Sign in to use this feature.

Years

Between: -

Subjects

remove_circle_outline
remove_circle_outline
remove_circle_outline
remove_circle_outline
remove_circle_outline
remove_circle_outline
remove_circle_outline
remove_circle_outline
remove_circle_outline

Journals

remove_circle_outline
remove_circle_outline
remove_circle_outline
remove_circle_outline
remove_circle_outline
remove_circle_outline
remove_circle_outline
remove_circle_outline
remove_circle_outline
remove_circle_outline
remove_circle_outline
remove_circle_outline
remove_circle_outline
remove_circle_outline
remove_circle_outline

Article Types

Countries / Regions

remove_circle_outline
remove_circle_outline
remove_circle_outline
remove_circle_outline
remove_circle_outline

Search Results (521)

Search Parameters:
Keywords = offense

Order results
Result details
Results per page
Select all
Export citation of selected articles as:
31 pages, 24428 KB  
Article
Research on a Method for Generating 3D Topologies of Combat Networks Based on Conditional Graph Diffusion Models
by Xiaofei Yang, Wenjing Yang, Mei Gao, Bo He, Xiaoshuang Wang and Zhiqiang Lin
Symmetry 2026, 18(1), 184; https://doi.org/10.3390/sym18010184 - 19 Jan 2026
Viewed by 27
Abstract
This paper addresses the pressing need for the intelligent design of three-dimensional topological structures in combat networks within modern joint operations. Conventional graph generation approaches struggle to simultaneously fulfill requirements for 3D deployment, tactical effectiveness, and real-time generation in complex battlefield environments. To [...] Read more.
This paper addresses the pressing need for the intelligent design of three-dimensional topological structures in combat networks within modern joint operations. Conventional graph generation approaches struggle to simultaneously fulfill requirements for 3D deployment, tactical effectiveness, and real-time generation in complex battlefield environments. To overcome these challenges, we propose a method for generating 3D combat network topologies using a conditional graph diffusion model. Our primary innovation lies in a conditional diffusion framework guided by the fusion of target attributes. Through a multi-dimensional conditional embedding mechanism, we integrate combat node types, equipment characteristics, 3D spatial constraints, and tactical requirements into a unified generation process. This enables the model to generate topologies that deeply integrate operational rules and tactical demands. Experimental results demonstrate that our approach significantly improves core tactical metrics: target accessibility increases by 4.5%, defensive capability improves by 13.15%, and offensive efficiency rises by 30.4%. The results indicate that the proposed method achieves superior adaptability and robustness in complex battlefield environments. Full article
(This article belongs to the Section Computer)
Show Figures

Figure 1

21 pages, 2529 KB  
Article
Continual Learning for Saudi-Dialect Offensive-Language Detection Under Temporal Linguistic Drift
by Afefa Asiri and Mostafa Saleh
Information 2026, 17(1), 99; https://doi.org/10.3390/info17010099 - 18 Jan 2026
Viewed by 83
Abstract
Offensive-language detection systems that perform well at a given point in time often degrade as linguistic patterns evolve, particularly in dialectal Arabic social media, where new terms emerge and familiar expressions shift in meaning. This study investigates temporal linguistic drift in Saudi-dialect offensive-language [...] Read more.
Offensive-language detection systems that perform well at a given point in time often degrade as linguistic patterns evolve, particularly in dialectal Arabic social media, where new terms emerge and familiar expressions shift in meaning. This study investigates temporal linguistic drift in Saudi-dialect offensive-language detection through a systematic evaluation of continual-learning approaches. Building on the Saudi Offensive Dialect (SOD) dataset, we designed test scenarios incorporating newly introduced offensive terms, context-shifting expressions, and varying proportions of historical data to assess both adaptation and knowledge retention. Eight continual-learning configurations—Experience Replay (ER), Elastic Weight Consolidation (EWC), Low-Rank Adaptation (LoRA), and their combinations—were evaluated across five test scenarios. Results show that models without continual-learning experience a 13.4-percentage-point decline in F1-macro on evolved patterns. In our experiments, Experience Replay achieved a relatively favorable balance, maintaining 0.812 F1-macro on historical data and 0.976 on contemporary patterns (KR = −0.035; AG = +0.264), though with increased memory and training time. EWC showed moderate retention (KR = −0.052) with comparable adaptation (AG = +0.255). On the SimuReal test set—designed with realistic class imbalance and only 5% drift terms—ER achieved 0.842 and EWC achieved 0.833, compared to the original model’s 0.817, representing modest improvements under realistic conditions. LoRA-based methods showed lower adaptation in our experiments, likely reflecting the specific LoRA configuration used in this study. Further investigation with alternative settings is warranted. Full article
(This article belongs to the Special Issue Social Media Mining: Algorithms, Insights, and Applications)
Show Figures

Figure 1

12 pages, 232 KB  
Article
Fifteen Years of Orthopedic Malpractice Litigation in Türkiye: A Supreme Court Analysis and International Comparison
by Uğur Özdemir, Abdülhalim Akar, Muhammed Fatih Serttaş and Aykut Başer
J. Clin. Med. 2026, 15(2), 625; https://doi.org/10.3390/jcm15020625 - 13 Jan 2026
Viewed by 130
Abstract
Background/Objectives: Orthopedic surgery is among the most frequently litigated medical specialties worldwide. However, high-court malpractice decisions involving orthopedic specialists in Türkiye remain underexplored. This study aims to identify the patterns, causes, and outcomes of malpractice cases involving orthopedists by analyzing Turkish Supreme [...] Read more.
Background/Objectives: Orthopedic surgery is among the most frequently litigated medical specialties worldwide. However, high-court malpractice decisions involving orthopedic specialists in Türkiye remain underexplored. This study aims to identify the patterns, causes, and outcomes of malpractice cases involving orthopedists by analyzing Turkish Supreme Court decisions over the past 15 years. Methods: A retrospective review of orthopedic malpractice cases adjudicated by the Turkish Court of Cassation between January 2010 and November 2025 was conducted. Variables included type of alleged offense, clinical context, primary/secondary liability, initial court outcomes, high-court decisions, and fault attribution. Findings were compared with international literature to contextualize national patterns. Results: A total of 71 decisions were analyzed. Negligent injury was the most common allegation. Initial acquittal and conviction rates were 50.7% and 49.3%, respectively. The Supreme Court affirmed 53.5% of decisions and overturned 46.5%. Fault was attributed to orthopedic specialists in 29.6% of cases, while 40.8% were found faultless; the remaining cases required additional expert evaluation. Litigation themes included diagnostic delay, postoperative complications, inadequate monitoring, and documentation deficiencies. Comparative analysis revealed substantial alignment between Turkish and international malpractice patterns. Conclusions: Orthopedic malpractice litigation in Türkiye mirrors global trends, with most claims stemming from trauma-related care and diagnostic errors. Although many cases undergo prolonged appeals, ultimate conviction rates remain low. Strengthened documentation, improved communication, and enhanced clinical guideline adherence may reduce litigation risk and improve patient safety. Full article
(This article belongs to the Section Orthopedics)
16 pages, 834 KB  
Article
Learning to Hack, Playing to Learn: Gamification in Cybersecurity Courses
by Pierre-Emmanuel Arduin and Benjamin Costé
J. Cybersecur. Priv. 2026, 6(1), 16; https://doi.org/10.3390/jcp6010016 - 7 Jan 2026
Viewed by 469
Abstract
Cybersecurity education requires practical activities such as malware analysis, phishing detection, and Capture the Flag (CTF) challenges. These exercises enable students to actively apply theoretical concepts in realistic scenarios, fostering experiential learning. This article introduces an innovative pedagogical approach relying on gamification in [...] Read more.
Cybersecurity education requires practical activities such as malware analysis, phishing detection, and Capture the Flag (CTF) challenges. These exercises enable students to actively apply theoretical concepts in realistic scenarios, fostering experiential learning. This article introduces an innovative pedagogical approach relying on gamification in cybersecurity courses, combining technical problem-solving with human factors such as social engineering and risk-taking behavior. By integrating interactive challenges into the courses, engagement and motivation have been enhanced, while addressing both technological and managerial dimensions of cybersecurity. Observations from course implementation indicate that students demonstrate higher involvement when participating in supervised offensive security tasks and social engineering simulations within controlled environments. These findings highlight the potential of gamified strategies to strengthen cybersecurity competencies and promote ethical awareness, paving the way for future research on long-term cybersecurity learning outcomes. Full article
Show Figures

Figure 1

17 pages, 1783 KB  
Article
Muscle Synergy Analysis of Different PAPE Protocols on Side Kick Performance in Elite Sanda Athletes: A Repeated Measures Study
by Ziwen Ning, Zihao Chen and Tianfen Zhou
Sensors 2026, 26(1), 296; https://doi.org/10.3390/s26010296 - 2 Jan 2026
Viewed by 416
Abstract
Background: Post-activation potentiation (PAPE) enhances athletic performance through brief, high-intensity reactivation and holds significant application value in competitive sports. As a core offensive and defensive technique in Sanda, the side kick demands exceptional neuromuscular coordination. However, current research on PAPE applications in specialized [...] Read more.
Background: Post-activation potentiation (PAPE) enhances athletic performance through brief, high-intensity reactivation and holds significant application value in competitive sports. As a core offensive and defensive technique in Sanda, the side kick demands exceptional neuromuscular coordination. However, current research on PAPE applications in specialized techniques for competitive sports remains limited. There is a lack of comparative analysis on neuromuscular activation characteristics of the side kick in high-level Sanda athletes across different PAPE protocols, and the optimal adaptation scheme remains unidentified. Muscle coordination analysis based on non-negative matrix factorization (NMF) offers an objective perspective to elucidate the neuromuscular control mechanisms underlying this technique, thereby addressing this research gap. Methods: Eighteen high-level Sanda athletes (National Level 1 or above) participated in a randomized crossover design, sequentially undergoing three PAPE protocols—ESG, RBG, and SQG—with 10-day intervals between each intervention. Using the Noraxon wireless surface electromyography system, high-speed cameras, and the MY JUMP APP, we simultaneously collected vertical jump height data at different time points (6, 8, 10 min) post-intervention, along with electromyography and kinematic data of the side kick movement 6 min post-intervention. The NMF algorithm was employed to extract muscle coordination features (activation weights, activation coefficients), and repeated measures ANOVA or Friedman tests were used to assess intergroup differences. Results: Vertical jump height was significantly higher in the ESG group than in the RBG group at 6, 8, and 10 min post-intervention (p < 0.05). At 6 min post-intervention, it was also significantly higher than in the SQG group (p < 0.05). SQG showed significantly higher ESG than RBG at 8 min post-intervention (p < 0.05), with no significant differences from the other two groups at 10 min. Regarding muscle coordination, ESG and SQG exhibited significantly higher right rectus femoris activation weights than RBG (p < 0.05); ESG’s gluteus maximus and rectus femoris activation weights were significantly higher than RBG (p < 0.05), with generally longer activation durations across all synergistic modules compared to the other two groups. Although RBG’s vastus lateralis and gluteus medius activation weights were significantly higher than some groups, this did not translate into overall performance advantages. Conclusions: Different PAPE protocols exert distinct effects on vertical jump height and muscle coordination patterns during side kicks in elite Sanda athletes. The combined electrical stimulation protocol, which combines the immediate and sustained effects of PAPE, effectively enhances key muscle activation weights and prolongs coordination module activation duration. It represents the optimal solution for optimizing neuromuscular activation characteristics during sidekicks. Full article
(This article belongs to the Special Issue IMU and Innovative Sensors for Healthcare)
Show Figures

Figure 1

18 pages, 734 KB  
Systematic Review
Identification of Performance Variables in Blind 5-A-Side Football: Physical Fitness, Physiological Responses, Technical–Tactical Actions and Recovery Variables: A Systematic Review
by Boryi A. Becerra-Patiño, Aura D. Montenegro-Bonilla, Wilder Geovanny Valencia-Sánchez, Jorge Olivares-Arancibia, Rodrigo Yáñez-Sepúlveda and José Pino-Ortega
Sports 2026, 14(1), 3; https://doi.org/10.3390/sports14010003 - 1 Jan 2026
Viewed by 317
Abstract
Background: Blind 5-A-side football is an intermittent sport that requires the development of specific physical, physiological, and technical–tactical variables, making the identification of recovery processes such as sleep, well-being, and athletes’ perceptions key factors in performance. However, to date, no systematic review has [...] Read more.
Background: Blind 5-A-side football is an intermittent sport that requires the development of specific physical, physiological, and technical–tactical variables, making the identification of recovery processes such as sleep, well-being, and athletes’ perceptions key factors in performance. However, to date, no systematic review has analyzed the scientific evidence on performance variables in players with visual impairments. Objective: To identify performance variables in blind 5-A-side football through the analysis of physical fitness factors, physiological demands, technical–tactical actions, and recovery variables. Materials and Methods: The following databases were consulted: Scopus, PubMed (Medline), Web of Science, ScienceDirect, and Google Scholar. This systematic review follows the PRISMA guidelines and those for conducting systematic reviews in sports science. The PICOS strategy was used to select and include studies. The quality of the studies was assessed methodologically using the Joanna Briggs Institute Critical Appraisal Tool. Results: The included studies evaluated multiple aspects of physical and physiological fitness in blind 5-A-side football, with a predominance of descriptive and observational research, although longitudinal interventions in national teams were also identified. The most studied physiological-physical variables are aerobic capacity and cardiovascular response; anthropometry and body composition; strength, power, and injury risk; external competition demands; balance; and postural control. The studies in the technical–tactical dimension focused on the effectiveness of shots on goal and on the characterization of control, dribbling, and shooting actions. The most studied recovery variable was sleep. Conclusions. The evidence suggests that training processes should integrate both improvements in physical fitness and physiological demands, as well as the refinement of decision-making and offensive actions. Despite advances, scientific output in this discipline remains limited, highlighting the need to promote studies with greater methodological rigor and sample diversity. Full article
Show Figures

Figure 1

18 pages, 441 KB  
Article
The First Step in Validating the Criminogenic Cognitions Scale on a Sample of Romanian Prison Inmates: Variables Involved in Shaping a Profile of Criminogenic Cognitions
by Cornelia Rada, Andreea-Cătălina Forțu, Robert-Andrei Lunga and Maria-Miana Dina
Soc. Sci. 2026, 15(1), 20; https://doi.org/10.3390/socsci15010020 - 1 Jan 2026
Viewed by 433
Abstract
(1) Background: Criminogenic cognitions can influence criminal behavior and recidivism. The validation of the Criminogenic Cognitions Scale (CCS) within the cultural and social context of Romanian offenders, along with an understanding of their profiles, is essential for the development of effective rehabilitation. (2) [...] Read more.
(1) Background: Criminogenic cognitions can influence criminal behavior and recidivism. The validation of the Criminogenic Cognitions Scale (CCS) within the cultural and social context of Romanian offenders, along with an understanding of their profiles, is essential for the development of effective rehabilitation. (2) Methods: The CCS was administered to 460 inmates across eight Romanian prisons, with the respondents having a mean age of 39.23 (SD 10.36; range 21–71). Data were analyzed using Exploratory Factor Analysis (EFA), Confirmatory Factor Analysis (CFA), and the Kruskal–Wallis test. (3) Results: The Non-Acceptance of Responsibility (FAR) subscale had the highest internal consistency (Cronbach’s Alpha = 0.707), followed by Notions of Entitlement (NOE) (Cronbach’s Alpha = 0.683). The Negative Attitudes Toward Authority (NATA) subscale was considered valid with caution (Cronbach’s Alpha = 0.529). The highest FAR scores were observed among inmates convicted of sexual offenses, those who were widowed, and those with lower education levels. Higher scores were recorded on all scales for inmates who identified as drug users and those who perceived their punishment as unjust (p < 0.05). (4) Conclusions: The CCS is valid in the Romanian context, and the variability of criminogenic cognitions based on education level, type of offense, and perception of punishment should be considered when implementing rehabilitative measures. Full article
(This article belongs to the Section Crime and Justice)
Show Figures

Figure 1

41 pages, 16437 KB  
Article
Development of Crawling and Knowledge Graph Technologies for Tracking Organized Sexual Offenses on Social Media X
by Hyeon-Woo Lee, Su-Bin Lee and Jiyeon Kim
Electronics 2026, 15(1), 162; https://doi.org/10.3390/electronics15010162 - 29 Dec 2025
Viewed by 253
Abstract
The high accessibility and interconnectedness of social media platforms have led to their increasing exploitation as tools for criminal activity. A notable example of such digital sexual offenses is the “Nth Room” case, in which sexually exploitative content and illegal recordings were unlawfully [...] Read more.
The high accessibility and interconnectedness of social media platforms have led to their increasing exploitation as tools for criminal activity. A notable example of such digital sexual offenses is the “Nth Room” case, in which sexually exploitative content and illegal recordings were unlawfully distributed on platforms such as X, Telegram, and Discord. Despite amendments to legislations, including the Sexual Violence Punishment Act and Youth Protection Act, aimed at preventing the recurrence of incidents, these crimes continue to persist. Perpetrators employ tactics such as the repeated creation and deletion of accounts, which complicate efforts to track and apprehend them. Consequently, there is an urgent need to develop advanced cyber investigation technologies capable of effectively monitoring sexual crimes posted on social media. This study aimed to propose a novel cyber investigation technology designed to trace criminal organizations by collecting tweets related to sexual crimes from X, which is the most frequently used social media platform for such content in Korea, and subsequently constructing a knowledge graph. Slang terms commonly associated with sexual crimes on X were employed as search keywords to collect relevant tweets. The knowledge graph is then generated based on three key elements extracted from the tweets: hashtags, words, and URL/invite codes. This graph serves as a tool for tracking the criminal networks involved in the distribution of sexually exploitative content and unauthorized recordings. Furthermore, to enhance tracking efficiency, an optimization model was developed to generate knowledge graphs from various analytical perspectives. In this study, to evaluate the performance of the proposed technology, a dataset of 3387 tweets was collected using an X crawler. Knowledge graphs were generated and optimized through both single and combined analyses of the three key elements, demonstrating the effectiveness of the proposed technology in tracking criminal organizations engaged in sexual crimes. Full article
(This article belongs to the Special Issue Application of Data Mining in Social Media, 2nd Edition)
Show Figures

Figure 1

20 pages, 929 KB  
Article
The Effect of Prior Criminal Record on Pretrial Failure
by Enrique Chavez, Stewart J. D’Alessio and Lisa Stolzenberg
Soc. Sci. 2026, 15(1), 11; https://doi.org/10.3390/socsci15010011 - 26 Dec 2025
Viewed by 325
Abstract
Urban bail systems rely heavily on cash bonds to secure the pretrial release of criminal defendants awaiting trial, despite longstanding criticism that this practice disproportionately incarcerates indigent defendants solely because they cannot afford to pay. Many large jurisdictions employ bail bond schedules that [...] Read more.
Urban bail systems rely heavily on cash bonds to secure the pretrial release of criminal defendants awaiting trial, despite longstanding criticism that this practice disproportionately incarcerates indigent defendants solely because they cannot afford to pay. Many large jurisdictions employ bail bond schedules that assign monetary amounts based primarily on the seriousness of the offense. Using data on 5322 defendants released on bail in 35 large urban counties, this study examines whether bail amount or a defendant’s prior criminal history better predicts pretrial failure, defined as pretrial rearrest and failure to appear. Results show that prior criminal history is a substantially stronger and more consistent predictor of pretrial failure than bail amount. Bail amount also exhibits no meaningful association with rearrest and only a modest relationship with failure to appear. These findings suggest that community safety may be better served by substantially reducing reliance on cash bail and placing greater emphasis on prior criminal history in pretrial release decisions. Full article
(This article belongs to the Section Crime and Justice)
Show Figures

Figure 1

14 pages, 625 KB  
Article
Directional and Skill-Level Differences in the Speed–Accuracy Trade-Off During Lacrosse Passing
by Saki Tomioka, Hitoshi Koda and Noriyuki Kida
J. Funct. Morphol. Kinesiol. 2026, 11(1), 8; https://doi.org/10.3390/jfmk11010008 - 25 Dec 2025
Viewed by 277
Abstract
Background: Passing in lacrosse is a fundamental skill essential for both offense and defense, directly influencing game flow. Although the speed–accuracy trade-off is well recognized in motor control, its features in lacrosse passing—particularly regarding directional aspects and skill differences—remain unclear. This study [...] Read more.
Background: Passing in lacrosse is a fundamental skill essential for both offense and defense, directly influencing game flow. Although the speed–accuracy trade-off is well recognized in motor control, its features in lacrosse passing—particularly regarding directional aspects and skill differences—remain unclear. This study quantified the relationship between pass speed, accuracy, bias, and consistency and examined directional effects and skill-level differences. Methods: Twenty-two female university players (skilled: n = 9; unskilled: n = 13) executed overhand passes to a 5 cm × 5 cm target from 11 m under three effort conditions: warm-up, game intensity, and full effort. Ball speed was derived from lateral video, and landing coordinates from posterior footage. Accuracy, bias, and consistency were assessed using radial error (RE), centroid error (CE), absolute CE (|CE|), and bivariate variable error (BVE). Directional patterns were analyzed through lateral and vertical components and the 95% confidence intervals of the major and minor axes of an error ellipse. A two-way analysis of variance was performed with condition as the within-subject factor and skill level as the between-subject factor. Results: Ball speed increased significantly across conditions. RE, |CE|, and BVE increased with speed, showing directional dependence: variability expanded mainly along the major axis, while the minor axis remained stable. Skilled players showed smaller RE and BVE, with differences most evident vertically and along the major axis. CE direction stayed consistent, indicating that reduced accuracy stemmed from greater bias magnitude and lower consistency rather than shifts in the mean landing point. Conclusions: Findings confirm a speed–accuracy trade-off in lacrosse passing, characterized by directional specificity and skill-related effects. Combining RE, CE, BVE, and ellipse-axis analyses clarified error structure, showing variability concentrated along the movement axis. These results support training focused on vertical control and timing and highlight the value of directional metrics for assessing lacrosse performance. Future research should include male athletes, advanced levels, and in-game scenarios to extend generalizability. Full article
(This article belongs to the Section Kinesiology and Biomechanics)
Show Figures

Figure 1

14 pages, 1549 KB  
Article
Temporal Dynamics of Harmful Speech in Chatbot–User Dialogues: A Comparative Study of LLM and Chit-Chat Systems
by Ohseong Kwon, Hyobeen Yoon, Hyojin Chin and Jisung Park
Appl. Sci. 2025, 15(24), 13185; https://doi.org/10.3390/app152413185 - 16 Dec 2025
Viewed by 694
Abstract
Harmful language in conversational AI poses distinct safety and governance challenges, as Large Language Model (LLM) chatbots interact in private, one-to-one settings. Understanding the types of harm and their temporal concentration is crucial for responsible deployment and time-aware moderation. This study investigates the [...] Read more.
Harmful language in conversational AI poses distinct safety and governance challenges, as Large Language Model (LLM) chatbots interact in private, one-to-one settings. Understanding the types of harm and their temporal concentration is crucial for responsible deployment and time-aware moderation. This study investigates the types and diurnal dynamics of harmful speech, comparing patterns between play-oriented chit-chat and task-oriented LLM services.We analyze two large-scale, real-world English corpora: a chit-chat service (SimSimi; 8.7 M utterances) and an LLM service (WildChat; 610 K utterances). Using the Perspective API for multi-label classification (Toxicity, Profanity, Insult, Identity Attack, Threat), we estimate the incidence of harm categories and compare their distribution across five dayparts. Our analysis shows that harmful speech is significantly more prevalent in the chit-chat context than in the LLM service. Across both platforms, Toxicity and Profanity are the dominant categories. Temporally, harmful speech concentrates most frequently during the dawn daypart. We contribute an empirical baseline on how harm varies by chatbot modality and time of day, offering practical guidance for designing dynamic, platform-specific moderation policies. Full article
Show Figures

Figure 1

13 pages, 3915 KB  
Communication
Large-Scale Illegal Bryophyte Harvesting in Protected Areas of East-Central Europe, Hungary: Conservation Implications
by Péter Szűcs, Sándor Rózsa and Marianna Marschall
Plants 2025, 14(24), 3785; https://doi.org/10.3390/plants14243785 - 12 Dec 2025
Viewed by 576
Abstract
This study provides the first detailed documentation of large-scale illegal bryophyte harvesting within a European nature conservation site. Forested areas of Northeast Hungary are recurrently affected by such activities, with several cases already resulting in official criminal proceedings. Although commercial bryophyte harvesting is [...] Read more.
This study provides the first detailed documentation of large-scale illegal bryophyte harvesting within a European nature conservation site. Forested areas of Northeast Hungary are recurrently affected by such activities, with several cases already resulting in official criminal proceedings. Although commercial bryophyte harvesting is not explicitly prohibited within the European Union, it is indirectly constrained by the conservation framework of the Habitats Directive. Our objective was to assess the conservation biological consequences of removing a substantial volume (296 kg air-dry weight; 8.7 m3) of bryophytes. Sixteen bryophyte species, including one liverwort and fifteen mosses, were identified in the confiscated material. Harvesters primarily target Hypnum cupressiforme, a moss species favored for decorative wreath production, with demand increasing prior to All Souls’ Day in Hungary. Illegal collectors typically operate in small groups within forest stands proximal to settlements, concentrating their activity on the bark of Quercus trees and andesite rock surfaces. Terricolous bryophytes and associated soil substrates were entirely absent from the collected material. Comparative analysis revealed that the bryophyte flora of the affected forest stands is more diverse than that represented in the harvested samples. This indiscriminate illegal bryophyte harvest threatens protected forest habitats and necessitates improved monitoring and stricter enforcement. Full article
(This article belongs to the Special Issue Bryophyte Biology, 2nd Edition)
Show Figures

Figure 1

10 pages, 741 KB  
Article
Motivation and the Effectiveness of Individual One-on-One Performance in Men’s Football
by Łukasz Bojkowski
Appl. Sci. 2025, 15(24), 13068; https://doi.org/10.3390/app152413068 - 11 Dec 2025
Viewed by 350
Abstract
Understanding the motivational determinants that have the greatest impact on athletic performance is often crucial for effectively supporting athletes during both training and competition periods. Therefore, the aim of the study was to examine the relationships between different types and specific components of [...] Read more.
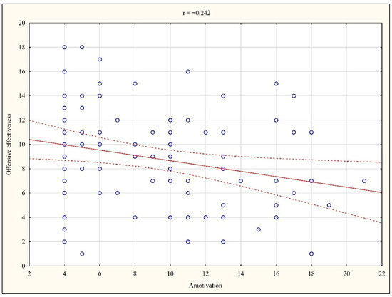
Understanding the motivational determinants that have the greatest impact on athletic performance is often crucial for effectively supporting athletes during both training and competition periods. Therefore, the aim of the study was to examine the relationships between different types and specific components of motivation and players’ performance effectiveness in one-on-one football competition. The study involved 91 football players representing clubs in Poland. The level of motivation was assessed using the SMS-28, while performance effectiveness was measured with a standardized one-on-one football test. Three performance indicators were analysed: offensive, defensive, and comprehensive effectiveness. The analysis showed that amotivation was significantly and negatively correlated with offensive effectiveness (r = −0.242; p < 0.05) and comprehensive effectiveness (r = −0.219; p < 0.05). No significant relationship were found with defensive effectiveness. Moreover, no significant associations were observed between intrinsic or extrinsic motivation and any of the analysed performance indicators. The findings suggest that a lack of motivation may impair offensive actions, which require greater initiative, whereas defensive effectiveness may be less dependent on motivational levels—possibly due to its more automatic nature. This underscores the importance of reducing amotivation through a supportive training environment, which may enhance engagement and improve individual performance outcomes. Full article
(This article belongs to the Special Issue Innovative Approaches in Sports Science and Sports Training)
Show Figures

Figure 1

14 pages, 1210 KB  
Article
Reaction Time of Players in Different Formations and Its Impact on Game Effectiveness in Rugby
by Karol Czyż, Winicjusz Sokół, Julita Kalinowska, Tomasz Granda, Małgorzata Potocka-Mitan, Wioletta Śląska-Zyśk, Joanna Magdalena Bukowska and Jarosław Jaszczur-Nowicki
Appl. Sci. 2025, 15(24), 13012; https://doi.org/10.3390/app152413012 - 10 Dec 2025
Viewed by 701
Abstract
(1) Background: In rugby, players are divided into two primary formations: the scrum and the backs (attack line), which differ significantly in terms of their roles, as well as their physical and cognitive demands. Scrum players are predominantly engaged in frequent physical contact [...] Read more.
(1) Background: In rugby, players are divided into two primary formations: the scrum and the backs (attack line), which differ significantly in terms of their roles, as well as their physical and cognitive demands. Scrum players are predominantly engaged in frequent physical contact and power-based activities, whereas backs are required to respond rapidly to dynamically changing game situations, demonstrating greater agility and decision-making speed. The purpose of this study was to analyze the reaction times of rugby players, taking into account their playing positions. (2) Methods: The study involved 30 athletes, all members of the Polish national under-20 rugby team (15-a-side). Data were collected during a training camp conducted four weeks prior to the U20 European Championships held in Prague. Reaction time was assessed using the Witty SEM system. (3) Results: The findings revealed that backs achieved superior results in simple reaction tests, while third-row and forward players performed better in complex reaction tests. (4) Conclusions: Reaction time differentiates players according to their positional roles and corresponds with the specific demands of those roles. Backs are required to respond to stimuli more rapidly, as they are primarily responsible for initiating offensive actions and organizing the defensive line. Full article
Show Figures

Figure 1

13 pages, 1244 KB  
Article
Decisions in the Basketball Endgame: A Downside of the Three-Point Revolution
by Luka Secilmis, Teo Secilmis, Simon Jantschgi and Heinrich H. Nax
Games 2025, 16(6), 64; https://doi.org/10.3390/g16060064 - 8 Dec 2025
Viewed by 729
Abstract
Von Neumann’s minimax theorem defines optimal strategic unpredictability in zero-sum games. Empirical evidence from professional sports has been interpreted as positive behavioral evidence for minimax. In this article, we analyze the strategic optimality of offensive plays in the basketball endgame when a team [...] Read more.
Von Neumann’s minimax theorem defines optimal strategic unpredictability in zero-sum games. Empirical evidence from professional sports has been interpreted as positive behavioral evidence for minimax. In this article, we analyze the strategic optimality of offensive plays in the basketball endgame when a team has a final possession and trails by no more than a single basket. This final moment of the game most closely approximates the simultaneous-move conditions of a game where minimax theory applies. Using comprehensive NBA data from 2010 to 2025, we test for equality of success rates across shooter types (star vs. non-stars) and shot selection (two-point vs. three-point). Our analysis reveals systematic violations of minimax play that have intensified with basketball’s shift to three-pointers and higher expected points. In the final decisive moment of the game, we find that teams systematically overuse three-point shots even though the two-point attempt yields higher field goal percentages. In addition, teams over-rely on star players for the final shot; non-star two-point shots have been the top-performing endgame option in 2022–2025. Full article
(This article belongs to the Special Issue Game Theory, Sports and Athletes’ Behavior Under Pressure)
Show Figures

Figure 1

Back to TopTop