existing methods, to mitigate the signs of aging. Aesthetic speech therapy has emerged in recent years as a non-invasive procedure to combat facial aging. The objective of this study is to evaluate its effects on the signs of facial aging in participants subjected to an experimental exercise protocol over a three-month period, focusing on orbicularis and zygomatic muscles, using both a digital evaluation analysis and a self-assessment questionnaire. A cohort of 21 female subjects, aged between 50 and 65, was instructed to perform a series of 4 targeted exercises for 15 min daily over a span of three months. The participants underwent monthly evaluations, each involving the collection of standardized photographic documentation and a three-dimensional facial scan. These scans were subsequently overlaid and analyzed by a colorimetric assay at the conclusion of the study period. Statistical tests were carried out by two-way ANOVA. Additionally, during the final evaluation (T3), the participants completed a questionnaire assessing their satisfaction with their self-image and the non-invasive aesthetic treatment they received. The statistical analysis of the overlays of the collected three-dimensional scans revealed a significant volumetric change around the orbicularis oris muscle. The difference between green and blue pixels was statistically significant (p < 0.05), as was the difference between blue and yellow pixels (p < 0.05). This change did not achieve statistical significance around the zygomatic muscles. The analysis of the participants’ questionnaire responses indicated an increasing level of satisfaction with their self-image at the end of the study compared to T0. Personal confidence increased by 20%, and participants reported a 53% improvement in satisfaction with their appearance in photographs. The observed volumetric changes may be attributed to modifications in the facial muscles targeted by the exercise protocol undertaken by the participants. However, further studies are warranted to delve deeper into this issue, considering the intricate process of facial aging and the complex three-dimensional structure of the face with its various components. Full article
(This article belongs to the Special Issue Artificial Intelligence for Healthcare)
Show Figures

Figure 1

12 pages, 6910 KB  
Article
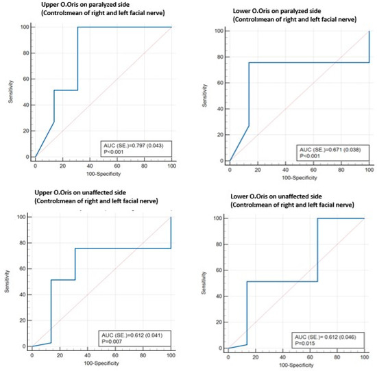
Contralateral Facial Innervation in Healthy Subjects and in Patients with Peripheral Facial Palsy
by Halil Güllüoğlu, Hasan Armağan Uysal and Burhanettin Uludağ
J. Clin. Med. 2024, 13(7), 1846; https://doi.org/10.3390/jcm13071846 - 23 Mar 2024
Cited by 2 | Viewed by 1723
Abstract
Background: We aimed to investigate the extent of the response of the orbicularis oris muscle to stimulation of the contralateral facial nerve both in patients with peripheral facial palsy (PFP) and in healthy subjects. Methods: EMG was performed at 2–6 weeks [...] Read more.
Background: We aimed to investigate the extent of the response of the orbicularis oris muscle to stimulation of the contralateral facial nerve both in patients with peripheral facial palsy (PFP) and in healthy subjects. Methods: EMG was performed at 2–6 weeks after the onset of PFP in the patient group and at any time in the healthy control group. We performed nerve conduction testing, electroneurography, and surface and needle EMG. Results: A total of 276 participants (patients/healthy controls: 218/58) were analyzed. The extent of the response of the contralateral orbicularis oris muscles to facial nerve stimulation was higher in healthy controls compared to that in the affected group. The response of the contralateral orbicularis oris muscles to stimulation of the paralyzed facial nerve was more extensive in those patients to whom glucocorticoid or physical therapy had been given. Cross-facial innervation in the orbicularis oris muscle extended up to 1.5 cm in one-third of healthy controls and was higher than that in those with PFP. Glucocorticoid or physical therapy seemed to improve cross-innervation in facial palsy. Conclusions: Our findings suggest that the stimulus leading to the contralateral muscular response is mediated through crossing axons rather than muscular fibers. Full article
(This article belongs to the Section Clinical Neurology)
Show Figures

Figure 1

19 pages, 4815 KB  
Review
Ultrasonography for Eating and Swallowing Assessment: A Narrative Review of Integrated Insights for Noninvasive Clinical Practice
by Keisuke Maeda, Motoomi Nagasaka, Ayano Nagano, Shinsuke Nagami, Kakeru Hashimoto, Masaki Kamiya, Yuto Masuda, Kenichi Ozaki and Koki Kawamura
Nutrients 2023, 15(16), 3560; https://doi.org/10.3390/nu15163560 - 12 Aug 2023
Cited by 21 | Viewed by 10212
Abstract
Dysphagia is a syndrome of abnormal eating function resulting from a variety of causative diseases, and is associated with malnutrition. To date, the swallowing function has been difficult to examine without the use of invasive and expensive methods, such as the videofluorographic swallowing [...] Read more.
Dysphagia is a syndrome of abnormal eating function resulting from a variety of causative diseases, and is associated with malnutrition. To date, the swallowing function has been difficult to examine without the use of invasive and expensive methods, such as the videofluorographic swallowing study or fiberoptic endoscopic evaluation of swallowing. In recent years, progress has been made in the clinical application of ultrasound equipment for the evaluation of body compositions near the body surface, including the assessment of nutritional status. Ultrasound examination is a noninvasive procedure and relatively inexpensive, and the equipment required is highly portable thanks to innovations such as wireless probes and tablet monitoring devices. The process of using ultrasound to visualize the geniohyoid muscle, digastric muscle, mylohyoid muscle, hyoid bone, tongue, masseter muscle, genioglossus muscle, orbicularis oris muscle, temporalis muscle, pharynx, esophagus, and larynx, and the methods used for evaluating these structures, are provided in this study in detail. This study also aims to propose a protocol for the assessment of swallowing-related muscles that can be applied in real-world clinical practice for the diagnosis of sarcopenic dysphagia, which can occur in elderly patients with sarcopenia, and has received much attention in recent years. Full article
Show Figures

Figure 1

9 pages, 441 KB  
Article
Association between Serum Varicella-Zoster Virus IgM and IgG and Prognosis of Ramsay Hunt Syndrome
by Seok Hwan Chung, Jung Min Kim, Hwa Sung Rim, Seung Geun Yeo and Sang Hoon Kim
J. Clin. Med. 2023, 12(15), 5164; https://doi.org/10.3390/jcm12155164 - 7 Aug 2023
Cited by 3 | Viewed by 3219
Abstract
Ramsay Hunt syndrome (RHS) has a poor prognosis because of varicella-zoster virus (VZV) infection. This is most closely related to severe inflammation in the geniculate ganglion of the facial nerve due to VZV infection or reactivation. This study investigated whether there were differences [...] Read more.
Ramsay Hunt syndrome (RHS) has a poor prognosis because of varicella-zoster virus (VZV) infection. This is most closely related to severe inflammation in the geniculate ganglion of the facial nerve due to VZV infection or reactivation. This study investigated whether there were differences in the prognosis and accompanying symptoms of facial paralysis based on the presence or absence of VZV IgM and IgG antibodies. This study was conducted as a retrospective chart analysis of 105 patients with RHS who were admitted to our hospital between 2015 and 2021. The House–Brackmann (HB) grade and electroneurography (ENoG) was used to evaluate the degree of facial paralysis. Patients’ subjective symptoms were evaluated by dividing them into dizziness, tinnitus, hyperacusis, and hearing loss. No difference was observed in the initial HB grade with or without IgM; however, the final HB grade was significantly higher in IgM-positive patients than in IgM-negative patients (p < 0.05). Further, when IgM was positive, the value of the orbicularis oculi muscle in the ENoG test results was significantly higher (p < 0.05), and symptoms of tinnitus and hyperacusis occurred more frequently (p < 0.05). The initial and final HB grades were significantly higher in IgG-positive patients than in IgG-negative patients (p < 0.05). When IgG was positive, the values of nasalis and oris muscles in the ENoG test results were significantly higher (p < 0.05), and symptoms of dizziness occurred more frequently (p < 0.05). This study confirmed that the more active the immunological action of the VZV in the body, the greater the damage to the facial and vestibulocochlear nerves, which are associated with the degree of facial paralysis and the accompanying otologic symptoms. Full article
(This article belongs to the Section Otolaryngology)
Show Figures

Figure 1

12 pages, 1934 KB  
Case Report
Dermal Cosmetic Migration after Lip Augmentation Procedure: Clinical Management and Histological Analysis in a Case Report with Review of the Literature
by Antonio Scarano, Francesco Inchingolo, Maristella Di Carmine, Marco Marchetti, Felice Lorusso, Roberto Amore and Domenico Amuso
Surgeries 2023, 4(2), 223-234; https://doi.org/10.3390/surgeries4020023 - 15 May 2023
Cited by 7 | Viewed by 10005
Abstract
Lip augmentation procedures have become gradually more popular and common due to cultural tendencies and an increasing association of the appearance of the lips with both beauty and youth. Different dermal fillers have been proposed for lip augmentation—such as collagen, calcium hydroxylapatite, hyaluronic [...] Read more.
Lip augmentation procedures have become gradually more popular and common due to cultural tendencies and an increasing association of the appearance of the lips with both beauty and youth. Different dermal fillers have been proposed for lip augmentation—such as collagen, calcium hydroxylapatite, hyaluronic acid, and polylactic acid—which are used as temporary fillers. The present case report describes the histopathologic and clinical management of one case of HA filler migrating into the intraoral cheek, which caused discomfort by intraoral swelling. There is also a review of the relevant literature. A female patient, V.A., 34 years old, smoker, no allergies to drug and food substances, came to our attention. The patient was referred to the Department of Innovative Technology in Medicine and Dentistry of the University “G. D’Annunzio” of Chieti-Pescara in Italy by her dentist for the removal of a mass present in the right cheek. The clinical examination of the patient revealed a single mobile mass mimicking a soft tissue tumor in the right anterior cheek. The mass was palpable and approximately 2 cm long and was causing pain and swelling. The mucosa appeared healthy without ulcers. The filler, which had migrated into the cheek, was removed by reaching it with a scalped blade. The material was stored immediately in 10% buffered formalin and processed for histological analysis. The literature search was carried out in accordance with the criteria of the PICO guidelines. Observed histologically, the filler was surrounded by fibroblasts and a few inflammatory cells and giant cells without granuloma formation. The clinical diagnosis was swelling and discomfort caused by chewing trauma, while the histological examination excluded discomfort due to a foreign body reaction caused by the HA used for a lip augmentation procedure. In conclusion, the high-pressure and high-volume filler injections probably caused a detachment of the tissues, with the orbicularis oris muscle concurrently acting as a pump and moving the HA implant, causing migration to the area with low-density tissue such as the cheek. Full article
Show Figures

Figure 1

12 pages, 1884 KB  
Article
Machine-Learning-Based Detecting of Eyelid Closure and Smiling Using Surface Electromyography of Auricular Muscles in Patients with Postparalytic Facial Synkinesis: A Feasibility Study
by Jakob Hochreiter, Eric Hoche, Luisa Janik, Gerd Fabian Volk, Lutz Leistritz, Christoph Anders and Orlando Guntinas-Lichius
Diagnostics 2023, 13(3), 554; https://doi.org/10.3390/diagnostics13030554 - 2 Feb 2023
Cited by 8 | Viewed by 3284
Abstract
Surface electromyography (EMG) allows reliable detection of muscle activity in all nine intrinsic and extrinsic ear muscles during facial muscle movements. The ear muscles are affected by synkinetic EMG activity in patients with postparalytic facial synkinesis (PFS). The aim of the present work [...] Read more.
Surface electromyography (EMG) allows reliable detection of muscle activity in all nine intrinsic and extrinsic ear muscles during facial muscle movements. The ear muscles are affected by synkinetic EMG activity in patients with postparalytic facial synkinesis (PFS). The aim of the present work was to establish a machine-learning-based algorithm to detect eyelid closure and smiling in patients with PFS by recording sEMG using surface electromyography of the auricular muscles. Sixteen patients (10 female, 6 male) with PFS were included. EMG acquisition of the anterior auricular muscle, superior auricular muscle, posterior auricular muscle, tragicus muscle, orbicularis oculi muscle, and orbicularis oris muscle was performed on both sides of the face during standardized eye closure and smiling tasks. Machine-learning EMG classification with a support vector machine allowed for the reliable detection of eye closure or smiling from the ear muscle recordings with clear distinction to other mimic expressions. These results show that the EMG of the auricular muscles in patients with PFS may contain enough information to detect facial expressions to trigger a future implant in a closed-loop system for electrostimulation to improve insufficient eye closure and smiling in patients with PFS. Full article
Show Figures

Figure 1

9 pages, 294 KB  
Article
Prospective Assessment of Risk Factors Influencing Facial Nerve Paresis in Patients after Surgery for Parotid Gland Tumors
by Ewa Głuszkiewicz, Paweł Sowa, Maciej Zieliński, Monika Adamczyk-Sowa, Maciej Misiołek and Wojciech Ścierski
Medicina 2022, 58(12), 1726; https://doi.org/10.3390/medicina58121726 - 25 Nov 2022
Cited by 5 | Viewed by 3173
Abstract
Background and objectives: Facial weakness is the most important complication of parotid gland tumor surgery. The aims of this study are as follows: (1) assessment of the prevalence of postparotidectomy facial nerve dysfunction; (2) clinical and electrophysiological assessment of the facial nerve function [...] Read more.
Background and objectives: Facial weakness is the most important complication of parotid gland tumor surgery. The aims of this study are as follows: (1) assessment of the prevalence of postparotidectomy facial nerve dysfunction; (2) clinical and electrophysiological assessment of the facial nerve function before parotidectomy and at 1 and 6 months postoperatively; (3) assessment of the association of postoperative facial palsy with selected risk factors; and (4) assessment of the correlation between the results of clinical and neurophysiological assessments of facial nerve function. Materials and Methods: This study comprised 50 patients (aged 24–75 years) who underwent parotidectomy at the Department of Otolaryngology and Laryngological Oncology in Zabrze, Poland between 2015 and 2017. The evaluation included neurological, clinical and electrophysiological assessments of the facial nerve prior to surgery and at 1 and 6 months postoperatively. Results: No facial palsy was found preoperatively or 6 months postoperatively. Facial nerve dysfunction was found in 74% of patients 1 month postoperatively. In most cases (54%), paresis was mild or moderate (House–Brackmann grades II and III). The results of electrophysiological tests before parotidectomy were either normal or showed some mild abnormalities. We found a statistically significant correlation between the clinical assessment of the facial nerve function (based on the House–Brackmann scale) one month postoperatively and the latency of the CMAP response from the orbicularis oculi and orbicularis oris muscles. In all three studies, a statistically significant correlation was found between the amplitude of the compound muscle action potential (CMAP) of the orbicularis oris muscle and the degree of facial nerve weakness. Conclusions: The factors that may influence the risk of postoperative facial nerve paralysis (prolonged surgical time and the size and location of the tumor other than in the superficial lobe only) may indirectly suggest that surgery-related difficulties and/or surgeon experience could be crucial to surgery safety. Full article
8 pages, 3375 KB  
Case Report
Distribution and Appearance of Arrector Pili Muscle in the Skin of the Rhesus Monkey Face
by Inga May, Kerstin Mätz-Rensing and Christian-Albrecht May
Anatomia 2022, 1(1), 33-40; https://doi.org/10.3390/anatomia1010004 - 8 Apr 2022
Viewed by 9328
Abstract
Although the presence of an arrector pili smooth muscle is documented in many monkey species, its regional peculiarities are hitherto not well documented. We aimed to study this aspect in the face of rhesus monkeys with different areas of hair coat. Eight different [...] Read more.
Although the presence of an arrector pili smooth muscle is documented in many monkey species, its regional peculiarities are hitherto not well documented. We aimed to study this aspect in the face of rhesus monkeys with different areas of hair coat. Eight different regions of six monkeys (male and female) were studied using light microscopy and immunohistochemistry (antibody against smooth muscle alpha actin). We identified two regions (lips and eyelids) with vellus hairs that did not show an arrector pili muscle. In the eyelids, the hairs are rather small and short; in the lips, the vellus hairs were surrounded by striated muscle fibers from the orbicularis oris muscle. In all other regions (frontal region, forehead, cheek, chin), the vellus hairs contained an arrector pili muscle with comparable morphology. Only in the chin region, where additional striated muscles from the face muscles were present, the arrector pili muscles were thinner. All vibrissae showed a close relation to striated muscle fiber bundles of the facial muscles. They never developed smooth muscle bundles assigned as arrector pili equivalent. Full article
(This article belongs to the Special Issue Advances in Anatomy and Its History)
Show Figures

Figure 1

12 pages, 1081 KB  
Case Report
A Telerehabilitation Approach to Chronic Facial Paralysis in the COVID-19 Pandemic Scenario: What Role for Electromyography Assessment?
by Alessandro de Sire, Nicola Marotta, Francesco Agostini, Vera Drago Ferrante, Andrea Demeco, Martina Ferrillo, Maria Teresa Inzitari, Raffaello Pellegrino, Ilaria Russo, Ozden Ozyemisci Taskiran, Andrea Bernetti and Antonio Ammendolia
J. Pers. Med. 2022, 12(3), 497; https://doi.org/10.3390/jpm12030497 - 19 Mar 2022
Cited by 36 | Viewed by 4968
Abstract
There is a lack of data on patient and diagnostic factors for prognostication of complete recovery in patients with peripheral facial palsy. Thus, the aim of this study was to evaluate the role of a telerehabilitave enhancement through the description of a case [...] Read more.
There is a lack of data on patient and diagnostic factors for prognostication of complete recovery in patients with peripheral facial palsy. Thus, the aim of this study was to evaluate the role of a telerehabilitave enhancement through the description of a case report with the use of short-wave diathermy and neuromuscular electrical stimulation combined to facial proprioceptive neuromuscular facilitation (PNF) rehabilitation in unrecovered facial palsy, in a COVID-19 pandemic scenario describing a paradigmatic telerehabilitation report. A 43-year-old woman underwent a facial rehabilitation plan consisting of a synergistic treatment with facial PNF rehabilitation, short-wave diathermy, and neuromuscular electrical stimulation (12 sessions lasting 45 min, three sessions/week for 4 weeks). Concerning the surface electromyography evaluation of frontal and orbicularis oris muscles, the calculated ratio between amplitude of the palsy side and normal side showed an improvement in terms of movement symmetry. At the end of the outpatient treatment, a daily telerehabilitation protocol with video and teleconsultation was provided, showing a further improvement in the functioning of a woman suffering from unresolved facial paralysis. Therefore, an adequate telerehabilitation follow-up seems to play a fundamental role in the management of patients with facial palsy. Full article
Show Figures

Figure 1

13 pages, 1510 KB  
Article
The Electrical Activity of the Orbicularis Oris Muscle in Children with Down Syndrome—A Preliminary Study
by Liliana Szyszka-Sommerfeld, Magdalena Sycińska-Dziarnowska, Krzysztof Woźniak, Monika Machoy, Sławomir Wilczyński, Anna Turkina and Gianrico Spagnuolo
J. Clin. Med. 2021, 10(23), 5611; https://doi.org/10.3390/jcm10235611 - 29 Nov 2021
Cited by 6 | Viewed by 3576
Abstract
The aim of this study was to assess the electrical activity of the superior (SOO) and inferior (IOO) orbicularis oris muscles in children with Down syndrome (DS) and in children without DS. After applying the inclusion and exclusion criteria, 30 subjects were eligible [...] Read more.
The aim of this study was to assess the electrical activity of the superior (SOO) and inferior (IOO) orbicularis oris muscles in children with Down syndrome (DS) and in children without DS. After applying the inclusion and exclusion criteria, 30 subjects were eligible to participate in the later stages of the research—15 subjects with DS (mean age 10.1 ± 1.1) and 15 healthy controls (mean age 9.8 ± 1.0). The electrical potentials of the SOO and IOO muscles were recorded using a DAB-Bluetooth electromyography machine (Zebris Medical GmbH, Germany) during the following tasks: At clinical rest, saliva swallowing, lip protrusion, lip compression, and production of the syllable/pa/. The Mann–Whitney U test was conducted to compare the study results between the groups. An analysis of the electromyographical (EMG) recordings showed that the electrical activity of the orbicularis oris muscle in children with DS and lip incompetence was significantly higher compared to healthy children during saliva swallowing, lip compression, and when producing the syllable/pa/, and this may suggest greater muscular effort due to the need to seal the lips during these functional conditions. Full article
(This article belongs to the Special Issue Oral Health for Special Needs, Compromised and Elderly Patients)
Show Figures

Figure 1

10 pages, 1950 KB  
Article
The Thermal Influence of Oral Rehabilitation on the Cranio-Cervico-Mandibular Complex: A Thermographic Analysis
by André Moreira, Ricardo Batista, Susana Oliveira, Joaquim Mendes, Margarida Sampaio-Fernandes and Maria Helena Figueiral
Int. J. Environ. Res. Public Health 2021, 18(19), 10441; https://doi.org/10.3390/ijerph181910441 - 4 Oct 2021
Cited by 3 | Viewed by 2587
Abstract
Purpose: Assess the thermal effect of prosthodontic treatment on the cranio-cervico-mandibular complex using infrared thermography. Methods: The treatment group was composed of adults of both sexes who underwent a prosthodontic treatment in which at least posterior occlusal contacts were added and/or the vertical [...] Read more.
Purpose: Assess the thermal effect of prosthodontic treatment on the cranio-cervico-mandibular complex using infrared thermography. Methods: The treatment group was composed of adults of both sexes who underwent a prosthodontic treatment in which at least posterior occlusal contacts were added and/or the vertical dimension of occlusion was reestablished. The control group (CG) was constituted of adult subjects of both sexes, with no more than a single missing posterior tooth, excluding third molars. Thermograms were taken of the treatment group with a Flir i7 IR camera both before oral rehabilitation (TGB; n = 33) and two months after treatment was concluded (TGA; n = 19). CG (n = 33) had only one occasion for data acquisition. Results: Statistically significant differences were found when the thermal difference (ΔT) and the health status of the orbicularis oris muscle were compared between the TGB and the TGA groups (p = 0.020 and p = 0.003, respectively). By comparing the health status of the masseter muscle between the CG and TGB, statistically significant differences were also observed (p = 0.030). Conclusion: A prosthodontic treatment appears to have a minimum or null effect on the ΔT and/or on the health status of the TMJ and the temporal muscle. In contrast, orbicularis oris muscles exhibited significant thermal variations. Full article
Show Figures

Figure 1

13 pages, 986 KB  
Article
Superior Orbicularis Oris Muscle Activity in Children Surgically Treated for Bilateral Complete Cleft Lip and Palate
by Liliana Szyszka-Sommerfeld, Monika Elżbieta Machoy, Sławomir Wilczyński, Mariusz Lipski and Krzysztof Woźniak
J. Clin. Med. 2021, 10(8), 1720; https://doi.org/10.3390/jcm10081720 - 16 Apr 2021
Cited by 12 | Viewed by 3427
Abstract
The aim of this cross-sectional study was to evaluate the electromyographic activity of the superior orbicularis oris muscle both in children surgically treated for bilateral complete cleft lip and palate (BCCLP) as well as in subjects without BCCLP. The study comprised 77 children [...] Read more.
The aim of this cross-sectional study was to evaluate the electromyographic activity of the superior orbicularis oris muscle both in children surgically treated for bilateral complete cleft lip and palate (BCCLP) as well as in subjects without BCCLP. The study comprised 77 children aged 6.6 to 12.5 years. All the patients with clefts had previously undergone lip and palate surgery. The upper lip electromyographic (EMG) assessments were made with a DAB-Bluetooth device (Zebris Medical GmbH, Germany) at rest, while swallowing saliva, protruding lips and compressing lips. EMG measurements were also made when the subjects produced phonemes /p/, /b/, and /m/ with the vowel /a/. The Mann-Whitney U test was applied to statistically analyze the EMG values. Significantly higher median upper lip EMG activity under working conditions such as swallowing saliva, lip compression, and production of the phoneme /p/ with the vowel /a/ was observed in patients with BCCLP compared to those without a cleft. The results of the study showed that the upper lip muscle activity increases in children with BCCLP when swallowing saliva, compressing lips and during some speech movement tasks. This may be important in the aspect of the effect of surgical lip repair on the craniofacial growth. Full article
Show Figures

Figure 1

Back to TopTop